Sign in to use this feature.

Years

Between: -

Subjects

remove_circle_outline
remove_circle_outline
remove_circle_outline
remove_circle_outline
remove_circle_outline
remove_circle_outline
remove_circle_outline
remove_circle_outline
remove_circle_outline

Journals

remove_circle_outline
remove_circle_outline

Article Types

Countries / Regions

remove_circle_outline
remove_circle_outline
remove_circle_outline
remove_circle_outline

Search Results (444)

Search Parameters:
Keywords = three-layer winding

Order results
Result details
Results per page
Select all
Export citation of selected articles as:
31 pages, 192143 KB  
Article
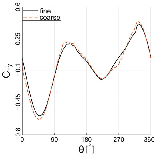
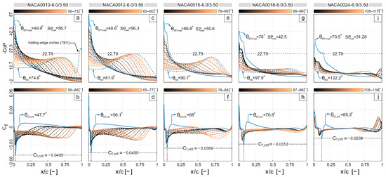
A Deeper Insight into Dynamic Stall of Vertical Axis Wind Turbines: Parametric Study of Symmetric Airfoils
by Rasoul Tirandaz, Abdolrahim Rezaeiha and Daniel Micallef
Energies 2026, 19(7), 1615; https://doi.org/10.3390/en19071615 - 25 Mar 2026
Abstract
Vertical axis wind turbines (VAWTs) suffer from dynamic stall (DS) at low tip-speed ratios (λ), where cyclic variations in angle of attack (α) dominate the blade aerodynamics, severely undermining aerodynamic performance and power extraction. The coupled influence of airfoil [...] Read more.
Vertical axis wind turbines (VAWTs) suffer from dynamic stall (DS) at low tip-speed ratios (λ), where cyclic variations in angle of attack (α) dominate the blade aerodynamics, severely undermining aerodynamic performance and power extraction. The coupled influence of airfoil parameters on DS remains unexplored. To address this gap, a fully coupled parametric study using 126 incompressible URANS simulations is conducted, examining three geometric parameters of symmetric airfoils: maximum thickness (t/c), chordwise position of maximum thickness (xt/c), and leading-edge (LE) radius index (I). The results show that coupled geometric modification fundamentally alters the stall mechanism, shifting it from abrupt, LE-driven separation toward a gradual, trailing-edge (TE)-controlled process as airfoils transition from thin, forward-xt/c profiles to thicker configurations with aft xt/c and reduced I. This transition enhances boundary-layer (BL) stability, delays DS onset, weakens dynamic stall vortex (DSV) formation, and mitigates unsteady aerodynamic loading. Within the investigated design space, the best-performing configuration (NACA0024–4.5/3.5) achieves a 73% increase in turbine power coefficient (CP) relative to the baseline airfoil (NACA0018–6.0/3.0), mainly through passive control of BL separation and vortex development. These findings highlight the limitations of single-parameter optimization and establish a physics-based, coupled-design framework for mitigating DS-induced performance losses in VAWTs. Full article
(This article belongs to the Section A3: Wind, Wave and Tidal Energy)
Show Figures

