Sign in to use this feature.

Years

Between: -

Subjects

remove_circle_outline
remove_circle_outline
remove_circle_outline
remove_circle_outline
remove_circle_outline
remove_circle_outline
remove_circle_outline
remove_circle_outline
remove_circle_outline

Journals

remove_circle_outline
remove_circle_outline
remove_circle_outline
remove_circle_outline
remove_circle_outline
remove_circle_outline
remove_circle_outline
remove_circle_outline
remove_circle_outline
remove_circle_outline
remove_circle_outline

Article Types

Countries / Regions

remove_circle_outline
remove_circle_outline
remove_circle_outline
remove_circle_outline
remove_circle_outline

Search Results (1,492)

Search Parameters:
Keywords = sustainable biomass management

Order results
Result details
Results per page
Select all
Export citation of selected articles as:
16 pages, 844 KB  
Article
Land Tenure, Socio-Economic Drivers, and Multi-Decadal Land Use and Land Cover Change in the Taita Hills, Kenya
by Hamisi Tsama Mkuzi, Maarifa Ali Mwakumanya, Tobias Bendzko, Norbert Boros and Nelly Kichamu
Wild 2026, 3(1), 1; https://doi.org/10.3390/wild3010001 - 22 Dec 2025
Abstract
Understanding how land tenure and socio-economic pressures shape landscape transformation is critical for sustainable management in biodiversity-rich regions. This study examines three decades (1987–2017) of land use and land cover (LU&LC) change in the Ngerenyi area of the Taita Hills, Kenya, by integrating [...] Read more.
Understanding how land tenure and socio-economic pressures shape landscape transformation is critical for sustainable management in biodiversity-rich regions. This study examines three decades (1987–2017) of land use and land cover (LU&LC) change in the Ngerenyi area of the Taita Hills, Kenya, by integrating multispectral Landsat analysis with household survey data. Harmonized pre-processing and supervised classification of four LU&LC classes, agriculture, built-up areas, high-canopy vegetation, and low-canopy vegetation, achieved overall accuracies above 80% and Kappa values exceeding 0.75. Transition modeling using the Minimum Information Loss Transition Estimation (MILTE) approach, combined with net-versus-swap metrics, revealed persistent decline and fragmentation of high-canopy vegetation, cyclical transitions between agriculture and low-canopy vegetation, and the near-irreversible expansion of built-up areas. Low-canopy vegetation exhibited the highest dynamism, reflecting both degradation from canopy loss and natural regeneration from fallowed cropland. Household surveys (n = 141) identified agricultural expansion, charcoal production, fuelwood extraction, and population growth as the dominant perceived drivers, with significant variation across tenure categories. The population in Taita Taveta County increased from 205,334 in 2009 to 340,671 in 2019, reinforcing documented pressures on land resources and woody biomass. As part of the Eastern Arc biodiversity hotspot, the landscape’s diminishing high-canopy patches underscore the importance of conserving undisturbed vegetation remnants as ecological baselines and biodiversity refuges. The findings highlight the need for tenure-sensitive, landscape-scale planning that integrates private landowners, regulates subdivision, promotes agroforestry and alternative energy options, and safeguards remaining high-canopy vegetation to enhance ecological resilience while supporting local livelihoods. Full article
Show Figures

