A Deeper Insight into Dynamic Stall of Vertical Axis Wind Turbines: Parametric Study of Symmetric Airfoils
Abstract
1. Introduction
1.1. State of the Art and Research Gaps
| Year | Author | #Cases | Parameter | Dedicated Airfoil/Baseline Airfoil/Range [%c] | Method | PA/WT | AOA Range [°] | Re []/M | K |
|---|---|---|---|---|---|---|---|---|---|
| 1976 | McCroskey et al. [21] | 4 | LE shape | Baseline: NACA0012 | Exp (WDT) | PA | 6–14 | 25 | 0.25 |
| 1982 | McCroskey et al. [31] | 8 | – | NACA0012, AMES-01, VR-7, NLR-7301, NACA4418, S809, AMES-01, FX-098 | Exp (WDT) | PA | 5–25 | –0.3 | 0.025–0.2 |
| 1991 | Grohsmeyer et al. [35] | 3 | NACA0012; NACA0012-63; NACA0012-33 | Num (ADI) | PA | 0–30 | 40 | 0.01–0.02 | |
| 2002 | Joo et al. [36] | 7 | t | 12–16 | Num (CFD) | PA | 5–25 | 0.151 | |
| 2006 | Hamdani et al. [37] | 4 | t | NACA0012; NACA0012–0016; 0012–0016 hybrid; leading-edge bump | Num (CFD) | PA | 5–25 | 34.5 | 0.1 |
| 2012 | Ramesh et al. [38] | 4 | I | Baseline: SD7003; –2 [−] | Num (CFD) | PA | 0–42.3 | 0.01–10 | 0.4 |
| 2018 | Ouro et al. [39] | 2 | c | 0 and 4 | Num (CFD) | WT | –25 | 1.35 | 0.1 |
| 2019 | Sharma and Visbal [8] | 4 | t | 10–18 | Num (FDL3DI) | PA | 5–30 | 2 | – |
| 2020 | Jain and Saha [40] | 5 | t | 9–21 | Num (CFD) | WT | – | 1.25 | 0.16 |
| 2021 | Bangga et al. [32] | 7 | t | 8–40 | Num (CFD) | WT | – | 1.1–1.9 | 0.25 |
| 2023 | Wang et al. [41] | 6 | t | 12–30 | Num (CFD) | PA | 6.5–26.5 | 10 | 0.1 |
1.2. Novelty and Objectives
- To establish a detailed physical characterization of DS in VAWTs by investigating the individual and coupled impacts of three key geometric parameters—maximum thickness (), chordwise position of maximum thickness (), and LE radius (expressed via a geometric index, I)—on BL evolution, vortex dynamics, and aerodynamic loads.
- To derive robust physical correlations between geometric parameters and DS indicators using 126 URANS simulations validated against experimental data, focusing on symmetric airfoils modified from the NACA four-digit series.
- To identify an optimal airfoil configuration that passively mitigates DS effects through combined geometric modification, thereby enhancing aerodynamic stability and turbine power performance under DS-prone operating conditions.This work demonstrates that airfoil optimization for VAWTs cannot be treated as a set of single-parameter geometric modifications, particularly under DS conditions. This finding has important implications for the development of next-generation morphing blades.
1.3. Paper Outline
2. Computational Settings and Parameters
2.1. Turbine Characteristics
2.2. Computational Settings
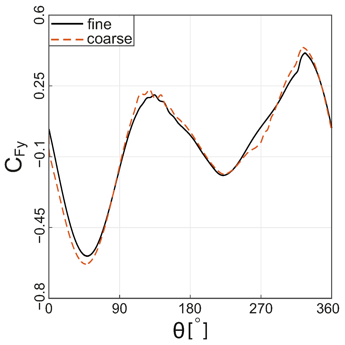
2.3. Solution Verification and Validation
3. Airfoil Shapes
4. Results
4.1. Laminar Separation Bubble (LSB)
4.1.1. Impact of Maximum Thickness (t/c)
4.1.2. Impact of Chordwise Position of Maximum Thickness ()
4.1.3. Impact of Leading-Edge Radius Index (I)
4.2. Dynamic-Stall Onset Criterion
4.3. Formation and Evolution of the Dynamic Stall Vortex
4.3.1. Impact of Maximum Thickness ()
4.3.2. Impact of Chordwise Position of Maximum Thickness ()
4.3.3. Impact of Leading-Edge Radius Index (I)
4.4. Combined Influence of Airfoil Shape Parameters
4.5. Stall Classification
4.5.1. Mechanism-Based Classification
4.5.2. Severity-Based Classification (Light–Deep DS Spectrum)
4.6. Correlation Between BL Behavior, DS Mitigation, and Turbine Power Gain
5. Discussion
6. Conclusions
- Dynamic stall behavior is strongly governed by leading-edge flow acceleration, which controls suction peak growth rate, adverse pressure gradient development, and laminar separation bubble bursting. While leading-edge radius plays an important role, its effect becomes most pronounced when varied jointly with airfoil thickness and its chordwise position, demonstrating that effective DS mitigation requires coordinated multi-parameter design rather than isolated geometric modification.
