Sign in to use this feature.

Years

Between: -

Subjects

remove_circle_outline
remove_circle_outline
remove_circle_outline
remove_circle_outline
remove_circle_outline
remove_circle_outline

Journals

Article Types

Countries / Regions

Search Results (21)

Search Parameters:
Keywords = thionation

Order results
Result details
Results per page
Select all
Export citation of selected articles as:
6 pages, 1114 KB  
Proceeding Paper
Synthesis of New O- and S-Containing Polyheteroatomic Systems Based on 3-Substituted Pyran-2-Ones with Lawesson’s Reagent
by Dinara Ch. Kurenkova, Ekaterina M. Arzyamova, Olga A. Mazhukina and Alevtina Yu. Yegorova
Chem. Proc. 2024, 16(1), 18; https://doi.org/10.3390/ecsoc-28-20106 - 9 Dec 2024
Viewed by 903
Abstract
In recent years, Lawesson’s reagent has been explored for the synthesis of both open-chain P,S-containing derivatives and P,S-heterocyclic systems, with potential biological activity. The character of the interaction between arylmethylene-2H-pyran-2-ones and Lawesson’s reagent depends on the structure and position of the substituent in [...] Read more.
In recent years, Lawesson’s reagent has been explored for the synthesis of both open-chain P,S-containing derivatives and P,S-heterocyclic systems, with potential biological activity. The character of the interaction between arylmethylene-2H-pyran-2-ones and Lawesson’s reagent depends on the structure and position of the substituent in the aromatic ring of the substrate and on the polarity of the reaction medium. Three main pathways were shown to be realized for this group of compounds. In the absence of a substituent in the ring, the reaction proceeds as a classical thionation followed by S-heterocyclization. In the presence of the electron-withdrawing group, the enol form of the substrate is stabilized, which promotes the formation of a new pyran ring or a phosphorus-sulfur-organic compound. Full article
Show Figures

Figure 1

19 pages, 10172 KB  
Review
Synthesis of Thionated Perylenediimides: State of the Art and First Investigations of an Alternative to Lawesson’s Reagent
by Oksana Kharchenko, Anna Hryniuk, Oksana Krupka and Piétrick Hudhomme
Molecules 2024, 29(11), 2538; https://doi.org/10.3390/molecules29112538 - 28 May 2024
Cited by 2 | Viewed by 2739
Abstract
Perylenediimides (PDIs) are composed of a central perylene ring, on which are grafted two imide groups at the peri positions. Thionated PDIs are characterized by the substitution of one or more oxygen atoms of these imide functions with sulfur atoms. This structural modification [...] Read more.
Perylenediimides (PDIs) are composed of a central perylene ring, on which are grafted two imide groups at the peri positions. Thionated PDIs are characterized by the substitution of one or more oxygen atoms of these imide functions with sulfur atoms. This structural modification alters the electronic properties with a redshift of the optical absorption accompanied by modification of the charge transport characteristics compared to their non-thionated counterparts. These properties make them suitable candidates for applications in optoelectronic devices, such as organic light-emitting diodes and organic photovoltaics. Moreover, the presence of sulfur atom(s) can favor the promotion of reactive oxygen species production for photodynamic and photothermal therapies. These thionated PDIs can be synthesized through the post-functionalization of PDIs by using a sulfurizing reagent. Nevertheless, the main drawbacks remain the difficulties in adjusting the degree of thionation and obtaining tri- and tetrathionated PDIs. Up to now, this thionation reaction has been described almost exclusively using Lawesson’s reagent. In the current study, we present our first investigations into an alternative reagent to enhance selectivity and achieve a greater degree of thionation. The association of phosphorus pentasulfide with hexamethyldisiloxane (Curphey’s reagent) clearly demonstrated higher reactivity compared with Lawesson’s reagent to attain multi-thionated PDIs. Full article
(This article belongs to the Special Issue Organosulfur and Organoselenium Chemistry)
Show Figures

