Towards Symmetric Thioamides: Microwave-Aided Synthesis of Terephthalic Acid Derivatives
Abstract
1. Introduction
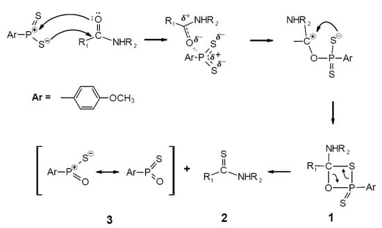
Mini-Review of Thionating Reagents
- A concerted cycloaddition of a reactive monomeric form of LR and the carbonyl-containing derivative to generate a four-membered thiaoxaphosphetane intermediate (1)
- A cycloreversion forming the corresponding thiocarbonyl analogue (2) and phenyl(thioxo)phosphine oxide (3).
2. Results and Discussion
2.1. Design and Dithioamide Synthesis
2.2. Similarity-Oriented Property Evaluation
2.3. ClogP Approximation and Empirical Lipophilicity Investigation
3. Materials and Methods
3.1. General Methods
3.2. Synthesis of Dithioamides
3.2.1. Method I: Conventional Procedure
3.2.2. Method II: Microwave-Accelerated Procedure
- methyl 3-(4-hydroxyphenyl)-2-[(4-{[3-(4-hydroxyphenyl)-1-methoxy-1-oxopropan-2yl]carbamoyl}phenyl)formamido]propanoate (4c) Mp 185 °C, 1H-NMR (400 MHz, DMSO) δ: 7.91 (s, 4H), 7.62- 7.40 (m, 8H), 6.83 (d, 2H), 4.31–3.96 (m, 2H), 3.83(d, 4H), 2.88 (s, 2H), 1.45 (s, 6H); 13C-NMR (101 MHz, DMSO) δ: 172.2, 166.6, 157.4, 133.4, 131.2, 128.25, 115.9, 53.8, 51.9, 40.6; 21.34;
- methyl 2-({4-[(1-methoxy-3-methyl-1-oxobutan-2-yl)carbamoyl]phenyl}formamido)-3-methylbutanoate (4d) Mp 115 °C, 1H-NMR (400 MHz, DMSO) δ: 7.88 (s, 4H), 6.69 (d, 2H), 4.78 (ds, 2H), 3.79 (s, 6H), 2.29 (m, 2H), 1.01 (dd, 12H); 13C-NMR (101 MHz, DMSO) δ: 172.68, 166.52, 137.10, 127.57, 57.69, 52.52, 31.78, 19.13; 18.13;
- methyl 3-hydroxy-2-({4-[(3-hydroxy-1-methoxy-1-oxopropan-2-yl)carbamoyl]phenyl}formamido)propanoate (4e) Mp 169 °C 1H-NMR (400 MHz, DMSO) δ: 8.08 (d, 2H), 7.73 (s, 4H), 4.14 (dd, 4H), 3.82 (s, 2H), 3.44 (s, 2H), 2.51 (s, 6H), 13C-NMR (101 MHz, DMSO) δ: 167.45, 132.06, 128.01, 67.89, 52.33, 45.76, 38.56;
- methyl 2-({4-[(2-methoxy-2-oxoethyl)carbamothioyl]phenyl}methanethioamido)acetate (5a) Mp 86 °C, 1H-NMR (400 MHz, CDCl3)) δ: 8.40 (s, 2H), 7.81 (s, 4H), 4.60 (d, 4H), 3.84 (s, 6H); 13C-NMR (101 MHz, CDCl3) δ: 206.45 (C=S), 169.55 (C=O), 143.03, 126.99, 52.83, 47.58; IR (KBr) υ/cm−1: 3310, 1714, 1533, 1488, 1227, 1113; HR-MS: [M + H]+: calculated 341.425240 m/z, found 341.06986 m/z;
