Next Article in Journal
Regulatory Employment Thresholds and Firm Size Distortions: Evidence from Ecuador
Previous Article in Journal
From Theory to Debt Decisions: Evidence on Financial Literacy Among University Students
 
 
Font Type:
Arial Georgia Verdana
Font Size:
Aa Aa Aa
Line Spacing:
Column Width:
Background:
Article

Redistributive Effects of Social Programs on Income Inequality in Peru: A RIF–Gini and Atkinson Decomposition

by
Andrés Vilca Mamani
1,*,
Erika Beatriz García Castro
1,
Eusebio Benique Olivera
1,
Luzbeth Lipa Tudela
2 and
Ernesto Calancho Mamani
1,*
1
Faculty of Economic Engineering, National University of the Altiplano, Puno 21001, Peru
2
Faculty of Health Sciences, National University of the Altiplano, Puno 21001, Peru
*
Authors to whom correspondence should be addressed.
Economies 2026, 14(3), 101; https://doi.org/10.3390/economies14030101
Submission received: 16 February 2026 / Revised: 19 March 2026 / Accepted: 20 March 2026 / Published: 23 March 2026
(This article belongs to the Section Economic Development)

Abstract

This study evaluates the incidence of food and non-food social programs in function of income inequality in households in Peru during 2022–2024 in a context of persistent distributive gaps, despite social interventions aimed at promoting equity. Data from the National Household Survey (ENAHO) were used, with 93,148 observations corresponding to beneficiary and non-beneficiary households, and Recentered Influence Function (RIF) regressions were estimated to decompose the marginal effect of both types of programs on the Gini and Atkinson indices (ε = 0.5; 1.0 and 1.5). Food programs reduced inequality by 2.14% according to the RIF of the Gini and by −1.23%, −2.84% and −4.82% according to the RIF of the Atkinson. Non-food programs generated a greater reduction in the RIF of the Gini (−4.06%) and decreases of −2.52%, −3.51% and −3.06% in the Atkinson. Both types of programs positively influenced the decrease in inequality, highlighting the importance of incorporating structural determinants and household characteristics in redistributive policies. Social programs have positive redistributive effects, although insufficient in the face of structural and territorial inequalities. Strengthening their targeting and territorial articulation is recommended, especially in Andean and Amazon regions.

1. Introduction

During recent decades, income inequality has become established as one of the main challenges to economic and social development in Latin America and Peru. This problem limits the sustainability of poverty reduction and restricts prospects for inclusive growth (Cornia, 2015; Herrera, 2017). Inequality constitutes a structural phenomenon that prevents people from accessing resources and socially valued positions on equal terms (Castillo Vera, 2017), directly affecting the well-being and opportunities of the population (Acuña et al., 2025). High levels of inequality negatively affect social mobility and the capacity of redistributive policies to improve living conditions (Segal, 2022). The intergenerational persistence of inequality highlights its structural nature and the limited effectiveness of isolated redistributive policies (Brunori et al., 2023).
Although in recent decades the region has recorded progress in poverty reduction, high levels of income and wealth concentration persist, which hinder both distributive sustainability and equitable growth (Amarante et al., 2023; Cornia, 2015). These gaps are largely explained by persistent inequalities in education, formal employment, and access to public services (Gradín, 2021).
The relevance of this study lies in the need to analyze the redistributive effects of social programs, both food and non-food, on income inequality in households during recent years. Various studies show that, although fiscal and social protection policies have contributed to reducing inequality, their redistributive capacity continues to be moderate and heterogeneous across countries, especially in Latin America (Amarante et al., 2023; Lustig et al., 2014). This situation is explained, in part, by limitations associated with targeting, the fulfillment of goals, management, and the institutional articulation of social policies (Moreira, 2026; Razzaque et al., 2025; Stampini et al., 2023).
In this context, the analysis of the redistributive impact of social programs is fundamental to understand to what extent these interventions contribute to reducing gaps in income distribution (Gasparini et al., 2025; Selim & Küçükçifçi, 2024; Pérez, 2024). Likewise, the evaluation of these programs allows generating relevant empirical evidence to improve the design, targeting, and implementation of social protection policies, strengthening their effectiveness and sustainability over time.
In the Peruvian case, the Gini coefficient has remained above 0.42, which reflects structural inequality in income distribution (Acuña et al., 2025; Alarco et al., 2019). Factors such as personal and wealth distribution continue to be highly inequitable (Alarco et al., 2019). This situation raises the need to rigorously evaluate the effectiveness of redistributive policies, especially food and non-food social programs implemented under the Results-Based Budgeting (RBB) approach.
Programs such as Juntos, Pensión 65, FISE, Qali Warma, and Cuna Más constitute essential instruments of Peruvian social policy, aimed at improving the well-being of vulnerable households and reducing income and poverty gaps. Various studies support their relevance: Ramos (2024) shows that the sustained increase in the budget allocated to these programs is associated with a significant reduction in monetary poverty; Garda and Vidal (2023) emphasize that strengthening these programs is key to more inclusive growth; and Bernal et al. (2024) demonstrate that Pensión 65 improves the nutrition and health of poor older adults, generating positive effects on well-being beyond income.
However, recent empirical evidence reveals mixed results. While progress is observed in poverty reduction, regional inequalities persist (Ramos, 2024), and the redistributive effects of programs such as Juntos, Pensión 65, and Qali Warma have not been statistically significant (Hinojosa Pérez et al., 2024). Other studies highlight limitations in targeting and efficiency, especially in addressing child poverty and food security (Pillaca & Chavez, 2017; Vásquez, 2016).
Likewise, the redistributive impact of social programs in Peru remains heterogeneous: despite increased public spending, their effect on inequality has been modest and, in some cases, contradictory (Dizon, 2023; Quispe, 2017; Sánchez et al., 2020). In this regard, Gaentzsch (2018) shows that social spending reduces overall inequality by about seven points on the Gini index, mainly due to in-kind benefits associated with education and health, while direct cash transfers exhibit a limited redistributive impact.
However, the international literature points out that transfer policies and social welfare systems may produce ambiguous results or even undesired externalities. Various studies indicate that assistance programs may modify incentives for participation in the labor market, promote dependence on state support, or generate processes of social stigmatization among beneficiaries, which could limit their redistributive capacity in the long term (Bastagli et al., 2019; Brady & Bostic, 2015; Nicolau, 2023). In contexts of high labor informality, these transfers may also generate disincentives to formal employment, since beneficiaries could adjust their labor supply to maintain eligibility in social programs (Bergolo & Cruces, 2021). Along the same lines, recent empirical evidence suggests that social welfare spending may contribute to improving economic equality; however, it may also generate indirect effects in the labor market, such as changes in labor participation or in the quality of employment (Liu, 2025; Timiryanova et al., 2022).
The measurement of inequality has traditionally been based on indicators such as the Gini, Theil, or Atkinson indices, derived from normative approaches to social welfare and designed to quantify welfare losses associated with inequality (Ferreira et al., 2017, 2022). In particular, the Gini index is one of the most widely used indicators in the empirical literature due to its international standardization, its ease of interpretation, and its broad comparability across countries and periods (Gavilan et al., 2024; Cowell, 2011, 2015; Bank, 2024). Likewise, it is used by international organizations such as the World Bank and the United Nations for monitoring inequality at the global level; in the case of Peru, it is also used by the National Institute of Statistics and Informatics (INEI) as one of the main indicators to measure socioeconomic gaps.
For its part, the Atkinson index allows explicitly incorporating different degrees of social aversion to inequality through the parameter ε, which offers a complementary normative perspective to analyze changes in income distribution (Atkinson, 1970; Cowell, 2011). However, these aggregate indicators do not allow directly identifying the microeconomic determinants that underlie changes in income distribution, which has driven the development of econometric tools that link distributive statistics with individual or household characteristics (Gradín, 2018, 2021; Kaas et al., 2019).
In response to this limitation, Firpo et al. (2009) proposed the Recentered Influence Function (RIF) methodology, later expanded by Firpo et al. (2018). This approach is complemented by earlier methodological contributions by Cowell and Flachaire (2007) on distributive measures and social welfare functions. The RIF methodology allows the decomposition of changes in distributive measures, such as the Gini and Atkinson indices, as a function of observable household characteristics, such as education, labor income, poverty, or social welfare (Alejo et al., 2025; Cowell, 2015; Cowell & Flachaire, 2007; Firpo et al., 2018; Oliveira & Silveira, 2021).
Recent literature has expanded and applied this technique in various empirical contexts, and its implementation in Stata, through the commands developed by Rios (2019, 2020), has facilitated its application in studies on inequality, poverty, and social welfare.
This study contributes to the literature on inequality and redistributive policies in several aspects. First, it provides updated empirical evidence on the redistributive effects of social programs in Peru, using recent microdata from the National Household Survey (ENAHO). Second, it incorporates a methodological contribution by applying the Recentered Influence Function (RIF–OLS) methodology to analyze how participation in social programs, both food and non-food, affects different measures of income inequality, particularly the Gini and Atkinson indices. This approach allows linking normative measures of social welfare with econometric decomposition techniques, which facilitates the estimation of the marginal effects of social programs on income distribution at the household level.
Despite advances in the targeting of social spending in Peru, wide distributive gaps persist between regions, urban and rural areas, and different socioeconomic strata (Alarco et al., 2019; Avalos, 2023; Castillo, 2020). In this context, the analysis of the redistributive effects of food social programs (Glass of Milk, Community Kitchen, Qali Warma, Wawa Wasi and Cuna Más) and non-food programs (Pensión 65, Juntos, and FISE gas voucher) is relevant to understand their capacity to reduce income inequalities.
With the purpose of addressing this gap in the literature, the present research applies the Recentered Influence Function (RIF–OLS) methodology to the Gini and Atkinson indices (ε = 0.5; 1 and 1.5), using microdata from the National Household Survey (ENAHO) to decompose the marginal effects of social programs on income inequality at the household level. In this context, the general objective of the study is to analyze the redistributive effects of food and non-food social programs on income inequality in Peru.
Based on the literature on redistributive policies and social protection programs, the following research hypothesis is proposed:
H1. 
Household participation in food and non-food social programs generates redistributive effects that contribute to reducing income inequality in Peru.

