error_outline You can access the new MDPI.com website here. Explore and share your feedback with us.
 
 
Sign in to use this feature.

Years

Between: -

Subjects

remove_circle_outline
remove_circle_outline
remove_circle_outline
remove_circle_outline
remove_circle_outline

Journals

Article Types

Countries / Regions

Search Results (10)

Search Parameters:
Keywords = synchronous lifting construction

Order results
Result details
Results per page
Select all
Export citation of selected articles as:
23 pages, 9862 KB  
Article
Analysis of Wind-Induced Response During the Lifting Construction of Super-Large-Span Heavy Steel Box Girders
by Shuhong Zhu, Xiaotong Sun, Xiaofeng Liu, Wenjie Li and Bin Liang
Buildings 2026, 16(2), 251; https://doi.org/10.3390/buildings16020251 - 6 Jan 2026
Abstract
Wind-induced response poses a significant challenge to the stability of extra-large-span heavy steel box girders during synchronous lifting operations. This study adopted a method combining numerical simulation with on-site monitoring to investigate the aerodynamic characteristics the beam during the overall hoisting process of [...] Read more.
Wind-induced response poses a significant challenge to the stability of extra-large-span heavy steel box girders during synchronous lifting operations. This study adopted a method combining numerical simulation with on-site monitoring to investigate the aerodynamic characteristics the beam during the overall hoisting process of the Xiaotun Bridge. A high-fidelity finite element model was established using Midas NFX 2024 R1, and fluid–structure interaction (FSI) analysis was conducted, utilizing the RANS k-ε turbulence model to simulate stochastic wind fields. The results show that during the lifting stage from 3 m to 25 m, the maximum horizontal displacement of the steel box girder rapidly increases at wind angles of 90° and 60°, and the peak displacement is reached at 25 m. Under a strong breeze at a 90° wind angle and 25 m lifting height, the maximum lateral displacement was 42.88 mm based on FSI analysis, which is approximately 50% higher than the 28.58 mm obtained from linear static analysis. Subsequently, during the 25 m to 45 m lifting stage, the displacement gradually decreases and exhibits a linear correlation with lifting height. Concurrently, the maximum stress of the lifting lug of the steel box girder increases rapidly in the 3–25 m lifting stage, reaches the maximum at 25 m, and gradually stabilizes in the 25–45 m lifting stage. The lug stress under the same critical condition reached 190.80 MPa in FSI analysis, compared with 123.83 MPa in static analysis, highlighting a significant dynamic amplification. Furthermore, the detrimental coupling effect between mechanical vibrations from the lifting platform and wind loads was quantified; the anti-overturning stability coefficient was reduced by 10.48% under longitudinal vibration compared with lateral vibration, and a further reduction of up to 39.33% was caused by their synergy with wind excitation. Field monitoring validated the numerical model, with stress discrepancies below 9.7%. Based on these findings, a critical on-site wind speed threshold of 9.38 m/s was proposed, and integrated control methods were implemented to ensure construction safety. During on-site lifting, lifting lug stresses were monitored in real time, and if the predefined threshold was exceeded, contingency measures were immediately activated to ensure a controlled termination. Full article
(This article belongs to the Section Building Structures)
Show Figures