Figure 1

22 pages, 6270 KB  
Article
Design and Modelling of an SMA Vortex Generator Architecture to Address Flow Control
by Bernardino Galasso, Salvatore Ameduri, Pietro Catalano, Carmelo Izzo, Fabrizio De Gregorio, Maria Chiara Noviello, Antonio Concilio and Francesco Caputo
Appl. Sci. 2026, 16(7), 3114; https://doi.org/10.3390/app16073114 - 24 Mar 2026
Abstract
This paper focuses on the modeling and design of an adaptive vortex generator (AVG). The device is actuated through shape memory alloy (SMA) elements. The interest of the research community in these devices is due to their ability to improve the performance of [...] Read more.
This paper focuses on the modeling and design of an adaptive vortex generator (AVG). The device is actuated through shape memory alloy (SMA) elements. The interest of the research community in these devices is due to their ability to improve the performance of the aircraft, directly altering and controlling the boundary layer. Their action consists of energizing the flow, thereby hindering separation. The peculiarity of the presented AVG architecture lies in its compactness and adaptability, which allows for its activation just for some specific phases that are not adequately covered by the conventional. This system can enable load alleviation in the cruise phase when a gust occurs (spoiler modality) and stall prevention in high-lift conditions (vane modality). These two working capabilities can be obtained by mounting the AVGs at different angles of incidence, with respect to the direction of the flow. The present paper is structured as follows. First, the project of RADAR, hosting the activities, is presented with specific focus on the main objectives and on the strategy of maturation of the technologies. Then, attention is paid to the simulations of the aerodynamic field produced by the AVG. These outcomes have driven the next part of the work, focusing on the identification of the architecture of the AVG. A dedicated finite element modeling approach was implemented to address the design task, even in the presence of SMA non-linear elements. Three main operational phases were simulated: (1) the stretching of the springs up to their connection to the architecture (pre-load phase); (2) the elastic recovery of the springs and the achievement of equilibrium with the hosting structure; and (3) the activation of the springs through heating to deflect the AVG. The simulations proved the capability of the system to produce the required deflection/deployment, even under the most severe load conditions. In particular, the simulations highlighted the capability of the system to produce a deflection of the vortex generator of 83.5 deg under the most severe load conditions, against the required value of 80 deg. This result was obtained by also keeping the structural safety factor at a value of four, in line with the wind tunnel facility requirement. Another key outcome of the dynamic analysis was the absence of coupling with vortex shedding, since the system resonance frequencies (135 and 415 Hz) are well outside the vortex-shedding frequency range (500–1400 Hz). Full article
(This article belongs to the Section Aerospace Science and Engineering)
Show Figures

Figure 1

15 pages, 3558 KB  
Technical Note
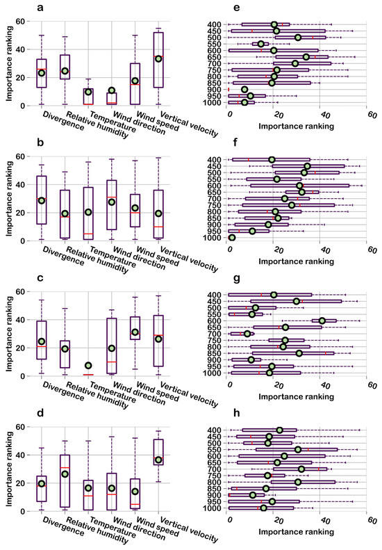
Meteorological Factors Attribution Analysis of Aerosol Layer Structure Changes in Mie-Scattering Profiles Measured by Lidar
by Siqi Yu, Wanyi Xie, Dong Liu, Peng Li and Tengxiao Guo
Remote Sens. 2026, 18(7), 967; https://doi.org/10.3390/rs18070967 - 24 Mar 2026
Abstract
The vertical distribution of atmospheric aerosol layers plays a fundamental role in understanding their climatic and environmental effects. Using one year of lidar observations in Jinhua, together with ground-based meteorological measurements and ERA5 reanalysis data, this study develops an integrated analytical framework to [...] Read more.
The vertical distribution of atmospheric aerosol layers plays a fundamental role in understanding their climatic and environmental effects. Using one year of lidar observations in Jinhua, together with ground-based meteorological measurements and ERA5 reanalysis data, this study develops an integrated analytical framework to investigate the structural characteristics of aerosol layers in Mie-scattering profiles and their meteorological driving factors. K-means clustering identifies three representative aerosol layer structure types: single-layer concave, single-layer convex, and multi-layer profiles. By combining the Boruta algorithm with a random forest model, the dominant meteorological factors associated with each structure type are quantified across four boundary-layer stages (00–06, 06–12, 12–18, 18–24 LT). Temperature, humidity, wind speed, wind direction, divergence, and vertical velocity exhibit distinct influences across different boundary-layer conditions, revealing differentiated regulatory mechanisms governing aerosol layer structure change. The proposed framework establishes a coupled perspective between atmospheric dynamic/thermodynamic processes and aerosol layer structure formation, providing a basis for refined modeling of aerosol evolution and improved understanding of aerosol–meteorology interactions. Full article
Show Figures