2. Materials and Methods

The research adopts a quantitative approach, with a causal and cross-sectional design. This design made it possible to evaluate the impact of food and non-food social programs on income inequality in Peru during the 2022–2024 period.
The database processing and the estimation of the RIF–OLS regression were carried out using the statistical software Stata, version 17.0. The data used come from the National Household Survey (ENAHO) and from the Friendly Consultation database of the Ministry of Economy and Finance (MEF).

2.1. Population and Sample

The information used in this study comes from the National Household Survey (ENAHO), prepared by the National Institute of Statistics and Informatics (INEI) of Peru. ENAHO employs a probabilistic, stratified, and two-stage sampling design, designed independently for each geographic domain, which guarantees statistical representativeness at the national, urban, and rural levels, as well as at the departmental level.
For the present study, the following survey modules were used: Summary (code 34), Social Programs (code 37), Characteristics of Household Members (code 2), Education (code 3), and Employment and Income (code 5).
For the cross-sectional sample, 93,148 observations corresponding to the period 2022–2024 were considered, obtained from households residing in Peru. This period of analysis was selected because it corresponds to the most recent years available in ENAHO, which allows analyzing the recent evolution of income inequality and the redistributive effects of social programs in the country. Likewise, this period reflects the context of economic recovery after the COVID-19 pandemic, a stage in which social protection policies have acquired greater relevance to mitigate socioeconomic gaps.
For the delimitation of the analytical sample, filters based on identification variables at the household level were applied, in order to ensure data consistency and statistical representativeness. Likewise, the study population is composed of households that are beneficiaries of food and non-food social programs, as well as non-beneficiary households, with the purpose of comparing their differential effects on income inequality.
It is important to point out that the National Household Survey (ENAHO) corresponds to repeated cross-sectional surveys, so it does not follow the same households over time. Consequently, the composition of the sample varies each year and does not allow conducting a longitudinal follow-up of the units of observation. For this reason, the analysis is based on a pooled cross-sections approach, which combines the information corresponding to the years 2022–2024. This approach allows increasing the sample size and improving the precision of the estimates; however, it presents certain limitations, since the results reflect distributive associations observed in each period and not necessarily long-term causal effects at the household level.

2.2. Inequality Measurement Indicators

2.2.1. Gini Index

According to Cowell (2011) and Goerlich and Villar (2009), the Gini coefficient was used as a synthetic measure to evaluate inequality in the distribution of household income in Peru. This indicator quantifies the distance between the observed distribution of income and a perfectly equitable distribution. Its calculation is based on the Lorenz curve, which represents the cumulative proportion of income with respect to the cumulative proportion of the population, ordered from lowest to highest income. Formally, the Gini index is expressed as:
G = 1 2 i = 1 n ( p i p i 1 ) ( L i + L i 1 ) ,
where p i represents the cumulative proportion of the population and L i the cumulative proportion of income. The value of G ranges between 0 and 1, where 0 indicates perfect equality and 1 indicates relative inequality.
In geometric terms, the Gini coefficient is equivalent to twice the area between the line of equality and the Lorenz curve, expressed as:
G = 1 2 0 1 L ( x )   d x .
where L ( x ) represents the Lorenz curve. Its interpretation is associated with the relative loss of welfare caused by inequality in income distribution, as it expresses the proportion of additional income that would be required to achieve an equitable distribution.

2.2.2. Atkinson Index

According to Atkinson (1970), the Atkinson index A ( ε ) is defined as a normative measure of inequality derived from a social welfare function. This indicator evaluates the relative loss of welfare caused by the unequal distribution of income and allows explicitly incorporating the degree of social aversion to inequality through the parameter ε (Atkinson, 1970; Goerlich & Villar, 2009).
Formally, the Atkinson index is calculated as:
A ( ε ) = 1 [ 1 N i = 1 N ( y i μ ) 1 ε ] 1 1 ε , ε 1 ,
and, in the particular case of ε = 1 :
A ( 1 ) = 1 e x p [ 1 N i = 1 N l o g ( y i μ ) ] .
where μ is the average income of the population, y i represents the income of household i , N is the total number of individuals, and ε is the inequality aversion parameter, which controls the sensitivity of the index to low incomes. Higher values of ε assign greater relative weight to lower-income households and, therefore, increase the indicator’s sensitivity to inequalities at the lower end of the income distribution.
The index A ( ε ) takes values between 0 and 1: values close to 0 indicate an equitable distribution, while values approaching 1 reflect a high loss of social welfare attributable to inequality.
In this research, three values of the inequality aversion parameter of the Atkinson index (ε = 0.5; ε = 1.0 and ε = 1.5) are considered, with the purpose of evaluating the sensitivity of the indicator to different degrees of inequality. When ε = 0.5, the index reflects a lower social aversion to inequality and assigns a relatively lower weight to lower-income households. In contrast, when ε = 1.0, an intermediate level of social aversion is assumed. Finally, when ε = 1.5, the index assigns a greater weight to the incomes of poorer households, which allows capturing more intensely inequalities at the lower end of the income distribution. Consequently, the comparison between these values allows analyzing how social programs and socioeconomic variables influence inequality under different degrees of social aversion, providing a more complete interpretation of the factors that affect income distribution.

2.3. Recentered Influence Function (RIF) of the Gini Index

The present study uses household income in Peru as the variable of interest, from which the Gini index is constructed, a standard measure to evaluate the degree of inequality in income distribution. With the purpose of analyzing socioeconomic determinants and, in particular, the effect of social programs on inequality, the Recentered Influence Function (RIF) methodology is used, proposed by Firpo et al. (2009) and extended for the analysis of distributive measures such as the Gini index (Firpo et al., 2018). Its empirical implementation has been facilitated by software tools in Stata, such as those developed by Rios (2020).
Let Y denote per capita income with cumulative distribution function F Y . For a functional (distributional statistic) v ( F Y ) , the Recentered Influence Function (RIF) is defined as:
RIF ( y ; v , F Y ) = v ( F Y ) + IF ( y ; v , F Y ) ,
where IF ( · ) is the influence function (derived from the Gâteaux/von Mises derivative) that measures the infinitesimal effect on v of contaminating F Y with a point mass at y . This definition ensures that:
E [ RIF ( Y ; v , F Y ) ] = v ( F Y ) ,
so that the sample mean of the RIF coincides exactly with the value of the original statistic.
In the case of the Gini index, it can be expressed as:
G = 1 2 μ Y 0 1 G L Y ( p )   d p ,
where μ Y = E [ Y ] is mean income, q Y ( p ) = F Y 1 ( p ) denotes the p -th quantile, and
G L Y ( p ) = q Y ( p ) y   d F Y ( y ) ,
is the generalized Lorenz curve. Likewise, define:
R Y = 0 1 G L Y ( p ) d p ,
as the area under this curve. Thus, the Gini index can be written as:
G = 1 2 μ Y R Y .
Based on this representation, the influence function of the Gini index is obtained as:
IF ( y ; G , F Y ) = 2 μ Y   y { 1 F Y ( y ) } + 2 μ Y 2   R Y ,
Recentering this expression yields the RIF of the Gini index:
RIF ( y , G i n i Y ) = G + IF ( y ; G , F Y ) = 1 + 2 μ Y 2 R Y 2 μ Y   y { 1 F Y ( y ) } .
The sample mean of the RIF coincides with the Gini index, which allows it to be used as the dependent variable in a linear regression (RIF–OLS). This approach makes it possible to estimate the unconditional partial effects of social welfare programs and other socioeconomic variables on income inequality in Peru.