- A critical threshold of leading-edge acceleration is identified for LSB bursting into a strong DSV. Below this threshold, the stall mechanism transitions from abrupt, LE-driven behavior in thin airfoils with forward to gradual, trailing-edge-controlled stall in thicker, aft- configurations, where TEVs replace DSVs as the dominant source of unsteady lift. This transition stabilizes the boundary layer, delays stall onset, suppresses DSV formation, and substantially reduces stall severity.
- The coupled modification reveals a consistently favorable regime at –24%, –35%, and , characterized by reduced SPGR, enhanced bubble stability, delayed DS onset, and weakened vortex activity. Within this regime, the NACA0024–4.5/3.5 airfoil achieves a 73% increase in turbine power coefficient () relative to the baseline NACA0018–6.0/3.0, representing the best-performing configuration within the investigated design space.
- The leading-edge radius index primarily influences stall severity without fundamentally altering the dominant stall mechanism. Reducing I weakens leading-edge acceleration and adverse pressure gradients, delaying DSV initiation and promoting a transition from deep to light stall, whereas increasing I intensifies leading-edge acceleration and leads to earlier and more severe stall behavior.
- Finally, the azimuth of the most negative skin-friction spike within the laminar separation bubble () is shown to provide a reliable indicator of dynamic stall onset within the present modeling framework, remaining effective even for thick airfoils where lift-based criteria fail due to suppressed DSV activity.
Author Contributions
Funding
Data Availability Statement
Use of Artificial Intelligence
Acknowledgments
Conflicts of Interest
Nomenclature
| Angle of attack [°] | |
| Pressure coefficient at fully developed vortex | |
| Static stall angle [°] | |
| Chord-based Reynolds number, c [−] | |
| Azimuth angle [°] | |
| Airfoil leading-edge radius [%c] | |
| Azimuth at critical minimum skin friction [°] | |
| Airfoil relative maximum thickness [%] | |
| Azimuth at fully developed vortex [°] | |
| Chordwise position of maximum thickness [%] | |
| Dynamic stall onset azimuth [°] | |
| Freestream velocity [m/s] | |
| Azimuth at laminar separation onset [°] | |
| Spatial onset of laminar separation [%c] | |
| Tip-speed ratio, / [−] | |
| I | Airfoil leading-edge radius index [−] |
| Solidity, [−] | |
| R | Turbine radius [m] |
| Turbine rotational speed [rad/s] | |
| BSI | Bubble stability index |
| c | Airfoil chord length [m] |
| DS | Dynamic stall |
| Drag coefficient, [−] | |
| DSV | Dynamic stall vortex |
| Skin friction coefficient [−] | |
| LSB | Laminar separation bubble |
| Critical minimum skin friction coefficient [−] | |
| SPGR | Suction peak growth rate (derived from evolution) |
| Lift coefficient, [−] | |
| SSI | Stall severity index |
| Moment coefficient, [−] | |
| URANS | Unsteady Reynolds-Averaged Navier–Stokes |
| Turbine power coefficient, [−] | |
| VAWT | Vertical-Axis Wind Turbine |
| Pressure coefficient [−] |
Appendix A. Full Spatiotemporal Cf and CoP Contours for the Complete Airfoil Set



Appendix B. Flow-Physics Documentation of Mechanism-Based Stall Types




References
- Almohammadi, K.M.; Ingham, D.B.; Ma, L.; Pourkashanian, M. Modeling dynamic stall of a straight blade vertical axis wind turbine. J. Fluids Struct. 2015, 57, 144–158. [Google Scholar] [CrossRef]