Figure 1

20 pages, 85988 KB  
Article
Vertical Structure and Dynamical Regimes of Mediterranean Tropical-like Cyclones from High-Resolution WRF Simulations
by Christian Natale Gencarelli and Francesco Carbone
Atmosphere 2026, 17(3), 323; https://doi.org/10.3390/atmos17030323 - 21 Mar 2026
Viewed by 125
Abstract
Mediterranean tropical-like cyclones (MTLCs), commonly referred to as Medicanes, are high-impact weather systems characterized by complex interactions between baroclinic forcing and tropical-like processes. Despite growing interest, their vertical structures and dynamical regimes remain incompletely understood. In this study, high-resolution Weather Research and Forecasting [...] Read more.
Mediterranean tropical-like cyclones (MTLCs), commonly referred to as Medicanes, are high-impact weather systems characterized by complex interactions between baroclinic forcing and tropical-like processes. Despite growing interest, their vertical structures and dynamical regimes remain incompletely understood. In this study, high-resolution Weather Research and Forecasting (WRF) simulations at 1 km resolution are used to investigate the structure and evolution of two dynamically contrasting MTLCs: Ianos (2020) and Qendresa (2014). The analysis focuses on the temporal evolution of kinetic energy and turbulent dissipation as well as on the three-dimensional organization of wind and temperature fields during representative phases of the cyclone life cycle. The results reveal pronounced differences between the two events, with Ianos exhibiting a compact, vertically coherent, convection-dominated structure and Qendresa showing a wider, more asymmetric, and less stationary organization influenced by baroclinic processes. A comparative framework with the ERA5 reanalysis is employed to contextualize cyclone intensity, with ERA5 used as a dynamically consistent large-scale reference rather than as an observational benchmark. Overall, the study highlights the importance of vertical structure and boundary-layer processes in shaping Mediterranean tropical-like cyclones and demonstrates the added value of high-resolution numerical simulations for distinguishing between different dynamical regimes. Full article
(This article belongs to the Section Meteorology)
Show Figures

Figure 1

22 pages, 3235 KB  
Article
1 MW-Class High-Speed Interior Permanent Magnet Synchronous Machines for Electrical Aviation Propulsion
by Yang Xiao, Xingqi Lyu, Jinning Zhang, Anshan Yu, Yinzhao Zheng and Ruichi Wang
Electronics 2026, 15(6), 1163; https://doi.org/10.3390/electronics15061163 - 11 Mar 2026
Viewed by 278
Abstract
This paper investigates the feasibility of an interior permanent magnet (IPM) rotor for 1 MW-class high-speed permanent magnet synchronous machines (PMSMs) in a hybrid propulsion system of electrified aviation. A double-layer IPM machine and a surface-mounted PM (SPM) benchmark machine with Halbach-array PMs, [...] Read more.
This paper investigates the feasibility of an interior permanent magnet (IPM) rotor for 1 MW-class high-speed permanent magnet synchronous machines (PMSMs) in a hybrid propulsion system of electrified aviation. A double-layer IPM machine and a surface-mounted PM (SPM) benchmark machine with Halbach-array PMs, which are typically employed in aviation applications; are designed using the same design specifications, the same stator, double-three-phase winding layout, physical air-gap length, outer and inner diameters of rotor; and the same materials. The rotor robustness of the IPM machine using high-strength iron material has been verified through mechanical strength analysis with an outstanding safety factor margin. The electromagnetic performances of IPM and SPM benchmark machines are compared. It is found that the IPM design can achieve similar high torque/power density and high efficiency to the SPM benchmark machine, using 48% less rare-earth PM materials and a simpler rotor structure without a carbon fiber sleeve for easy manufacturing. The investigation confirms the feasibility of IPM topology for MW-class high-speed aviation propulsion machines for lower cost and more sustainable purposes. Full article
(This article belongs to the Special Issue New Advances and Applications in Electromagnetic Machines)
Show Figures