2.4. Recentered Influence Function (RIF) of the Atkinson Index

The Recentered Influence Function (RIF) for distributive measures, such as the Atkinson index, is based on the approach of Firpo et al. (2009), which allows analyzing income distribution statistics through regression models. This approach is based on the theory of influence functions developed in the inequality literature (Cowell & Flachaire, 2007), from which the RIF is derived. Its empirical implementation has been facilitated by software tools in Stata, such as those developed by Rios (2020).
For an inequality aversion parameter ε > 0 , ε 1 , it is defined as:
RIF ( y ; A t k i n s o n ε ) = A ε + v 1 1 ε ( ε 1 )   μ Y ( y 1 ε v ) + v 1 1 ε μ y 2 ( y μ Y ) ,
where A ε = 1 v 1 1 ε μ Y corresponds to the Atkinson index, v = y   1 ε   d F Y ( y ) represents the expected value of Y   1 ε under the income distribution F Y , and μ Y = E [ Y ] is mean income.
In the particular case where ε = 1 , the RIF is expressed as:
RIF ( y ; A t k i n s o n 1 ) = A 1 e v μ Y   ( ln y v ) + e v μ Y 2   ( y μ Y ) ,
where A 1 = 1 e v μ Y is the Atkinson index for ε = 1 , and v = l n   y   d F Y ( y ) corresponds to the expected value of the logarithm of income under the distribution F Y .

2.5. Econometric Model (RIF–OLS)

The Recentered Influence Function (RIF) methodology, proposed by Firpo et al. (2009), allows analyzing the determinants of distributive statistics such as the Gini and Atkinson indices. This approach is based on the theory of influence functions applied to measures of inequality and social welfare (Cowell & Flachaire, 2007). Unlike traditional regression models, which estimate effects on the conditional mean of the dependent variable, the RIF–OLS approach allows estimating unconditional partial effects of the explanatory variables on measures of inequality. This facilitates linking individual or household characteristics with changes in aggregate distributive indicators, which is especially useful for analyzing the impact of public policies on income inequality
The econometric model was estimated using the Recentered Influence Function regression methodology (RIF–OLS), applied to the Gini and Atkinson inequality indices. The model specification for the Gini index was as follows:
RIF ( y i , G i n i Y ) = β 0 + β 1   F o o d P r o g i + β 2   N o n F o o d P r o g i + γ Z i + δ 1 D 2023 + δ 2 D 2024 + ε i ,
Similarly, the specification used for the Atkinson index was:
RIF ( y i ,   A t k i n s o n ε , Y ) = β 0 + β 1   F o o d P r o g i + β 2   N o n F o o d P r o g i + γ Z i + δ 1 D 2023 + δ 2 D 2024 + ε i
In the RIF–OLS regression, the estimated coefficients represent unconditional marginal effects of the explanatory variables on the inequality indicator analyzed. A negative coefficient associated with participation in social programs indicates a contribution to the reduction in income inequality, while a positive coefficient suggests an effect in the opposite direction.
In both models, the variable F o o d P r o g i is a dichotomous variable that takes the value of 1 if the household is a beneficiary of any food-related social program (such as Glass of Milk, Community Kitchen, Qali Warma, Wawa Wasi, or Cuna Más) and 0 otherwise. The variable N o n F o o d P r o g i is also dichotomous and takes the value of 1 when the household participates in any non-food social program (such as Juntos, Pensión 65, or FISE gas voucher) and 0 when it does not receive such benefits.
The vector of controls Z i includes socioeconomic variables at the household level and at the level of the household head. In particular, the number of additional income earners in the household and the area of residence (1 = rural, 0 = urban) are considered. Likewise, individual characteristics of the household head are incorporated, such as years of schooling, ethnicity, sex, and age. The ethnicity variable takes the value of 1 if the household head self-identifies as Quechua, Aymara, Amazonian native, or another Indigenous group, and 0 otherwise (mestizo, white, Afro-Peruvian, or other). For its part, the sex variable is coded as 1 = male.
Likewise, given that the information used corresponds to the period 2022–2024, the control variable “year” was incorporated into the RIF model, with the purpose of reflecting temporal differences and avoiding biases in the estimation. To capture these effects, the dummy variables D 2023 and D 2024 were included, which represent the years 2023 and 2024, respectively.
The inclusion of these control variables is based on the literature on income inequality, which identifies various socioeconomic and demographic factors as determinants of distributive gaps. In particular, the level of education constitutes one of the main determinants of labor income and economic opportunities, directly influencing the distribution of income among households (Cornia, 2015; Chen, 2025; Ferreira et al., 2017; Wędrowska & Muszyńska, 2022). Likewise, demographic characteristics such as age, sex, and ethnic belonging reflect structural inequalities in access to employment and productive assets, which may generate persistent differences in income levels (Gradín, 2021; Gómez, 2024; Vasilescu & Stănilă, 2025).
For its part, variables associated with household structure and territorial context, such as the number of income earners and the area of residence, allow capturing differences in the diversification of household income and in opportunities for labor market insertion between urban and rural areas. The literature points out that the presence of multiple income earners may reduce household economic vulnerability and improve income stability (Koiry et al., 2024; Rahman et al., 2023). Likewise, structural differences between urban and rural areas influence access to employment and productivity, generating persistent gaps in income levels (Savranlar & Topcu, 2023; Zhao & Liu, 2022).
Likewise, in order to strengthen the robustness of the analysis, multiple inequality indicators (Gini and Atkinson with different parameters) are used, which allows contrasting the results from different normative approaches. Additionally, dummy variables for year are incorporated, which allows capturing temporal variations in the period 2022–2024 and strengthening the consistency of the estimates.

