Sign in to use this feature.

Years

Between: -

Subjects

remove_circle_outline
remove_circle_outline
remove_circle_outline
remove_circle_outline
remove_circle_outline
remove_circle_outline
remove_circle_outline
remove_circle_outline
remove_circle_outline

Journals

remove_circle_outline
remove_circle_outline
remove_circle_outline
remove_circle_outline
remove_circle_outline
remove_circle_outline
remove_circle_outline
remove_circle_outline
remove_circle_outline
remove_circle_outline
remove_circle_outline
remove_circle_outline
remove_circle_outline
remove_circle_outline
remove_circle_outline
remove_circle_outline

Article Types

Countries / Regions

remove_circle_outline
remove_circle_outline
remove_circle_outline
remove_circle_outline
remove_circle_outline
remove_circle_outline
remove_circle_outline
remove_circle_outline
remove_circle_outline
remove_circle_outline
remove_circle_outline

Search Results (1,207)

Search Parameters:
Keywords = territorial context

Order results
Result details
Results per page
Select all
Export citation of selected articles as:
31 pages, 16965 KB  
Article
Visualising Relation Between Terminologies and HBIM Models for Historic Architecture
by Alberto Pettineo and Sandro Parrinello
Heritage 2026, 9(4), 140; https://doi.org/10.3390/heritage9040140 - 30 Mar 2026
Abstract
Moving beyond the limits of purely geometric or descriptive documentation, the study conceives the digital models as a structured information system capable of coherently and queryably organising both the formal-typological and the interpretative-historical dimensions of heritage. The methodology is developed within the framework [...] Read more.
Moving beyond the limits of purely geometric or descriptive documentation, the study conceives the digital models as a structured information system capable of coherently and queryably organising both the formal-typological and the interpretative-historical dimensions of heritage. The methodology is developed within the framework of the European Horizon MSCA project Hephaestus, which investigates cross-border Cultural Heritage Routes (CHRs) and historic fortification systems in the Adriatic and Baltic basins. The paper focuses on Adriatic CHR, through the selection, organisation, and interrelation of a distributed corpus of fortified architectures, articulated according to historical phases, territorial clusters, typological classes, and multilevel relationships. The study adopts an approach centered on HBIM models and ontological frameworks, implemented through complementary top-down and bottom-up processes. The results show the possibility of structuring HBIM-derived data within an ontology-based framework capable of linking, within a single information system, architectural elements, fortified systems, and territorial entities across heterogeneous case studies. The application to differentiated contexts highlights the ability of the models to adapt to different scales and levels of complexity, supporting querying, comparison, and multi-level interpretation of heritage. The variety of sources and contexts enables the methodology to be tested across heterogeneous historical and typological scenarios, strengthening its applicability and robustness within a multiscalar information structure. Full article
18 pages, 1619 KB  
Article
A Decision Support System for Sustainable Circular Economy Transition in Italian Historical Small Towns: The H-SMA-CE Project
by Giuseppe Ioppolo, Grazia Calabrò, Giuseppe Caristi, Cristina Ciliberto, Ilaria Russo, Luisa De Simone, Antonio Lopes and Roberta Arbolino
Sustainability 2026, 18(7), 3302; https://doi.org/10.3390/su18073302 - 28 Mar 2026
Viewed by 64
Abstract
Historical small towns (HSTs) embody irreplaceable cultural heritage and territorial identity, facing depopulation, economic marginalization, and infrastructure decay. Improving their liveability and attractiveness is essential to reverse these trends and boost sustainable development. In this context, HSTs are potential drivers of circular and [...] Read more.
Historical small towns (HSTs) embody irreplaceable cultural heritage and territorial identity, facing depopulation, economic marginalization, and infrastructure decay. Improving their liveability and attractiveness is essential to reverse these trends and boost sustainable development. In this context, HSTs are potential drivers of circular and sustainable socio-technical systems, where the circular economy (CE) offers a framework for local sustainability. However, HSTs lack adequate sustainable CE implementation tools. This study, the culmination of the H-SMA-CE project, develops a Decision Support System (DSS) to assist local policymakers in planning CE transitions in Italian HSTs. The DSS integrates three building blocks: context analysis (metabolic flows, stakeholder networks), an intervention library with cost–benefit data, and a composite Municipal Circular Economy Index (MCEI). The tool enables users to assess baseline circularity, simulate scenarios, and identify optimal investment portfolios through multi-objective optimization. This approach allows for the simultaneous evaluation of the benefits of each sustainability aspect, i.e., environmental, economic and social. Tested on the municipality of Taurasi (Italy), an HST with a wine-based economy, the results show that balanced intervention strategies yield greater circularity improvements than single-objective approaches. The paper contributes to the discourse on digital tools for sustainability transitions, offering a replicable model for evidence-based CE governance in heritage-rich territorial contexts. Full article
Show Figures