- methyl 2-({4-[(1-methoxy-1-oxopropan-2-yl)carbamothioyl]phenyl}methanethioamido)propanoate (5b) Mp 174 °C, 1H-NMR (400 MHz, CDCl3) δ: 7.89 (s, 2H), 7.88 (s, 4H), 4.40 (t, 2H), 3.94 (d, 6H), 3.86 (s, 6H); 13C-NMR (101 MHz, CDCl3) δ: 197.29 (C=S), 171.54 (C=O), 135.27, 113.81, 67.88, 41.53, 37.55; IR (KBr) υ/cm−1: 3303, 1734, 1523, 1433, 1221, 1123; HR-MS: [M + H]+ C14H16N2O4S: calculated 369.47840 m/z, found 369.42786 m/z;
- methyl 3-(4-hydroxyphenyl)-2-[(4-{[3-(4-hydroxyphenyl)-1-methoxy-1-oxopropan-2-yl]carbamothioyl}phenyl)methanethioamido]propanoate (5c) Mp 170 °C, 1H-NMR (400 MHz, DMSO) δ: 7.83 (d, 2H), 7.59 (s, 4H), 7.23–7.06 (m, 4H), 6.93–6.74 (m, 4H), 4.42 (s, 2H), 2.64–2.22 (m, 4H), 2.05 (2H), 1.55 (s, 6H); 13C-NMR (101 MHz, DMSO) δ: 190.74 (C=S), 165.68 (C=O), 136.32, 112.43, 62.45, 57.83, 54.67, 39.97, 37.12, 25.31, 14.90; IR (KBr) υ/cm−1: 3303, 1734, 1523, 1433, 1221, 1123; HR-MS: [M + H]+: calculated 553.66910 m/z, found 553.56812 m/z;
- methyl 2-({4-[(1-methoxy-3-methyl-1-oxobutan-2-yl)carbamothioyl]phenyl}methanethioamido)-3-methylbutanoate (5d) Mp 160 °C, 1H-NMR (400 MHz, D2O) δ: 8.10 (d, 2H), 7.91 (s, 4H), 4.82 (dd, 2H), 3.78 (s, 6H), 2.30 (m,2H), 1.02 (t, 12H); 13C-NMR (101 MHz, D2O) δ: 190.71 (C=S), 167.58 (C=O), 137.12, 125.60, 57.78, 52.60, 32.05, 19.13, 18.25; IR (KBr) υ/cm−1: 3275, 1717, 1532, 1412, 1215, 1157; HR-MS: [M + H]+: calculated 425.58470 m/z, found 425.58482 m/z;
- methyl 3-hydroxy-2-({4-[(3-hydroxy-1-methoxy-1-oxopropan-2-yl)carbamothioyl]phenyl}methanethioamido)propanoate (5e) Mp 179 °C, 1H-NMR (400 MHz, DMSO) δ: 8.49 (d, 2H), 7.88 (s, 4H), 4.02 (s, 2H), 3.91–3.06 (m, 2H), 2.51 (s, 6H), 2.12–1.80 (m, 2H), 1.72– 1.15 (m, 2H); 13C-NMR (101 MHz, DMSO) δ: 190.74 (C=S), 157.83 (C=O), 54.67, 39.97, 25.31, 14.90, 14.5; IR (KBr) υ/cm−1: 3402, 3286, 1584, 1432, 1316, 1128; HR-MS: [M + H]+: calculated 402.48570 m/z, found 402.39668 m/z.