- Buchner, A.-J.; Soria, J.; Honnery, D.; Smits, A.J. Dynamic stall in vertical axis wind turbines: Scaling and topological considerations. J. Fluid Mech. 2018, 841, 746–766. [Google Scholar] [CrossRef]
- Simão Ferreira, C.; Van Kuik, G.; Van Bussel, G.; Scarano, F. Visualization by PIV of dynamic stall on a vertical axis wind turbine. Exp. Fluids 2009, 46, 97–108. [Google Scholar] [CrossRef]
- Amet, E.; Maître, T.; Pellone, C.; Achard, J.-L. 2D numerical simulations of blade-vortex interaction in a Darrieus turbine. J. Fluids Eng. 2009, 131, 111103. [Google Scholar] [CrossRef]
- Bianchini, A.; Balduzzi, F.; Ferrara, G.; Ferrari, L. Virtual incidence effect on rotating airfoils in Darrieus wind turbines. Energy Convers. Manag. 2016, 111, 329–338. [Google Scholar] [CrossRef]
- Migliore, P.G.; Wolfe, W.P.; Fanucci, J.B. Flow curvature effects on Darrieus turbine blade aerodynamics. J. Energy 1980, 4, 49–55. [Google Scholar] [CrossRef]
- Tsai, H.-C.; Colonius, T. Coriolis effect on dynamic stall in a vertical axis wind turbine. AIAA J. 2016, 54, 216–226. [Google Scholar] [CrossRef]
- Sharma, A.; Visbal, M. Numerical investigation of the effect of airfoil thickness on onset of dynamic stall. J. Fluid Mech. 2019, 870, 870–900. [Google Scholar] [CrossRef]
- Leishman, J.G. Challenges in modelling the unsteady aerodynamics of wind turbines. Wind Energy 2002, 5, 85–132. [Google Scholar] [CrossRef]
- Mulleners, K.; Raffel, M. Dynamic stall development. Exp. Fluids 2013, 54, 1469. [Google Scholar] [CrossRef]
- Rezaeiha, A.; Montazeri, H.; Blocken, B. CFD analysis of dynamic stall on vertical axis wind turbines using Scale-Adaptive Simulation (SAS): Comparison against URANS and hybrid RANS/LES. Energy Convers. Manag. 2019, 196, 1282–1298. [Google Scholar] [CrossRef]
- Le Fouest, S.; Mulleners, K. The dynamic stall dilemma for vertical-axis wind turbines. Renew. Energy 2022, 198, 505–520. [Google Scholar] [CrossRef]
- Buchner, A.-J.; Lohry, M.W.; Martinelli, L.; Soria, J.; Smits, A.J. Dynamic stall in vertical axis wind turbines: Comparing experiments and computations. J. Wind Eng. Ind. Aerodyn. 2015, 146, 163–171. [Google Scholar] [CrossRef]
- Gonçalves, A.N.C.; Pereira, J.M.C.; Sousa, J.M.M. Passive control of dynamic stall in a H-Darrieus Vertical Axis Wind Turbine using blade leading-edge protuberances. Appl. Energy 2022, 324, 119700. [Google Scholar] [CrossRef]
- Choudhry, A.; Arjomandi, M.; Kelso, R. Horizontal axis wind turbine dynamic stall predictions based on wind speed and direction variability. Proc. Inst. Mech. Eng. Part A J. Power Energy 2013, 227, 338–351. [Google Scholar] [CrossRef]
- Kim, H.R.; Printezis, J.A.; Ahrens, J.D.; Seume, J.R.; Wein, L. Characterization of dynamic stall of a wind turbine airfoil with a high Reynolds number. Wind Energy Sci. 2025, 10, 161–175. [Google Scholar] [CrossRef]
- Zhu, C.; Qiu, Y.; Wang, T. Dynamic stall of the wind turbine airfoil and blade undergoing pitch oscillations: A comparative study. Energy 2021, 222, 120004. [Google Scholar] [CrossRef]
- Guntur, S.; Sørensen, N.N.; Schreck, S.; Bergami, L. Modeling dynamic stall on wind turbine blades under rotationally augmented flow fields. Wind Energy 2016, 19, 383–397. [Google Scholar] [CrossRef]
- Wang, Q.; Zhao, Q.; Wu, Q. Aerodynamic shape optimization for alleviating dynamic stall characteristics of helicopter rotor airfoil. Chin. J. Aeronaut. 2015, 28, 346–356. [Google Scholar] [CrossRef]