Figure 1

20 pages, 5502 KB  
Article
Manufacturing of Banana Fiber-Reinforced Bidirectional Fabric with UPR Matrix by Vacuum-Assisted Resin Transfer Molding
by Juan Altamiranda Suárez, Oswaldo Rivero-Romero, Luis Armando Espitia Sanjuán and Jimy Unfried-Silgado
J. Compos. Sci. 2026, 10(3), 149; https://doi.org/10.3390/jcs10030149 - 9 Mar 2026
Viewed by 311
Abstract
This study explores the use of banana pseudostem fibers from Córdoba, Colombia, as reinforcement in polymer composites manufactured through vacuum-assisted resin transfer molding (VARTM). The fibers were decorticated, oven-dried at 40 °C, and subjected to mercerization and epoxy coating treatments. Plain-weave fabrics were [...] Read more.
This study explores the use of banana pseudostem fibers from Córdoba, Colombia, as reinforcement in polymer composites manufactured through vacuum-assisted resin transfer molding (VARTM). The fibers were decorticated, oven-dried at 40 °C, and subjected to mercerization and epoxy coating treatments. Plain-weave fabrics were produced using continuous yarns composed of 10 and 15 fibers, both treated and untreated. Experimental analyses included pull-out tests, thermogravimetric analysis, fourier-transform infrared spectroscopy, winding speed, surface twist angle, and tensile strength tests for yarns, as well as tensile load, adhesion, and permeability tests for fabrics and tensile and flexural strength tests for composites. Treated yarns exhibited a slight increase in diameter and a lower extraction (25%) compared to untreated yarns (33%). Although treated fabrics showed enhanced permeability and improved resin infiltration, untreated fabrics demonstrated superior mechanical performance, with a tensile load of 2.33 kN in comparison to 1.37 kN for treated yarns. The highest tensile strength of 76.56 MPa was achieved in composites reinforced with three layers of untreated fabric, while the best flexural strength of 86.93 MPa was observed in single-layer composites with the same configuration. These results emphasize the potential of untreated banana fiber fabrics as promising reinforcement in structural composite applications. Full article
Show Figures

Figure 1

19 pages, 4006 KB  
Article
Wind-Resistant Configuration of Double-Layer Cable-Supported Flexible Photovoltaic Array Based on Interference Effect Analysis
by Yi Tang, Yuxiang Wu, Wei Hao, Yalin Yan and Honghai Li
Energies 2026, 19(5), 1266; https://doi.org/10.3390/en19051266 - 3 Mar 2026
Viewed by 175
Abstract
This study investigates the wind-resistant configuration of a seven-row single-span double-layer cable-supported photovoltaic (PV) array through conducting systematic analysis of the interference effect. Wind tunnel pressure measurement tests were conducted on a rigid model to obtain the wind force coefficients and torque coefficients [...] Read more.
This study investigates the wind-resistant configuration of a seven-row single-span double-layer cable-supported photovoltaic (PV) array through conducting systematic analysis of the interference effect. Wind tunnel pressure measurement tests were conducted on a rigid model to obtain the wind force coefficients and torque coefficients under different wind directions. The time histories of wind pressure obtained from the tests were imported into a finite element (FE) model to calculate the vertical displacement and torsional angle responses. The wind-induced responses of different configurations with varying quantities and arrangements of longitudinal connections and wind-resistant cables were analyzed. The results indicate that in the case of head-on wind, wind force is the most unfavorable, and the correlation between wind force and torque is relatively low. In the case of oblique incoming flow, torque is the most adverse, and the correlation between wind force and torque increases. Directions of vertical displacement are opposite in windward and leeward wind scenarios, but directions of torsion angle remain consistent. Overall, the wind-induced responses at mid-span are greater than those at the edge, and the first-row response is more significant than that of the subsequent rows. The wind-induced vibration under windward flow conditions is more adverse when compared to that under leeward flow conditions. However, the downstream adverse interference effect caused by leeward incoming flow is more prominent. Based on the comprehensive analysis of wind loads and wind-induced responses, the whole structure is divided into three zones, namely, wind-induced response control zone, local wind pressure control zone, and wind effect transition zone. A wind-resistant configuration with longitudinal connection arrangements considering both safety and economic benefits is proposed, which provides a reference for the wind-resistant design of similar structures. Full article
(This article belongs to the Section A2: Solar Energy and Photovoltaic Systems)
Show Figures