3. Results

Table 1 presents the descriptive statistics of the main variables used in the analysis, reporting the number of observations, the mean, the standard deviation, and the minimum and maximum values.
Figure 1 presents the Lorenz curve corresponding to the distribution of household per capita income in Peru during the 2022–2024 period. The graph includes the line of perfect equality and the empirical curve representing the observed income distribution.
On average, for the period analyzed, the Gini coefficient was 0.408 (40.8%). The area under the Lorenz curve was 0.296, while the area of inequality (the area between the line of equality and the Lorenz curve) reached a value of 0.204. These values describe the degree of inequality present in income distribution during the period under analysis.
Figure 2 presents the evolution of public spending on social protection in Peru, which includes total expenditure allocated to social welfare programs, both food-related and non-food.
In 2010, the national Gini coefficient was 45.5%, while by 2024 it had declined to 40.8%. Over this fifteen-year period, the index decreased by only 4.7 percentage points, reflecting limited progress in terms of distributive equity.
During the same period, public spending on social protection increased significantly, rising from 2878.5 million soles in 2010 to 9315.2 million soles in 2024. This increase of 6436.7 million soles represents a cumulative variation of 223.7%. This growth is explained by the expansion and strengthening of social programs aimed at reducing poverty and inequality.
Overall, despite the substantial increase in public spending on social protection, the reduction in the Gini index has been marginal, suggesting low distributive elasticity of social spending with respect to income inequality levels.
Figure 3 presents the evolution of public spending on social protection and the Atkinson index considering three levels of inequality aversion ( ε = 0.5 , ε = 1 , and ε = 1.5 ) over the 2010–2024 period.
Regarding the Atkinson index, a downward trend is observed across all three levels of inequality aversion, although with differences in the magnitude of the reduction. For ε = 0.5 , the value decreases from 17.3% in 2010 to 13.9% in 2024; for ε = 1 , it declines from 31.3% to 25.2%; and for ε = 1.5 , from 43.1% to 35.5%. These reductions reflect a moderate improvement in distributive equity, more pronounced in contexts with lower sensitivity to inequality.
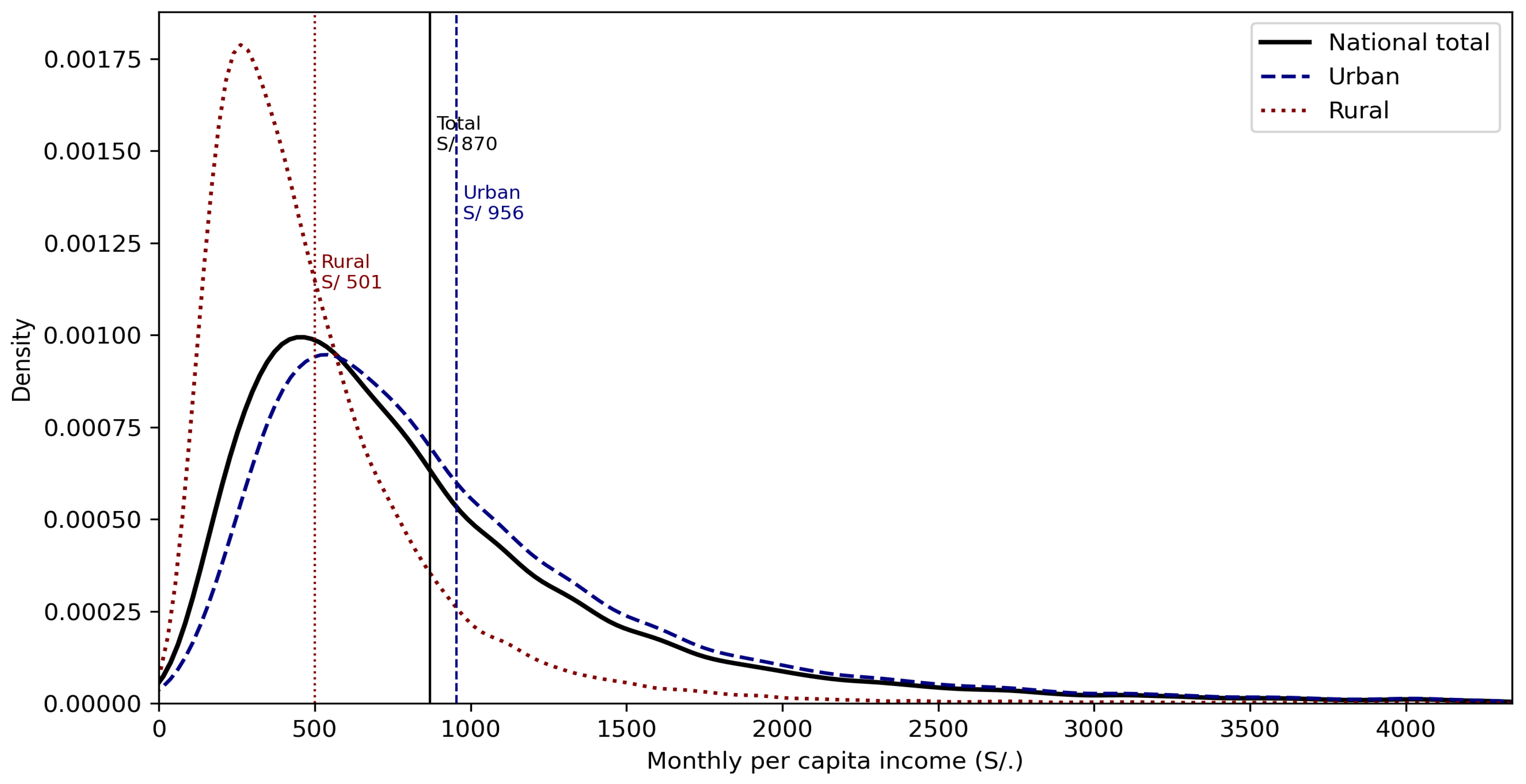
Figure 4 presents the distribution of weighted monthly per capita income at the national level, considering ENAHO expansion factors for the 2022–2024 period and excluding the top 1% of the sample (weighted national p99). Densities were estimated using the kernel method, distinguishing between urban and rural areas.
The curve corresponding to the urban area shows greater dispersion to the right, indicating the presence of households with higher incomes and a more extended distribution. In contrast, the rural distribution is mainly concentrated at lower income levels (between S/300 and S/700), with less dispersion and a predominance of low values.
The weighted national average income was approximately S/870, while the urban average reached S/956 and the rural average S/501. The difference between these averages corresponds to an urban–rural income gap of nearly 90%, highlighting the distributive inequality between both areas during the period analyzed.
Table 2 presents the results of the Recentered Influence Function (RIF) regressions applied to the Gini and Atkinson inequality indices, considering different levels of inequality aversion ( ε = 0.5 , 1.0 , and 1.5 ). The estimated coefficients make it possible to assess the marginal effects of food-related and non-food social programs, as well as other socioeconomic characteristics, on per capita income inequality in Peru during the 2022–2024 period.
The results show that both food-related and non-food social programs generate negative and statistically significant effects on all inequality indicators, evidencing their contribution to reducing distributive gaps. In particular, household participation in food programs reduces the Gini RIF by approximately 2.14 percentage points, indicating an improvement in distributive equity among beneficiary households. Non-food social programs exhibit an even larger effect, with an estimated reduction of 4.06 percentage points in the Gini RIF, suggesting that these programs have greater redistributive capacity within the income structure of Peruvian households.
Regarding the Atkinson index, food programs are associated with reductions in inequality of −1.23%, −2.84%, and −4.82% for inequality aversion levels ε = 0.5 , 1.0 , and 1.5 , respectively. In the case of non-food programs, the estimated reductions are −2.52%, −3.51%, and −3.06% for the same aversion levels.
With respect to income earners, the estimation for the Gini RIF shows that when an additional income earner is incorporated into a household, the Gini RIF decreases by 3.0%. For the Atkinson index, the estimated effects are −2.0%, −3.3%, and −4.4% for inequality aversion levels ε = 0.5 , 1.0 , and 1.5 , respectively. The increasing magnitude of these coefficients is explained by the fact that, as inequality aversion rises, the index assigns greater weight to lower-income households, amplifying the redistributive effect derived from a higher number of income earners within the household.
Regarding area of residence, the results indicate that living in a rural area increases the Gini RIF by 9.4%, while for the Atkinson index the increase is 6.1%, 11.0%, and 14.2% for ε = 0.5 , 1.0 , and 1.5 , respectively. This finding highlights an association between rural residence and higher levels of income inequality.
With respect to the years of schooling of the household head, the coefficients indicate an increase of 0.7% in the Gini RIF and 0.5%, 0.8%, and 0.9% in the Atkinson index as inequality aversion increases. This result may reflect an unequal distribution of educational returns across different segments of the income distribution.
Regarding ethnicity, indigenous self-identification is associated with a reduction of 1.1% in the Gini RIF, while for the Atkinson index the reductions are −0.7%, −0.7%, and −0.1%, the latter being statistically insignificant. This pattern suggests a possible relative improvement in income distribution among indigenous households, although limited under scenarios of high inequality aversion.
With respect to the sex of the household head, the results indicate that being male increases the Gini RIF by 1.3%, and the Atkinson index RIF by 0.8%, 1.4%, and 1.8% for the levels of inequality aversion considered. This finding may reflect structural differences in income patterns between male-headed and female-headed households.
Finally, regarding the age of the household head, the estimated effects are of low magnitude: 0.0% for the Gini RIF and 0.0% for the Atkinson index RIF at ε = 0.5 and ε = 1.0 , with no statistical significance in the case of ε = 1.5 . This suggests a weak relationship between age and income inequality.
Figure 5 presents the spatial distribution of the Gini index RIF at the departmental level in Peru. The results reveal marked territorial heterogeneity in inequality levels. Departments with the highest Gini RIF values are mainly concentrated in the Amazon region, as well as in the central and southern highlands of the country. Loreto (47.4%), Cajamarca (47.6%), Huánuco (46.5%), Huancavelica (45.4%), Ayacucho (45.0%), Apurímac (40.2%), and Puno (41.8%) stand out as the territories with the highest levels.
In contrast, the lowest values are observed in Ica (31.1%), Tumbes (34.1%), Piura (36.8%), and Arequipa (39.7%), indicating a lower relative contribution of these departments to the aggregate level of inequality. Departments along the northern and southern coast, such as Lambayeque (34.8%), La Libertad (39.7%), Moquegua (44.7%), and Tacna (37.6%), display intermediate levels.
Lima records a value of 41.6%, placing it close to the national average (40.8%), while Amazonian regions such as Ucayali (38.4%) and Madre de Dios (37.1%) show moderate levels. Overall, the spatial distribution reveals structural differences across Andean, Amazonian, and coastal regions, reflected in their distinct levels of inequality as measured by the Gini index RIF.