- Mulleners, K.; Kindler, K.; Raffel, M. Dynamic stall on a fully equipped helicopter model. Aerosp. Sci. Technol. 2012, 19, 72–76. [Google Scholar] [CrossRef]
- McCroskey, W.J.; Carr, L.W.; McAlister, K.W. Dynamic stall experiments on oscillating airfoils. AIAA J. 1976, 14, 57–63. [Google Scholar] [CrossRef]
- Garmann, D.J.; Visbal, M.R. Control of dynamic stall on swept finite wings. AIAA J. 2022, 60, 5262–5272. [Google Scholar] [CrossRef]
- Gandhi, A.; Merrill, B.; Peet, Y.T. Effect of reduced frequency on dynamic stall of a pitching airfoil in a turbulent wake. In Proceedings of the 55th AIAA Aerospaces Sciences Meeting, Grapevine, TX, USA, 9–13 January 2017; American Institute of Aeronautics and Astronautics: Reston, VA, USA, 2017. [Google Scholar] [CrossRef]
- Yu, J.M.; Leu, T.S.; Miau, J.J. Investigation of reduced frequency and freestream turbulence effects on dynamic stall of a pitching airfoil. J. Vis. 2017, 20, 31–44. [Google Scholar] [CrossRef]
- Zhu, C.; Yang, H.; Qiu, Y.; Zhou, G.; Wang, L.; Feng, Y.; Shen, Z.; Shen, X.; Feng, X.; Wang, T. Effects of the Reynolds number and reduced frequency on the aerodynamic performance and dynamic stall behaviors of a vertical axis wind turbine. Energy Convers. Manag. 2023, 293, 117513. [Google Scholar] [CrossRef]
- Lee, S.; Chanez, B.; Gross, A. Numerical analysis of Reynolds and Mach number effect on dynamic stall onset. Phys. Fluids 2024, 36, 117169. [Google Scholar] [CrossRef]
- Jing, S.; Lu, F.; Ma, L.; Zhao, Q.; Zhao, G. Dynamic stall mechanisms of pitching airfoil: IDDES study across different Mach numbers. Appl. Sci. Switz. 2025, 15, 7309. [Google Scholar] [CrossRef]
- Sangwan, J.; Sengupta, T.K.; Suchandra, P. Investigation of compressibility effects on dynamic stall of pitching airfoil. Phys. Fluids 2017, 29, 076104. [Google Scholar] [CrossRef]
- Huebsch, W.W.; Rothmayer, A.P. Effects of surface ice roughness on dynamic stall. J. Aircr. 2002, 39, 945–953. [Google Scholar] [CrossRef]
- Tirandaz, M.R.; Rezaeiha, A. Effect of airfoil shape on power performance of vertical axis wind turbines in dynamic stall: Symmetric Airfoils. Renew. Energy 2021, 173, 422–441. [Google Scholar] [CrossRef]
- McCroskey, W.J.; McAlister, K.W.; Carr, L.W.; Pucci, S.L.; Lambert, O. Dynamic stall on advanced airfoil sections. J. Am. Helicopter Soc. 1981, 26, 40–50. [Google Scholar] [CrossRef]
- Bangga, G.; Hutani, S.; Heramarwan, H. The effects of airfoil thickness on dynamic stall characteristics of high-solidity vertical axis wind turbines. Adv. Theory Simul. 2021, 4, 2000204. [Google Scholar] [CrossRef]
- Abdallah, A.; William, M.A.; Moharram, N.A.; Zidane, I.F. Boosting H-Darrieus vertical axis wind turbine performance: A CFD investigation of J-Blade aerodynamics. Results Eng. 2025, 27, 106358. [Google Scholar] [CrossRef]
- Tirandaz, M.R.; Rezaeiha, A.; Micallef, D. Towards smart blades for vertical axis wind turbines: Different airfoil shapes and tip speed ratios. Wind Energy Sci. 2023, 8, 1403–1424. [Google Scholar] [CrossRef]
- Grohsmeyer, S.; Ekaterinaris, J.; Platzer, M. Numerical investigation of the effect of leading edge geometry on dynamic stall of airfoils. In Proceedings of the 22nd Fluid Dynamics, Plasma Dynamics and Lasers Conference, Honolulu, HI, USA, 24–26 June 1991; American Institute of Aeronautics and Astronautics: Reston, VA, USA, 1991. [Google Scholar] [CrossRef][Green Version]