Figure 1

21 pages, 12614 KB  
Article
Research on Inertial Force Suppression Control for Hydraulic Cylinder Synchronization of Shield Tunnel Segment Erector Based on Sliding Mode Control
by Fangao Zhang, Zhaoqiang Wang, Xiaori Zhang, Xiaoqiang Wang and Xiaoxi Hu
Actuators 2025, 14(9), 449; https://doi.org/10.3390/act14090449 - 11 Sep 2025
Cited by 2 | Viewed by 737
Abstract
As a critical component in tunnel construction, the segment erector of shield tunneling machines critically influences segment assembly quality and construction efficiency, largely determined by its dual-cylinder synchronization control. Addressing challenges such as dynamic coupling, nonlinear disturbances, and significant inertial force fluctuations inherent [...] Read more.
As a critical component in tunnel construction, the segment erector of shield tunneling machines critically influences segment assembly quality and construction efficiency, largely determined by its dual-cylinder synchronization control. Addressing challenges such as dynamic coupling, nonlinear disturbances, and significant inertial force fluctuations inherent in hydraulic cylinder synchronization under large-inertia loads and variable working conditions, this study proposes an optimized inertial force suppression strategy utilizing an improved sliding mode control (SMC). Mechanical and hydraulic dynamic models of the dual-cylinder lifting mechanism were established to analyze load distribution and force-arm variation patterns, thereby elucidating the influence of inertial forces on synchronization accuracy. Based on this analysis, an adaptive boundary-layer SMC, incorporating real-time inertial force compensation, was designed. This design effectively suppresses system chattering and enhances robustness. Simulation and experimental results demonstrate that the proposed method achieves synchronization errors within ±0.5 mm during step responses, reduces inertial force peaks by 50%, and exhibits significantly superior anti-interference performance compared to conventional PID control. This research provides theoretical foundations and practical engineering insights for high-precision synchronization control in shield tunneling, demonstrating substantial application value. Full article
(This article belongs to the Section Control Systems)
Show Figures

Figure 1

12 pages, 1843 KB  
Article
Case Study of PLC Synchronous Lifting Technology in Concrete Column Reinforcement: Design, Construction, and Monitoring
by Baozhong Wang, Sijia Qian, Sabiu Muhammad, Mengqi Xu, Zhengke Shao, Na Li and Erlu Wu
Buildings 2025, 15(17), 3003; https://doi.org/10.3390/buildings15173003 - 24 Aug 2025
Viewed by 818
Abstract
Traditional support methods, such as full-frame scaffolding, often pose significant safety risks during the replacement of defective concrete. In contrast, the application of programmable logic controller (PLC) synchronous jacking technology combined with an encircling beam is an innovative approach to concrete replacement. However, [...] Read more.
Traditional support methods, such as full-frame scaffolding, often pose significant safety risks during the replacement of defective concrete. In contrast, the application of programmable logic controller (PLC) synchronous jacking technology combined with an encircling beam is an innovative approach to concrete replacement. However, there is currently a lack of effective theoretical guidance for determining its design parameters, and there are also few measured data available to verify its effectiveness. To address this issue, this study investigates a concrete structure in which it was discovered, during the topping-out phase, that the compressive strength of several load-bearing columns did not meet the design specifications. Through structural analysis and load calculations, a reinforcement scheme utilizing the synchronous jacking system in conjunction with an encircling beam was proposed to replace the defective concrete. The monitoring of the settlement and deformation during the replacement process revealed a minimal settlement of 0.45 mm, which is approximately 23% of the predefined warning threshold. The results demonstrate that the integration of the synchronous jacking system with an encircling beam offers a safe and reliable solution, thus providing an effective approach to addressing similar challenges in concrete structural reinforcement. Full article
Show Figures

Figure 1

15 pages, 4080 KB  
Article
Design and Performance Study of a Six-Bar Mechanism Underwater Robot Based on Cownose Ray Bionics
by Yichen Chu, Xiaohan Wang, Tiancheng Hao, Yanhui Fu, Yubing Duan and Tianbiao Yu
J. Mar. Sci. Eng. 2025, 13(6), 1156; https://doi.org/10.3390/jmse13061156 - 11 Jun 2025
Cited by 1 | Viewed by 1122
Abstract
This paper focuses on the formidable challenges that underwater robots encounter in complex marine environments. To address these issues, inspired by the cownose ray, an innovative scheme is proposed, utilizing four six-bar mechanisms to mimic its pectoral fin movement. Subsequently, the paper elaborates [...] Read more.
This paper focuses on the formidable challenges that underwater robots encounter in complex marine environments. To address these issues, inspired by the cownose ray, an innovative scheme is proposed, utilizing four six-bar mechanisms to mimic its pectoral fin movement. Subsequently, the paper elaborates on the design, computation, and simulation of the bionic pectoral fin mechanism. A Watt-type six-bar mechanism is adopted, and by axially overlaying two scaled-identical mechanisms and setting a phase difference, the pectoral fin waving of the cownose rays is simulated. SolidWorks and ADAMS are employed for precise modeling and simulation. Following this, an experimental prototype is constructed, with the rod assembly produced by subtractive machining. Motion capture and six-dimensional force experiments are then conducted to evaluate its motion dynamics and propulsion efficacy. The experimental results demonstrate that when the two pectoral fins on either side flap synchronously or inversely, the robot can generate varying thrust, lift, and lateral forces, enabling smooth advancement and turning. These findings validate the feasibility and efficacy of bionic design, offering innovative concepts and methodologies for underwater robot development. Full article
(This article belongs to the Section Ocean Engineering)
Show Figures