4. Discussion

The results show that during the 2022–2024 period, per capita income inequality in Peru remains at a moderate-to-high level, with an average Gini coefficient of 0.408. Although this value is below the Latin American average (approximately 0.45), according to estimates by CEPAL and the World Bank (Amarante et al., 2023; CEPAL, 2023; Bank, 2024), there is still a marked concentration of income among the upper strata. The magnitude of the area of inequality, equivalent to 40.8% of the area under the line of perfect equality, confirms the presence of structural gaps that have not been overcome, despite economic growth and increased public spending on social programs in previous years.
At the global level, the gap relative to advanced economies is substantial. Nordic countries, characterized by robust welfare systems and highly progressive fiscal policies, exhibit Gini coefficients between 0.25 and 0.29 (Causa & Hermansen, 2017). Even European countries with relatively high levels of inequality, such as the United Kingdom (approximately 0.35) and Spain (approximately 0.33), report figures below those of Peru (Artola & Martínez, 2023; Joyce & Xu, 2019), placing the country above international standards of distributive equality.
Regarding temporal evolution, Peru has shown limited progress in reducing inequality. The Gini coefficient declined by only 4.7% over the past fifteen years, despite a cumulative increase of 223.7% in public spending on social protection. This low redistributive elasticity is consistent with (Gaentzsch, 2018), who argues that much of the reduction in the Gini coefficient in the region stems from in-kind benefits (education and health), while direct cash transfers display lower redistributive capacity due to limited progressivity and coverage. Similarly, Kumar et al. (2024) show that countries with low fiscal redistribution maintain persistently high levels of inequality regardless of economic growth.
This is compounded by the strong intergenerational persistence of inequality in Latin America: between 44% and 63% of total inequality is explained by circumstances of origin, such as parental education, territory, and ethnicity (Brunori et al., 2023). In Peru, these factors also account for more than half of inequality, reinforcing the relevance of social policies as mechanisms to compensate for initial disadvantages (Alarco et al., 2019; Francke, 2017).
The RIF model results confirm that social programs—both food-related and non-food—exert significant redistributive effects. Estimates show reductions in the Gini coefficient of 2.14% for food programs and 4.1% for non-food programs. These results are consistent with evidence from middle-income countries, where targeted transfers contribute to reducing distributive gaps (Acuña et al., 2025). Likewise, previous studies have found that higher transfers and public spending on social programs are associated with reductions in income inequality and monetary poverty (Espinosa et al., 2014; Ramos, 2024).
International evidence also supports these findings. Cash transfers tend to generate direct impacts on relative inequality (Fernandes et al., 2025), and redistributive effects are larger when indices sensitive to lower incomes are used (Kobus et al., 2025). Studies on specific programs, such as Pensión 65, show sustained improvements in the welfare of beneficiary households (Bernal et al., 2024).
Nevertheless, the literature also reports heterogeneous results. Hinojosa Pérez et al. (2024) find that programs such as Juntos, Qali Warma, and Trabaja Perú have not significantly reduced regional poverty or territorial inequalities due to limitations in targeting, operational capacity, and financing. These findings are consistent with the evidence reported by Pillaca and Chavez (2017) and Vásquez (2016). Along similar lines, Gallardo et al. (2021) show that in rural and indigenous areas, conditional cash transfers may be less effective or even increase inequality when local institutional capacity is weak.
In the Peruvian case, Castillo (2020) confirms that public transfers were among the main factors explaining the reduction in the Gini coefficient between 2007 and 2017, particularly in poor regions such as Apurímac, Ayacucho, Puno, and Cajamarca. However, the redistributive capacity of labor income weakened after 2012, highlighting the importance of social programs in contexts of low economic growth.
The analysis using the Atkinson index deepens the previous interpretation. Inequality reductions associated with food programs reach 1.23%, 2.84%, and 4.82% for values of ε = 0.5 , 1.0 , and 1.5 , respectively. This pattern is consistent with the nature of the Atkinson index, which assigns greater relative weight to lower-income households as the inequality aversion parameter increases (Avalos, 2023; Militaru & Stanila, 2015).
Non-food programs show even larger effects, confirming that poorer households benefit relatively more as inequality aversion increases. This pattern aligns with evidence documenting that targeted and monetary interventions tend to reduce inequality more markedly among the most vulnerable segments (Kobus et al., 2025; Shi et al., 2025).
Overall, these results reinforce the view that social programs play a relevant redistributive role in contexts characterized by persistent inequities (Alarco et al., 2019). Moreover, the increasing behavior of the Atkinson index at higher values of ε confirms that the programs analyzed generate particularly important benefits among lower-income households, underscoring their importance as policy instruments aimed at improving social welfare and mitigating structural inequalities.
However, broader evidence shows that the impact of social programs in Peru remains heterogeneous: despite increased public budgets, effects on poverty and inequality continue to be limited and, in some cases, contradictory across specific programs (Dizon, 2023; Quispe, 2017; Sánchez et al., 2020). This suggests that the redistributive potential of these interventions critically depends on their design, targeting, and implementation capacity.
Regarding control variables, the results show that the presence of an additional income earner reduces inequality by 3.0% according to the Gini RIF and by between 2.0% and 4.4% according to the Atkinson RIF. This effect is consistent with labor diversification theory, which holds that multiple income earners reduce vulnerability and improve intra-household equity (Deaton, 2019; Lanjouw & Ravallion, 1995).
Likewise, living in a rural area significantly increases inequality—by 9.4% according to the Gini index and up to 14.2% according to the Atkinson index. This finding reflects persistent gaps in infrastructure, productivity, and access to services, consistent with regional evidence on territorial inequality (López & Lustig, 2010). In Mexico, Gallardo et al. (2021) show that such gaps also limit the effectiveness of conditional cash transfers.
Years of schooling slightly increase inequality. This finding is consistent with the literature that documents higher educational returns for higher-income strata (Acemoglu & Autor, 2011; Psacharopoulos & Patrinos, 2018). In the case of Peru, years of education reflect persistent structural gaps (Cuenca et al., 2019), which helps to explain this pattern. In a complementary manner, in Brazil, Ferreira et al. (2022) show that the reduction in wage inequality was due more to the decrease in the dispersion of labor returns than to improvements in education, which is methodologically relevant given the use of RIF regressions.
Indigenous self-identification is associated with slight reductions in inequality, although it loses statistical significance at higher values of ε , suggesting that the poorest indigenous households do not benefit proportionally. This result is consistent with persistent inequalities in access to productive assets, education, and employment (Montoya, 2025; Ñopo, 2012).
In male-headed households, inequality increases by 1.3%, while female-headed households display more equitable income distributions. This pattern is consistent with evidence documenting gender-differentiated intra-household behaviors (Duflo, 2012). Regarding the age of the household head, no significant effects are found, consistent with labor markets characterized by low mobility and relatively stable income profiles. Rios (2020) also reports a mild and non-determinant effect of age on wage inequality.
The public policy implications derived from these results suggest the need to strengthen existing social programs through the improvement of their targeting, coverage, and articulation with other complementary policies. In particular, it is recommended to prioritize interventions aimed at the most vulnerable households, especially in rural areas and in historically excluded populations, where distributive gaps are more pronounced. Likewise, it is fundamental to complement social transfers with policies aimed at income generation, such as the promotion of formal employment, job training, and the strengthening of human capital.
In the same way, the results highlight the importance of adopting a territorial approach to social policy that integrates investments in infrastructure, connectivity, and access to basic services, with the purpose of reducing regional inequalities. Taken together, these actions would allow strengthening the redistributive effect of social programs and advancing toward a more sustainable reduction in income inequality in Peru.

5. Conclusions

The study demonstrates that, despite sustained growth in public spending on social protection over the past decade, income inequality in Peru remains moderate to high, with an average Gini coefficient of 0.408.
The decomposition using RIF regressions constitutes one of the main methodological contributions of the study, as it allows for the precise identification of the marginal effects of food-related and non-food social programs on income inequality. The results show that participation in food programs reduces the Gini RIF by 2.14%, while non-food programs generate an even larger reduction of 4.06%. For the Atkinson index, food programs exhibit reductions of −1.22% ( ε = 0.5 ), −2.84% ( ε = 1.0 ), and −4.81% ( ε = 1.5 ). This progression confirms that as inequality aversion increases, these programs become more effective, as they primarily benefit low-income or poor households.
In the case of non-food programs, the effects on the Atkinson index reach −2.521% ( ε = 0.5 ), −3.511% ( ε = 1.0 ), and −3.06% ( ε = 1.5 ). These values indicate significant impacts at low and medium levels of inequality aversion, but a reduction in effectiveness in scenarios of high sensitivity to inequality. This suggests that these programs concentrate their effects on vulnerable households in intermediate strata rather than on the poorest.
Regarding control variables, the results show that additional income earners and indigenous self-identification reduce inequality, while rural residence, years of schooling of the household head, and male household headship increase inequality.
The findings suggest that sustainable inequality reduction requires complementing social programs with structural interventions aimed at improving education quality, strengthening formal employment, boosting rural productivity, and closing territorial gaps in infrastructure and basic services. Likewise, the results highlight the need to optimize targeting and territorial coordination of social programs, prioritizing Amazonian and Andean regions where inequality is deeper and redistributive effects are weaker.
In terms of future research, further analysis is recommended to assess differentiated impacts by type of social program, duration of intervention, and income transmission mechanisms within households. It would also be valuable to incorporate non-monetary indicators, intergenerational dynamics, and longitudinal analyses to better understand the persistence of distributive gaps.