Figure 1

18 pages, 2989 KB  
Article
Towards Symmetric Thioamides: Microwave-Aided Synthesis of Terephthalic Acid Derivatives
by Andrzej Bak, Violetta Kozik, Aleksandra Swietlicka, Wojciech Baran, Adam Smolinski and Andrzej Zięba
Pharmaceuticals 2023, 16(7), 984; https://doi.org/10.3390/ph16070984 - 9 Jul 2023
Cited by 1 | Viewed by 2551
Abstract
The multistep synthesis of novel bis-terephthalthioamides based on methyl esters of amino acids (AAs) was proposed using conventional heating and microwave-assisted approaches. In fact, the comparative case study on the thionation of new symmetrical diamides with Lawesson’s reagent (LR) was performed. The [...] Read more.
The multistep synthesis of novel bis-terephthalthioamides based on methyl esters of amino acids (AAs) was proposed using conventional heating and microwave-assisted approaches. In fact, the comparative case study on the thionation of new symmetrical diamides with Lawesson’s reagent (LR) was performed. The microwave-accelerated small-scale methodology was successfully employed on the whole pathway from substrates (Gly, Ala, Val, Tyr, Ser) to products (symmetrical dithioamides of terephthalic acid), resulting in significantly reduced reaction time, energy requirements, and slightly increased reaction yields when compared to conventional heating. Moreover, the intermolecular similarity of novel terephthalic acid derivatives was estimated in the multidimensional space (mDS) of the structure/property-related in silico descriptors using principal component analysis (PCA) and hierarchical clustering analysis (HCA). The distance-oriented structure/property distribution was also correlated with the experimental lipophilic data. Full article
(This article belongs to the Special Issue Methyl-Containing Pharmaceuticals)
Show Figures

Graphical abstract

12 pages, 3363 KB  
Article
Superior Heavy Metal Ion Adsorption Capacity in Aqueous Solution by High-Density Thiol-Functionalized Reduced Graphene Oxides
by Ho-Geun Kim, Jong-Seong Bae, Injoo Hwang, Sung-Hoon Kim and Ki-Wan Jeon
Molecules 2023, 28(10), 3998; https://doi.org/10.3390/molecules28103998 - 10 May 2023
Cited by 10 | Viewed by 3038
Abstract
The preparation of mercapto-reduced graphene oxides (m-RGOs) via a solvothermal reaction using P4S10 as a thionating agent has demonstrated their potential as an absorbent for scavenging heavy metal ions, particularly Pb2+, from aqueous solutions due [...] Read more.
The preparation of mercapto-reduced graphene oxides (m-RGOs) via a solvothermal reaction using P4S10 as a thionating agent has demonstrated their potential as an absorbent for scavenging heavy metal ions, particularly Pb2+, from aqueous solutions due to the presence of thiol (–SH) functional groups on their surface. The structural and elemental analysis of m-RGOs was conducted using a range of techniques, including X-ray diffraction (XRD), Raman spectroscopy, optical microscopy, scanning electron microscopy (SEM), transmission electron microscopy (TEM), scanning transmission electron microscopy equipped with energy-dispersive spectroscopy (STEM-EDS), and X-ray photoelectron spectroscopy (XPS). At pH 7 and 25 °C, the maximum adsorption capacity of Pb2+ ions on the surface of m-RGOs was determined to be approximately 858 mg/g. The heavy metal–S binding energies were used to determine the percent removal of the tested heavy metal ions, with Pb2+ exhibiting the highest percentage removal, followed by Hg2+ and Cd2+ ions having the lowest percent removal, and the binding energies observed were Pb–S at 346 kJ/mol, Hg–S at 217 kJ/mol, and Cd–S at 208 kJ/mol. The time-dependent removal study of Pb2+ ions also yielded promising results, with almost 98% of Pb2+ ions being removed within 30 min at pH 7 and 25 °C using a 1 ppm Pb2+ solution as the test solution. The findings of this study clearly demonstrate the potential and efficiency of thiol-functionalized carbonaceous material for the removal of environmentally harmful Pb2+ from groundwater. Full article
Show Figures