3.3. X-ray Crystallography
3.4. Experimental Lipophilicity Specification
3.4.1. TLC-Based Lipophilicity Determination
3.4.2. HPLC-Based Lipophilicity Determination
3.4.3. X-ray Crystallography
4. Conclusions
Supplementary Materials
Author Contributions
Funding
Institutional Review Board Statement
Informed Consent Statement
Data Availability Statement
Conflicts of Interest
Abbreviations
| Gly | Glycine. |
| Ala | Alanine. |
| Val | Valine. |
| Tyr | Tyrosine. |
| Ser | Serine. |
| DCM | Dichloromethane. |
| THF | Tetrahydrofuran. |
References
- Wu, G. Amino acids: Metabolism, functions, and nutrition. Amino Acids 2009, 37, 1–17. [Google Scholar] [CrossRef] [PubMed]
- Boer, A.G.; Gaillard, P.J. Strategies to improve drug delivery across the blood-brain barrier. Clin. Pharmacokinet. 2007, 46, 553–576. [Google Scholar] [CrossRef]
- Hann, M.M.; Keserü, G.M. Finding the sweet spot: The role of nature and nurture in medicinal chemistry. Nat. Rev. Drug Discov. 2012, 11, 355–365. [Google Scholar] [CrossRef] [PubMed]
- Yoshizawa, F. New therapeutic strategy for amino acid medicine: Notable functions of branched chain amino acids as biological regulators. J. Pharmacol. Sci. 2012, 118, 149–155. [Google Scholar] [CrossRef] [PubMed]
- Boman, H.G. Antibacterial peptides: Basic facts and emerging concepts. J. Intern. Med. 2003, 254, 197–215. [Google Scholar] [CrossRef]
- Vig, B.S.; Huttunen, K.M.; Laine, K.; Rautio, J. Amino acids as promoieties in prodrug design and development. Adv. Drug Deliv. Rev. 2013, 65, 1370–1385. [Google Scholar] [CrossRef]
- Veber, D.F.; Johnson, S.R.; Cheng, H.Y.; Smith, B.R.; Ward, K.W.; Kopple, K.D. Molecular properties that influence the oral bioavailability of drug candidates. J. Med. Chem. 2002, 45, 2615–2623. [Google Scholar] [CrossRef]
- Pereira, M.; Vale, N. Two possible strategies for drug modification of gemcitabine and future contributions to personalized medicine. Molecules 2022, 27, 291. [Google Scholar] [CrossRef]
- Hawryłkiewicz, A.; Ptaszyńska, N. Gemcitabine peptide-based conjugates and their application in targeted tumor therapy. Molecules 2021, 26, 364. [Google Scholar] [CrossRef]
- Lau, J.L.; Dunn, M.K. Therapeutic peptides: Historical perspectives, current development trends, and future directions. Bioorg. Med. Chem. 2018, 26, 2700–2707. [Google Scholar] [CrossRef]
- Ball, G.L.; McLellan, C.J.; Bhat, V.S. Toxicological review and oral risk assessment of terephthalic acid (TPA) and its esters: A category approach. Crit. Rev. Toxicol. 2012, 42, 28–67. [Google Scholar] [CrossRef] [PubMed]
- Hoshi, A.; Yanai, R.; Kuretani, K. Toxicity of terephthalic acid. Chem. Pharm. Bull. 1968, 16, 1655–1660. [Google Scholar] [CrossRef] [PubMed]
- Dai, G.D.; Cui, L.B.; Song, L.; Zhao, R.Z.; Chen, J.F.; Wang, Y.B.; Chang, H.C.; Wang, X.R. Metabolism of terephthalic acid and its effects on CYP4B1 induction. Biomed. Environ. Sci. 2006, 19, 8–14. [Google Scholar] [PubMed]
