Sign in to use this feature.

Years

Between: -

Subjects

remove_circle_outline
remove_circle_outline
remove_circle_outline
remove_circle_outline
remove_circle_outline
remove_circle_outline
remove_circle_outline
remove_circle_outline
remove_circle_outline

Journals

remove_circle_outline
remove_circle_outline
remove_circle_outline
remove_circle_outline
remove_circle_outline
remove_circle_outline
remove_circle_outline
remove_circle_outline
remove_circle_outline
remove_circle_outline
remove_circle_outline
remove_circle_outline
remove_circle_outline
remove_circle_outline
remove_circle_outline
remove_circle_outline
remove_circle_outline
remove_circle_outline
remove_circle_outline
remove_circle_outline
remove_circle_outline
remove_circle_outline
remove_circle_outline
remove_circle_outline
remove_circle_outline
remove_circle_outline
remove_circle_outline
remove_circle_outline

Article Types

Countries / Regions

remove_circle_outline
remove_circle_outline
remove_circle_outline
remove_circle_outline
remove_circle_outline
remove_circle_outline
remove_circle_outline
remove_circle_outline
remove_circle_outline

Search Results (3,947)

Search Parameters:
Keywords = sustainability of the performance evaluation system

Order results
Result details
Results per page
Select all
Export citation of selected articles as:
34 pages, 9182 KB  
Article
A Reputation-Aware Adaptive Incentive Mechanism for Federated Learning-Based Smart Transportation
by Abir Raza, Elarbi Badidi and Omar El Harrouss
Smart Cities 2026, 9(2), 27; https://doi.org/10.3390/smartcities9020027 - 4 Feb 2026
Abstract
Federated learning (FL) has emerged as a promising paradigm for privacy-preserving distributed intelligence in modern urban transportation systems, where vehicles collaboratively train global models without sharing raw data. However, the dynamic nature of vehicular environments introduces critical challenges, including unstable participation, data heterogeneity, [...] Read more.
Federated learning (FL) has emerged as a promising paradigm for privacy-preserving distributed intelligence in modern urban transportation systems, where vehicles collaboratively train global models without sharing raw data. However, the dynamic nature of vehicular environments introduces critical challenges, including unstable participation, data heterogeneity, and the potential for malicious behavior. Conventional FL frameworks lack effective trust management and adaptive incentive mechanisms capable of maintaining fairness and reliability under these fluctuating conditions. This paper presents a reputation-aware federated learning framework that integrates multi-dimensional reputation evaluation, dynamic incentive control, and malicious client detection through an adaptive feedback mechanism. Each vehicular client is assessed based on data quality, stability, and behavioral consistency, producing a reputation score that directly influences client selection and reward allocation. The proposed feedback controller self-tunes the incentive weights in real time, ensuring equitable participation and sustained convergence performance. In parallel, a penalty module leverages statistical anomaly detection to identify, isolate, and penalize untrustworthy clients without compromising benign contributors. Extensive simulations conducted on real-world datasets demonstrate that the proposed framework achieves higher model accuracy and greater robustness against poisoning and gradient manipulation attacks compared to existing baseline methods. The results confirm the potential of our trust-regulated incentive mechanism to enable reliable federated learning in smart cities transportation systems. Full article
(This article belongs to the Topic Data-Driven Optimization for Smart Urban Mobility)
Show Figures

Graphical abstract

19 pages, 2701 KB  
Review
Urushiol-Based Antimicrobial Coatings for Lacquer Art Applications: A Review of Mechanisms, Durability, and Safety
by Kai Yao, Jie Tian and Peirong Huang
Coatings 2026, 16(2), 198; https://doi.org/10.3390/coatings16020198 - 4 Feb 2026
Abstract
This paper provides a systematic review of urushiol-based antibacterial coatings for lacquer art applications, focusing on three key dimensions: molecular mechanisms, durability, and safety. Natural lacquer films form a dense three-dimensional network through laccase-catalyzed oxidative cross-linking, endowing them with excellent mechanical properties and [...] Read more.
This paper provides a systematic review of urushiol-based antibacterial coatings for lacquer art applications, focusing on three key dimensions: molecular mechanisms, durability, and safety. Natural lacquer films form a dense three-dimensional network through laccase-catalyzed oxidative cross-linking, endowing them with excellent mechanical properties and corrosion resistance, while the catechol structure in urushiol confers broad-spectrum antibacterial potential. The article elaborates on the synergistic antibacterial mechanisms of urushiol, including covalent reactions with bacterial proteins via quinone intermediates, induction of oxidative stress, and metal ion chelation. It also reveals the dynamic change pattern of coating antibacterial activity over time, characterized by “high initial efficiency- gradual mid-term decline—long-term stabilization,” a process influenced collectively by side-chain unsaturation, degree of curing, and environmental factors such as temperature, humidity, and light exposure. From an application perspective, this review examines modification approaches such as silver/titanium dioxide composite systems, structurally regulated sustained-release strategies, and anti-adhesion surface designs, while pointing out current limitations in artistic compatibility, long-term durability, and safety assessment. Particularly in scenarios involving food contact and cultural heritage preservation, migration risks from unreacted urushiol monomers and metal nanoparticles, as well as the inherent sensitization potential of urushiol, remain critical challenges for safe application. Accordingly, this paper proposes the establishment of a holistic research framework covering “material design–process control–performance evaluation” and advocates for the development of functional coating systems with low migration, high biocompatibility, and preserved aesthetic value. Such advances are essential to promote the sustainable development and safe application of urushiol-based antibacterial coatings in fields such as cultural heritage conservation, daily-use utensils, and high-end decorative arts. Full article
Show Figures