- Joo, W.; Yee, K.; Lee, D.-H. Numerical Investigation of dynamic stall control via airfoil thickness variation. J. Aircr. 2002, 39, 262–270. [Google Scholar] [CrossRef]
- Hamdani, H.; Riaz, R.; Qureshi, H.; Parvez, K.; Naqvi, M.A.; Sheikh, S. Effects of different thickness variation strategies on dynamic stall in an oscillating airfoil. In Proceedings of the 3rd AIAA Flow Control Conference, San Francisco, CA, USA, 5–8 June 2006; American Institute of Aeronautics and Astronautics: Reston, VA, USA, 2006. [Google Scholar] [CrossRef]
- Ramesh, K.; Ke, J.; Gopalarathnam, A.; Edwards, J. Effect of airfoil shape and Reynolds number on leading edge vortex shedding in unsteady flows. In Proceedings of the 30th AIAA Applied Aerodynamics Conference, New Orleans, LA, USA, 25–28 June 2012; American Institute of Aeronautics and Astronautics: Reston, VA, USA, 2012. [Google Scholar] [CrossRef]
- Ouro, P.; Stoesser, T.; Ramírez, L. Effect of blade cambering on dynamic stall in view of designing vertical axis turbines. J. Fluids Eng. 2018, 140, 061104. [Google Scholar] [CrossRef]
- Jain, S.; Saha, U.K. On the influence of blade thickness-to-chord ratio on dynamic stall phenomenon in H-type Darrieus wind rotors. Energy Convers. Manag. 2020, 218, 113024. [Google Scholar] [CrossRef]
- Wang, P.; Wang, L.; Kong, X.; Wu, D.; Huang, B. Influence of relative thickness on static and dynamic stall characteristics and prediction of airfoils. Ocean Eng. 2023, 271, 113690. [Google Scholar] [CrossRef]
- Rezaeiha, A.; Montazeri, H.; Blocken, B. Characterization of aerodynamic performance of vertical axis wind turbines: Impact of operational parameters. Energy Convers. Manag. 2018, 169, 45–77. [Google Scholar] [CrossRef]
- Rezaeiha, A.; Montazeri, H.; Blocken, B. Towards optimal aerodynamic design of vertical axis wind turbines: Impact of solidity and number of blades. Energy 2018, 165, 1129–1148. [Google Scholar] [CrossRef]
- Tescione, G.; Ragni, D.; He, C.; Ferreira, C.J.S.; Van Bussel, G.J.W. Near wake flow analysis of a vertical axis wind turbine by stereoscopic particle image velocimetry. Renew. Energy 2014, 70, 47–61. [Google Scholar] [CrossRef]
- Rezaeiha, A.; Kalkman, I.; Montazeri, H.; Blocken, B. Effect of the shaft on the aerodynamic performance of urban vertical axis wind turbines. Energy Convers. Manag. 2017, 149, 616–630. [Google Scholar] [CrossRef]
- Rezaeiha, A.; Montazeri, H.; Blocken, B. On the accuracy of turbulence models for CFD simulations of vertical axis wind turbines. Energy 2019, 180, 838–857. [Google Scholar] [CrossRef]
- Rezaeiha, A.; Montazeri, H.; Blocken, B. Scale-adaptive simulation (SAS) of dynamic stall on a wind turbine. In Progress in Hybrid RANS-LES Modelling, Proceedings of the 7th Symposium on Hybrid RANS-LES Methods, Berlin, Germany, 17–19 September, 2018; Springer International Publishing: Cham, Switzerland, 2020; pp. 323–333. [Google Scholar] [CrossRef]
- Rezaeiha, A.; Montazeri, H.; Blocken, B. Towards accurate CFD simulations of vertical axis wind turbines at different tip speed ratios and solidities: Guidelines for azimuthal increment, domain size and convergence. Energy Convers. Manag. 2018, 156, 301–316. [Google Scholar] [CrossRef]
- Rezaeiha, A.; Kalkman, I.; Blocken, B. CFD simulation of a vertical axis wind turbine operating at a moderate tip speed ratio: Guidelines for minimum domain size and azimuthal increment. Renew. Energy 2017, 107, 373–385. [Google Scholar] [CrossRef]