Author Contributions

Conceptualization, E.B.G.C.; methodology, E.B.G.C.; software, A.V.M.; validation, L.L.T.; formal analysis, L.L.T.; investigation, E.B.O.; resources, E.C.M.; data curation, A.V.M.; writing—original draft preparation, A.V.M.; writing—review and editing, L.L.T.; visualization, E.C.M.; supervision, E.B.O.; project administration, E.B.G.C. All authors have read and agreed to the published version of the manuscript.

Funding

This research was funded by the National University of the Altiplano, Puno, through competitive FEDU funds. The article processing charge (APC) was also covered by the National University of the Altiplano.

Institutional Review Board Statement

Not applicable.

Informed Consent Statement

Not applicable.

Data Availability Statement

The data used in this study are from the National Household Survey (ENAHO) and are available at the following URL: https://proyectos.inei.gob.pe/microdatos/, accessed on 4 August 2025. These data are part of Peru’s National Open Data Platform.

Conflicts of Interest

The authors declare no conflicts of interest.

Abbreviations

The following abbreviations are used in this manuscript:
RIFRecentered Influence Function
OLSOLS
ENAHONational Household Survey
MEFMinistry of Economy and Finance
RBBResults-Based Budgeting
INEINational Institute of Statistics and Informatics

References

  1. Acemoglu, D., & Autor, D. (2011). Skills, tasks and technologies: Implications for employment and earnings. In Handbook of labor economics (Vol. 4, No. Part B). Elsevier. [Google Scholar] [CrossRef]
  2. Acuña, E. V., Carlos-Andres, S. S., & Mougenot, B. (2025). Desigualdad del ingreso y crecimiento económico en Perú. Problemas Del Desarrollo. Revista Latinoamericana de Economía, 56(221), 169–189. [Google Scholar] [CrossRef]
  3. Alarco, G., Castillo, C., & Leyva, F. (2019). Desigualdad factorial, personal y de la riqueza en Perú, 1950–2016. Revista Latinoamericana de Economía, 50(197), 31–58. [Google Scholar] [CrossRef][Green Version]
  4. Alejo, J., Galvao, A., Martínez, J., & Montes, G. (2025). Generalized recentered influence function regressions. Econometrics, 13(2), 19. [Google Scholar] [CrossRef]
  5. Amarante, V., Lustig, N., & Vigorito, A. (2023). The challenge of income inequality in Latin America. CEPAL Review, 2023(141), 147–163. [Google Scholar] [CrossRef]
  6. Artola, M., & Martínez, C. (2023). La evolución de la desigualdad de la renta y la riqueza en España, 1898–2023. ICE, Revista de Economía, (933), 69–83. [Google Scholar] [CrossRef]
  7. Atkinson, A. B. (1970). On the measurement of inequality. Journal of Economic Theory, 2(3), 244–263. [Google Scholar] [CrossRef]
  8. Avalos, E. (2023). Medición de la desigualdad de ingresos según el ingreso Relativo: Fundamentos, simulación y cálculo para el Perú, 2004–2017. Revista Economía y Política, (37), 48–75. [Google Scholar] [CrossRef]
  9. Bank, W. (2024). Poverty, prosperity, and planet report 2024: Pathways out of the Polycrisis. World Bank. [Google Scholar] [CrossRef]
  10. Bastagli, F., Hagen-Zanker, J., Harman, L., Barca, V., Sturge, G., & Schmidt, T. (2019). The impact of cash transfers: A review of the evidence from low- and middle-income countries. Journal of Social Policy, 48(3), 569–594. [Google Scholar] [CrossRef]
  11. Bergolo, M., & Cruces, G. (2021). The anatomy of behavioral responses to social assistance when informal employment is high. Journal of Public Economics, 193, 104313. [Google Scholar] [CrossRef]
  12. Bernal, N., Olivera, J., & Suhrcke, M. (2024). The effects of social pensions on nutrition-related health outcomes of the poor: Quasi-experimental evidence from Peru. Health Economics, 33(5), 971–991. [Google Scholar] [CrossRef]
  13. Brady, D., & Bostic, A. (2015). Paradoxes of social policy: Welfare transfers, relative poverty, and redistribution preferences. American Sociological Review, 80(2), 268–298. [Google Scholar] [CrossRef]
  14. Brunori, P., Ferreira, F. H. G., & Neidhöfer, G. (2023). Inequality of opportunity and intergenerational persistence in Latin America. Inter-American Development Bank. [Google Scholar] [CrossRef]
  15. Castillo, L. E. (2020). Dinámica regional de la desigualdad de ingresos en Perú. BCRP. Available online: https://www.bcrp.gob.pe/docs/Publicaciones/Documentos-de-Trabajo/2020/documento-de-trabajo-004-2020-esp.pdf (accessed on 9 October 2025).
  16. Castillo Vera, P. (2017). La desigualdad de ingresos en el Perú según el censo de 1876. Economía, 40(79), 181–216. [Google Scholar] [CrossRef][Green Version]
  17. Causa, O., & Hermansen, M. (2017). Income redistribution through taxes and transfers across OECD countries (Vol. 1453). OECD Publishing. [Google Scholar] [CrossRef]
  18. CEPAL. (2023). Panorama Social de América Latina y el Caribe. Naciones Unidas. Available online: https://www.cepal.org/es/publicaciones/68702-panorama-social-america-latina-caribe-2023-la-inclusion-laboral-como-eje-central (accessed on 17 September 2025).
  19. Chen, J. (2025). The impact of extending compulsory education on income inequality. Financial Economics Research, 2(3), 52–61. [Google Scholar] [CrossRef]
  20. Cornia, G. A. (2015). Income inequality in Latin America: Recent decline and prospects for its further reduction (Vol. 2015). UNU-WIDER. [Google Scholar] [CrossRef]
  21. Cowell, F. A. (2011). Measuring inequality. Oxford University Press. [Google Scholar] [CrossRef]
  22. Cowell, F. A. (2015). Inequality measurement. In International encyclopedia of the social & behavioral sciences: Second edition. Elsevier Inc. [Google Scholar] [CrossRef]
  23. Cowell, F. A., & Flachaire, E. (2007). Income distribution and inequality measurement: The problem of extreme values. Journal of Econometrics, 141(2), 1044–1072. [Google Scholar] [CrossRef]
  24. Cuenca, R., Urrutia, C. E., & Carlos, R. E. C. (2019). Explorando las brechas de desigualdad educativa en el Perú. Revista Mexicana de Investigación Educativa RMIE, 24(81), 431–461. (In Spanish) [Google Scholar]
  25. Deaton, A. (2019). The analysis of household surveys (Reissue edition with a new preface): A microeconometric approach to development policy. World Bank. [Google Scholar] [CrossRef]
  26. Dizon, R. J. R. (2023). Do public healthcare programs make societies more equal? Cross-country evidence on subjective wellbeing. Health Economics Review, 13(1), 55. [Google Scholar] [CrossRef]
  27. Duflo, E. (2012). Women empowerment and economic development. Journal of Economic Literature, 50(4), 1051–1079. [Google Scholar] [CrossRef]
  28. Espinosa, M. A., Reyes, V. G., Sombra, J. T., & Pérez, F. d. C. (2014). Programas sociales como alternativa para generar la redistribución del ingreso: Un estudio de caso. Estudios Sociales, 23(46), 272–288. (In Spanish) [Google Scholar]
  29. Fernandes, C. B. S., Vasconcelos, M. R., da Cunha, M. S., & Obst, T. (2025). The relationship between tax structures and income inequality. Desarrollo y Sociedad, 2025(100), 79–95. [Google Scholar] [CrossRef]
  30. Ferreira, F. H. G., Firpo, S. P., & Messina, J. (2017). Ageing poorly?: Accounting for the decline in earnings inequality in Brazil, 1995–2012. World Bank. [Google Scholar] [CrossRef]
  31. Ferreira, F. H. G., Firpo, S. P., & Messina, J. (2022). Labor market experience and falling earnings inequality in Brazil: 1995–2012. The World Bank Economic Review, 36(1), 37–67. [Google Scholar] [CrossRef]
  32. Firpo, S. P., Fortin, N. M., & Lemieux, T. (2009). Unconditional quantile regressions. Econometrica, 77(3), 953–973. [Google Scholar] [CrossRef]
  33. Firpo, S. P., Fortin, N. M., & Lemieux, T. (2018). Decomposing wage distributions using recentered influence function regressions. Econometrics, 6(2), 28. [Google Scholar] [CrossRef]
  34. Francke, P. (2017). Una nota sobre la desigualdad de ingresos en el Perú: Mediciones recientes y preguntas pendientes. Economía, 40(79), 219–226. (In Spanish) [Google Scholar] [CrossRef]
  35. Gaentzsch, A. (2018). The distributional impact of social spending in Peru The distributional impact of social spending in Peru. Freie Universität Berlin, School of Business & Economics. Available online: https://www.econstor.eu/bitstream/10419/178495/1/1020621109.pdf (accessed on 16 July 2025).
  36. Gallardo, R., Ojeda, M. M., & Cruz, C. (2021). Income distribution of rural households in Mexico. Agrociencia, 55(7), 645–662. [Google Scholar] [CrossRef]
  37. Garda, P., & Vidal, E. (2023). All together: Making growth more inclusive in Peru. In OECD economic surveys: Peru 2023. OECD. [Google Scholar] [CrossRef]
  38. Gasparini, L., Albina, I., & Laguinge, L. (2025). Incidencia distributiva de las transferencias de ingresos: Nuevas estimaciones para Argentina. Estudios Económicos, 42(85), 5–33. [Google Scholar] [CrossRef]
  39. Gavilan, J. M., Ruiz-Gándara, Á., Ortega-Irizo, F. J., & Gonzalez-Abril, L. (2024). Some notes on the Gini index and new inequality measures: The nth Gini index. Stats, 7(4), 1354–1365. [Google Scholar] [CrossRef]
  40. Goerlich, F. J., & Villar, A. (2009). Desigualdad y bienestar social. Fundación BBVA. Available online: https://www.fbbva.es/publicaciones/desigualdad-y-bienestar-social-de-la-teoria-a-la-practica/ (accessed on 22 November 2025).
  41. Gómez, S. (2024). Within the cracks of the cosmic race: Income inequalities by race and ethnicity in Latin America. World Development, 184, 106764. [Google Scholar] [CrossRef]
  42. Gradín, C. (2018). Quantifying the contribution of a subpopulation to inequality: An application to Mozambique (Vol. 2018). UNU-WIDER. [Google Scholar] [CrossRef]
  43. Gradín, C. (2021). Trends in global inequality using a new integrated dataset (Vol. 2021). UNU-WIDER. [Google Scholar] [CrossRef]
  44. Herrera, J. (2017). Poverty and economic inequalities in Peru during the boom in growth: 2004–14. Revue Internationale de Politique de Développement, 9, 138–173. [Google Scholar] [CrossRef]
  45. Hinojosa Pérez, J. A., Briceño, H. R., Vargas, I. Y., & Carrasco, S. C. (2024). Social programs and socioeconomic variables: Their impact on Peruvian regional poverty (2013–2022). Economies, 12(8), 197. [Google Scholar] [CrossRef]
  46. Joyce, R., & Xu, X. (2019). Inequalities in the twenty-first century Introducing the IFS Deaton review. The Institute for Fiscal Studies. Available online: https://ifs.org.uk/publications/inequalities-twenty-first-century-introducing-ifs-deaton-review (accessed on 4 December 2025).
  47. Kaas, L., Kocharkov, G., & Preugschat, E. (2019). Wealth inequality and homeownership in Europe. In Annals of economics and statistics. (No. 136). University of Konstanz-Department of Economics. [Google Scholar] [CrossRef]
  48. Kobus, M., Kurek, R., & Parker, T. (2025). Ranking policies under loss aversion and inequality aversion. arXiv, arXiv:2510.09590. [Google Scholar] [CrossRef]