Figure 1

23 pages, 1793 KB  
Article
Dynamics of Cervical Lesions After Excisional Treatment in Relation to HPV Genotypes and Cytological Findings
by Cornelius Eduard Carp, Alexandra Carp, Raluca Mihaela Gemanariu, Mihai Gabriel Marin, Sorana Caterina Anton, Handra Elicona, Alexandra Lazan, Raul Andrei Crețu and Emil Anton
J. Clin. Med. 2026, 15(3), 1241; https://doi.org/10.3390/jcm15031241 - 4 Feb 2026
Abstract
Background/Objectives: Human papillomavirus (HPV) infection remains the principal etiologic factor for cervical intraepithelial neoplasia (CIN) and cervical cancer. This longitudinal cohort study aimed to characterize the dynamics of cytological and histopathological changes over a two-year follow-up, focusing on post-treatment reduction in lesion grade, [...] Read more.
Background/Objectives: Human papillomavirus (HPV) infection remains the principal etiologic factor for cervical intraepithelial neoplasia (CIN) and cervical cancer. This longitudinal cohort study aimed to characterize the dynamics of cytological and histopathological changes over a two-year follow-up, focusing on post-treatment reduction in lesion grade, persistence, and progression in relation to HPV genotype distribution and smoking status. Methods: A total of 351 women aged 20–76 years were included, with cervical samples collected at the “Elena Doamna” Clinical Hospital, Iași, Romania. Cytology was categorized according to the Bethesda System, while colposcopy and conization served as diagnostic confirmation methods. HPV genotyping identified both high-risk (HR) and low-risk (LR) viral subtypes. Longitudinal assessments were performed at baseline, one-year, and two-year intervals to evaluate temporal patterns of disease evolution. Results: At baseline, HSIL represented the predominant cytologic category (51.3%, n = 180), followed by ASC-US (19.1%), ASC-H (15.1%), and LSIL (14.5%). Negative cytology increased from 62.4% at one year to 71.8% at two years, indicating substantial post-treatment reduction in lesion grade. Downgrading of lesion severity after treatment occurred in 26.2%, persistence in 11.1%, and progression in 11.1% of cases. Concordance between colposcopy and conization was moderate but statistically significant (κ = 0.345), with the highest agreement observed for HSIL with equivocal features between CIN II and CIN III lesions. Smoking showed a significant association with lesion persistence at two years (OR = 3.07; 95% CI: 1.16–8.08) but no statistically significant association with HR-HPV persistence. HR-HPV genotypes 16, 18, 31, and 33 were most frequently linked to progression, whereas HPV 35, 59, and 68 were associated with persistence. Conclusions: Over two years, most cervical lesions regressed or normalized, demonstrating effective management and follow-up. Persistent infection with HR-HPV types and smoking were the primary determinants of unfavorable outcomes. These findings highlight the clinical relevance of sustained surveillance, HPV genotyping, and smoking cessation as integral components of evidence-based cervical disease prevention and management strategies. Full article
(This article belongs to the Section Obstetrics & Gynecology)
Show Figures

Figure 1

26 pages, 2361 KB  
Article
Investigation of the Importance of Asphalt Mixing Plant Properties for Selecting the Best Sustainable Alternative
by Henrikas Sivilevičius and Vidas Žuraulis
Sustainability 2026, 18(3), 1582; https://doi.org/10.3390/su18031582 - 4 Feb 2026
Abstract
The optimal composition of an asphalt mixture, composed from the various mineral materials and bituminous binders, is produced in an asphalt mixing plant (AMP). Various AMP properties determine the suitability of this complex, long-term-use technological equipment in meeting contemporary requirements. Worn AMPs are [...] Read more.
The optimal composition of an asphalt mixture, composed from the various mineral materials and bituminous binders, is produced in an asphalt mixing plant (AMP). Various AMP properties determine the suitability of this complex, long-term-use technological equipment in meeting contemporary requirements. Worn AMPs are replaced with new ones when they fail to satisfy these requirements. The AMP purchase process consists of two separate parts: (1) the decision-making process—whether there is a need to purchase a new AMP; and (2) AMP suitability—the evaluation of various technical and other properties, related to the AMP itself. This research paper considers the second part of the AMP purchase process and presents a new twenty-criteria system that identifies the most important AMP quality parameters indicating AMP suitability. The weights of the quality criteria for a new AMP were established by applying the Average Rank Transformation into Weight-Linear (ARTIW-L), Non-Linear (ARTIW-N) and Analytic Hierarchy Process (AHP) methods. Furthermore, the paper presents and verifies the Inverse Hierarchy for Assessment of Main Criteria Importance (IHAMCI) method. The findings of the research show that customers consider technological parameters to be the most important, followed by technical performance. Economical indicators rank third, while ecological (environmental) indicators receive the least attention. Future research will assess the sustainability requirements applied to operating AMPs in recent years. Full article
(This article belongs to the Special Issue Sustainable and Smart Transportation Systems)
Show Figures