Figure 1

30 pages, 8776 KB  
Article
Classification System and Characteristic Analysis of Cultural Route Landscapes in the Nanling Corridor: An Empirical Study on the Hunan–Guangdong Ancient Road
by Siying Zhang and Guoguang Wang
Land 2026, 15(4), 543; https://doi.org/10.3390/land15040543 - 26 Mar 2026
Viewed by 192
Abstract
Cultural routes, an important concept in heritage conservation, represent an innovative paradigm that is reshaping the contemporary trajectory of cultural heritage research. The Nanling Corridor satisfies the four core criteria for cultural routes—temporal continuity, spatial distribution, cross-cultural attributes, and specific historical functional roles—and [...] Read more.
Cultural routes, an important concept in heritage conservation, represent an innovative paradigm that is reshaping the contemporary trajectory of cultural heritage research. The Nanling Corridor satisfies the four core criteria for cultural routes—temporal continuity, spatial distribution, cross-cultural attributes, and specific historical functional roles—and stands as a paradigmatic indigenous cultural route in China. Focusing on the Hunan–Guangdong Ancient Road—a core segment of the Nanling Corridor—this study integrates historical document analysis, representative sample field surveys, and a historical restoration method to systematically classify and characterize the ancient road’s landscape features. The study findings indicate that the Hunan–Guangdong border region within the Nanling area is endowed with a distinctive natural geographical setting and a complex socio-cultural context. Against this background, landscape elements are categorized into two primary clusters: those directly associated with the ancient road and those indirectly linked to it. The directly associated landscapes are further subdivided into four categories: the cross-territorial route, meso-scale hubs enabling land–water transfer, widely distributed micro-scale ancillary facilities, and intangible engineering techniques. The indirectly associated landscapes encompass four dimensions—military defense, population migration, commercial trade, and religious practice—each demonstrating unique landscape attributes while sharing homologous formative mechanisms. This study aims to provide a China-focused research reference for the international theory of cultural routes through the systematic study of the landscapes along the Hunan–Guangdong Ancient Road within the Nanling Corridor. Full article
(This article belongs to the Special Issue Natural Landscape and Cultural Heritage (Second Edition))
Show Figures

Figure 1

29 pages, 5646 KB  
Article
Regenerative and Participatory Co-Design in Biosphere Reserve Contexts
by Carlos Cobreros, Morena Villalón, Gabriel E. Calle-Sáenz, Adriana Rivas-Madrigal, Luis Miguel Gutierrez-Contreras, Daniela B. Arias-Laurino and Mariana Covarrubias-Castro
Land 2026, 15(4), 542; https://doi.org/10.3390/land15040542 - 26 Mar 2026
Viewed by 151
Abstract
Humanity is facing an unprecedented socio-ecological and climate crisis resulting from human impact on the planet, which requires a profound transformation in how we inhabit and develop our territories. Regenerative development is emerging as a key approach to strengthening living systems and improving [...] Read more.
Humanity is facing an unprecedented socio-ecological and climate crisis resulting from human impact on the planet, which requires a profound transformation in how we inhabit and develop our territories. Regenerative development is emerging as a key approach to strengthening living systems and improving environmental health. In this context, United Nations Educational, Scientific and Cultural Organization (UNESCO) Biosphere Reserves are consolidating their role as strategic instruments that link biodiversity conservation with sustainable development through integrated and participatory land management models. Mexico stands out for its regional and global leadership in implementing these areas. Participatory governance, promoted by the Man and Biosphere (MAB) programme, encourages the active involvement of local communities. This article analyses the application of a regenerative and participatory design methodology in a Biosphere Reserve, evaluating both the process and the tools used. Beyond the fulfilment of sustainability objectives, it examines the lessons learned, results and scope from a regenerative perspective, providing critical reflections on its effectiveness as a strategy for the socio-ecological management of vulnerable territories. Full article
Show Figures