  49. Koiry, S., Kairi, B., & Pooja, P. (2024). Impact of income diversification on multidimensional poverty: Household level evidence from tea estates in Bangladesh. Heliyon, 10(5), e26509. [Google Scholar] [CrossRef]
  50. Kumar, N., Chancel, L., Piketty, T., & Somanchi, A. (2024). Income and wealth inequality in India, 1922–2023: The rise of the Billionaire Raj. World Inequality Lab. Available online: https://shs.hal.science/halshs-04563836v1 (accessed on 15 October 2025).
  51. Lanjouw, P., & Ravallion, M. (1995). Poverty and household size. The Economic Journal, 105(433), 1415–1434. [Google Scholar] [CrossRef]
  52. Liu, G. (2025). Social welfare and economic equality: Healthcare expenditure as a moderator. Frontiers in Public Health, 13, 1547027. [Google Scholar] [CrossRef]
  53. López, L. F., & Lustig, N. (2010). Declining inequality in Latin America. A decade of progress? Critical Reviews on Latin American Research-CROLAR, 1(1), 247–250. [Google Scholar]
  54. Lustig, N., Pessino, C., & Scott, J. (2014). The impact of taxes and social spending on inequality and poverty in Argentina, Bolivia, Brazil, Mexico, Peru, and Uruguay: Introduction to the special issue. Public Finance Review, 42(3), 287–303. [Google Scholar] [CrossRef]
  55. Militaru, E., & Stanila, L. (2015). Income variability in Romania: Decomposing income inequality by household characteristics. Procedia Economics and Finance, 26, 227–233. [Google Scholar] [CrossRef]
  56. Montoya, J. C. (2025). Desigualdades étnico-raciales en el sector arrocero de los departamentos de Cauca y Valle del Cauca, Colombia. Economía Sociedad y Territorio, 25, e2137. [Google Scholar] [CrossRef]
  57. Moreira, M. F. (2026). Impact of social policies on multidimensional poverty in Guayaquil: Empirical evaluation of public programs and urban well-being. Revista Prisma Social, (52), 448–462. [Google Scholar] [CrossRef]
  58. Nicolau, R. (2023). Welfare stigma after take-up: Evidence from public cash transfers in Uruguay (DT 14/23). University of the Republic, Uruguay–IECON. Available online: https://hdl.handle.net/20.500.12008/41723 (accessed on 14 March 2026).
  59. Ñopo, H. (2012). Publicación: New century, old disparities: Gender and ethnic earnings gaps in Latin America and the Caribbean. Inter-American Development Bank and the World Bank. [Google Scholar] [CrossRef]
  60. Oliveira, R. C., & Silveira, R. d. M. (2021). Re-examining the Brazilian South–Northeast labour income gap: A decomposition approach (Vol. 2021). UNU-WIDER. [Google Scholar] [CrossRef]
  61. Pérez, M. A. (2024). Impact and progressivity of redistributive social programmes in Mexico. An analysis by state, 2016–2022. Economía Teoría y Práctica, (61), 33–58. [Google Scholar] [CrossRef]
  62. Pillaca, S., & Chavez, P. N. (2017). How effective and efficient are social programs on food and nutritional security? Food and Energy Security, 6(4), e00120. [Google Scholar] [CrossRef]
  63. Psacharopoulos, G., & Patrinos, H. A. (2018). Returns to investment in education: A decennial review of the global literature. Education Economics, 26(5), 445–458. [Google Scholar] [CrossRef]
  64. Quispe, M. R. (2017). Impacto de los programas sociales en la disminución de la pobreza. Pensamiento Crítico, 22(1), 69–102. [Google Scholar] [CrossRef][Green Version]
  65. Rahman, M. M., Arif, M. S. I., Hossain, M. T., Almohamad, H., Al Dughairi, A. A., Al-Mutiry, M., & Abdo, H. G. (2023). Households’ vulnerability assessment: Empirical evidence from cyclone-prone area of Bangladesh. Geoscience Letters, 10(1), 26. [Google Scholar] [CrossRef]
  66. Ramos, R. (2024). Reducción de la pobreza monetaria y la asignación de presupuestos a programas sociales en Perú: Tendencias y desigualdades regionales, 2011–2019. Revista de Investigación en Ciencias Sociales, 1(3), 26–37. [Google Scholar] [CrossRef]
  67. Razzaque, M. A., Rahman, J., & Hasan, M. (2025). Urban poverty, vulnerability, and social protection: An assessment using HIES 2022. United Nations Development Programme (UNDP). Available online: https://www.rapidbd.org/category/publications/?utm_source=chatgpt.com (accessed on 17 March 2026).
  68. Rios, F. (2019). Recentered influence functions in Stata: Methods for analyzing the determinants of poverty and inequality. Levy Economics Institute of Bard College. Available online: https://www.levyinstitute.org/publications/recentered-influence-functions-in-stata-methods-for-analyzing-the-determinants-of-poverty-and-inequality/ (accessed on 12 April 2025).
  69. Rios, F. (2020). Recentered influence functions (RIFs) in Stata: RIF regression and RIF decomposition. The Stata Journal: Promoting Communications on Statistics and Stata, 20(1), 51–94. [Google Scholar] [CrossRef]
  70. Savranlar, B., & Topcu, E. (2023). Urbanization and urban-rural income inequality in Latin America. Istanbul Journal of Economics/İstanbul İktisat Dergisi, 73(1), 261–280. [Google Scholar] [CrossRef]
  71. Sánchez, A. J., Bazán, R. Y., & Polo, B. R. (2020). Programas sociales y su incidencia en reducción de pobreza en un asentamiento humano, Perú, 2018. Revista Científica UNTRM: Ciencias Sociales y Humanidades, 3(2), 9. [Google Scholar] [CrossRef]
  72. Segal, P. (2022). On the character and causes of inequality in Latin America. Development and Change, 53(5), 1087–1102. [Google Scholar] [CrossRef]
  73. Selim, R., & Küçükçifçi, S. (2024). The effect of social transfers on income inequality and poverty in Türkiye. Journal of the Knowledge Economy, 16(2), 8198–8220. [Google Scholar] [CrossRef]
  74. Shi, Z., Ma, R., Huang, J., Ma, X., Chen, X., Wang, M., Yang, Q., Wang, Y., Ye, F., Chen, Z., Wang, S., Li, C., Wang, W., Tu, Z., Li, X., Ren, Z., & Linus. (2025). Social welfare function leaderboard: When LLM agents allocate social welfare. arXiv, arXiv:2510.01164. [Google Scholar] [CrossRef]
  75. Stampini, M., Medellín, N., & Ibarrarán, P. (2023). Cash transfers, poverty, and inequality in Latin America and the Caribbean. Inter-American Development Bank. [Google Scholar] [CrossRef]
  76. Timiryanova, V., Krasnoselskaya, D., & Kuzminykh, N. (2022). Applying the multilevel approach in estimation of income population differences. Stats, 6(1), 67–98. [Google Scholar] [CrossRef]
  77. Vasilescu, M. D., & Stănilă, L. (2025). Inequality of opportunity in income and education: Evidence from central and eastern Europe. Economies, 13(10), 275. [Google Scholar] [CrossRef]
  78. Vásquez, E. (2016). Social policy and programs focused on children in Peru (2010–2014): An evaluation based on the multidimensional poverty index. Sociology and Anthropology, 4(10), 887–909. [Google Scholar] [CrossRef]
  79. Wędrowska, E., & Muszyńska, J. (2022). Role of age and education as the determinant of income inequality in Poland: Decomposition of the mean logarithmic deviation. Entropy, 24(6), 773. [Google Scholar] [CrossRef] [PubMed]
  80. Zhao, X., & Liu, L. (2022). The impact of urbanization level on urban–rural income gap in China based on spatial econometric model. Sustainability, 14(21), 13795. [Google Scholar] [CrossRef]
Figure 1. Lorenz curve for the distribution of per capita income in Peru.
Figure 1. Lorenz curve for the distribution of per capita income in Peru.
Economies 14 00101 g001
Figure 2. Public spending on social protection and income inequality in Peru.
Figure 2. Public spending on social protection and income inequality in Peru.
Economies 14 00101 g002
Figure 3. Evolution of social spending and income inequality according to the Atkinson index at different levels of inequality aversion (ε).
Figure 3. Evolution of social spending and income inequality according to the Atkinson index at different levels of inequality aversion (ε).
Economies 14 00101 g003
Figure 4. Kernel density of monthly per capita income by area of residence.
Figure 4. Kernel density of monthly per capita income by area of residence.
Economies 14 00101 g004
Figure 5. Spatial Distribution of the Gini Index RIF by Department.
Figure 5. Spatial Distribution of the Gini Index RIF by Department.
Economies 14 00101 g005
Table 1. Descriptive statistics of the study variables.
Table 1. Descriptive statistics of the study variables.
VariableObservationsMeanStd. Dev.MinMax
RIF-Gini93,1480.4080.3950.17232.190
RIF-Atkinson (ε = 0.5)93,1480.1370.2960.00035.479
RIF-Atkinson (ε = 1.0)93,1480.2520.4260.03538.229
RIF-Atkinson (ε = 1.5)93,1480.3540.5500.09134.780
Food social program93,1480.4490.4970.0001.000
Non-food social program93,1480.7330.4420.0001.000
Income earners93,1482.4701.1941.0009.000
Area of residence93,1480.1880.3900.0001.000
Years of schooling93,1488.3375.4600.00019.000
Ethnicity93,1480.3300.4700.0001.000
Age93,14850.47914.45518.00088.000
Sex93,1480.6470.4780.0001.000
Table 2. Effects of Social Programs on Inequality: Results from RIF Regressions (Gini and Atkinson).
Table 2. Effects of Social Programs on Inequality: Results from RIF Regressions (Gini and Atkinson).
(1)
RIF Gini
(2)
RIF Atkinson (ε = 0.5)
(3)
RIF Atkinson (ε = 1.0)
(4)
RIF Atkinson (ε = 1.5)
Sample mean of the RIF40.8113.7025.1835.40
Food social program−2.141 ***−1.225 ***−2.836 ***−4.815 ***
(−6.73)(−5.48)(−8.12)(−7.89)
Non-food social program−4.064 ***−2.521 ***−3.511 ***−3.060 ***
(−15.46)(−14.63)(−11.19)(−6.54)
Income earners−3.019 ***−2.024 ***−3.330 ***−4.436 ***
(−20.06)(−19.69)(−20.25)(−14.59)
Area of residence (Rural = 1)9.433 ***6.120 ***11.002 ***14.208 ***
(34.47)(32.51)(32.37)(26.69)
Years of schooling0.728 ***0.471 ***0.774 ***0.944 ***
(17.71)(15.78)(17.8)(18.29)
Ethnicity (Indigenous = 1)−1.057 ***−0.674 ***−0.702 **−0.141
(−3.40)(−3.14)(−2.01)(−0.25)
Sex (Male = 1)1.327 ***0.828 ***1.439 ***1.849 ***
(3.67)(3.23)(3.70)(3.15)
Age0.049 ***0.028 ***0.038 ***0.016
(3.61)(2.83)(2.62)(0.60)
Year
2023−0.559−0.448−0.534−0.512
(−1.39)(−1.57)(−1.23)(−0.87)
2024−1.482 ***−0.997 ***−1.414 ***−1.277 *
(−3.49)(−3.29)(−3.09)(−1.77)
_cons42.080 ***14.789 ***26.753 ***38.832 ***
(39.98)(19.87)(22.96)(15.70)
N93,14893,14893,14893,148
Note. t-statistics are reported in parentheses. *** p < 0.01 (1% significance level); ** p < 0.05 (5% significance level); * p < 0.10 (10% significance level). Coefficients are obtained from Recentered Influence Function (RIF) regressions for the Gini index and the Atkinson index with different values of ε. The row “Sample mean of the RIF (Gini; Atkinson)” reports the reference distributive statistics.
Disclaimer/Publisher’s Note: The statements, opinions and data contained in all publications are solely those of the individual author(s) and contributor(s) and not of MDPI and/or the editor(s). MDPI and/or the editor(s) disclaim responsibility for any injury to people or property resulting from any ideas, methods, instructions or products referred to in the content.