Figure 1

21 pages, 4112 KB  
Article
Influence of Straw Incorporation Rates on Soil Stoichiometry, Microbial Biomass, and Enzymatic Activities in Dryland Wheat Fields of the Loess Plateau, Gansu
by Tao Ma, Xiaoyan Ren, Jingjing Zhang, Wenjun Ma, Zhaozhao Hu, Liqun Cai and Fasih Ullah Haider
Agronomy 2026, 16(1), 19; https://doi.org/10.3390/agronomy16010019 - 21 Dec 2025
Abstract
Understanding how straw incorporation affects soil stoichiometry and biochemical processes is essential for improving soil fertility in dryland wheat systems on the Loess Plateau. We quantified effects of four wheat straw return rates [0 (W0), 3500 (W1), 7000 (W2), and 14,000 kg ha [...] Read more.
Understanding how straw incorporation affects soil stoichiometry and biochemical processes is essential for improving soil fertility in dryland wheat systems on the Loess Plateau. We quantified effects of four wheat straw return rates [0 (W0), 3500 (W1), 7000 (W2), and 14,000 kg ha−1 (W3)] on C-N-P stoichiometry, microbial biomass, active carbon fractions, and enzyme activities in a randomized block experiment in Dingxi, Gansu. Composite soil samples from 0–10, 10–20, and 20–30 cm were analyzed for soil organic carbon (SOC); total nitrogen (TN); total phosphorus (TP); microbial biomass C, N, and P; dissolved, particulate, and readily oxidizable organic C; and sucrase, urease, alkaline phosphatase, and catalase activities. Increasing straw input significantly increased SOC, TN, and TP across all depths, with W3 increasing them by up to 42, 33, and 24% relative to W0, respectively. Under W3, microbial biomass C and N more than doubled, and labile C fractions and enzyme activities increased by 35–80% compared with W0. Straw return also modified soil and microbial C:N:P stoichiometry, decreasing microbial C:N and C:N:P and increasing N:P, suggesting alleviated N limitation. Overall, moderate-to-high straw incorporation improved soil fertility and functioning, supporting straw return as a sustainable management practice for Loess Plateau drylands. Full article
(This article belongs to the Section Farming Sustainability)
26 pages, 2340 KB  
Article
Linking Biological Parameters to Fishery Management: Stock Assessment of Green Tiger Prawn, Penaeus semisulcatus De Haan, 1844 Along the Red Sea Coast of Saudi Arabia
by Eyüp Mümtaz Tıraşın, Sheeja Gireesh, Sirajudheen Thayyil Kadengal, Ronald Grech Santucci, Zahra Okba, Santhosh Kumar Charles, Goutham Bharathi Muthu Palani, Adel M. S. Adam and Mark Dimech
Biology 2026, 15(1), 8; https://doi.org/10.3390/biology15010008 (registering DOI) - 19 Dec 2025
Viewed by 159
Abstract
Penaeus semisulcatus is the dominant commercial prawn species along the Saudi Arabian coast in the southeastern Red Sea, yet its population dynamics remain poorly understood. This study examined growth, maturity, and mortality using fishery-independent samples obtained during trawl surveys off Jizan and Al [...] Read more.
Penaeus semisulcatus is the dominant commercial prawn species along the Saudi Arabian coast in the southeastern Red Sea, yet its population dynamics remain poorly understood. This study examined growth, maturity, and mortality using fishery-independent samples obtained during trawl surveys off Jizan and Al Qunfudhah between October 2022 and September 2023. A total of 85,909 individuals were examined, exhibiting carapace lengths (CL) between 1.29 and 56.14 mm and weights (W) ranging from 0.91 to 94.99 g. The sex ratio (1:1.06) was slightly male-biased. The CLW relationships were W = 0.00427·CL2.50 for females and W = 0.01274·CL2.16 for males. The von Bertalanffy growth parameters were CL = 60.16 mm, K = 1.03 year−1 for females and CL = 48.10 mm, K = 1.02 year−1 for males. Females first matured at a CL of 22.09 mm. Exploitation rates (0.63 for females and 0.69 for males) and spawning potential ratio analysis indicated severe overfishing, with spawning stock biomass reduced to 19% of its unexploited level. These results highlight the necessity for immediate management intervention. Reducing fishing effort by half, extending seasonal closures, and improving the selectivity of trawl gear are advised to facilitate stock recovery and support sustainable exploitation in the region. Full article
Show Figures

Graphical abstract

25 pages, 1313 KB  
Systematic Review
Advances in Third-Generation Bioethanol Production, Industrial Infrastructure and Efficient Technologies in Sustainable Processes with Algae Biomass: Systematic Review
by Jesus R. Melendez, Daniel A. Lowy, Sufia Hena and Leonardo Gutierrez
Fermentation 2026, 12(1), 2; https://doi.org/10.3390/fermentation12010002 - 19 Dec 2025
Viewed by 128
Abstract
The growing global concern about the environmental impact of fossil fuels’ greenhouse gas emissions has spurred the introduction of innovative, sustainable alternatives. Microalgae biomass holds substantial potential as a viable source material for producing environmentally friendly biofuels. Third-generation (3G) biofuels, specifically algae-derived bioethanol, [...] Read more.
The growing global concern about the environmental impact of fossil fuels’ greenhouse gas emissions has spurred the introduction of innovative, sustainable alternatives. Microalgae biomass holds substantial potential as a viable source material for producing environmentally friendly biofuels. Third-generation (3G) biofuels, specifically algae-derived bioethanol, have emerged as viable alternatives to traditional biofuels. The research provides an exhaustive analysis of the contemporary understanding of manufacturing 3G biofuels from microalgae and macroalgae. Additionally, the study provides an in-depth discussion of the identified gaps within these areas. By conducting a systematic literature review, the authors describe current knowledge of 3G biofuel production. The study addresses two key categories: (i) infrastructure and industrial technology, and (ii) the processes for obtaining third-generation biofuels. One highlights the need for efficient management in all stages of bioethanol production, including cultivation, harvesting, extraction, and conversion. Furthermore, leveraging technological advancements, such as selecting superior genetic strains and developing novel conversion technologies, is essential for improving the efficiency and profitability of the manufacturing process. The successful production of 3G bioethanol from microalgae requires a comprehensive approach that addresses various challenges and incorporates sustainable practices to achieve environmental and economic goals. Full article
(This article belongs to the Special Issue Recent Advancements in Fermentation Technology: Biofuels Production)
Show Figures