Figure 1

27 pages, 2137 KB  
Article
Multiregional Forecasting of Traffic Accidents Using Prophet Models with Statistical Residual Validation
by Jaime Sayago-Heredia, Tatiana Elizabeth Landivar, Roberto Vásconez and Wilson Chango-Sailema
Computation 2026, 14(4), 78; https://doi.org/10.3390/computation14040078 - 26 Mar 2026
Viewed by 211
Abstract
This study develops a multiregional forecasting framework for road traffic accidents in Ecuador, addressing a critical limitation in existing predictive approaches that rely predominantly on point error metrics without validating the statistical assumptions underlying forecast uncertainty. Although the analysis is conducted at the [...] Read more.
This study develops a multiregional forecasting framework for road traffic accidents in Ecuador, addressing a critical limitation in existing predictive approaches that rely predominantly on point error metrics without validating the statistical assumptions underlying forecast uncertainty. Although the analysis is conducted at the provincial level, the spatial dimension is used primarily for cross-regional comparison and risk classification rather than for explicit spatial interaction modeling. Using a dataset of 27,648 monthly observations covering all 24 provinces from 2014 to 2025, the study applies the Prophet model within a Design Science Research paradigm and a CRISP-DM implementation cycle. Separate provincial models are estimated with a 24-month forecasting horizon, and methodological rigor is ensured through systematic residual diagnostics using the Shapiro–Wilk test for normality and the Ljung–Box test for temporal independence. Empirical results indicate that the Prophet-based artifact outperforms a naïve seasonal benchmark in 70.8% of the provinces, demonstrating excellent predictive accuracy in structurally stable regions such as Tungurahua (MAPE = 10.9%). At the same time, the framework enables the identification of critical emerging risks in provinces such as Santo Domingo and Cotopaxi, where projected increases exceed 49% despite acceptable point forecasts. The findings confirm that point accuracy alone does not guarantee the validity of confidence intervals and that residual validation is essential for trustworthy uncertainty quantification. Overall, the proposed approach provides a robust foundation for a predictive surveillance system capable of supporting differentiated, evidence-based road safety policies in territorially heterogeneous contexts. Full article
(This article belongs to the Section Computational Engineering)
Show Figures

Graphical abstract

25 pages, 2989 KB  
Article
Spatial Patterns and Indicators of Immigrant Residential Segregation in Catalonia’s Medium-Sized Cities
by Montserrat Guerrero Lladós, Igor Martins Medeiros Robaina and Josep Ramon Mòdol Ratés
Urban Sci. 2026, 10(4), 178; https://doi.org/10.3390/urbansci10040178 - 26 Mar 2026
Viewed by 232
Abstract
This study presents a comparative analysis of residential segregation among the three largest foreign-born populations residing in Spain: Moroccans, Romanians, and Colombians. Using data from Spain’s Population and Housing Census (INE), the research analyzed the segregation index across 34 urban areas in medium-sized [...] Read more.
This study presents a comparative analysis of residential segregation among the three largest foreign-born populations residing in Spain: Moroccans, Romanians, and Colombians. Using data from Spain’s Population and Housing Census (INE), the research analyzed the segregation index across 34 urban areas in medium-sized cities. Three urban areas in Catalonia were selected for the intraurban case studies, and Pearson correlation coefficients were calculated for 60 sociodemographic variables. The objectives were to identify indicators that helped diagnose potential segregation contexts and to explore residential patterns by country of origin. The study was grounded in a central premise: the foreign-born population cannot be treated as a homogeneous group, as aggregation conceals group-specific inequalities and differentiated spatial configurations. The findings showed that segregation occurred. Moroccans exhibited the highest levels of segregation, which was associated with socioeconomic vulnerability and also a marked residential preference for central urban areas. Colombians displayed lower levels of segregation and greater territorial dispersion, pointing to broader residential access. Romanians presented intermediate and heterogeneous patterns, which combined localized concentrations with peripheral settlement. The results highlighted how intraurban differentiation emerged from interactions between different migrant profiles, housing opportunity structures, and urban morphology, providing an empirical basis on which to design targeted urban policies. Full article
(This article belongs to the Section Urban Planning and Design)
Show Figures