Figure 1

32 pages, 10189 KB  
Article
NSMO-Based Adaptive Finite-Time Command-Filtered Backstepping Speed Controller for New Energy Hybrid Ship PMSM Propulsion System
by Dan Zhang, Suijun Xiao, Hongfen Bai, Diju Gao and Baonan Wang
J. Mar. Sci. Eng. 2025, 13(5), 918; https://doi.org/10.3390/jmse13050918 - 7 May 2025
Cited by 1 | Viewed by 1022
Abstract
In the context of the new energy hybrid ship propulsion system (NE-HSPS), the parameters of the rotor speed, torque, and current of the permanent magnet synchronous motor (PMSM) are susceptible to environmental variations and unmodeled disturbances. Conventional nonlinear controllers (e.g., backstepping, PI, and [...] Read more.
In the context of the new energy hybrid ship propulsion system (NE-HSPS), the parameters of the rotor speed, torque, and current of the permanent magnet synchronous motor (PMSM) are susceptible to environmental variations and unmodeled disturbances. Conventional nonlinear controllers (e.g., backstepping, PI, and sliding mode) encounter challenges related to response speed, interference immunity, and vibration jitter. These challenges stem from the inherent uncertainties in perturbations and the limitations of the traditional nonlinear controllers. In this paper, a novel Adaptive Finite-Time Command-Filtered Backstepping Controller (AFTCFBC) is proposed, featuring a faster response time and the elimination of overshoot. The proposed controller is a significant advancement in the field, addressing the computational complexity of backstepping control and reducing the maximum steady-state error of the control output. The novel controller incorporates a Nonlinear Finite-Time Command Filter (NFTCF) adapted to the variation in motor speed. Secondly, a novel Nonlinear Sliding Mode Observer (NSMO) is proposed based on the designed nonlinear sliding mode gain function (φ(Sw)) to estimate the load disturbance of the electric propulsion system. The Uncertainty Parameter-Adaptive law (UPAL) is designed based on Lyapunov theory to improve the robust performance of the system. The construction of a simulation model of a hybrid ship PMSM under four distinct working conditions, including constant speed and constant torque, the lifting and lowering of speed, loading and unloading, and white noise interference, is presented. The results of this study demonstrate a significant reduction in speed-tracking overshoot to zero, a substantial decrease in integral squared error by 90.15%, and a notable improvement in response time by 18.6%. Full article
Show Figures

Figure 1

18 pages, 7448 KB  
Article
Design and Implementation of a 3-DOF Modular High-Rise Façade-Cleaning Robot with an XYZ Motion Module
by Pingtan Fang, Chaofeng Liu, Shengcong Li, Yujun Li, Fujun Yang, Yang Liu, Longhui Shao, Zhiyuan Chen and Mingheng Yu
Machines 2025, 13(4), 294; https://doi.org/10.3390/machines13040294 - 1 Apr 2025
Cited by 1 | Viewed by 2910
Abstract
In recent years, the increasing construction of high-rise buildings has led to the widespread use of glass curtain walls. Regular cleaning is essential to maintain their aesthetic appeal and functionality. However, manual cleaning methods pose significant safety risks, necessitating the development of façade-cleaning [...] Read more.
In recent years, the increasing construction of high-rise buildings has led to the widespread use of glass curtain walls. Regular cleaning is essential to maintain their aesthetic appeal and functionality. However, manual cleaning methods pose significant safety risks, necessitating the development of façade-cleaning robots. This paper presents a 3-Degree-of-Freedom Modular High-Rise Façade-Cleaning Robot (3-DOF-MHRFCR), consisting of a lifting module, an XYZ motion module, and a cleaning module. The robot employs a synchronous belt lifting mechanism for vertical movement, ensuring high positioning accuracy and safety. The XYZ motion module enables precise cleaning and obstacle traversal, while the cleaning module combines high-pressure water jets, rotating brushes, and squeegees for effective contaminant removal. Experimental results demonstrate a maximum glass transmittance enhancement of 72.4% and a 21.8% reduction in water consumption compared to manual cleaning, validating the robot’s efficiency and stability. Full article
(This article belongs to the Section Robotics, Mechatronics and Intelligent Machines)
Show Figures