Graphical abstract

15 pages, 1877 KB  
Article
Energy Recovery from Biowaste and Biomass via Gasification: A Modelling Approach
by Shabnam Ghanbarzadeh, Yi Yuan and Ehssan H. Koupaie
BioTech 2026, 15(1), 1; https://doi.org/10.3390/biotech15010001 - 19 Dec 2025
Viewed by 45
Abstract
The transition toward a circular bioeconomy requires efficient conversion of biogenic wastes and biomass into renewable fuels. This study explores the gasification potential of wastewater sludge (WWS) and food waste (FW), representing high moisture-content biowastes, compared with softwood (SW), a lignocellulosic biomass reference. [...] Read more.
The transition toward a circular bioeconomy requires efficient conversion of biogenic wastes and biomass into renewable fuels. This study explores the gasification potential of wastewater sludge (WWS) and food waste (FW), representing high moisture-content biowastes, compared with softwood (SW), a lignocellulosic biomass reference. An Aspen Plus equilibrium model incorporating the drying stage was developed to evaluate the performance of air and steam gasification. The effects of temperature (400–1200 °C), equivalence ratio (ER = 0.1–1), and steam-to-biomass ratio (S/B = 0.1–1) on gas composition and energy efficiency (EE) were examined. Increasing temperature enhanced H2 and CO generation but reduced CH4, resulting in a maximum EE at intermediate temperatures, after which it declined due to the lower heating value of the gases. Although EE followed the order SW > FW > WWS, both biowastes maintained robust efficiencies (60–80%) despite high drying energy requirements. Steam gasification increased H2 content up to 53% (WWS), 54% (FW), and 51% (SW) near S/B = 0.5–0.6, while air gasification achieved 23–27% H2 and 70–80% EE at ER ≈ 0.1–0.2. The results confirm that wet bio-wastes such as WWS and FW can achieve performance comparable to lignocellulosic biomass, highlighting their suitability as sustainable feedstocks for waste-to-syngas conversion and supporting bioenergy integration into waste management systems. Full article
(This article belongs to the Section Industry, Agriculture and Food Biotechnology)
Show Figures