- Cruz, R.M.; Boleslavská, T.; Beránek, J.; Tieger, E.; Twamley, B.; Santos-Martinez, M.J.; Dammer, O.; Tajber, L. Identification and pharmaceutical characterization of a new itraconazole terephthalic acid cocrystal. Pharmaceutics 2020, 12, 741. [Google Scholar] [CrossRef] [PubMed]
- Karagianni, A.; Malamatari, M.; Kachrimanis, K. Pharmaceutical cocrystals: New solid phase modification approaches for the formulation of APIs. Pharmaceutics 2018, 10, 18. [Google Scholar] [CrossRef]
- Dunetz, J.R.; Magano, J.; Weisenburger, G.A. Large-scale applications of amide coupling reagents for the synthesis of pharmaceuticals. Org. Process Res. Dev. 2016, 20, 140–177. [Google Scholar] [CrossRef]
- Mahesh, S.; Tang, K.C.; Raj, M. Amide bond activation of biological molecules. Molecules 2018, 23, 2615. [Google Scholar] [CrossRef]
- Kemnitz, C.R.; Loewen, M.J. Amide resonance correlates with a breadth of C-N rotation barriers. J. Am. Chem. Soc. 2007, 129, 2521–2528. [Google Scholar] [CrossRef]
- Brown, D.G.; Bostrom, J. Analysis of past and present synthetic methodologies on medicinal chemistry: Where have all the new reactions gone? J. Med. Chem. 2016, 59, 4443–4458. [Google Scholar] [CrossRef]
- Pattabiraman, V.R.; Bode, J.W. Rethinking amide bond synthesis. Nature 2011, 480, 471–479. [Google Scholar] [CrossRef]
- Baikenova, G.G.; Abdulina, G.A.; Gazaliev, A.M.; Fazylov, S.D.; Kudaibergenova, S.Z. Synthesis and antimicrobial activity of anabasine, piperidine, and morpholine dithiocarbamates. Pharma. Chem. J. 2004, 38, 19–20. [Google Scholar] [CrossRef]
- Okada, T.; Minehira, D.; Takada, M.; Urata, H.; Kato, A.; Adachi, I.; Kurashima, Y.; Kaji, S.; Ogura, T.; Chiba, S.; et al. Synthesis of new tricyclic thiolactams as potent antitumor agent for pancreatic cancer. Bioorg. Med. Chem. Lett. 2016, 26, 2577–2579. [Google Scholar] [CrossRef]
- Wojciechowska-Nowak, M.; Boczoń, W.; Warżajtis, B.; Rychlewska, U.; Jasiewicz, B. Thioanalogues of N-1-methylanabasine and nicotine–synthesis and structure. J. Mol. Struct. 2011, 989, 51–59. [Google Scholar] [CrossRef]
- Al-Etaibi, A.M.; El-Apasery, M.A. Microwave-assisted synthesis of azo disperse dyes for dyeing polyester fabrics: Our contributions over the past decade. Polymers 2022, 14, 1703. [Google Scholar] [CrossRef] [PubMed]
- Al-Mousawi, S.M.; El-Apasery, M.A.; Elnagdi, M.H. Studies with condensed aminothiophenes: Microwave assisted cycloaddition reactions of thieno[3,4-d]pyridazinone and thieno[3,4-c]quinolinone. Heterocycles 2008, 75, 1151–1161. [Google Scholar] [CrossRef]
- Jiang, Q.; He, L.T.; Luo, S.Z.; Yang, Y.Q.; Yang, L.; Feng, W.; Yuan, L.H. Synthesis of a crescent aromatic oligothioamide and its high selectivity in recognizing copper (II) ions. Chin. Chem. Lett. 2013, 24, 881–884. [Google Scholar] [CrossRef]
- Jagodzinski, T.S. Thioamides as useful synthons in the synthesis of heterocycles. Chem. Rev. 2003, 103, 197–228. [Google Scholar] [CrossRef]