- Roache, P.J. Quantification of uncertainty in computational fluid dynamics. Annu. Rev. Fluid Mech. 1997, 29, 123–160. [Google Scholar] [CrossRef]
- Rezaeiha, A.; Montazeri, H.; Blocken, B. Active flow control for power enhancement of vertical axis wind turbines: Leading-edge slot suction. Energy 2019, 189, 116131. [Google Scholar] [CrossRef]
- Raciti Castelli, M.; Englaro, A.; Benini, E. The Darrieus wind turbine: Proposal for a new performance prediction model based on CFD. Energy 2011, 36, 4919–4934. [Google Scholar] [CrossRef]
- Gaster, M. The Structure and Behaviour of Laminar Separation Bubbles; HMSO: London, UK, 1969. [Google Scholar]
- Tani, I. Low-speed flows involving bubble separations. Prog. Aerosp. Sci. 1964, 5, 70–103. [Google Scholar] [CrossRef]
- Sahin, M.; Hall, J.; Mohseni, K.; Hillewaert, K. Direct numerical simulation of separated low-Reynolds number flows around an eppler 387 airfoil. In Proceedings of the 46th AIAA Aerospace Sciences Meeting and Exhibit, Reno, NV, USA, 7–10 January 2008; American Institute of Aeronautics and Astronautics: Reno, NV, USA, 2008. [Google Scholar] [CrossRef][Green Version]
- Genç, M.S.; Karasu, İ; Açıkel, H.H. An experimental study on aerodynamics of NACA2415 aerofoil at low Re numbers. Exp. Therm. Fluid Sci. 2012, 39, 252–264. [Google Scholar] [CrossRef]
- Dellacasagrande, M.; Lengani, D.; Simoni, D.; Ubaldi, M. An experimental database for the analysis of bursting of a laminar separation bubble. Int. J. Turbomach. Propuls. Power 2024, 9, 3. [Google Scholar] [CrossRef]
- Visbal, M.R.; Garmann, D.J. Analysis of dynamic stall on a pitching airfoil using high-fidelity large-eddy simulations. AIAA J. 2018, 56, 46–63. [Google Scholar] [CrossRef]
- Dellacasagrande, M.; Barsi, D.; Lengani, D.; Simoni, D. Instability processes in short and long laminar separation bubbles. Exp. Fluids 2024, 65, 109. [Google Scholar] [CrossRef]
- Leishman, J.G. Principles of Helicopter Aerodynamics; Cambridge University Press: Cambridge, UK, 2006. [Google Scholar]
- Sudharsan, S.; Sharma, A. Criteria for dynamic stall onset and vortex shedding in low-Reynolds-number flows. J. Fluid Mech. 2024, 996, A11. [Google Scholar] [CrossRef]
- Abbott, I.H. Theory of Wing Sections: Including a Summary of Airfoil Data; Dover Publications: Garden City, NY, USA, 2012. [Google Scholar]
- Anderson, J.D. Fundamentals of Aerodynamics, 6th ed.; McGraw-Hill Education: New York, NY, USA, 2017. [Google Scholar]
- Mulleners, K.; Raffel, M. The onset of dynamic stall revisited. Exp. Fluids 2012, 52, 779–793. [Google Scholar] [CrossRef]
- Albertson, J.; Troutt, T.; Siuru, W.; Walker, J. Dynamic stall vortex development and the surface pressure field of apitching airfoil. In Proceedings of the 19th AIAA, Fluid Dynamics, Plasma Dynamics, and Lasers Conference, Honolulu, HI, USA, 8–10 June 1987; American Institute of Aeronautics and Astronautics: Reston, VA, USA, 1987. [Google Scholar] [CrossRef]
- Sudharsan, S.; Narsipur, S.; Sharma, A. Evaluating dynamic stall-onset criteria for mixed and trailing-edge stall. AIAA J. 2023, 61, 1181–1196. [Google Scholar] [CrossRef]
- Sudharsan, S.; Ganapathysubramanian, B.; Sharma, A. A vorticity-based criterion to characterise leading edge dynamic stall onset. J. Fluid Mech. 2022, 935, A10. [Google Scholar] [CrossRef]
- Wang, Q.; Zhao, Q. Experiments on unsteady vortex flowfield of typical rotor airfoils under dynamic stall conditions. Chin. J. Aeronaut. 2016, 29, 358–374. [Google Scholar] [CrossRef]