Figure 1

7 pages, 1626 KB  
Short Note
3-Methyl-1-phenyl-4-thioacetylpyrazol-5-one
by Zhanina Petkova, Rusi Rusew, Boris Shivachev and Vanya Kurteva
Molbank 2023, 2023(1), M1588; https://doi.org/10.3390/M1588 - 15 Feb 2023
Viewed by 1919
Abstract
The novel compound 3-methyl-1-phenyl-4-thioacetylpyrazol-5-one is obtained in excellent yield via a thionation of the corresponding oxygen analogue. The product is isolated in pure form using column chromatography and is characterised using 1D and 2D NMR experiments, ATR IR and HRMS spectra, and single-crystal [...] Read more.
The novel compound 3-methyl-1-phenyl-4-thioacetylpyrazol-5-one is obtained in excellent yield via a thionation of the corresponding oxygen analogue. The product is isolated in pure form using column chromatography and is characterised using 1D and 2D NMR experiments, ATR IR and HRMS spectra, and single-crystal XRD. Full article
Show Figures

Figure 1

7 pages, 1079 KB  
Article
Reactions of a Dioxidomolybdenum(VI) Complex with Thionation Reagents—Formation of Mo(IV) Species with Sulfur Donors
by Esko Salojärvi, Anssi Peuronen, Narhari Sapkota and Ari Lehtonen
Molecules 2022, 27(21), 7154; https://doi.org/10.3390/molecules27217154 - 22 Oct 2022
Viewed by 1857
Abstract
Molecular molybdenum complexes with sulfur donor ligands are generally studied as soluble model compounds for molybdenum enzymes essential for life. The dioxidomolybdenum(VI) complex with tetradentate aminobisphenolate ligand undergoes a reaction with thionation reagent P2S5 or its organic derivative, Lawesson’s reagent, [...] Read more.
Molecular molybdenum complexes with sulfur donor ligands are generally studied as soluble model compounds for molybdenum enzymes essential for life. The dioxidomolybdenum(VI) complex with tetradentate aminobisphenolate ligand undergoes a reaction with thionation reagent P2S5 or its organic derivative, Lawesson’s reagent, to yield stable Mo(IV) aminobisphenolate complexes, where pristine oxido ligands have been replaced by bidentate sulfur donors tetrasulfide, S42− or (4-methoxyphenyl)phosphonotrithioate residue derived from Lawesson’s reagent. This is in contrast to the behaviour of analogous dioxidotungsten(VI) complex, which, under similar conditions, yields W(VI) S2 systems. The overall cis,trans,cis geometry of the parent dioxidomolybdenum(VI) aminobisphenolate is retained, namely, the neutral nitrogen donors are in cis positions, phenolate oxygens are trans to each other and sulfur donors are cis. Although formally Mo(IV), thus d2 system, the studied complexes have diamagnetic singlet electron configurations as a result of the axially compressed octahedral structures. Full article
(This article belongs to the Special Issue Synthesis and Applications of Transition Metal Complexes)
Show Figures