Figure 1

25 pages, 395 KB  
Review
Low-Cost Adsorbents for Water Treatment: A Sustainable Alternative for Pollutant Removal
by Leticia Nishi, Anna Carla Ribeiro, Carolina Moser Paraíso, Diana Aline Gomes Cusioli, Laiza Bergamasco Beltran, Luís Fernando Cusioli and Rosângela Bergamasco
Processes 2025, 13(12), 4088; https://doi.org/10.3390/pr13124088 - 18 Dec 2025
Viewed by 99
Abstract
This review addresses the potential of low-cost adsorbents (LCAds) derived from agro-industrial and marine residues as sustainable alternatives for water purification. Although raw biomass offers economic advantages, its application is often limited by low surface area and reactivity. Consequently, this paper examined physicochemical [...] Read more.
This review addresses the potential of low-cost adsorbents (LCAds) derived from agro-industrial and marine residues as sustainable alternatives for water purification. Although raw biomass offers economic advantages, its application is often limited by low surface area and reactivity. Consequently, this paper examined physicochemical modifications—such as pyrolysis, acid/alkali activation, and surface grafting—that enhance adsorptive properties. The superior performance of these modified materials in removing heavy metals, dyes, pesticides, and pharmaceuticals is highlighted. Furthermore, the transition from laboratory scale to industrial application faces key hurdles, such as biomass variability, reactor engineering, and regulatory gaps. Finally, future perspectives are presented, focusing on the integration of LCAds into hybrid treatment systems and their pivotal role in the circular economy for decentralized water management. Full article
(This article belongs to the Special Issue Natural Low-Cost Adsorbents in Water Purification Processes)
22 pages, 4704 KB  
Article
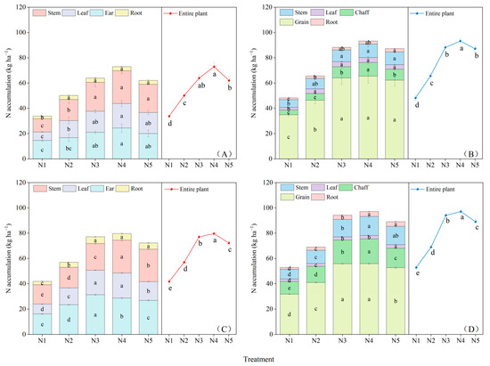
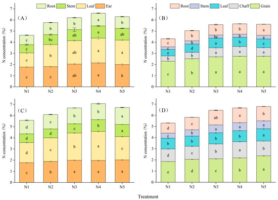
Nitrogen Fertilizer Rates Regulate Source–Sink Dynamics, Post-Anthesis N Translocation, and Yield Production in Spring Wheat on the Loess Plateau, China
by Yafei Chen, Aixia Xu, Zechariah Effah, Xuexue Wei, Yan Zhang, Nana Liu, Pengbin Liu, Khuram Shehzad Khan and Lingling Li
Agriculture 2025, 15(24), 2616; https://doi.org/10.3390/agriculture15242616 - 18 Dec 2025
Viewed by 100
Abstract
One of the main factors influencing wheat productivity is nitrogen (N) management. This study examined the impact of varying N-fertilizer rates on spring wheat yield and N use efficiency by adjusting the “source-sink” relationship between assimilates and N accumulation and transport. The objective [...] Read more.
One of the main factors influencing wheat productivity is nitrogen (N) management. This study examined the impact of varying N-fertilizer rates on spring wheat yield and N use efficiency by adjusting the “source-sink” relationship between assimilates and N accumulation and transport. The objective was to identify the optimal N rate for the region. The field experiment included five N-fertilizer rates: 0 kg ha−1 (N1), 52.5 kg ha−1 (N2), 105.0 kg ha−1 (N3), 157.5 kg ha−1 (N4), and 210.0 kg ha−1 (N5). Results indicated that the yield response was not proportional to N-fertilizer rates, with maximum biomass (6029 kg ha−1) and grain yield (2625 kg ha−1) achieved under N3. N fertilization primarily increased yield by regulating pre-anthesis translocation of assimilate and N. Assimilate translocation peaked at 105 kg N ha−1, increasing by 8.5–133.7% compared to other treatments. With increasing N input, N absorption efficiency and N partial factor productivity declined. The highest N agronomic use efficiency was observed under N3, which was 19.5–176.34% higher than other treatments. Overall, moderate N input (≈105 kg ha−1) optimizes yield and N-use efficiency, offering guidance for sustainable N management in dryland spring wheat production. Full article
(This article belongs to the Section Crop Production)
Show Figures

Figure 1

15 pages, 785 KB  
Article
Enhancing Soil Biological Health in a Rice–Wheat Cropping Sequence Using Rock Phosphate-Enriched Compost and Microbial Inoculants
by Kasturikasen Beura, Amit Kumar Pradhan, Sagar Nandulal Ingle, Anshuman Kohli, Goutam Kumar Ghosh, Mahendra Singh, Subrat Keshori Behera and Dinesh Panday
Agronomy 2025, 15(12), 2911; https://doi.org/10.3390/agronomy15122911 - 18 Dec 2025
Viewed by 118
Abstract
Limited phosphorus (P) availability and declining soil biological health are major constraints in intensive rice (Oryza sativa L.)—wheat (Triticum aestivum L.) systems. Rock phosphate–enriched compost (REC), combined with microbial inoculants, offers a sustainable strategy for improving soil biological functioning. A field [...] Read more.
Limited phosphorus (P) availability and declining soil biological health are major constraints in intensive rice (Oryza sativa L.)—wheat (Triticum aestivum L.) systems. Rock phosphate–enriched compost (REC), combined with microbial inoculants, offers a sustainable strategy for improving soil biological functioning. A field experiment was conducted under a randomized block design with seven treatments involving different combinations of REC, chemical fertilizers, phosphate-solubilizing bacteria (PSB), and arbuscular mycorrhizal fungi (AMF). Post-harvest soil samples from rice and wheat were analyzed for microbial biomass carbon (MBC), microbial biomass phosphorus (MBP), enzymatic activities, microbial populations, root colonization, yield, and P uptake. The combined application of REC with PSB and AMF significantly enhanced soil biological parameters compared with recommended fertilizer doses. Under the REC + PSB + AMF treatment, dehydrogenase, acid phosphatase, and alkaline phosphatase activities increased by 77.4%, 24.8%, and 18.1%, respectively, while MBC and MBP improved by 51.6% and 106.6%. Bacteria, fungi, and actinomycete population increased by 55.0%, 76.7%, and 82.8%, respectively, as well as mycorrhizal root colonization increased by 18.7%. Grain yield of rice and wheat increased by 16% and 6%, respectively, along with higher P uptake. The integrated use of REC with PSB and AMF improved soil enzymatic activity, microbial biomass, and nutrient acquisition, leading to higher crop productivity. These results indicate that REC combined with PSB and AMF is an effective nutrient management strategy for improving soil biological health, P utilization, and crop productivity in rice–wheat systems. Full article
(This article belongs to the Special Issue Soil Health to Human Health)
Show Figures