Figure 1

29 pages, 12396 KB  
Article
Multi-Channel SCADA-Based Image-Driven Power Prediction for Wind Turbines Using Optimized LeNet-5-LSTM Hybrid Neural Architecture
by Muhammad Ahsan and Phong Ba Dao
Energies 2026, 19(5), 1169; https://doi.org/10.3390/en19051169 - 26 Feb 2026
Viewed by 290
Abstract
Accurate power prediction is essential for assessing wind turbine performance under real-world operating conditions and for supporting condition monitoring and maintenance planning using SCADA data. Most existing approaches rely directly on raw SCADA signals, which may limit their ability to capture complex spatiotemporal [...] Read more.
Accurate power prediction is essential for assessing wind turbine performance under real-world operating conditions and for supporting condition monitoring and maintenance planning using SCADA data. Most existing approaches rely directly on raw SCADA signals, which may limit their ability to capture complex spatiotemporal dependencies among operational variables. To address this limitation, this paper proposes a novel SCADA-driven power prediction framework that transforms selected SCADA variables into multi-channel grayscale images and leverages an optimized LeNet-5–LSTM hybrid neural network for active and reactive power prediction. First, the SCADA dataset is analyzed to identify the most influential variables affecting power output. Six key variables are then selected, segmented, and encoded as 2D grayscale images, enabling the model to learn richer feature representations compared to conventional raw SCADA data-based methods. The proposed network combines convolutional layers for spatial feature extraction from SCADA data-based grayscale images with LSTM layers to capture temporal dependencies. Model training incorporates a customized loss function that integrates both data-driven supervision and physics-based constraints. The model is trained using 70% of the image-based dataset, with five independent runs to ensure robustness and reproducibility, while the remaining 30% is used for testing. The proposed approach is validated using SCADA data from three real-world cases: (i) a 2 MW Siemens wind turbine in Poland, (ii) a Vestas V52 wind turbine in Ireland, and (iii) the La Haute Borne wind farm in France, consisting of four wind turbines. The results demonstrate that the SCADA-based image representation enables the proposed LeNet-5–LSTM model to effectively learn discriminative feature patterns and achieve accurate active and reactive power predictions across different turbine types and operating conditions. Full article
(This article belongs to the Special Issue Machine Learning in Renewable Energy Resource Assessment)
Show Figures

Figure 1

19 pages, 2804 KB  
Article
BOTDR Monitoring of Tensile State in Three-Core Fiber-Optic Composite Submarine Cables with a Three-Layer Mechanical Structure and Dual-Threshold Sensing Model
by Manting Guo, Yanpeng Hao, Yashuang Zheng, Busheng Chen, Xin Yu and Licheng Li
J. Mar. Sci. Eng. 2026, 14(4), 390; https://doi.org/10.3390/jmse14040390 - 19 Feb 2026
Viewed by 313
Abstract
Submarine cables are critical components for power transmission in offshore wind farms, making their condition monitoring paramount for ensuring operational reliability. Addressing unclear strain transfer and underdeveloped Brillouin optical time-domain reflectometry (BOTDR) sensing models for three-core fiber-optic composite submarine cables, this study investigated [...] Read more.
Submarine cables are critical components for power transmission in offshore wind farms, making their condition monitoring paramount for ensuring operational reliability. Addressing unclear strain transfer and underdeveloped Brillouin optical time-domain reflectometry (BOTDR) sensing models for three-core fiber-optic composite submarine cables, this study investigated a 66 kV cable and clarified a BOTDR monitoring principle based on the three-layer mechanical structure. Using the external optical unit’s average Brillouin shift for temperature compensation, four characteristic parameters (Δvy, Δvp, vm, vF) were analyzed. The results show the optical unit’s tensile strain-induced Brillouin shift exhibits periodic distribution along the cable. The stable average peak vF achieved a correlation coefficient of 0.98 with tensile load Fi. A dual-threshold sensing model was established: no shift response below F0 = 90 kN (7.84% Rated Tensile Strength (RTS)); strong linear correlation between vF and Fi beyond Fm = 110 kN (9.58% RTS) with a tensile sensitivity coefficient of 0.03788 MHz/kN. This study provides key BOTDR technical support for submarine cable tensile monitoring in complex marine environments. Full article
Show Figures