Figure 1

13 pages, 2709 KB  
Article
Design and Synthesis of Thionated Levofloxacin: Insights into a New Generation of Quinolones with Potential Therapeutic and Analytical Applications
by Ali I. M. Ibrahim, Hassan Abul-Futouh, Laurance M. S. Bourghli, Mohammad Abu-Sini, Suhair Sunoqrot, Balqis Ikhmais, Vibhu Jha, Qusai Sarayrah, Dina H. Abulebdah and Worood H. Ismail
Curr. Issues Mol. Biol. 2022, 44(10), 4626-4638; https://doi.org/10.3390/cimb44100316 - 3 Oct 2022
Cited by 11 | Viewed by 3688
Abstract
Levofloxacin is a widely used fluoroquinolone in several infectious diseases. The structure–activity relationship of levofloxacin has been studied. However, the effect of changing the carbonyl into thiocarbonyl of levofloxacin has not been investigated up to the date of this report. In this work, [...] Read more.
Levofloxacin is a widely used fluoroquinolone in several infectious diseases. The structure–activity relationship of levofloxacin has been studied. However, the effect of changing the carbonyl into thiocarbonyl of levofloxacin has not been investigated up to the date of this report. In this work, levofloxacin structure was slightly modified by making a thionated form (compound 3), which was investigated for its antibacterial activity, biocompatibility, and cytotoxicity, as well as spectroscopic properties. The antibacterial susceptibility testing against five different bacteria showed promising minimum inhibitory concentrations (MICs), particularly against B. spizizenii and E. coli, with an MIC value of 1.9 µM against both bacteria, and 7.8 µM against P. mirabilis. The molecular docking experiment showed similar binding interactions of both levofloxacin and compound 3 with the active site residues of topoisomerase IV. The biocompatibility and cytotoxicity results revealed that compound 3 was more biocompatible with normal cells and more cytotoxic against cancer cells, compared to levofloxacin. Interestingly, compound 3 also showed an excitation profile with a distinctive absorption peak at λmax 404 nm. Overall, our results suggest that the thionation of quinolones may provide a successful approach toward a new generation with enhanced pharmacokinetic and safety profiles and overall activity as potential antibacterial agents. Full article
(This article belongs to the Section Molecular Microbiology)
Show Figures

Graphical abstract

21 pages, 5455 KB  
Review
Recent Development of Heavy Atom-Free Triplet Photosensitizers for Photodynamic Therapy
by Xiao Xiao, Kaiyue Ye, Muhammad Imran and Jianzhang Zhao
Appl. Sci. 2022, 12(19), 9933; https://doi.org/10.3390/app12199933 - 2 Oct 2022
Cited by 34 | Viewed by 5125
Abstract
Photodynamic therapy (PDT) is an attractive method for cancer treatment. Triplet photosensitizers (PSs) are critical for this method; upon photoexcitation, efficient intersystem crossing (ISC) occurs for triplet PSs, the triplet-excited state of the triplet PSs is populated, then via intermolecular triplet energy transfer, [...] Read more.
Photodynamic therapy (PDT) is an attractive method for cancer treatment. Triplet photosensitizers (PSs) are critical for this method; upon photoexcitation, efficient intersystem crossing (ISC) occurs for triplet PSs, the triplet-excited state of the triplet PSs is populated, then via intermolecular triplet energy transfer, the O2, in triplet-spin multiplicity at ground state, is sensitized to the singlet-excited state, i.e., singlet oxygen (1O2) is produced. This strong reactive oxygen species (ROS) will oxidize the biomolecules in the tumor tissue. Thus, the design of novel triplet PSs as efficient PDT agents is vital. In this review article, we will introduce the recent development of the heavy atom-free triplet PSs used for PDT, including those based on spin-orbit charge transfer ISC (SOCT-ISC), twisting of the π-conjugation framework-induced ISC, radical enhanced ISC, and thionated carbonyl-induced ISC. The ISC mechanisms and molecular structure design rationales are discussed. The less studied electron spin selectivity of the ISC of the triplet PSs is also introduced. This information is helpful for the future design of new efficient triplet PSs for PDT. Full article
(This article belongs to the Special Issue Photochemistry and Photodynamics)
Show Figures