Figure 1

21 pages, 4009 KB  
Article
Evaluation of Soil Health of Panax notoginseng Forest Plantations Based on Minimum Data Set
by Wenqi Tang, Jianqiang Li, Huiying Yan, Lianling Cha, Yuan Yang and Linling Wang
Forests 2025, 16(12), 1869; https://doi.org/10.3390/f16121869 - 17 Dec 2025
Viewed by 125
Abstract
Healthy soil serves as the fundamental basis for sustainable Panax notoginseng (Burkill) F.H. Chen ex C.Y. Wu & K.M. Feng cultivation in understory systems. Current management practices have raised concerns about potential soil degradation and ecological imbalance. To comprehensively assess the soil health [...] Read more.
Healthy soil serves as the fundamental basis for sustainable Panax notoginseng (Burkill) F.H. Chen ex C.Y. Wu & K.M. Feng cultivation in understory systems. Current management practices have raised concerns about potential soil degradation and ecological imbalance. To comprehensively assess the soil health status, this study investigated typical understory P. notoginseng plantations in the subtropical mountain monsoon region of western Yunnan. By analyzing 29 soil physical, chemical, and biological indicators, we constructed a Minimum Data Set (MDS) using Principal Component Analysis to evaluate soil health and identify major constraints. The results showed that the MDS for soil health assessment consisted of 11 key indicators: acid phosphatase, fungal ACE index, organic matter, total nitrogen, sucrase, fungal Simpson index, fine sand, non-capillary porosity, silt content, bulk density, and microbial biomass nitrogen. Using both linear and non-linear scoring functions, the Soil Health Index (SHI) calculated based on the MDS showed a significant positive correlation with the SHI derived from the Total Data Set (TDS) (linear scoring: R2 = 0.43, p < 0.001; non-linear scoring: R2 = 0.305, p < 0.001). This indicates that the MDS captures a substantial and significant portion of the variation explained by the TDS and can serve as a practical and simplified alternative for soil health evaluation in this cultivation system. Based on the MDS, the SHI values obtained using linear and non-linear scoring functions ranged from 0.53 to 0.72 and 0.48–0.59, with mean values of 0.62 and 0.51, respectively, indicating moderate soil health status in the study area. Significant differences in SHI were observed across planting durations and seasons (p < 0.05), with two-year-old plantations showing notably better soil health indices than three-year-old plantations, particularly during the rainy season. The main constraints identified in understory P. notoginseng plantations included microbial community degradation, nutrient imbalance, and physical structural deterioration. Implementing scientific soil management strategies such as optimized rotation cycles, organic amendment applications, and microbial community regulation can effectively mitigate these soil constraints, enhance soil health, and promote the sustainable development of understory P. notoginseng cultivation. Full article
(This article belongs to the Section Forest Soil)
Show Figures