Figure 1

43 pages, 3265 KB  
Article
Latent Regimes in Sustainability Transitions: How Digital Connectivity and Governance Quality Shape Development Trajectories
by Oksana Liashenko, Dmytro Harapko, Olena Mykhailovska, Ihor Chornodid, Nadiia Pysarenko and Dmytro Horban
World 2026, 7(4), 53; https://doi.org/10.3390/world7040053 - 24 Mar 2026
Viewed by 191
Abstract
Global progress towards the 2030 Sustainable Development Goals (SDGs) remains critically off track, with current trends indicating that only 17% of targets will be met by the deadline. As sustainability transitions increasingly depend on regional and institutional capacity, understanding heterogeneous transition pathways and [...] Read more.
Global progress towards the 2030 Sustainable Development Goals (SDGs) remains critically off track, with current trends indicating that only 17% of targets will be met by the deadline. As sustainability transitions increasingly depend on regional and institutional capacity, understanding heterogeneous transition pathways and resilience across territorial contexts is essential. This study investigates whether observed divergence in SDG performance reflects temporary setbacks or persistent structural regimes characterised by distinct institutional and technological configurations. Using panel data from over 160 countries (2019–2024), we employ annual latent class analysis to identify hidden structures in SDG performance across 15 goals, introducing intertemporal volatility as a dimension of development dynamics. We complement this with ordered logistic regression to examine structural determinants of regime membership, including governance quality, digital infrastructure, health investment, and macroeconomic indicators. Our analysis identifies three temporally stable development regimes—lagging, transitional, and leading—with fewer than 15% of countries transitioning between classes over the observation period. ANOVA results reveal that internet access and government effectiveness exhibit the most substantial between-regime differences. Ordered logit models indicate that governance quality and digital connectivity are the strongest correlates of regime membership (government effectiveness: β = 0.943, p < 0.001; internet penetration: β = 0.049, p < 0.001), whereas short-term GDP growth exerts negligible influence (p > 0.10). These findings challenge assumptions of linear convergence in sustainable development and provide a data-driven framework for evaluating transition dynamics across diverse territorial contexts. The results suggest that achieving the SDGs requires that deep structural constraints be addressed—particularly digital divides and institutional quality—through regionally targeted policy design rather than relying solely on incremental adjustments or economic growth. The identified regimes provide a basis for place-based targeting by distinguishing contexts where governance and digital capacity constraints are binding. Full article
Show Figures