Figure 1

14 pages, 1682 KB  
Article
Synthesis of Homodrimane Sesquiterpenoids Bearing 1,3-Benzothiazole Unit and Their Antimicrobial Activity Evaluation
by Lidia Lungu, Caleria Cucicova, Svetlana Blaja, Alexandru Ciocarlan, Ion Dragalin, Alic Barba, Nicoleta Vornicu, Elisabeta-Irina Geana, Ionel I. Mangalagiu and Aculina Aricu
Molecules 2022, 27(16), 5082; https://doi.org/10.3390/molecules27165082 - 10 Aug 2022
Cited by 7 | Viewed by 2143
Abstract
Based on some homodrimane carboxylic acids and their acyl chlorides, a series of fourteen 2-homodrimenyl-1,3-benzothiazoles, N-homodrimenoyl-2-amino-1,3-benzothiazoles, 4′-methyl-homodrimenoyl anilides and 4′-methyl-homodrimenthioyl anilides were synthesized and their biological activities were evaluated on five species of fungi (Aspergillus niger, Fusarium solani, Penicillium [...] Read more.
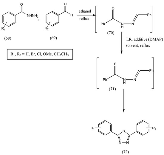
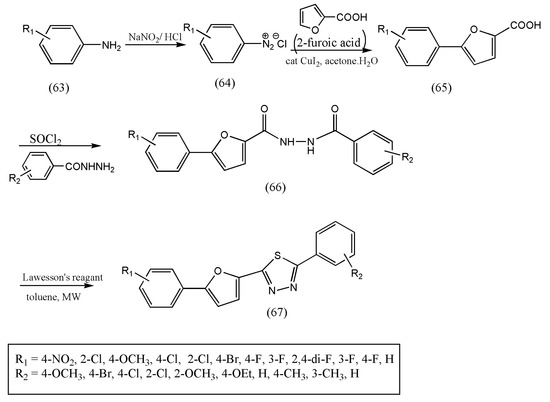
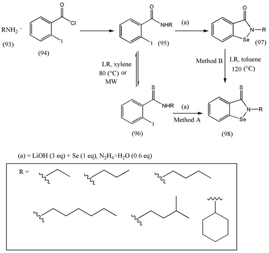
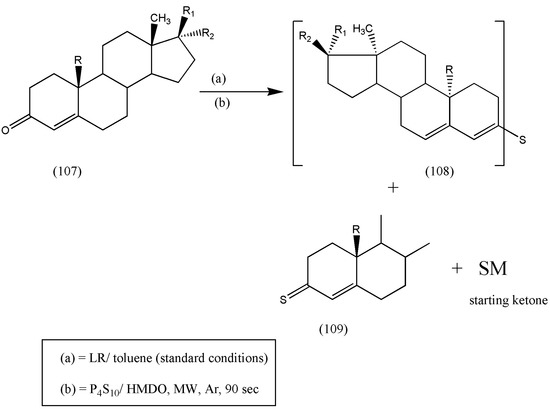
Based on some homodrimane carboxylic acids and their acyl chlorides, a series of fourteen 2-homodrimenyl-1,3-benzothiazoles, N-homodrimenoyl-2-amino-1,3-benzothiazoles, 4′-methyl-homodrimenoyl anilides and 4′-methyl-homodrimenthioyl anilides were synthesized and their biological activities were evaluated on five species of fungi (Aspergillus niger, Fusarium solani, Penicillium chrysogenum, P. frequentans, and Alternaria alternata) and two strains of bacteria (Bacillus sp. and Pseudomonas aeruginosa). The synthesis involved the decarboxylative cyclization, condensation and thionation of the said acids, anhydrides or their derivatives with 2-aminothiophenol, 2-aminobenzothiazole, p-toluidine and Lawesson’s reagent. As a result, together with the desired compounds, some unexpected products 8, 25, and 27 were obtained, and the structures and mechanisms for their formation have been proposed. Compounds 4, 9, and 25 showed higher antifungal and antibacterial activity compared to the standards caspofungin (MIC = 1.5 μg/mL) and kanamycin (MIC = 3.0 μg/mL), while compound 8 had comparable activities. In addition, compounds 6, 17, and 27 showed selective antifungal activity at MIC = 2.0, 0.25, and 1.0 μg/mL, respectively. Full article
Show Figures