- Reiner, A.; Wildemann, D.; Fischer, G.; Kiefhaber, T. Effect of thioxopeptide bonds on α-helix structure and stability. J. Am. Chem. Soc. 2008, 130, 8079. [Google Scholar] [CrossRef]
- Lee, H.J.; Choi, Y.S.; Lee, K.B.; Park, J.; Yoon, C.J. Hydrogen bonding abilities of thioamide. J. Phys. Chem. A. 2002, 106, 7010–7017. [Google Scholar] [CrossRef]
- Sun, H.K.; Pang, A.; Farr, D.C.; Mosaiab, T.; Britton, W.J.; Anoopkumar-Dukie, S.; Grice, I.D.; Kiefel, M.J.; West, N.P.; Grant, G.D.; et al. Thioamide derivative of the potent antitubercular 2-(decylsulfonyl) acetamide is less active against Mycobacterium Tuberculosis, but a more potent antistaphylococcal agent. Aust. J. Chem. 2018, 71, 716–719. [Google Scholar] [CrossRef]
- Larsen, M.H.; Vilcheze, C.; Kremer, L.; Besra, G.S.; Parsons, L.; Salfinger, M.; Heifets, L.; Hazbon, M.H.; Alland, D.; Sacchettini, J.C.; et al. Overexpression of inhA, but not kasA, confers resistance to isoniazid and ethionamide in Mycobacterium smegmatis, M. bovis BCG and M. tuberculosis. Mol. Microbiol. 2002, 46, 453–466. [Google Scholar] [CrossRef]
- Zhu, S.; Noviello, C.M.; Teng, J.; Walsh, R.M., Jr.; Kim, J.J.; Hibbs, R.E. Structure of a human synaptic GABAA receptor. Nature 2018, 559, 67–72. [Google Scholar] [CrossRef]
- Wang, F.; Langley, R.; Gulten, G.; Dover, L.G.; Besra, G.S.; Jacobs, W.R., Jr.; Sacchettini, J.C. Mechanism of thioamide drug action against tuberculosis and leprosy. J. Exp. Med. 2007, 204, 73–78. [Google Scholar] [CrossRef] [PubMed]
- Fajardo, T.T.; Guinto, R.S.; Cellona, R.V.; Abalos, R.M.; Dela Cruz, E.C.; Gelber, R.H. A clinical trial of ethionamide and prothionamide for treatment of lepromatous leprosy. Am. J. Trop. Med. Hyg. 2006, 74, 457–461. [Google Scholar] [CrossRef] [PubMed]
- Shibahara, F.; Sugiura, R.; Murai, T. Direct thionation and selenation of amides using elemental sulfur and selenium and hydrochlorosilanes in the presence of amines. Org. Lett. 2009, 11, 3064–3067. [Google Scholar] [CrossRef] [PubMed]
- Pathak, U.; Pandey, L.K.; Tank, R.J. Expeditious microwave-assisted thionation with the system PSCl3/H2O/Et3N under solvent-free condition. Org. Chem. 2008, 73, 2890. [Google Scholar] [CrossRef]
- Zhang, Y.; Zhang, L.; Li, L.; Chen, G.H.; Jiang, F. A novel elemental sulfur reduction and sulfide oxidation integrated process for wastewater treatment and sulfur recycling. Chem. Eng. J. 2018, 15, 438–445. [Google Scholar] [CrossRef]
- Cherkasov, R.A.; Kutyrev, G.A.; Pudovik, A.N. Tetrahedron report number 186: Organothiophosphorus reagents in organic synthesis. Tetrahedron 1985, 41, 2567–2624. [Google Scholar] [CrossRef]
- Ozturk, T.; Ertas, E.; Mert, O. A Berzelius reagent, phosphorus decasulfide (P4S10) in organic syntheses. Chem. Rev. 2010, 110, 3419–3478. [Google Scholar] [CrossRef]
- Brillon, D. Recent developments in the area of thionation methods and related synthetic applications. Sulfur Rep. 1992, 12, 297–332. [Google Scholar] [CrossRef]
- Tanaka, K.; Toda, F. Solvent-free organic synthesis. Chem. Rev. 2000, 100, 1025–1074. [Google Scholar] [CrossRef]