Figure 1

22 pages, 4910 KB  
Article
Tumor Detection and Characterization Using Microwave Imaging Technique—An Experimental Calibration Approach
by Anudev Jenardanan Nair, Suraksha Rajagopalan, Naveen Krishnan Radhakrishna Pillai, Massimo Donelli and Sreedevi K. Menon
Sensors 2026, 26(3), 1014; https://doi.org/10.3390/s26031014 - 4 Feb 2026
Abstract
Microwave imaging (MWI) is a non-invasive technique for visualizing the anomalies of biological tissues. The imaging process is accomplished by comparing the electrical parameters of healthy tissues and malignant tissues. This work introduces a microwave imaging system for tumor detection in breast tissue. [...] Read more.
Microwave imaging (MWI) is a non-invasive technique for visualizing the anomalies of biological tissues. The imaging process is accomplished by comparing the electrical parameters of healthy tissues and malignant tissues. This work introduces a microwave imaging system for tumor detection in breast tissue. The experiment is performed in a homogeneous background medium, where a high dielectric contrast material is used to mimic the tumor. The proposed imaging system is experimentally evaluated for multiple tumor locations and sizes using a horn antenna. Reflection coefficients obtained from the monostatic configuration of the horn antenna are used for image reconstruction. The evaluation metrics, such as localization error, absolute area error, DICE score, Intersection over Union (IoU), precision, accuracy, sensitivity and specificity, are computed from the reconstructed image. A modified version of the beamforming algorithm improves the quality of reconstructed images by providing a minimum accuracy of 96% for all test cases, with an evaluation time of less than 48 s. The proposed methodology shows promising results under a controlled environment and can be implemented for clinical applications after adequate biological studies. This methodology can be used to calibrate any antenna system or phantom, as it has high contrast in conductivity, leading to better imaging. The present study contributes to Sustainable Development Goal (SDG) 3 by ensuring healthy lives and promoting wellbeing for all ages. Full article
(This article belongs to the Special Issue Biomedical Imaging, Sensing and Signal Processing)
Show Figures

Graphical abstract

23 pages, 3997 KB  
Article
Assimilation of ICON/MIGHTI Wind Profiles into a Coupled Thermosphere/Ionosphere Model Using Ensemble Square Root Filter
by Meng Zhang, Xiong Hu, Yanan Zhang, Zhaoai Yan, Hongyu Liang, Junfeng Yang, Cunying Xiao and Cui Tu
Remote Sens. 2026, 18(3), 500; https://doi.org/10.3390/rs18030500 - 4 Feb 2026
Abstract
Precise characterization of the thermospheric neutral wind is essential for comprehending the dynamic interactions within the ionosphere-thermosphere system, as evidenced by the development of models like HWM and the need for localized data. However, numerical models often suffer from biases due to uncertainties [...] Read more.
Precise characterization of the thermospheric neutral wind is essential for comprehending the dynamic interactions within the ionosphere-thermosphere system, as evidenced by the development of models like HWM and the need for localized data. However, numerical models often suffer from biases due to uncertainties in external forcing and the scarcity of direct wind observations. This study examines the influence of incorporating actual neutral wind profiles from the Michelson Interferometer for Global High-resolution Thermospheric Imaging (MIGHTI) on the Ionospheric Connection Explorer (ICON) satellite into the Thermosphere Ionosphere Electrodynamics General Circulation Model (TIE-GCM) via an ensemble-based data assimilation framework. To address the challenges of assimilating real observational data, a robust background check Quality Control (QC) scheme with dynamic thresholds based on ensemble spread was implemented. The assimilation performance was evaluated by comparing the analysis results against independent, unassimilated observations and a free-running model Control Run. The findings demonstrate a substantial improvement in the precision of the thermospheric wind field. This enhancement is reflected in a 45–50% reduction in Root Mean Square Error (RMSE) for both zonal and meridional components. For zonal winds, the system demonstrated effective bias removal and sustained forecast skill, indicating a strong model memory of the large-scale mean flow. In contrast, while the assimilation exceptionally corrected the meridional circulation by refining the spatial structures and reshaping cross-equatorial flows, the forecast skill for this component dissipated rapidly. This characteristic of “short memory” underscores the highly dynamic nature of thermospheric winds and emphasizes the need for high-frequency assimilation cycles. The system required a spin-up period of approximately 8 h to achieve statistical stability. These findings demonstrate that the assimilation of data from ICON/MIGHTI satellites not only diminishes numerical inaccuracies but also improves the representation of instantaneous thermospheric wind distributions. Providing a high-fidelity dataset is crucial for advancing the modeling and understanding of the complex interactions within the Earth’s ionosphere-thermosphere system. Full article
(This article belongs to the Section Atmospheric Remote Sensing)
Show Figures