Figure 1

10 pages, 4250 KB  
Communication
Dual Molecular Design toward a Lysosome-Tagged AIEgen and Heavy-Atom-Free Photosensitizers for Hypoxic Cancer Photodynamic Therapy
by Thanh Chung Pham, Thi Thuy Hang Hoang, Yeonghwan Choi, Seongman Lee, Sang-Woo Joo, Gun Kim, Dongwon Kim, Ok-Sang Jung and Songyi Lee
Biosensors 2022, 12(6), 420; https://doi.org/10.3390/bios12060420 - 15 Jun 2022
Cited by 6 | Viewed by 3164
Abstract
To date, a large number of photosensitizers (PS) have introduced heavy atoms to improve the ISC process and 1O2 generation. However, they often show low efficiency in hypoxic conditions, aggregate states, and turn-off PDT in the dark. Besides that, the toxicity [...] Read more.
To date, a large number of photosensitizers (PS) have introduced heavy atoms to improve the ISC process and 1O2 generation. However, they often show low efficiency in hypoxic conditions, aggregate states, and turn-off PDT in the dark. Besides that, the toxicity of heavy metals is also concerned. Therefore, we developed lysosome-targeted heavy-metal-free PS (3S and 4S) based on thionated naphthalimide for hypoxic cancer photodynamic therapy (PDT), not only under white light but also in the dark via thermal-induced 1O2 generation. AIEgen (3O and 4O) were prepared for studying the PDT action of PSs (3S and 4S) in lysosome and aggregate state. We also examined the photophysical properties of AIEgen (3O and 4O) and PS (3S and 4S) by UV–vis absorption, fluorescent emission spectra, and theoretical calculations. Full article
Show Figures

Figure 1

43 pages, 13053 KB  
Review
A Focused Review of Synthetic Applications of Lawesson’s Reagent in Organic Synthesis
by Hena Khatoon and Emilia Abdulmalek
Molecules 2021, 26(22), 6937; https://doi.org/10.3390/molecules26226937 - 17 Nov 2021
Cited by 30 | Viewed by 11656
Abstract
Lawesson’s reagent (LR) is a well-known classic example of a compound with unique construction and unusual chemical behavior, with a wide range of applications in synthetic organic chemistry. Its main functions were rounded for the thionation of various carbonyl groups in the early [...] Read more.
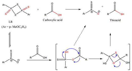
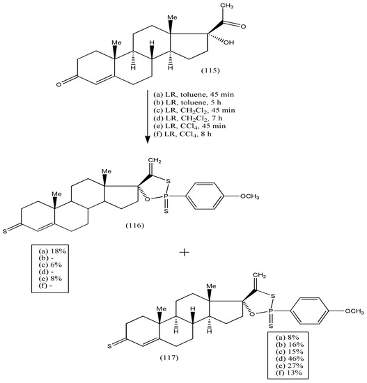
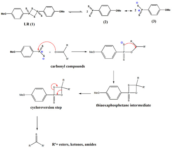
Lawesson’s reagent (LR) is a well-known classic example of a compound with unique construction and unusual chemical behavior, with a wide range of applications in synthetic organic chemistry. Its main functions were rounded for the thionation of various carbonyl groups in the early days, with exemplary results. However, the role of Lawesson’s reagent in synthesis has changed drastically, and now its use can help the chemistry community to understand innovative ideas. These include constructing biologically valuable heterocycles, coupling reactions, and the thionation of natural compounds. The ease of availability and the convenient usage of LR as a thionating agent made us compile a review on the new diverse applications on some common functional groups, such as ketones, esters, amides, alcohols, and carboxylic acids, with biological applications. Since the applications of LR are now diverse, we have also included some new classes of heterocycles such as thiazepines, phosphine sulfides, thiophenes, and organothiophosphorus compounds. Thionation of some biologically essential steroids and terpenoids has also been compiled. This review discusses the recent insights into and synthetic applications of this famous reagent from 2009 to January 2021. Full article
Show Figures