- Jesberger, M.; Davis, T.P.; Barner, L. Applications of Lawesson’s reagent in organic and organometallic syntheses. Synthesis 2003, 2003, 1929–1958. [Google Scholar] [CrossRef]
- Polshettiwar, V.; Kaushik, M.P. Recent advances in thionating reagents for the synthesis of organosulfur compounds. J. Sulphur Chem. 2006, 27, 353–386. [Google Scholar] [CrossRef]
- Kappe, C.O. Controlled microwave heating in modern organic synthesis. Angew. Chem. Int. Ed. 2004, 43, 6250–6284. [Google Scholar] [CrossRef]
- Curphey, T.J. Thionation with the reagent combination of phosphorus pentasulfide and hexamethyldisiloxane. J. Org. Chem. 2002, 67, 6461–6473. [Google Scholar] [CrossRef] [PubMed]
- Curphey, T.J. Thionation of esters and lactones with the reagent combination of phosphorus pentasulfide and hexamethyldisiloxane. Tetrahedron Lett. 2002, 43, 371. [Google Scholar] [CrossRef]
- Curphey, T.J. A superior procedure for the conversion of 3-oxoesters to 3H-1,2-dithiole-3-thiones. Tetrahedron Lett. 2000, 41, 9963. [Google Scholar] [CrossRef]
- Polshettiwar, V.; Kaushik, M.P. Alumina encapsulated phosphorus pentasulfide (P4S10/Al2O3) mediated efficient thionation of long chain amides. Tetrahedron Lett. 2006, 47, 2315–2317. [Google Scholar] [CrossRef]
- Lagiakos, H.R.; Walker, A.; Aguilar, M.; Perlmutteret, P. Thionation of amides using a solid-supported P2S5 reagent under microwave irradiation. Tetrahedron Lett. 2011, 52, 5131–5132. [Google Scholar] [CrossRef]
- Cortés-Santiago, A.; Navarrete-López, A.M.; Vargas, R.; Garza, J. Dissociation energy for the P2S2 ring in a family of thionation reagents and the corresponding chemical reactivity of separated species: A density functional theory analysis. J. Phys. Org. Chem. 2017, 30, 3624. [Google Scholar] [CrossRef]
- Lecher, H.Z.; Greenwood, R.A.; Whitehouse, K.C.; Chao, T.H. The phosphonation of aromatic compounds with phosphorus pentasulfide. J. Am. Chem. Soc. 1956, 78, 5018–5022. [Google Scholar] [CrossRef]
- Pedersen, B.S.; Scheibye, S.; Nilsson, N.H.; Lawesson, S.O. Studies on organophosphorus compounds XX. Syntheses of thioketones. Bull. Soc. Chim. Belg. 1978, 87, 223–228. [Google Scholar] [CrossRef]
- Mardyukov, A.; Niedek, D.; Schreiner, P.R. Unravelling Lawesson’s reagent: The structure of monomeric (4-methoxyphenyl)phosphine disulfide. Chem. Commun. 2018, 54, 2715. [Google Scholar] [CrossRef] [PubMed]
- Varma, R.S.; Kumar, D. Microwave-accelerated solvent-free synthesis of thioketones, thiolactones, thioamides, thionoesters, and thioflavonoids. Org. Lett. 1999, 1, 697–700. [Google Scholar] [CrossRef] [PubMed]
- Ori, M.; Nishio, T. Sulfur-containing heterocycles: Facile synthesis of 4H-1,3-thiazines by the reaction of 3-N-acylamino ketones with Lawesson’s reagent. Heterocycles 2000, 52, 111–116. [Google Scholar] [CrossRef]
- Rao, Y.; Li, X.; Nagorny, P.; Hayashida, J.; Danishefsky, S.J. A simple method for the conversion of carboxylic acids into thioacids with Lawesson’s reagent. Tetrahedron Lett. 2009, 50, 6684–6686. [Google Scholar] [CrossRef]