Share and Cite

MDPI and ACS Style

Vilca Mamani, A.; García Castro, E.B.; Benique Olivera, E.; Lipa Tudela, L.; Calancho Mamani, E. Redistributive Effects of Social Programs on Income Inequality in Peru: A RIF–Gini and Atkinson Decomposition. Economies 2026, 14, 101. https://doi.org/10.3390/economies14030101

AMA Style

Vilca Mamani A, García Castro EB, Benique Olivera E, Lipa Tudela L, Calancho Mamani E. Redistributive Effects of Social Programs on Income Inequality in Peru: A RIF–Gini and Atkinson Decomposition. Economies. 2026; 14(3):101. https://doi.org/10.3390/economies14030101

Chicago/Turabian Style

Vilca Mamani, Andrés, Erika Beatriz García Castro, Eusebio Benique Olivera, Luzbeth Lipa Tudela, and Ernesto Calancho Mamani. 2026. "Redistributive Effects of Social Programs on Income Inequality in Peru: A RIF–Gini and Atkinson Decomposition" Economies 14, no. 3: 101. https://doi.org/10.3390/economies14030101

APA Style

Vilca Mamani, A., García Castro, E. B., Benique Olivera, E., Lipa Tudela, L., & Calancho Mamani, E. (2026). Redistributive Effects of Social Programs on Income Inequality in Peru: A RIF–Gini and Atkinson Decomposition. Economies, 14(3), 101. https://doi.org/10.3390/economies14030101

Note that from the first issue of 2016, this journal uses article numbers instead of page numbers. See further details here.

Article Metrics

Back to TopTop