Figure 1

24 pages, 870 KB  
Review
Enhancing Healthcare Services for Vulnerable Aging Populations: A Comparative Analysis of Puerto Rico and International Case Studies
by Varun Nannuri, Sara Belligoni, Darya Sulkouskaya, Rutwa Shah, Om Pathak and Fernando I. Rivera
Healthcare 2026, 14(7), 829; https://doi.org/10.3390/healthcare14070829 - 24 Mar 2026
Viewed by 119
Abstract
This study examines healthcare system strains in rapidly aging societies through a comparative analysis of Puerto Rico, Cuba, Japan, the Philippines, and South Korea. While existing research documents global aging and physician migration trends, few studies explore how these challenges manifest in conjunction [...] Read more.
This study examines healthcare system strains in rapidly aging societies through a comparative analysis of Puerto Rico, Cuba, Japan, the Philippines, and South Korea. While existing research documents global aging and physician migration trends, few studies explore how these challenges manifest in conjunction with each other. Puerto Rico presents a critical case, with 24% of its population aged 65+, severe physician migration, and systemic underfunding under U.S. Medicaid structures. Using a structured comparative case methodology, we analyze policy responses across four nations with divergent approaches: Cuba, Japan, the Philippines, and South Korea. Data from government reports, academic literature, and World Health Organization (WHO) datasets show that (1) proactive medical education investments outperform reactive measures, (2) dedicated long-term care financing is essential but structurally unavailable in Puerto Rico, and (3) territorial status in the case of Puerto Rico, constrains policy innovation. Conventional aging frameworks are challenged by revealing how high-income territories can exhibit low systemic adaptability. Proposed are targeted reforms for Puerto Rico, including Medicaid restructuring and workforce incentives, with broader implications for aging societies under constrained sovereignty. This study fills a critical space in understanding how geopolitical contexts shape healthcare system vulnerabilities. Full article
(This article belongs to the Special Issue Enhancing Healthcare Services for Vulnerable Groups)
Show Figures

Figure 1

18 pages, 3179 KB  
Article
Socio-Political Factors Contributing to Re-Demarcation Disputes in Vuwani and Malamulele Communities, South Africa
by Fhedzisani Ash Mukhuba and Lindokuhle Denis Sibiya
Soc. Sci. 2026, 15(4), 215; https://doi.org/10.3390/socsci15040215 - 24 Mar 2026
Viewed by 211
Abstract
Despite the aim of municipal boundaries re-demarcation to improve capacity, functionality, economic viability, and service delivery in South African municipalities, it often leads to community unrest, protests, and violent confrontations. This article examines socio-political factors that contribute to the ongoing disputes in Vuwani [...] Read more.
Despite the aim of municipal boundaries re-demarcation to improve capacity, functionality, economic viability, and service delivery in South African municipalities, it often leads to community unrest, protests, and violent confrontations. This article examines socio-political factors that contribute to the ongoing disputes in Vuwani and Malamulele communities, Limpopo, South Africa, and their implications for social cohesion and local governance in a post-apartheid context. Semi-structured interviews were conducted with 52 community members and other stakeholders who are directly involved in or affected by the disputes. Guided by territoriality theory, through thematic analysis, the study findings reveal that re-demarcation disputes are intertwined with political interests, differentiated ethnic and cultural identities, inadequate community consultation, and governance power imbalances. By situating Vuwani and Malamulele communities within wider debates on municipal border disputes, this study calls for an inclusive, transparent, and culturally sensitive approach to the implementation of municipal boundary changes. This is crucial for building united, peaceful, and sustainable communities, and for local government to regain public trust in post-apartheid South Africa. Full article
(This article belongs to the Section Contemporary Politics and Society)
Show Figures