Figure 1

13 pages, 4321 KB  
Article
Optimization of Coagulation–Flocculation Treatment for Fish Farm Effluent Using Green Coagulants and Recovery of the Produced Sludge
by Sajjad Hatim Kadhim, Asia Fadhile Almansoory, Israa Abdulwahab Al-Baldawi, Siti Rozaimah Sheikh Abdullah, Karima F. Abbas, Muhammad Fauzul Imron and Setyo Budi Kurniawan
Environments 2026, 13(2), 88; https://doi.org/10.3390/environments13020088 - 4 Feb 2026
Abstract
Treatment of wastewater effluent is essential to reduce environmental impact and keep surface water clean, meeting sustainable criteria. While plant-based coagulants are known for their eco-friendly profiles, their dual application for high-efficiency nutrient removal and subsequent sludge valorization in fish farm systems remain [...] Read more.
Treatment of wastewater effluent is essential to reduce environmental impact and keep surface water clean, meeting sustainable criteria. While plant-based coagulants are known for their eco-friendly profiles, their dual application for high-efficiency nutrient removal and subsequent sludge valorization in fish farm systems remain under-explored. Therefore, this study was conducted to determine the optimum conditions for using natural coagulants to recover nutrients from fish farm effluent. Two types of natural coagulants, Alhagi graecorum leaves and apricot seeds, were evaluated for the treatment and recovery of nutrients from fish farm effluent due to their high removal efficiency, non-toxicity, and cost-effectiveness. In this study, optimization was performed using Response Surface Methodology (RSM) with a Central Composite Design (CCD) to investigate the effects of three factors: coagulant concentration (1000–7000 mg/L), wastewater pH (5–9), and settling time (15–35 min). The primary responses measured were the removal efficiencies of phosphate (PO4) and nitrate (NO3). According to the CCD results, maximum removal efficiencies reached 92.63% and 73.49% for PO4 and NO3, respectively. The optimal conditions were identified as pH 5, 1000 mg/L coagulant concentration, and a 35 min settling time for A. graecorum, and pH 9, 1000 mg/L concentration, and a 15 min settling time for apricot seed. These findings establish the optimal conditions for using these natural substances as effective agents for sustainable wastewater treatment and nutrient recovery. Full article
20 pages, 1529 KB  
Article
How Does Methanogenic Inhibition Affect Large-Scale Waste-to-Energy Anaerobic Digestion Processes? Part 2—Life Cycle Assessment
by Ever Efraín García-Balandrán, Luis Ramiro Miramontes-Martínez, Alonso Albalate-Ramírez and Pasiano Rivas-García
Fermentation 2026, 12(2), 87; https://doi.org/10.3390/fermentation12020087 - 3 Feb 2026
Abstract
Anaerobic digestion under a Waste-to-Energy (WtE-AD) framework represents a sustainable alternative for managing organic waste and generating bioenergy in developing countries. However, most life cycle assessment (LCA) studies implicitly assume stable operation, overlooking the environmental implications of process instability. In practice, large-scale WtE-AD [...] Read more.
Anaerobic digestion under a Waste-to-Energy (WtE-AD) framework represents a sustainable alternative for managing organic waste and generating bioenergy in developing countries. However, most life cycle assessment (LCA) studies implicitly assume stable operation, overlooking the environmental implications of process instability. In practice, large-scale WtE-AD plants are frequently affected by methanogenic inhibition events that reduce methane production and compromise their technical, economic, and environmental performance. This study—Part 2 of a two-paper series—addresses this gap by quantifying, from a life cycle perspective, the environmental consequences of recurrent methanogenic inhibition events in large-scale WtE-AD systems, complementing the techno-economic analysis presented in Part 1. Large-scale WtE-AD plants were modeled using design equations based on treatment capacity (60–200 t d−1), considering scenarios with up to ten inhibition events over a 25-year operational period. The LCA was conducted in accordance with ISO 14040:14044 standards, defining as the functional unit one ton of co-digested fruit and vegetable residues with meat industry wastes, under an attributional approach with system boundary expansion and evaluating midpoint indicators through the ReCiPe 2016 method. Results show that inhibition events increase greenhouse gas emissions by up to 400% (from 28.1 to 138.6 kg CO2 eq t−1 of waste treated), while plants with capacities above 125 t d−1 exhibit environmental credits (negative emission balances), demonstrating greater environmental resilience. Electricity substitution from the Mexican grid generated savings of up to 0.624 kg CO2 eq kWh−1, although the magnitude of the benefits strongly depends on the regional electricity mix. This dependency was further explored through comparative electricity mix scenarios representative of different levels of power sector decarbonization, allowing the sensitivity of WtE-AD environmental performance to regional grid characteristics to be assessed. Compared to landfill disposal (1326 kg CO2 eq t−1), WtE-AD plants significantly reduce impacts across all assessed categories. By explicitly integrating operational instability into an industrial-scale LCA framework, this work highlights the importance of evaluating methanogenic inhibition events from a life cycle perspective, providing key insights for the design of more sustainable and resilient WtE-AD processes within a Latin American context. Full article
41 pages, 10153 KB  
Review
A Comprehensive Review on Sustainable Triboelectric Energy Harvesting Using Biowaste-Derived Materials
by Wajid Ali, Tabinda Shabir, Shahzad Iqbal, Syed Adil Sardar, Farhan Akhtar and Woo Young Kim
Materials 2026, 19(3), 592; https://doi.org/10.3390/ma19030592 - 3 Feb 2026
Abstract
The growing demand for sustainable and distributed energy solutions has driven increasing interest in triboelectric nanogenerators (TENGs) as platforms for energy harvesting and self-powered sensing. Biowaste-based triboelectric nanogenerators (BW-TENGs) represent an attractive strategy by coupling renewable energy generation with waste valorization under the [...] Read more.
The growing demand for sustainable and distributed energy solutions has driven increasing interest in triboelectric nanogenerators (TENGs) as platforms for energy harvesting and self-powered sensing. Biowaste-based triboelectric nanogenerators (BW-TENGs) represent an attractive strategy by coupling renewable energy generation with waste valorization under the principles of the circular bioeconomy. This review provides a comprehensive overview of BW-TENGs, encompassing fundamental triboelectric mechanisms, material categories, processing and surface-engineering strategies, device architectures, and performance evaluation metrics. A broad spectrum of biowaste resources—including agricultural residues, food and marine waste, medical plastics, pharmaceutical waste, and plant biomass—is critically assessed in terms of physicochemical properties, triboelectric behavior, biodegradability, biocompatibility, and scalability. Recent advances demonstrate that BW-TENGs can achieve electrical outputs comparable to conventional synthetic polymer TENGs while offering additional advantages such as environmental sustainability, mechanical compliance, and multifunctionality. Key application areas, including environmental monitoring, smart agriculture, wearable and implantable bioelectronics, IoT networks, and waste management systems, are highlighted. The review also discusses major challenges limiting large-scale deployment, such as material heterogeneity, environmental stability, durability, and lack of standardization, and outlines emerging solutions involving material engineering, hybrid energy-harvesting architectures, artificial intelligence-assisted optimization, and life cycle assessment frameworks. Full article
(This article belongs to the Special Issue Materials, Design, and Performance of Nanogenerators)
Show Figures