Figure 1

25 pages, 13064 KB  
Article
Study on the Underpinning Technology for Fixed Piers of Concrete Box Girder Bridges on Mountainous Expressways
by Honglin Ran, Lin Li, Yi Wei, Penglin Xiao and Hongyun Yang
Buildings 2025, 15(7), 1031; https://doi.org/10.3390/buildings15071031 - 24 Mar 2025
Viewed by 1061
Abstract
To address the challenge of repairing the damage to concrete box girder bridge piers on mountainous highways caused by falling rocks, this paper proposes an active underpinning technique that integrates a “井”-shaped cap system, graded preloading of the foundation, and synchronized beam body [...] Read more.
To address the challenge of repairing the damage to concrete box girder bridge piers on mountainous highways caused by falling rocks, this paper proposes an active underpinning technique that integrates a “井”-shaped cap system, graded preloading of the foundation, and synchronized beam body correction. The technique utilizes lateral beam preloading (to eliminate the inelastic deformation of the new pile foundation) and longitudinal beam connections (to form overall stiffness). The method involves building temporary and permanent support systems in stages. Through the two-stage temporary support system transition, the removal and in situ reconstruction of the old piers, a smooth transition from the pier–beam consolidation system to the basin-type bearing system is achieved while simultaneously performing precise correction of beam torsion. The structural safety during the construction process was verified through finite element simulations and dynamic monitoring. Monitoring results show that the beam torsion recovery effect is significant (maximum lift of 5.2 mm/settlement of 7.9 mm), and the pier strain (−54.5~−51.3 με) remains within a controllable range. Before the bridge was opened to traffic, vehicle load and impact load tests were conducted. The actual measured strength and vertical stiffness of the main beam structure meet the design requirements, with relative residual deformation less than 20%, indicating that the structure is in good, elastic working condition. The vehicle running and braking dynamic coefficients (μ = 0.058~0.171 and 0.103~0.163) are both lower than the theoretical value of 0.305. The study shows that this technique enables the rapid and safe repair of bridge piers and provides important references for similar engineering projects. Full article
Show Figures

Figure 1

17 pages, 9023 KB  
Article
Time-Varying Mechanical Analysis of Long-Span Spatial Steel Structures Integral Lifting in Construction Basing Building Information Model
by Yang Yang, Hongbo Du, Gang Yao, Xinlong Ma and Wulei Men
Sustainability 2023, 15(14), 11256; https://doi.org/10.3390/su151411256 - 19 Jul 2023
Cited by 11 | Viewed by 4486
Abstract
As sustainable structures like steel structures become more widely used, so do their construction issues. Improper lifting measures of long-span spatial steel structures may delay the construction period and even cause safety accidents. These problems have hindered the realization of sustainable buildings. Few [...] Read more.
As sustainable structures like steel structures become more widely used, so do their construction issues. Improper lifting measures of long-span spatial steel structures may delay the construction period and even cause safety accidents. These problems have hindered the realization of sustainable buildings. Few studies on long-span spatial steel structures considered time-varying mechanical characteristics during the construction process. During the construction process, it will be found that the installed structure does not meet the required accuracy, and the installed content needs to be removed and re-constructed. This will cause idle work and rework, which will result in a waste of resources and is not conducive to sustainable development. Therefore, it is necessary to study the lifting construction process of long-span spatial steel structures and form a refined construction method. Based on the lifting construction process of the maintenance hangar roof of Chengdu Tianfu International Airport, this study proposes a time-varying mechanical analysis method for synchronous and asynchronous integral lifting of long-span space steel structures basing the Building Information Model (BIM). The force on the lifting point is analyzed during the hoisting construction process when the single-point asynchronous integral lifting and the interlaced point asynchronous integral lifting are carried out. The adverse effect of the displacement difference between lifting points during asynchronous integral lifting is proved. It provides a reference for the safe construction of long-span spatial steel structure lifting and also helps to improve the sustainability of construction projects. Full article
Show Figures