Figure 1

28 pages, 838 KB  
Review
Smart Technologies for Water Resources Management (WRM) in Semi-Arid Latin America: A Narrative Review and Adoption Agenda
by Eduardo Alonso Sánchez Ruiz, Lázaro V. Cremades and Stephanie Villanueva Benites
Sustainability 2026, 18(6), 3153; https://doi.org/10.3390/su18063153 - 23 Mar 2026
Viewed by 240
Abstract
Semi-arid territories in Latin America face chronic water stress; limited observability and fragmented institutions constrain effective water resources management (WRM). This narrative review synthesizes peer-reviewed evidence (2020–2026) on smart technologies that strengthen basin- and utility-level WRM, using Peru (Piura-like coastal semi-arid contexts) as [...] Read more.
Semi-arid territories in Latin America face chronic water stress; limited observability and fragmented institutions constrain effective water resources management (WRM). This narrative review synthesizes peer-reviewed evidence (2020–2026) on smart technologies that strengthen basin- and utility-level WRM, using Peru (Piura-like coastal semi-arid contexts) as an anchor and Latin America as a comparative lens. We used a structured, traceable database-based workflow and synthesized studies reporting measurable outcomes across five application categories: drought/flood early warning, hydrometeorological forecasting, water quality surveillance, non-revenue water (NRW)/leakage, and allocation and compliance. Findings were organized into an application-oriented taxonomy spanning remote sensing (RS) and GIS, Internet of Things (IoT)/telemetry, analytics/AI-enabled decision support, and hybrid approaches. Evidence most consistently reports operational gains (coverage, timeliness, predictive performance), while governance outcomes are less frequently measured and appear contingent on interoperability, digital capacity, and sustainable operations and maintenance (O&M) conditions. We conclude with a territorial adoption agenda specifying minimum enabling conditions and a phased pathway from pilots to scalable, eco-efficient smart WRM in Peru and comparable semi-arid settings across Latin America. Full article
(This article belongs to the Special Issue Smart Technologies Toward Sustainable Eco-Friendly Industry)
Show Figures

Figure 1

21 pages, 4770 KB  
Article
Redistributive Effects of Social Programs on Income Inequality in Peru: A RIF–Gini and Atkinson Decomposition
by Andrés Vilca Mamani, Erika Beatriz García Castro, Eusebio Benique Olivera, Luzbeth Lipa Tudela and Ernesto Calancho Mamani
Economies 2026, 14(3), 101; https://doi.org/10.3390/economies14030101 - 23 Mar 2026
Viewed by 146
Abstract
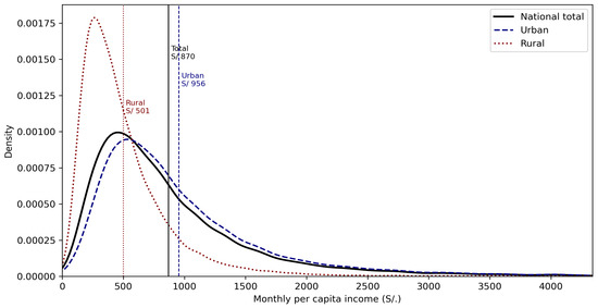
This study evaluates the incidence of food and non-food social programs in function of income inequality in households in Peru during 2022–2024 in a context of persistent distributive gaps, despite social interventions aimed at promoting equity. Data from the National Household Survey (ENAHO) [...] Read more.
This study evaluates the incidence of food and non-food social programs in function of income inequality in households in Peru during 2022–2024 in a context of persistent distributive gaps, despite social interventions aimed at promoting equity. Data from the National Household Survey (ENAHO) were used, with 93,148 observations corresponding to beneficiary and non-beneficiary households, and Recentered Influence Function (RIF) regressions were estimated to decompose the marginal effect of both types of programs on the Gini and Atkinson indices (ε = 0.5; 1.0 and 1.5). Food programs reduced inequality by 2.14% according to the RIF of the Gini and by −1.23%, −2.84% and −4.82% according to the RIF of the Atkinson. Non-food programs generated a greater reduction in the RIF of the Gini (−4.06%) and decreases of −2.52%, −3.51% and −3.06% in the Atkinson. Both types of programs positively influenced the decrease in inequality, highlighting the importance of incorporating structural determinants and household characteristics in redistributive policies. Social programs have positive redistributive effects, although insufficient in the face of structural and territorial inequalities. Strengthening their targeting and territorial articulation is recommended, especially in Andean and Amazon regions. Full article
(This article belongs to the Section Economic Development)
Show Figures