Figure 1

14 pages, 4212 KB  
Article
DFT Calculation, Hirshfeld Analysis and X-Ray Crystal Structure of Some Synthesized N-alkylated(S-alkylated)-[1,2,4]triazolo[1,5-a]quinazolines
by Hatem A. Abuelizz, Saied M. Soliman, Hazem A. Ghabbour, Mohamed Marzouk, Mohamed M. Abdellatif and Rashad Al-Salahi
Crystals 2021, 11(10), 1195; https://doi.org/10.3390/cryst11101195 - 30 Sep 2021
Cited by 3 | Viewed by 2834
Abstract
The present work aimed to synthesize 2-methylthio-triazoloquinazoline derivatives and study their X-ray, NMR, DFT and Hirshfeld characteristics. The cyclocondensation of dimethyl-N-cyanodithiocarbonate with 2-hydrazinobenzoic acid hydrochloride resulted in an intermediate, 2-methylthio-[1,2,4]triazolo[1,5-a]quinazolin-5-one (A), which upon treatment with phosphorus pentasulfide, [...] Read more.
The present work aimed to synthesize 2-methylthio-triazoloquinazoline derivatives and study their X-ray, NMR, DFT and Hirshfeld characteristics. The cyclocondensation of dimethyl-N-cyanodithiocarbonate with 2-hydrazinobenzoic acid hydrochloride resulted in an intermediate, 2-methylthio-[1,2,4]triazolo[1,5-a]quinazolin-5-one (A), which upon treatment with phosphorus pentasulfide, transformed into the 2-methylthio-[1,2,4]triazolo[1,5-a]quinazolin-5-thione (B). Reaction of 2-methylthio-triazoloquinazolines (A&B) with alkyl halides (allyl bromide and ethyl iodide) in basic medium afforded 4-allyl-2-methylthio-[1,2,4]triazolo[1,5-a]quinazolin-5-one (1; N-alkylated) and 5-ethylthio-2-methylthio-[1,2,4]triazolo[1,5-a]quinazoline (2; S-alkylated), respectively. Their molecular and supramolecular structures were presented. Unambiguously, the molecular structures of 1 and 2 were confirmed via NMR and single-crystal X-ray diffraction. The resulting findings confirmed the structures of 1 and 2 and determined their crystalized system (monoclinic system; P21/n space group). Hirshfeld analysis of 1 revealed the importance of the significantly short O···H (6.7%), S···S (1.2%) and C···C (2.8%); however, the short H···H (42.6%), S···H (16.3%) and C···C (4.3%) were showed in 2 by intermolecular interactions in the molecular packing. The 1,2,4-triazoloquinzolines (1&2) were anticipated to be relatively polar compounds with net dipole moments of 2.9284 and 4.2127 Debye, respectively. The molecular electrostatic potential, atomic charge distribution maps and reactivity descriptors for 1 and 2 were also determined. The calculated nuclear magnetic resonance spectra of the targets 1 and 2 were well correlated with the experimental data. Full article
Show Figures

Figure 1

12 pages, 4778 KB  
Article
Easily Processable, Highly Transparent and Conducting Thiol-Functionalized Reduced Graphene Oxides Langmuir-Blodgett Films
by Ki-Wan Jeon
Molecules 2021, 26(9), 2686; https://doi.org/10.3390/molecules26092686 - 4 May 2021
Cited by 6 | Viewed by 2445
Abstract
We report synthesis and fabrication of highly thionated reduced graphene oxide and its Langmuir-Blodgett (LB) film without an LB trough. As the synthesized product, mercapto reduced graphene oxide (mRGO) contains high thiol content estimated from XPS, corresponding to a surface coverage of 1.3 [...] Read more.
We report synthesis and fabrication of highly thionated reduced graphene oxide and its Langmuir-Blodgett (LB) film without an LB trough. As the synthesized product, mercapto reduced graphene oxide (mRGO) contains high thiol content estimated from XPS, corresponding to a surface coverage of 1.3 SH/nm2. The mRGO LB film shows two electronic transport properties, following Efros-Shklovskii variable-range hopping (VRH) and Mott VRH at low and high temperature, respectively. Optical and band gap of the LB film was estimated from Tauc plot and semi-logarithmic-scale plot of sheet resistance versus temperature to be 0.6 and 0.1 eV, respectively. Additionally, the sheet resistance of the mRGO LB film depends on the quantity of the thiol functional group with the same transmittance at 550 nm (500 kΩ for mRGO, 1.3 MΩ for tRGO with 92% transmittance). Full article
Show Figures