Figure 1

27 pages, 15561 KB  
Article
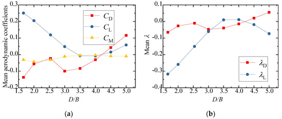
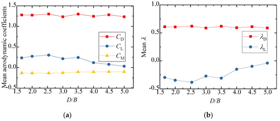
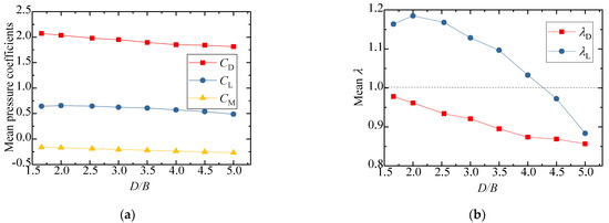
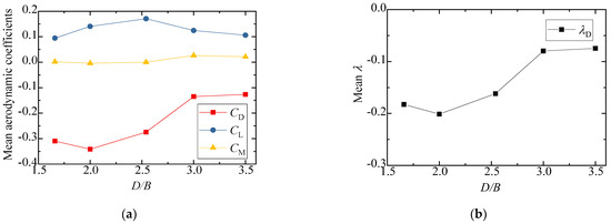
Experimental Study of Aerodynamic Interference Effects for a Suspended Monorail Vehicle–Bridge System Using a Wireless Acquisition System
by Yunfeng Zou, Zhipeng Liu, Kang Shi, Shuangmei Ou, Xuhui He, Honggui Deng and Shuai Zhou
Sensors 2021, 21(17), 5841; https://doi.org/10.3390/s21175841 - 30 Aug 2021
Cited by 10 | Viewed by 3420
Abstract
The suspended monorail (SM) vehicle–bridge system has been considered a promising modern transit mode due to its clear advantages: low pollution, high safety, convenient construction, and low cost. The wind-induced response can significantly affect the running safety and comfort of this type of [...] Read more.
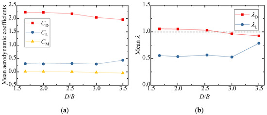
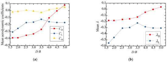
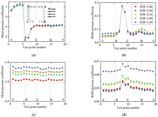
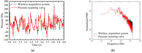
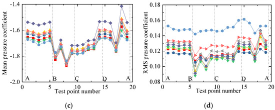
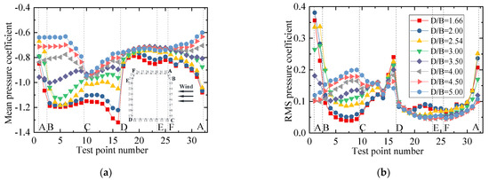
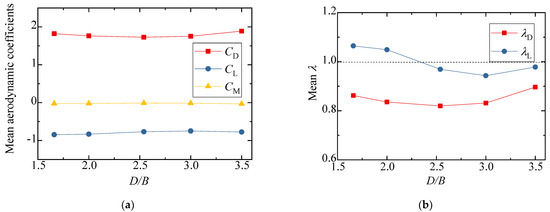
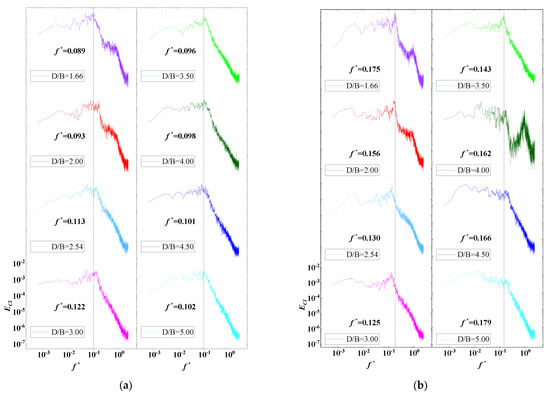
The suspended monorail (SM) vehicle–bridge system has been considered a promising modern transit mode due to its clear advantages: low pollution, high safety, convenient construction, and low cost. The wind-induced response can significantly affect the running safety and comfort of this type of vehicle due to its special suspended position from a fixed track. This study is the first to systematically investigate its aerodynamic characteristics and interference effects under various spacing ratios using wind tunnel tests and numerical simulations. A high level of agreement between the wind tunnel test and CFD (computational fluid dynamics) results was obtained, and the aerodynamic interference mechanism can be well explained using the CFD technique from a flow field perspective. A wireless wind pressure acquisition system is proposed to achieve synchronization acquisition for multi wind pressure test taps. The paper confirms that (1) the proposed wireless wind pressure acquisition system performed well; (2) the aerodynamic coefficients of the upstream vehicle and bridge were nearly unchanged for vehicle–bridge combinations with varying spacing ratios; (3) the aerodynamic interference effects were amplified when two vehicles meet, but the effects decrease as the spacing ratio increases; (4) the aerodynamic force coefficients, mean, and root mean square (RMS) wind pressure coefficients for the downstream vehicle and bridge are readily affected by the upstream vehicle; (5) the vortex shedding frequencies of vehicles and bridges can be readily obtained from the lift force spectra, and they decrease as the spacing ratio increases; and (6) a spacing ratio of 3.5 is suggested in the field applications to ensure the running safety and stability of the SM vehicle–bridge system under exposure to crosswinds. Full article
(This article belongs to the Section Physical Sensors)
Show Figures