Graphical abstract

29 pages, 1502 KB  
Article
An Ontology-Based Framework for Semantic Integration and Interoperable Assessment of Green-Synthesized Nanomaterials for Environmental Remediation
by Carolina L. Recio-Colmenares, Roxana B. Recio-Colmenares, Francisco E. Castillo-Barrera and Cesar A. Garcia-Garcia
Appl. Sci. 2026, 16(3), 1539; https://doi.org/10.3390/app16031539 - 3 Feb 2026
Abstract
Green-synthesized nanomaterials have emerged as promising candidates for environmentally sustainable remediation; however, experimental evidence describing their synthesis routes, physicochemical properties, remediation performance, and sustainability-relevant attributes remains fragmented, inconsistently reported, and difficult to integrate across studies. This work addresses this challenge by proposing an [...] Read more.
Green-synthesized nanomaterials have emerged as promising candidates for environmentally sustainable remediation; however, experimental evidence describing their synthesis routes, physicochemical properties, remediation performance, and sustainability-relevant attributes remains fragmented, inconsistently reported, and difficult to integrate across studies. This work addresses this challenge by proposing an ontology-based semantic framework for the interoperable integration of green-synthesized nanomaterials, contaminants, and remediation processes, incorporating explicit provenance metadata and structured sustainability descriptors. The ontology was developed using the Linked Open Terms (LOT) methodology and implemented in OWL 2 DL, with selective alignment to established vocabularies including eNanoMapper, ChEBI, ENVO, and PROV-O. Adsorption and photocatalysis were instantiated as representative remediation mechanisms to evaluate the framework’s capacity to accommodate structurally distinct processes. Logical reasoning and SHACL-based validation were applied to assess semantic consistency, provenance traceability, and data completeness. The results demonstrate that the proposed ontology effectively integrates heterogeneous experimental data within a unified, FAIR-compliant semantic framework, supports conservative and provenance-aware inference, and enables comparative analysis across mechanistically diverse remediation systems without structural modification. This ontology-based approach provides a robust foundation for sustainability-aware knowledge integration in environmental nanotechnology and establishes the basis for future extensions involving data quality assessment and explainable AI-driven analysis. Full article
(This article belongs to the Section Computing and Artificial Intelligence)
Show Figures