Figure 1

26 pages, 4198 KB  
Article
Community Forestry and Carbon Dynamics in Nepal’s Lowland Sal Forests: Integrating Field Inventories and Remote Sensing for REDD+ Insights
by Padam Raj Joshi, Aidi Huo, Adam Shaaban Mgana and Binaya Kumar Mishra
Forests 2025, 16(12), 1867; https://doi.org/10.3390/f16121867 - 17 Dec 2025
Viewed by 295
Abstract
Community-managed forests within agroforestry landscapes are vital for both carbon sequestration and agricultural sustainability. This study assesses the Hariyali Community Forest (HCF) in western Nepal, emphasizing its role in carbon storage within a Sal (Shorea robusta)-dominated lowland forest containing diverse native [...] Read more.
Community-managed forests within agroforestry landscapes are vital for both carbon sequestration and agricultural sustainability. This study assesses the Hariyali Community Forest (HCF) in western Nepal, emphasizing its role in carbon storage within a Sal (Shorea robusta)-dominated lowland forest containing diverse native and medicinal species. Stratified field inventories combined with satellite-derived biomass and land-use/land-cover data were used to quantify carbon stocks and spatial trends. In 2022, the mean aboveground carbon density was 165 tC ha−1, totaling approximately 101,640 tC (~373,017 tCO2e), which closely matches satellite-based trends and indicates consistent carbon accumulation. Remote sensing from 2015–2022 showed a net tree cover gain of 427 ha compared to a 2000 baseline of 188 ha, evidencing effective community-led regeneration. The 615 ha Sal-dominated landscape also sustains agroforestry, small-scale horticulture, and subsistence crops, integrating livelihoods with conservation. Temporary carbon declines between 2020 and 2022, linked to localized harvesting and management shifts, highlight the need for stronger governance and local capacity. This study, among the first integrated carbon assessments in Nepal’s lowland Sal forests, demonstrates how community forestry advances REDD+ (Reducing Emissions from Deforestation and Forest Degradation, and the role of conservation, sustainable management of forests, and enhancement of forest carbon stocks in developing countries) objectives while enhancing rural resilience. Linking field inventories with satellite-derived biomass and land-cover data situates community forestry within regional environmental change and SDG (Sustainable Development Goals) targets (13, 15, and 1) through measurable ecosystem restoration and livelihood gains. Full article
(This article belongs to the Section Forest Ecology and Management)
Show Figures

Figure 1

32 pages, 2403 KB  
Review
Vegetation Indices from UAV Imagery: Emerging Tools for Precision Agriculture and Forest Management
by Adrian Peticilă, Paul Gabor Iliescu, Lucian Dinca, Andy-Stefan Popa and Gabriel Murariu
AgriEngineering 2025, 7(12), 431; https://doi.org/10.3390/agriengineering7120431 - 14 Dec 2025
Viewed by 224
Abstract
Unmanned Aerial Vehicles (UAVs) have become essential instruments for precision agriculture and forest monitoring, offering rapid, high-resolution data collection over wide areas. This review synthesizes global advances (2015–2024) in UAV-derived vegetation indices (VIs), combining bibliometric and content analyses of 472 peer-reviewed publications. The [...] Read more.
Unmanned Aerial Vehicles (UAVs) have become essential instruments for precision agriculture and forest monitoring, offering rapid, high-resolution data collection over wide areas. This review synthesizes global advances (2015–2024) in UAV-derived vegetation indices (VIs), combining bibliometric and content analyses of 472 peer-reviewed publications. The study identifies key research trends, dominant indices, and technical progress achieved through RGB, multispectral, hyperspectral, and thermal sensors. Results show an exponential growth of scientific output, led by China, the USA, and Europe, with NDVI, NDRE, and GNDVI remaining the most widely applied indices. New indices such as GSI, RBI, and MVI demonstrate enhanced sensitivity for stress and disease detection in both crops and forests. UAV-based monitoring has proven effective for yield prediction, water-stress evaluation, pest identification, and biomass estimation. Despite significant advances, challenges persist regarding illumination correction, soil background influence, and limited forestry applications. The paper concludes that UAV-derived vegetation indices—when integrated with machine learning and multi-sensor data—represent a transformative approach for the sustainable management of agricultural and forest ecosystems. Full article
Show Figures