Figure 1

24 pages, 2643 KB  
Article
Synchronization Control of a Dual-Cylinder Lifting Gantry of Segment Erector in Shield Tunneling Machine under Unbalance Loads
by Litong Lyu, Xiao Liang and Jingbo Guo
Machines 2021, 9(8), 152; https://doi.org/10.3390/machines9080152 - 2 Aug 2021
Cited by 8 | Viewed by 4021
Abstract
Segment assembling is one of the principle processes during tunnel construction using shield tunneling machines. The segment erector is a robotic manipulator powered by a hydraulic system to assemble prefabricated concrete segments onto the excavated tunnel surface. Nowadays, automation of the segment erector [...] Read more.
Segment assembling is one of the principle processes during tunnel construction using shield tunneling machines. The segment erector is a robotic manipulator powered by a hydraulic system to assemble prefabricated concrete segments onto the excavated tunnel surface. Nowadays, automation of the segment erector has become one of the definite developing trends to further improve the efficiency and safety during construction; thus, closed-loop motion control is an essential technology. Within the segment erector, the lifting gantry is driven by dual cylinders to lift heavy segments in the radial direction. Different from the dual-cylinder mechanism used in other machines such as forklifts, the lifting gantry usually works at an inclined angle, leading to unbalanced loads on the two sides. Although strong guide rails are applied to ensure synchronization, the gantry still occasionally suffers from chattering, “pull-and-drag”, or even being stuck in practice. Therefore, precise motion tracking control as well as high-level synchronization of the dual cylinders have become essential for the lifting gantry. In this study, a complete dynamics model of the dual-cylinder lifting gantry is constructed, considering the linear motion as well as the additional rotational motion of the crossbeam, which reveals the essence of poor synchronization. Then, a two-level synchronization control scheme is synthesized. The thrust allocation is designed to coordinate the dual cylinders and keep the rotational angle of the crossbeam within a small range. The motion tracking controller is designed based on the adaptive robust control theory to guarantee the linear motion tracking precision. The theoretical performance is analyzed with corresponding proof. Finally, comparative simulations are conducted and the results show that the proposed scheme achieves high-precision motion tracking performance and simultaneous high-level synchronization of dual cylinders under unbalanced loads. Full article
(This article belongs to the Special Issue Advanced Control of Industrial Electro-Hydraulic Systems)
Show Figures

Figure 1

Back to TopTop