Figure 1

35 pages, 11024 KB  
Article
A Comparison of Damages Occurring on the Bonding Surface of Carbon and Glass Fiber-Reinforced Polymer Composite Materials Used in Wind Turbine Blades and Marine Vessels via Three-Point Bending and Four-Point Bending Tests
by Dudu Mertgenç Yoldaş and Gürcan Atakök
Polymers 2026, 18(4), 481; https://doi.org/10.3390/polym18040481 - 14 Feb 2026
Viewed by 380
Abstract
The aim of this study is to experimentally evaluate the damage mechanisms occurring in the adhesive-bonded regions of glass fiber-reinforced polymer (GFRP) and carbon fiber-reinforced polymer (CFRP) composites, which are widely used in marine and offshore wind turbine applications, under environmental conditions. In [...] Read more.
The aim of this study is to experimentally evaluate the damage mechanisms occurring in the adhesive-bonded regions of glass fiber-reinforced polymer (GFRP) and carbon fiber-reinforced polymer (CFRP) composites, which are widely used in marine and offshore wind turbine applications, under environmental conditions. In particular, this study focuses on the degradation caused by long-term seawater exposure and its effects on the bending behavior and load-carrying capacity of adhesive joints. For this purpose, the specimens were prepared in accordance with ASTM D5868-01, using 7-layer GFRP and 8-layer CFRP laminates. Single-lap adhesive joints were fabricated. To simulate marine environmental conditions, the single-lap adhesive joints were immersed in natural seawater obtained from the Aegean Sea (22 °C temperature and 3.3–3.7% salinity) for 1, 2, and 3 months in separate containers. Three-point bending (3PB) tests were performed on specimens representing marine applications, while four-point bending (4PB) tests were conducted on specimens representing offshore wind turbine blade structures. The results quantitatively revealed the influence of seawater on adhesive-bonded composite joints. In 3PB tests, the reductions in the Young’s modulus of GFRP specimens after 1, 2, and 3 months of exposure were measured as 5.94%, 8.90%, and 12.98%, respectively. For CFRP specimens, degradation was more limited, with corresponding reductions of 1.28%, 3.39%, and 3.74%. A similar trend was observed in 4PB tests representing offshore wind turbine applications, where GFRP joints exhibited modulus reductions of 3.15%, 6.42%, and 9.45%, while CFRP joints showed reductions of 1.29%, 2.62%, and 3.48% for the same exposure durations. Overall, the findings demonstrate that CFRP composites exhibit more stable mechanical behavior under environmental exposure, whereas GFRP structures undergo more pronounced performance losses, particularly in moisture- and salt-rich environments. These results highlight the critical importance of material selection for long-term durability in offshore composite structures. The outcomes of this study contribute to a better understanding of the damage processes occurring in composite adhesive joints under environmental conditions and provide a scientific basis for developing more reliable design and material selection strategies in both the marine and wind energy sectors. Full article
(This article belongs to the Special Issue Fiber-Reinforced Polymer Composites: Progress and Prospects)
Show Figures

Figure 1

19 pages, 4758 KB  
Article
An Experimental Investigation on Hypersonic Boundary Layer Stability over a Fin–Cone Configuration
by Dailin Lv, Fu Zhang, Yifan Yang, Xueliang Li and Jie Wu
Aerospace 2026, 13(2), 151; https://doi.org/10.3390/aerospace13020151 - 6 Feb 2026
Viewed by 360
Abstract
To investigate the hypersonic boundary layer transition over complex three-dimensional configurations, this study conducted an experiment using infrared thermography, Rayleigh scattering visualization, and high-frequency pressure sensors in a Mach 6 Ludwieg wind tunnel. The infrared results indicate that increasing the Reynolds number promotes [...] Read more.
To investigate the hypersonic boundary layer transition over complex three-dimensional configurations, this study conducted an experiment using infrared thermography, Rayleigh scattering visualization, and high-frequency pressure sensors in a Mach 6 Ludwieg wind tunnel. The infrared results indicate that increasing the Reynolds number promotes boundary layer transition on the model surface. Spectral analysis reveals a high-frequency peak centered at 250 kHz on the finless side of the windward surface. Comprehensive analysis indicates this represents high-frequency secondary instability triggered by the traveling crossflow mode in its nonlinear phase. On the finless side of the leeward surface, a typical Mack second-mode high-frequency instability amplification process is observed within the 140–280 kHz frequency band. Additionally, the spectrum results for the fin–cone junction became more complex. On the windward side, the primary energy concentration in the junction zone is observed between 80 and 200 kHz, with calculated wave packet velocities higher than those on the finless side. Wavelet analysis reveals that low-frequency modes are amplified first and gradually excite high-frequency components, with significant modal coupling appearing in the high-frequency region of the bicoherence. The leeward fin–cone junction exhibits dual-band characteristics at 60–120 kHz and 180–260 kHz, demonstrating stronger intermodal interactions. Both the windward and leeward surfaces of the fin show low-frequency transverse flow-like modes around 70–180 kHz. The spectral results for the windward and leeward sides are largely consistent, with only slight differences in amplitude levels and saturation positions. Full article
(This article belongs to the Special Issue Instability and Transition of Compressible Flows)
Show Figures