Figure 1

26 pages, 2340 KB  
Article
Productivity Dynamics in Chinese Fir Plantations: The Driving Role of Plant–Soil–Microbe Interactions in Northern Subtropical China
by Lijie Wang, Honggang Sun, Jianfeng Zhang and Linshui Dong
Forests 2025, 16(12), 1854; https://doi.org/10.3390/f16121854 - 13 Dec 2025
Viewed by 265
Abstract
Chinese fir (Cunninghamia lanceolata) is a cornerstone timber species in southern China. However, yet its plantation productivity frequently declines under successive rotations, threatening long-term sustainability. While belowground processes are suspected drivers, the mechanisms—particularly plant–soil–microbe interactions—remain poorly resolved. To address this, we [...] Read more.
Chinese fir (Cunninghamia lanceolata) is a cornerstone timber species in southern China. However, yet its plantation productivity frequently declines under successive rotations, threatening long-term sustainability. While belowground processes are suspected drivers, the mechanisms—particularly plant–soil–microbe interactions—remain poorly resolved. To address this, we examined a chronosequence of C. lanceolata plantations (5, 15, 20, and 30 years) in Jingdezhen, Jiangxi Province, integrating soil physicochemical assays, high-throughput sequencing, and extracellular enzyme activity profiling. We found that near-mature stands (20 years) exhibited a 60.7% decline in mean annual volume increment relative to mid-aged stands (15 years), despite continued increases in individual tree volume—suggesting a strategic shift from resource-acquisitive to nutrient-conservative growth. Peak values of soil organic carbon (32.87 g·kg−1), total nitrogen (2.51 g·kg−1), microbial biomass carbon (487.33 mg·kg−1), and phosphorus (25.65 mg·kg−1) coincided with this stage, reflecting accelerated nutrient turnover and intensified plant–microbe competition. Microbial communities shifted markedly over time: Basidiomycota and Acidobacteria became dominant in mature stands, replacing earlier Ascomycota and Proteobacteria. Random Forest and Partial Least Squares Path Modeling (PLS-SEM) identified total nitrogen, ammonium nitrogen, and total phosphorus as key predictors of productivity. PLS-SEM further revealed that stand age directly enhanced productivity (β = 0.869) via improved soil properties, but also indirectly suppressed it by stimulating microbial biomass (β = 0.845)—a “dual-effect” that intensified nutrient competition. Fungal and bacterial functional profiles were complementary: under phosphorus limitation, fungi upregulated acid phosphatase to enhance P acquisition, while bacteria predominately mediated nitrogen mineralization. Our results demonstrate a coordinated “soil–microbe–enzyme” feedback mechanism regulating productivity dynamics in C. lanceolata plantations. These insights advance a mechanistic understanding of rotation-associated decline and underscore the potential for targeted nutrient and microbial management to sustain long-term plantation yields. Full article
(This article belongs to the Section Forest Ecology and Management)
Show Figures

Figure 1

22 pages, 2836 KB  
Article
Phytoremediation Efficiency of Hemp and Sorghum Grown in Contaminated Sediment: The Role of Organic Acids
by Nina Đukanović, Jelena Beljin, Tijana Zeremski, Nadežda Stojanov, Stanko Milić, Marijana Kragulj Isakovski and Snežana Maletić
Agronomy 2025, 15(12), 2863; https://doi.org/10.3390/agronomy15122863 - 12 Dec 2025
Viewed by 237
Abstract
The sustainable management of dredged sediments contaminated with heavy metals represents a major environmental challenge. This study evaluated the phytoremediation potential of hemp (Cannabis sativa L.) and sorghum (Sorghum bicolor L.) cultivated in metal-enriched sediment from the Bega Canal (Cu = [...] Read more.
The sustainable management of dredged sediments contaminated with heavy metals represents a major environmental challenge. This study evaluated the phytoremediation potential of hemp (Cannabis sativa L.) and sorghum (Sorghum bicolor L.) cultivated in metal-enriched sediment from the Bega Canal (Cu = 204 mg kg−1, Pb = 171 mg kg−1, Cr = 281 mg kg−1, Ni = 56 mg kg−1, Cd = 6.8 mg kg−1) and examined the effects of glutamic (GA) and tartaric (TA) acids (20 mmol kg−1) on sediment properties and metal uptake. Pot experiments under natural conditions (n = 3, 6–8 weeks) showed that GA treatment resulted in cation exchange capacity (CEC) values ranging from 31.0 to 58.5 cmolc kg−1, which were lower than in the initial sediment (60.7 cmolc kg−1) but still higher than in the corresponding controls and TA treatments. GA also increased electrical conductivity from 435 to 1189 µS cm−1, which may indicate enhanced ion mobility and be consistent with redox-related processes, whereas TA maintained near-neutral pH (8.0–8.2) and caused only minor changes in CEC and EC, preserving overall structural stability. Hemp produced up to 40% more biomass than sorghum and allocated a relatively larger share of Cu, Pb and Cd to shoots, whereas sorghum retained up to 80% of total Cr and Ni in roots. Bioaccumulation factors ranged from 4.3 for Cu in hemp (GA) to 20.8 for Cu in sorghum (GA), while translocation factors remained <1.0 in both species, indicating that root-based phytostabilization was the dominant mechanism. The results demonstrate that combining low-molecular-weight organic acids with energy crops can effectively enhance metal mobility and plant uptake, offering a viable route for sediment remediation and biomass valorization within circular economy strategies. Full article
(This article belongs to the Section Agricultural Biosystem and Biological Engineering)
Show Figures