- Ericsson, L.E.; Reding, J.P. Unsteady airfoil stall, review and extension. J. Aircr. 1971, 8, 609–616. [Google Scholar] [CrossRef]




















| Parameter | Value |
|---|---|
| Turbine type | Darrieus H-type (lift based) |
| n | 1 |
| d | 1 m |
| 0.06 | |
| Airfoil shape | Original NACA0018; designated as NACA0018-6/3; ; ; |
| Blade-spoke connection point | |
| c | 0.06 m |
| 9.3 m/s | |
| 46.5 rad/s | |
| 2.5 | |
| [] | 1.03 |
| TI | 5% |
| Parameter | Specification |
|---|---|
| Domain (Figure 2a) | (d: turbine diameter) |
| Grid (Figure 2b–e) | 302,815 quadrilateral cells; 800 cells around the airfoil circumference; max |
| Boundary conditions | Inlet: uniform normal velocity (TI = 5%, turbulence length scale = d); outlet: zero static gauge pressure; side boundaries: symmetry; walls: no-slip |
| Turbulence model | Four-equation transition SST |
| CFD approach | Incompressible Unsteady Reynolds-Averaged Navier–Stokes (URANS) |
| Solver | ANSYS Fluent v2019R2 |
| Discretization order (time and space) | Second order |
| Pressure–velocity coupling scheme | SIMPLE |
| Azimuthal increment () | 0.1° |
| Time step size | s |
| No. of time steps per turbine revolution | 3600 |
| No. of turbine revolutions to reach statistical convergence | 20 (results shown for the 21st revolution) |
| Total time steps | 72,000 |
| No. of iterations per time step | 20 |
| Scaled residuals | < |
| Parameter | Values |
|---|---|
| [%] | 10, 12, 15, 18, 21, 24 |
| [%] | 20, 22.5, 25, 27.5, 30, 35, 40 |
| I [−] | 4.5, 6.0, 7.5 |
| Airfoil | Configuration | Rank | [] | SPGR | [°] | [%c] | BSI | [°] | SSI | ||
|---|---|---|---|---|---|---|---|---|---|---|---|
| Base. | NACA0018–6.0/3.0 | 18 | 559 | 0.458 | 26.9 | 0.31 | 0.11 | 0.587 | 0.0425 | 76 | 0.1403 |
| Opt. | NACA0024–4.5/3.5 | 1 | 969 | 0.278 | 26.8 | 0.44 | 0.135 | 0.749 | 0.0247 | 97.7 | 0.0001 |
| [%] | – | – | +73.3 | +41.9 | +22.7 | +27.6 | +28.6 |
Disclaimer/Publisher’s Note: The statements, opinions and data contained in all publications are solely those of the individual author(s) and contributor(s) and not of MDPI and/or the editor(s). MDPI and/or the editor(s) disclaim responsibility for any injury to people or property resulting from any ideas, methods, instructions or products referred to in the content. |
© 2026 by the authors. Licensee MDPI, Basel, Switzerland. This article is an open access article distributed under the terms and conditions of the Creative Commons Attribution (CC BY) license.
Share and Cite
Tirandaz, R.; Rezaeiha, A.; Micallef, D. A Deeper Insight into Dynamic Stall of Vertical Axis Wind Turbines: Parametric Study of Symmetric Airfoils. Energies 2026, 19, 1615. https://doi.org/10.3390/en19071615
Tirandaz R, Rezaeiha A, Micallef D. A Deeper Insight into Dynamic Stall of Vertical Axis Wind Turbines: Parametric Study of Symmetric Airfoils. Energies. 2026; 19(7):1615. https://doi.org/10.3390/en19071615
Chicago/Turabian StyleTirandaz, Rasoul, Abdolrahim Rezaeiha, and Daniel Micallef. 2026. "A Deeper Insight into Dynamic Stall of Vertical Axis Wind Turbines: Parametric Study of Symmetric Airfoils" Energies 19, no. 7: 1615. https://doi.org/10.3390/en19071615
APA StyleTirandaz, R., Rezaeiha, A., & Micallef, D. (2026). A Deeper Insight into Dynamic Stall of Vertical Axis Wind Turbines: Parametric Study of Symmetric Airfoils. Energies, 19(7), 1615. https://doi.org/10.3390/en19071615