Figure 1

17 pages, 2258 KB  
Article
Modeling and Calibration Using Micro-Phasor Measurement Unit Data for Yeonggwang Substation
by Peng Li, Chung-Gang Kim, Sung-Hyun Choi, Kyung-Min Lee and Yong-Sung Choi
Energies 2026, 19(3), 834; https://doi.org/10.3390/en19030834 - 4 Feb 2026
Viewed by 348
Abstract
Against the backdrop of high-proportion renewable energy grid integration, modeling accuracy for substations incorporating wind and solar power is critical. Traditional modeling methods rely on theoretical parameters and lack sufficient accuracy. This study uses the 154 kV/23 kV Yeonggwang Substation in Jeollanam-do, South [...] Read more.
Against the backdrop of high-proportion renewable energy grid integration, modeling accuracy for substations incorporating wind and solar power is critical. Traditional modeling methods rely on theoretical parameters and lack sufficient accuracy. This study uses the 154 kV/23 kV Yeonggwang Substation in Jeollanam-do, South Korea (connected to three wind farms and three solar power plants, with 35 Micro-Phasor Measurement Unit (μPMU) measurement points deployed) as a case study. It investigates three-phase detailed modeling using Power System Computer Aided Design (PSCAD) and μPMU data-driven calibration. Based on substation topology and equipment parameters, a simulation model encompassing main transformers, transmission lines, renewable energy units, and loads was established. A hierarchical calibration system of “data preprocessing—parameter identification—iterative correction” was constructed, employing an iterative optimization strategy of “main grid layer—renewable energy layer—load layer.” A multi-objective optimization function centered on voltage, current, and power was developed. Verification results show that after calibration, the mean relative error rates (MRE) for voltage, current, active power and reactive power are 2.46%, 2.57%, 2.52% and 3.96% respectively, with mean error reduction rates (MERRs) of 80%, 82.75%, 81.33%, and 74.94% compared to pre-calibration values. The uniqueness of the calibration method proposed in this study lies in its use of actual μPMU measurement data to drive PSCAD model parameter calibration, achieving precise matching with the actual characteristics of the substation. This provides a reference method for modeling and digital twin construction of similar substations, demonstrating significant engineering application value. Full article
(This article belongs to the Special Issue Modeling and Analysis of Power Systems)
Show Figures

Figure 1

19 pages, 676 KB  
Article
Energy Communities Design and Optimisation: A Decision-Making Tool for the Italian Case
by Tommaso Ferrucci, Sarah Winkler, Manuel Antonio Pérez Estévez, Massimiliano Renzi, Sara Domínguez Cardozo and Jacopo Carlo Alberizzi
Sustainability 2026, 18(3), 1553; https://doi.org/10.3390/su18031553 - 3 Feb 2026
Viewed by 370
Abstract
Renewable Energy Communities are expected to play a key role in the decarbonization of power systems, but their design and operation involve multiple, often conflicting objectives and evolving regulatory frameworks. However, prospective REC promoters and members must make early-stage design choices under policy [...] Read more.
Renewable Energy Communities are expected to play a key role in the decarbonization of power systems, but their design and operation involve multiple, often conflicting objectives and evolving regulatory frameworks. However, prospective REC promoters and members must make early-stage design choices under policy constraints while balancing economic, environmental, and reliability goals, which motivates the need for transparent and reproducible decision-support tools. This paper presents Adapters, a two-level decision-making tool that couples long-term planning with short-term operational adaptation for hybrid renewable energy systems. The core optimisation model is explicitly multi-objective, with three weighted terms (w1, w2, and w3) that represent total cost, CO2 emissions, and unserved energy, respectively, allowing users to explore trade-offs between economic performance, environmental impact, and reliability. The tool integrates detailed component models (such as photovoltaic, wind, and battery storage) with a flexible optimisation layer and architecture compatible with digital-twin approaches. Its capabilities are illustrated through prototype single-household case studies, showing how different stakeholder preferences and regulatory conditions can be reflected in the choice of objective weights and system configurations. The overall aim is to provide a transparent and reproducible environment to support the emergence and operation of RECs in line with EU energy and climate goals. Full article
(This article belongs to the Special Issue Renewable Energy Technologies and Sustainable Economy)
Show Figures