Figure 1

26 pages, 1097 KB  
Article
Building Ethical Foundations for Economic Models: Ecological Restoration and Conservation in the Ecozoic
by Lizah Makombore, Joshua Farley, Julia Danielsen and Anna Claire Marchessault
Conservation 2026, 6(1), 37; https://doi.org/10.3390/conservation6010037 - 23 Mar 2026
Viewed by 207
Abstract
Scientists estimate that humanity has exceeded seven of nine planetary boundaries, threatening the entire planet with potentially catastrophic consequences for all species. We therefore have a moral imperative for future generations and other species to return to the safe side of those boundaries. [...] Read more.
Scientists estimate that humanity has exceeded seven of nine planetary boundaries, threatening the entire planet with potentially catastrophic consequences for all species. We therefore have a moral imperative for future generations and other species to return to the safe side of those boundaries. Threats to these boundaries take the form of social dilemmas, defined as situations in which individuals acting in their own interest undermine collective welfare, which can only be solved through cooperation. Western economic theory has conditioned us to believe that humans are inherently selfish. This assumption has led economists, scientists, and policymakers to increasingly pursue market-based solutions to conservation approaches, which have yielded limited success. In contrast, this article argues that humans are inherently cooperative. We employ Multi-Level Selection Theory (MLS) to depict the evolutionary advantages of cooperation and to define morality as putting the group ahead of the individual. We examine two examples of MLS in action: Territories of Life (TOL) and Ubuntu. The paper provides guidance for pathways of Ecozoic governance, planning, and restoration. Applied in a Western context in Burlington, Vermont, the philosophies hold true, showing that social norms and group identity already shape ecological behavior in Burlington residents’ lawn care practices. Ultimately, providing an alternative economic model built on these ethical foundations, we introduce the Neighbor’s Goodwill that reframes social dilemmas in a game theory context. The Neighbor’s Goodwill demonstrates how loyalty, reciprocity, and social belonging alter payoff structures. This research is founded on the fact that humans are inherently social and tend to make decisions in the interest of the whole group over their own. Full article
(This article belongs to the Special Issue Ethical Issues in Conservation)
Show Figures

Figure 1

24 pages, 17537 KB  
Article
An Adaptive Transformer-Based Language-Model Framework for Assessing Urban Expansion
by Fang Wan, Zhan Zhang, Ru Wang, Daoyu Shu, Beile Ning, Jianya Gong and Xi Li
Land 2026, 15(3), 514; https://doi.org/10.3390/land15030514 - 23 Mar 2026
Viewed by 278
Abstract
Urban expansion is a key driver of land-use change and environmental pressure in rapidly urbanizing regions. Existing assessments of urban expansion often rely on predefined indicator systems and fixed weighting schemes, which limits their adaptability to evolving research priorities and regional contexts. This [...] Read more.
Urban expansion is a key driver of land-use change and environmental pressure in rapidly urbanizing regions. Existing assessments of urban expansion often rely on predefined indicator systems and fixed weighting schemes, which limits their adaptability to evolving research priorities and regional contexts. This study develops an adaptive framework for urban expansion assessment by integrating a transformer-based language model with multi-source spatial data. A BERT-based semantic extraction process is used to identify relevant indicators and derive their relative weights from the scientific literature, enabling the construction of a literature-driven Urban Expansion Index (UEI). The framework is applied to the Central Plains Mega-city Region (CPMR), China, to examine spatial patterns and temporal dynamics of urban expansion between 2010 and 2020. Results show that UEI is primarily driven by land-use expansion indicators, while socioeconomic, infrastructure, and environmental indicators jointly reflect the multidimensional nature of expansion processes. Spatial patterns reveal a persistent concentration of high expansion intensity in core cities, alongside heterogeneous environmental responses and gradual outward growth. Changes in UEI display weaker spatial coherence than static levels, indicating differentiated local expansion dynamics. Local spatial autocorrelation analysis further identifies shifting clusters of urban expansion intensity, suggesting a reorganization of expansion centers within the agglomeration over time. By linking transformer-based indicator extraction with spatial analysis, this study advances urban expansion assessment beyond outcome-oriented mapping toward a more adaptive and knowledge-informed approach. The proposed framework is transferable to other mega-city regions and provides a useful tool for supporting territorial spatial planning and sustainable urban development. Full article
Show Figures