- Legnani, L.; Toma, L.; Caramella, P.; Chiacchio, M.A.; Delso, S.G.I.; Tejero, T.; Merino, P. Computational mechanistic study of thionation of carbonyl compounds with Lawesson’s reagent. J. Org. Chem. 2016, 81, 7733–7740. [Google Scholar] [CrossRef]
- Wu, K.; Ling, Y.; Ding, A.; Jin, L.; Sun, N.; Hu, B.; Shen, Z.; Hu, X. A column-free and aqueous waste-free process for thioamide preparation with Lawesson’s reagent. Beilstein J. Org. Chem. 2021, 17, 805–812. [Google Scholar] [CrossRef]
- Kaleta, Z.; Makowski, B.T.; Soos, T.; Dembinski, R. Thionation using fluorous Lawesson’s reagent. Org. Lett. 2006, 8, 1625–1628. [Google Scholar] [CrossRef]
- Hachuła, B.; Polasz, A.; Ksiazek, M.; Kusz, J.; Kozik, V.; Matussek, M.; Pisarski, W. Insight into hydrogen bonding of terephthalamides with amino acids: Synthesis, structural and spectroscopic investigations. Tetrahedron 2017, 73, 2901–2912. [Google Scholar] [CrossRef]
- Anirban, K.; Clive, L.O.; Ana, E. Platero-Prats, A.E.; Elina Laurila, E.; Öhrström, L. Crystal structures and hydrogen bond analysis of five amino acid conjugates of terephthalic and benzene-1,2,3-tricarboxylic acids. CrystEngComm. 2014, 16, 8243. [Google Scholar]
- Ghosh, D.; Górecki, M.; Pescitelli, G.; Damodaran, K.K. Enantioselective gel phase synthesis of metal–organic materials. Angew. Chem. Int. Ed. 2021, 60, 24406–24410. [Google Scholar] [CrossRef] [PubMed]
- Kim, H.; Moon, D.; Lah, M.S.; Hong, J. Recognition of dihydroxynaphthalenes by a C2-symmetric host. Tetrahedron Lett. 2003, 44, 1887–1890. [Google Scholar] [CrossRef]
- Bak, A.; Pizova, H.; Kozik, V.; Vorcakova, K.; Kos, J.; Treml, J.; Odehnalova, K.; Oravec, M.; Imramovsky, A.; Bobal, P.; et al. SAR-mediated similarity assessment of the property profile for new, silicon-based AChE/BChE inhibitors. Int. J. Mol. Sci. 2019, 20, 5385. [Google Scholar] [CrossRef]
- Kos, J.; Kozik, V.; Pindjakova, D.; Jankech, T.; Smolinski, A.; Stepankova, S.; Hosek, J.; Oravec, M.; Jampilek, J.; Bak, A. Synthesis and hybrid SAR property modeling of novel cholinesterase inhibitors. Int. J. Mol. Sci. 2021, 22, 3444. [Google Scholar] [CrossRef]













| Yield (%) | |||||||||
|---|---|---|---|---|---|---|---|---|---|
| Method I | Method II | ||||||||
| L.p. | R | 2 a | 4 a | 5 a | t a (h) | 2 b | 4 b | 5 b | t b [min] |
| 1a | -H | 70% | 53% | 75% | 38 | 85% | 56% | 78% | 9 |
| 1b | -CH3 | 83% | 64% | 60% | 38 | 87% | 65% | 71% | 9 |
| 1c | -CH2C4H6OH | 66% | 58% | 62% | 38 | 70% | 58% | 65% | 9 |
| 1d | -CH(CH3)2 | 90% | 84% | 42% | 38 | 92% | 41% | 45% | 9 |
| 1e | -CH2OH | 73% | 59% | 48% | 38 | 82% | 63% | 43% | 9 |
| Formula | C20H28N2O4S2 |
| Formula weight | 424.56 |
| Temperature | 295(2) K |
| Crystal system | Triclinic |
| Space group | P-1 |
| Unit cell dimensions | a = 7.7129(8) Å α = 69.793(6)° |
| b = 8.9094(6) Å β = 67.042(8)° | |
| c = 9.5907(6) Å γ = 85.614(7)° | |
| Volume | 568.20(8) Å3 |
| Z | 1 |