Graphical abstract

15 pages, 3961 KB  
Article
Vertical Heat Transfer Through the Unsaturated Zone in an Urban Alluvial Aquifer and Its Influence on Shallow Geothermal Plumes
by Luis Gil Parrales, Jorge Martínez-León, Jon Jiménez Beltrán, Rodrigo Agustín Sariago Curi, Juan Morales Pascual, Enrique Merino-Martínez and Alejandro García Gil
Sustainability 2026, 18(3), 1551; https://doi.org/10.3390/su18031551 - 3 Feb 2026
Abstract
Urban shallow geothermal systems are increasingly adopted for low-carbon heating and cooling, yet their performance and environmental impact depend on vertical heat transfer processes that are often simplified, particularly across the unsaturated zone that links the urban surface and groundwater. This study quantifies [...] Read more.
Urban shallow geothermal systems are increasingly adopted for low-carbon heating and cooling, yet their performance and environmental impact depend on vertical heat transfer processes that are often simplified, particularly across the unsaturated zone that links the urban surface and groundwater. This study quantifies the buffering role of the unsaturated zone and assesses how its explicit representation affects predicted geothermal thermal impacts in an urban alluvial aquifer. We combine multi-depth temperature observations from instrumented piezometers and thermocouple arrays in the Zaragoza alluvial aquifer (NE Spain) with a three-dimensional transient groundwater-flow and heat-transport model implemented in FEFLOW. Model performance was evaluated by comparing simulated temperature profiles against field observations at −2 m, −5 m, and the water table, yielding root mean square errors (RMSE) of 1.24 °C, 0.58 °C, and 0.42 °C, respectively. Scenario simulations show strong damping and phase delay of seasonal signals through the unsaturated zone and indicate that surface heat exchange controls shallow thermal amplitudes (up to approximately 10 °C at approximately 1 m). Simplified configurations that neglect the unsaturated zone and/or surface heat transfer bias impact assessments by increasing simulated aquifer warming (up to 1 °C at the end of summer injection periods) and altering plume intensity and geometry (plume extents on the order of 80 m laterally in the analyzed configuration). These results underline that urban geothermal assessments require field-constrained representations of unsaturated-zone heat transfer and realistic surface boundary conditions to support sustainable subsurface energy planning. Full article
(This article belongs to the Section Energy Sustainability)
Show Figures