Figure 1

19 pages, 7081 KB  
Article
Impact of Leading-Edge Micro-Cylinders on the Aerodynamic Performance of Erosion-Affected S809 Airfoil
by Jinjing Sun, Xinyu Chen and Shuhan Zhang
Symmetry 2026, 18(2), 246; https://doi.org/10.3390/sym18020246 - 30 Jan 2026
Viewed by 299
Abstract
Wind turbines operate in harsh environments where leading-edge blade erosion from particulates like sand, rain, and insects is prevalent, significantly degrading aerodynamic performance and reducing power output. To counteract this, this study proposes a novel flow-control method using detached micro-cylinders placed upstream of [...] Read more.
Wind turbines operate in harsh environments where leading-edge blade erosion from particulates like sand, rain, and insects is prevalent, significantly degrading aerodynamic performance and reducing power output. To counteract this, this study proposes a novel flow-control method using detached micro-cylinders placed upstream of the leading edge of eroded S809 (a wind turbine blade profile) airfoils. The approach is inspired by the concept of symmetry recovery in disturbed flows, where strategically introduced perturbations can restore balance to an asymmetric separation pattern. The aerodynamic performance of the S809 airfoil was numerically investigated under three leading-edge erosion depths (0.2%, 0.5%, and 1% of chord length, *c*) with a fixed micro-cylinder diameter of 1% *c* positioned at fifteen different locations. Findings reveal that the strategic placement of micro-cylinders ahead of the leading edge or on the pressure side markedly enhances the aerodynamic efficiency of airfoils with 0.2% and 0.5% erosion, achieving a maximum improvement of 148.7% in the lift-to-drag ratio (L/D) difference function for the 0.5% eroded airfoil. This performance recovery is interpreted as a partial restoration of flow symmetry, disrupted by erosion-induced separation. The interaction between the cylinder wake and the spill-over stall vortex originating from the erosion groove was identified as the primary mechanism, injecting high-energy fluid into the boundary layer to suppress flow separation. This study systematically parametrizes the effect of erosion depth and cylinder placement, offering new insights for mitigating erosion-induced performance loss through controlled asymmetry introduction. Full article
(This article belongs to the Section Engineering and Materials)
Show Figures

Figure 1

15 pages, 698 KB  
Article
Hierarchical Control of EV Virtual Power Plants: A Strategy for Peak-Shaving Ancillary Services
by Youzhuo Zheng, Hengrong Zhang, Anjiang Liu, Yue Li, Shuqing Hao, Yu Miao, Yujie Liang and Siyang Liao
Electronics 2026, 15(3), 578; https://doi.org/10.3390/electronics15030578 - 28 Jan 2026
Viewed by 265
Abstract
In recent years, the installed capacity of renewable energy sources, such as wind power and photovoltaic generation, has been steadily increasing in power systems. However, the inherent randomness and volatility of renewable energy generation pose greater challenges to grid frequency stability. To address [...] Read more.
In recent years, the installed capacity of renewable energy sources, such as wind power and photovoltaic generation, has been steadily increasing in power systems. However, the inherent randomness and volatility of renewable energy generation pose greater challenges to grid frequency stability. To address this issue, this paper first introduces the Minkowski sum algorithm to map the feasible regions of dispersed individual units into a high-dimensional hypercube space, achieving efficient aggregation of large-scale schedulable capacity. Compared with conventional geometric or convex-hull aggregation methods, the proposed approach better captures spatio-temporal coupling characteristics and reduces computational complexity while preserving accuracy. Subsequently, aiming at the coordination challenge between day-ahead planning and real-time dispatch, a “hierarchical coordination and dynamic optimization” control framework is proposed. This three-layer architecture, comprising “day-ahead pre-dispatch, intraday rolling optimization, and terminal execution,” combined with PID feedback correction technology, stabilizes the output deviation within ±15%. This performance is significantly superior to the market assessment threshold. The research results provide theoretical support and practical reference for the engineering promotion of vehicle–grid interaction technology and the construction of new power systems. Full article
Show Figures

Figure 1

Back to TopTop