| Density (calculated) | 1.241 mg/m3 |
| Absorption coefficient | 0.261 mm−1 |
| F(000) | 226 |
| Crystal size | 0.320 × 0.160 × 0.080 mm |
| Theta range for data collection | 3.49 to 25.24° |
| Index ranges | −9 ≤ h ≤ 10, −11 ≤ k ≤ 11, −12 ≤ l ≤ 13 |
| Reflections collected | 5465 |
| Independent reflections | 4381 [R(int) = 0.0288] |
| Data/restraints/parameters | 2660/0/130 |
| Goodness-of-fit on F2 | 1.048 |
| Final R indices [I > 2σ(I)] | R1 = 0.0496, wR2 = 0.1073 |
| R indices (all data) | R1 = 0.0841, wR2 = 0.1289 |
| Largest diff. peak and hole | 0.265 and −0.220 e.Å−3 |
| S1–C4 | 1.654(2) | C8–C10 | 1.524(3) |
| O1–C6 | 1.202(2) | O2–C6 | 1.327(3) |
| O2–C7 | 1.445(3) | N1–C4 | 1.334(3) |
| N1–C5 | 1.450(3) | C1–C2 | 1.387(3) |
| C1–C3_a | 1.379(3) | C2–C4 | 1.488(3) |
| C2–C3 | 1.390(3) | C5–C6 | 1.516(3) |
| C5–C8 | 1.539(3) | C8–C9 | 1.519(4) |
| C6–O2–C7 | 115.87(17) | C4–N1–C5 | 123.96(18) |
| C5–N1–H1 | 118.00 | C4–N1–H1 | 118.0 |
| C2–C1–C3_a | 120.9(2) | C1–C2–C3 | 118.51(18) |
| C3–C2–C4 | 121.17(18) | C1–C2–C4 | 120.3(2) |
| C1_a–C3–C2 | 120.58(18) | S1–C4–C2 | 122.06(16) |
| S1–C4–N1 | 123.40(16) | N1–C4–C2 | 114.5(2) |
| N1–C5–C8 | 109.24(18) | N1–C5–C6 | 108.93(14) |
| C6–C5–C8 | 110.80(16) | O1–C6–C5 | 124.2(2) |
| O2–C6–C5 | 111.55(15) | O1–C6–O2 | 124.1(2) |
| C9–C8–C10 | 111.29(18) | C5–C8–C9 | 110.02(18) |
| C5–C8–C10 | 111.3(2) |
Disclaimer/Publisher’s Note: The statements, opinions and data contained in all publications are solely those of the individual author(s) and contributor(s) and not of MDPI and/or the editor(s). MDPI and/or the editor(s) disclaim responsibility for any injury to people or property resulting from any ideas, methods, instructions or products referred to in the content. |
© 2023 by the authors. Licensee MDPI, Basel, Switzerland. This article is an open access article distributed under the terms and conditions of the Creative Commons Attribution (CC BY) license (https://creativecommons.org/licenses/by/4.0/).
Share and Cite
Bak, A.; Kozik, V.; Swietlicka, A.; Baran, W.; Smolinski, A.; Zięba, A. Towards Symmetric Thioamides: Microwave-Aided Synthesis of Terephthalic Acid Derivatives. Pharmaceuticals 2023, 16, 984. https://doi.org/10.3390/ph16070984
Bak A, Kozik V, Swietlicka A, Baran W, Smolinski A, Zięba A. Towards Symmetric Thioamides: Microwave-Aided Synthesis of Terephthalic Acid Derivatives. Pharmaceuticals. 2023; 16(7):984. https://doi.org/10.3390/ph16070984
Chicago/Turabian StyleBak, Andrzej, Violetta Kozik, Aleksandra Swietlicka, Wojciech Baran, Adam Smolinski, and Andrzej Zięba. 2023. "Towards Symmetric Thioamides: Microwave-Aided Synthesis of Terephthalic Acid Derivatives" Pharmaceuticals 16, no. 7: 984. https://doi.org/10.3390/ph16070984
APA StyleBak, A., Kozik, V., Swietlicka, A., Baran, W., Smolinski, A., & Zięba, A. (2023). Towards Symmetric Thioamides: Microwave-Aided Synthesis of Terephthalic Acid Derivatives. Pharmaceuticals, 16(7), 984. https://doi.org/10.3390/ph16070984