Figure 1

38 pages, 6253 KB  
Article
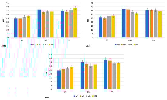
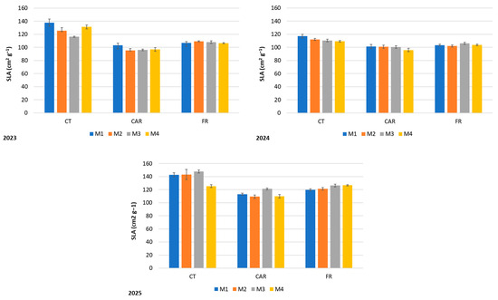
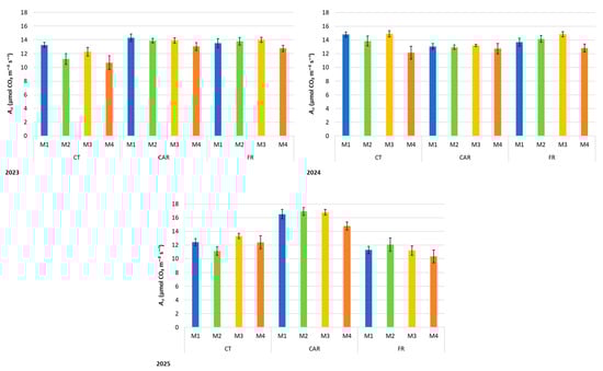
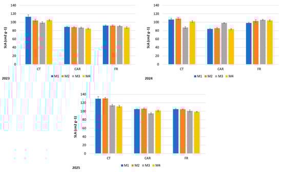
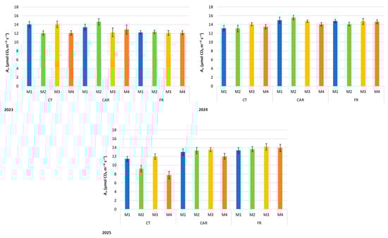
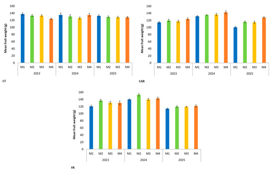
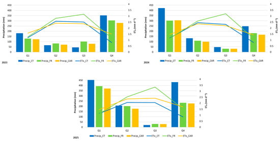
Does Partial Organic Fertilization Maintain Physiological and Biometric Performance in Apple Trees?
by Susana Ferreira, Marta Gonçalves, Margarida Rodrigues, Francisco Martinho, Verónica Amado, Sidónio Rodrigues, Pedro Bulcão, Jorge Vieira, Mariana Mota and Miguel Leão de Sousa
Horticulturae 2026, 12(2), 192; https://doi.org/10.3390/horticulturae12020192 - 3 Feb 2026
Abstract
The MOPLUS project, funded by the Portuguese Recovery and Resilience Plan (PRR), aims to enhance soil organic matter, soil structure, and water retention in apple orchards located in the “Maçã de Alcobaça” Protected Geographical Indication area through organic fertilization based on locally available [...] Read more.
The MOPLUS project, funded by the Portuguese Recovery and Resilience Plan (PRR), aims to enhance soil organic matter, soil structure, and water retention in apple orchards located in the “Maçã de Alcobaça” Protected Geographical Indication area through organic fertilization based on locally available livestock effluents, thereby reducing reliance on synthetic fertilizers under Mediterranean climatic conditions. This study evaluated the physiological and biometric responses of apple trees subjected to four fertilization strategies (M1–M4) in three commercial ‘Gala’ orchards in central Portugal over three growing seasons (2023–2025). Measurements included leaf functional traits, gas exchange, chlorophyll fluorescence, spectral indices, vegetative growth, fruit production per tree and mean fruit weight. Interannual climatic variability and orchard-specific conditions were the dominant drivers of tree response, while fertilization effects were smaller and mainly expressed through interactions with year and orchard. When analyzed within the same orchard, fertilization strategies M2 and particularly M3 maintained physiological performance, vegetative growth, and fruit production per tree at levels comparable to full mineral fertilization. Among treatments, M3 showed the most consistent responses across sites and years, indicating that partial mineral substitution with pig slurry can sustain tree functioning while maintaining or enhancing fruit production per tree. The most restrictive strategy (M4) occasionally showed reduced photosynthetic performance under specific orchard–year combinations, suggesting a threshold effect associated with stronger mineral reduction, but without evidence of generalized physiological stress. Overall, these findings demonstrate that partial substitution of mineral fertilizers by organic amendments—especially pig slurry (M3) and, to a lesser extent, composted cattle manure (M2)—is agronomically viable, allowing apple tree performance and productivity to be maintained while enhancing system resilience under Mediterranean climatic variability. These results also provide practical decision support for site-adapted fertilization management in commercial drip-irrigated apple orchards, supporting reduced mineral fertilizer dependence without compromising productivity. Full article
(This article belongs to the Special Issue Improving Quality of Fruit: 2nd Edition)
Show Figures

Figure 1

21 pages, 1915 KB  
Article
Study of the Cathodic Catalytic Mechanisms of Microalgae-Based Microbial Fuel Cells
by Carolina Montoya-Vallejo, Juan Carlos Quintero Díaz and Francisco Jesús Fernández-Morales
Catalysts 2026, 16(2), 159; https://doi.org/10.3390/catal16020159 - 3 Feb 2026
Abstract
Microbial fuel cells (MFC) are promising systems for wastewater treatment and electricity production; however, many technical and economic challenges must be overcome. One approach to improve MFC performance is the use of photosynthetic microorganisms at the cathode to supply oxygen and reduce aeration [...] Read more.
Microbial fuel cells (MFC) are promising systems for wastewater treatment and electricity production; however, many technical and economic challenges must be overcome. One approach to improve MFC performance is the use of photosynthetic microorganisms at the cathode to supply oxygen and reduce aeration requirements. In this work, Chlorella sorokiniana was used as a cathodic biocatalyst, in order to supply oxygen while simultaneously obtaining high-value products. At the anode, an anaerobic mixed microbial culture was used as a biocatalyst. Different cathodic configurations were studied to evaluate the different cathodic catalytic mechanisms. Electrochemical characterization through cyclic voltammetry, polarization curves, biochemical analysis and SEM images was performed. Superior performance was achieved when employing microalgae as the cathodic oxygen source compared to systems relying on external aeration (128.7 mA/m2 vs. 45.2 mA/m2). The addition of methylene blue and sodium bicarbonate improved the current density (194.8 mA/m2 and 128.7 mA/m2). Results indicate that microalgae in the cathodic chamber could enhance MFC electrochemical performance and biomass production, boosting sustainable energy generation. Full article
Show Figures