Figure 1

24 pages, 925 KB  
Review
GeoBIM for Geothermal Energy Efficiency in Buildings and Smart Cities: A Review
by Hugo Alexandre Silva Pinto, Luis M. Ferreira Gomes, Luis J. Andrade Pais, Miguel Nepomuceno, Luís Filipe Almeida Bernardo, Vanessa Gonçalves, Maria Vitoria Morais and Leonardo Marchiori
Smart Cities 2026, 9(3), 54; https://doi.org/10.3390/smartcities9030054 - 23 Mar 2026
Viewed by 250
Abstract
The global drive toward energy transition and carbon neutrality requires integrated and data-driven approaches for managing buildings and smart cities. Existing urban energy assessment frameworks remain fragmented and often lack multiscale interoperability between building-level models and territorial datasets. At the same time, shallow [...] Read more.
The global drive toward energy transition and carbon neutrality requires integrated and data-driven approaches for managing buildings and smart cities. Existing urban energy assessment frameworks remain fragmented and often lack multiscale interoperability between building-level models and territorial datasets. At the same time, shallow geothermal energy is emerging as an efficient and renewable solution for sustainable heating and cooling. To address these gaps, this study examines the potential of GeoBIM, the integration of Building Information Modeling (BIM) and Geographic Information Systems (GIS), as a unified framework for multiscale energy analysis and for supporting shallow geothermal applications. A systematic literature review was conducted based on the PRISMA framework, combining a systematic literature review using the Scopus database with the critical examination of representative case studies. The results show that GeoBIM-based modeling improves data quality, enhances thermal performance assessments, and supports the implementation of shallow geothermal systems, including energy piles and district-scale ground-coupled networks. Reported applications demonstrate energy consumption reductions exceeding 40% in certain urban contexts. Several research gaps and challenges were identified, particularly data interoperability issues, lack of standardization, computational complexity, and the need for specialized training. Overall, the review indicates that GeoBIM offers a promising pathway for optimizing resources, supporting informed decision-making, and advancing resilient and sustainable smart buildings and cities. Full article
(This article belongs to the Special Issue Energy Strategies of Smart Cities, 2nd Edition)
Show Figures

Figure 1

16 pages, 6886 KB  
Article
Territorial Governance for Sustainable Tourism in the Alpine Mountains: A Stakeholder-Based Organizational Model from Northeast Italy
by Ivana Bassi, Vanessa Deotto and Luca Iseppi
Land 2026, 15(3), 509; https://doi.org/10.3390/land15030509 - 22 Mar 2026
Viewed by 253
Abstract
Mountain regions across Europe face demographic decline and institutional fragmentation that hinder sustainable tourism development. This study analyzes the territorial governance system of the Val Canale and Canal del Ferro valleys (Italian Alps) with the aim of designing a stakeholder-based Organizational Model (OM) [...] Read more.
Mountain regions across Europe face demographic decline and institutional fragmentation that hinder sustainable tourism development. This study analyzes the territorial governance system of the Val Canale and Canal del Ferro valleys (Italian Alps) with the aim of designing a stakeholder-based Organizational Model (OM) to strengthen sustainable tourism coordination in a peripheral mountain context. A qualitative single-case study approach integrates Stakeholder Analysis, Actor-Linkage Matrix, Appreciative Inquiry, and spatial contextualization to examine relational, institutional, and territorial dynamics. The findings reveal a territory rich in environmental and cultural assets—characterized by protected areas and extensive trail networks—yet constrained by fragmented inter-municipal cooperation and limited supra-municipal coordination. Governance fragmentation, rather than resource scarcity, emerges as the primary barrier to coherent territorial development. In response, the proposed multi-level Organizational Model introduces a valley-level coordination unit designed to institutionalize collaborative governance, enhance administrative capacity, and align local initiatives with regional strategies. By operationalizing stakeholder theory within a structured territorial framework, the study contributes to place-based governance literature and offers transferable insights for peripheral mountain regions facing similar coordination challenges. Full article
Show Figures

Figure 1

Back to TopTop