Figure 1

32 pages, 6951 KB  
Article
Conceptualizing the Education Roadmap to Support the Implementation of Circular Economy Principles in the Forestry Sector—A Case Study of the Baltic Sea Region
by Marzena Smol, Edyta Waluś and Paulina Marcinek
Sustainability 2025, 17(24), 11145; https://doi.org/10.3390/su172411145 - 12 Dec 2025
Viewed by 268
Abstract
Environmental education, implemented at both formal and informal levels, plays a significant role in the transformation process towards a Circular Economy (CE). In the Baltic Sea Region (BRS), the significant role of the forestry sector is worth noting, as it contributes to strengthening [...] Read more.
Environmental education, implemented at both formal and informal levels, plays a significant role in the transformation process towards a Circular Economy (CE). In the Baltic Sea Region (BRS), the significant role of the forestry sector is worth noting, as it contributes to strengthening the CE agenda through the sustainable and circular management of wood processing waste. However, currently, environmental education on the potential uses of this waste, for the general public (including youth), students, and professionals, is quite limited. Therefore, this paper presents a conceptual approach to developing an education roadmap. The scope of work includes identifying the education gap in the forestry sector using a questionnaire survey among residents of the Baltic Sea Region, and then developing a concept for an education roadmap consistent with the CE assumptions. The presented concept of roadmap is a comprehensive document that analyses the educational needs, challenges, and opportunities related to the sustainable use of forest biomass in a given region. Strategic assumptions and educational priorities were identified and implemented in this document. Our findings contribute to aligning forestry education with broader environmental and economic goals in the Baltic Sea Region and beyond. This study supports the achievement of Sustainable Development Goals 4 (Quality Education), 12 (Responsible Consumption and Production), and 15 (Life on Land) by providing practical insights for advancing circular economy education in natural resource management. Full article
Show Figures

Figure 1

14 pages, 1697 KB  
Article
Sustainable Management of Invasive Algal Waste (Caulerpa prolifera): Biomass Compost for Nitrogen Reduction in Vulnerable Coastal Area
by María Carmen Piñero, Carlos García Delgado, Sandra López Rayo, Jacinta Collado-González, Ginés Otálora and Francisco M. del Amor
Plants 2025, 14(24), 3778; https://doi.org/10.3390/plants14243778 - 11 Dec 2025
Viewed by 189
Abstract
Composting seaweed biomass reduces environmental impacts while supporting circular-economy strategies in coastal areas, where seaweed removed for recreational management is commonly treated as waste. This approach aligns with regional and EU policies on circular bioeconomy and coastal ecosystem restoration. This study evaluated the [...] Read more.
Composting seaweed biomass reduces environmental impacts while supporting circular-economy strategies in coastal areas, where seaweed removed for recreational management is commonly treated as waste. This approach aligns with regional and EU policies on circular bioeconomy and coastal ecosystem restoration. This study evaluated the effects of Mar Menor seaweed compost applied at 0%, 15% and 35% on lettuce cultivation. Two nitrogen supply levels (100% and 60%) were also used to assess interactive effects on plant growth and nutrient dynamics. The optimal rate of 15% compost enhanced lettuce growth by 25.1% under 100% N irrigation and by 32.2% under 60% N irrigation, indicating that reduced nitrogen availability did not limit biomass accumulation. Indeed, irrigation nitrogen level did not affect total biomass. Compost addition also improved nutrient content and increased phenolic compounds in leaves. When nitrogen was reduced, the combination with compost further boosted phenolic accumulation, by 39.6% with 15% compost and 34.7% with 35%, suggesting a synergistic response. Overall, seaweed compost improves crop performance and nutritional quality while lowering dependence on synthetic fertilisers. Environmentally and economically, it provides coastal municipalities a sustainable option for managing excess seaweed by converting waste into valuable agricultural inputs and mitigating impacts of algal overgrowth. Full article
Show Figures

Figure 1

Back to TopTop