Graphical abstract

23 pages, 11658 KB  
Article
Influence of Environmental Conditions on Tropical and Temperate Hardwood Species Bonded with Polyurethane Adhesives
by Marcin Małek, Magdalena Wasiak, Ewelina Kozikowska, Jakub Łuszczek and Cezary Strąk
Materials 2026, 19(3), 589; https://doi.org/10.3390/ma19030589 - 3 Feb 2026
Abstract
This research presents a comprehensive evaluation of semi-elastic polyurethane adhesives used for bonding wooden flooring, with a particular focus on both domestic (oak) and exotic hardwood species (teak, iroko, wenge, merbau). Given the increasing interest in sustainable construction practices and the growing use [...] Read more.
This research presents a comprehensive evaluation of semi-elastic polyurethane adhesives used for bonding wooden flooring, with a particular focus on both domestic (oak) and exotic hardwood species (teak, iroko, wenge, merbau). Given the increasing interest in sustainable construction practices and the growing use of diverse wood species in flooring systems, this study aimed to assess the mechanical, morphological, and surface properties of adhesive joints under both standard laboratory and thermally aged conditions. Mechanical testing was conducted according to PN-EN ISO 17178 standards and included shear and tensile strength measurements on wood–wood and wood–concrete assemblies. Specimens were evaluated in multiple aging conditions, simulating real-world application environments. Shear strength increased post-aging, with the most notable improvement observed in wenge (21.2%). Tensile strength between wooden lamellas and concrete substrates remained stable or slightly decreased (up to 18.8% in wenge), yet all values stayed above the 1 MPa minimum requirement, confirming structural reliability. Surface properties of the wood species were characterized through contact angle measurements and 3D optical roughness analysis. Teak exhibited the highest contact angle (74.9°) and the greatest surface roughness, contributing to mechanical interlocking despite its low surface energy. Oak and iroko showed high wettability and balanced roughness, supporting strong adhesion. Scanning electron microscopy (SEM) revealed stable adhesive penetration across all species and aging conditions, with no signs of delamination or interfacial failure. The study confirms the suitability of polyurethane adhesives for durable, long-lasting bonding in engineered and solid wood flooring systems, even when using extractive-rich or dimensionally sensitive tropical species. The results emphasize the critical role of surface morphology, wood anatomy, and adhesive compatibility in achieving optimal bond performance. These findings contribute to improved material selection and application strategies in flooring technology. Future research should focus on bio-based adhesive alternatives, chemical surface modification techniques, and in-service performance under cyclic loading and humidity variations to support the development of eco-efficient and resilient flooring systems. Full article
Show Figures

Graphical abstract

17 pages, 912 KB  
Article
The Smart Readiness Indicator as a Conceptual Framework for Sustainable Building Decarbonisation and Digitalisation Governance
by Alessandra Gugliandolo, Luca La Notte, Alessandro Lorenzo Palma and Biagio Di Pietra
Sustainability 2026, 18(3), 1532; https://doi.org/10.3390/su18031532 - 3 Feb 2026
Abstract
The decarbonisation of the construction sector represents a central pillar of sustainable development strategies, contributing simultaneously to climate change mitigation, energy efficiency, energy security, and long-term socio-economic resilience. In this context, the European regulatory framework increasingly recognises the role of digitalisation and smart [...] Read more.
The decarbonisation of the construction sector represents a central pillar of sustainable development strategies, contributing simultaneously to climate change mitigation, energy efficiency, energy security, and long-term socio-economic resilience. In this context, the European regulatory framework increasingly recognises the role of digitalisation and smart technologies in improving building performance beyond static energy efficiency indicators. The Smart Readiness Indicator (SRI), introduced in Energy Performance of Buildings Directive IV (EPBD), is designed to evaluate a building’s ability to optimise energy usage, adapt to the needs of its occupants, and interact intelligently with energy networks through automation and control systems. However, the scientific literature has only partially explored its potential contribution to sustainability-oriented decision-making and decarbonisation governance. This study adopts a conceptual and methodological research approach to investigate the role of the SRI as a sustainability-oriented assessment and governance tool for building decarbonisation. The paper develops a multi-scale analytical framework based on a structured synthesis of the scientific literature, European policy documents and evidence emerging from national SRI test phases. The framework systematically links smart readiness functionalities with digital modelling tools, automation systems, and decarbonisation objectives across building, system, and policy levels. The results highlight that the SRI can be interpreted not only as a descriptive rating scheme, but also as a strategic instrument for assessing sustainability, capable of supporting environmentally, economically, and operationally sustainable decision-making in the built environment. This study contributes to the advancement of sustainability assessment tools that enable the monitoring, governance and long-term decarbonisation of the building stock in line with European climate and sustainability goals by reframing the SRI within a digital and decarbonisation-oriented methodological perspective. Full article
Show Figures

Figure 1

Back to TopTop