Figure 1

12 pages, 1154 KB  
Article
Novel Ring Systems: Spiro[Cycloalkane] Derivatives of Triazolo- and Tetrazolo-Pyridazines
by Csilla Sepsey Für, Gergő Riszter, Áron SzigetvárI, Miklós Dékány, György Keglevich, László HazaI and Hedvig BölcskeI
Molecules 2021, 26(8), 2140; https://doi.org/10.3390/molecules26082140 - 8 Apr 2021
Cited by 3 | Viewed by 3117
Abstract
In orderto synthesize new pyridazine derivatives anellated with different nitrogen heterocyclic moieties, spiro[cycloalkane]pyridazinones were transformed into the corresponding thioxo derivatives via a reaction with phosphorus pentasulfide. The reaction of the formed 2,3-diazaspiro[5.5] undec-3-ene-1-thiones with hydrazine provided the corresponding 1-hydrazono-2,3-diazaspiro[5.5] undec-3-ene, whose diazotization led [...] Read more.
In orderto synthesize new pyridazine derivatives anellated with different nitrogen heterocyclic moieties, spiro[cycloalkane]pyridazinones were transformed into the corresponding thioxo derivatives via a reaction with phosphorus pentasulfide. The reaction of the formed 2,3-diazaspiro[5.5] undec-3-ene-1-thiones with hydrazine provided the corresponding 1-hydrazono-2,3-diazaspiro[5.5] undec-3-ene, whose diazotization led to the desired spiro[cyclohexane-1,8-tetrazolo[1,5-b]pyridazines. The reaction of dihydropyridazinethiones with benzhydrazide afforded the corresponding 7H-spiro[[1,2,4]triazolo[4,3-b]pyridazin-8,1-cyclohexanes]. As a result of our work, seven new pyridazinethione intermediates were prepared, which served as starting materials for the synthesis of two kinds of new ring systems: tetrazolo-pyridazines and triazolo-pyridazines. The six new annulated derivatives were characterized by physicochemical parameters. The new N-heterocycles are valuable members of the large family of pyridazines. Full article
(This article belongs to the Special Issue Organic Chemistry Including Heteroatoms)
Show Figures

Graphical abstract

17 pages, 2799 KB  
Article
1,3,5-Triaryl-1,3,5-Triazinane-2,4,6-Trithiones: Synthesis, Electronic Structure and Linear Optical Properties
by Ismaël Rabouel, Nicolas Richy, Anissa Amar, Abdou Boucekkine, Thierry Roisnel, Olivier Mongin, Mark G. Humphrey and Frédéric Paul
Molecules 2020, 25(22), 5475; https://doi.org/10.3390/molecules25225475 - 23 Nov 2020
Cited by 2 | Viewed by 3593
Abstract
The synthesis of four new 1,3,5-triaryl-1,3,5-triazinane-2,4,6-trithione derivatives (thioisocyanurates) and two new partially thionated analogues from the corresponding 1,3,5-triaryl-1,3,5-triazinane-2,4,6-triones (isocyanurates) is reported, together with their spectroscopic properties. DFT calculations and comparison with the corresponding isocyanurates evidence the impact of the oxygen-for-sulfur replacement on the [...] Read more.
The synthesis of four new 1,3,5-triaryl-1,3,5-triazinane-2,4,6-trithione derivatives (thioisocyanurates) and two new partially thionated analogues from the corresponding 1,3,5-triaryl-1,3,5-triazinane-2,4,6-triones (isocyanurates) is reported, together with their spectroscopic properties. DFT calculations and comparison with the corresponding isocyanurates evidence the impact of the oxygen-for-sulfur replacement on the electronic structure and linear optical properties of these heterocycles. A bathochromic shift of the absorption bands and more efficient quenching of the fluorescence was observed. Full article
(This article belongs to the Section Photochemistry)
Show Figures

Graphical abstract

Back to TopTop