Sign in to use this feature.

Years

Between: -

Subjects

remove_circle_outline
remove_circle_outline
remove_circle_outline
remove_circle_outline
remove_circle_outline
remove_circle_outline
remove_circle_outline
remove_circle_outline
remove_circle_outline

Journals

remove_circle_outline
remove_circle_outline
remove_circle_outline
remove_circle_outline
remove_circle_outline
remove_circle_outline
remove_circle_outline
remove_circle_outline
remove_circle_outline
remove_circle_outline
remove_circle_outline
remove_circle_outline
remove_circle_outline
remove_circle_outline
remove_circle_outline

Article Types

Countries / Regions

remove_circle_outline
remove_circle_outline
remove_circle_outline
remove_circle_outline
remove_circle_outline
remove_circle_outline

Search Results (1,058)

Search Parameters:
Keywords = summer stress

Order results
Result details
Results per page
Select all
Export citation of selected articles as:
21 pages, 5128 KB  
Article
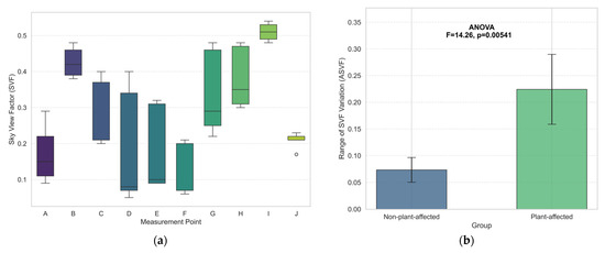
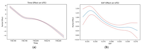
Influence of Vegetation Phenology on Urban Microclimate and Thermal Comfort in Cold Regions: A Case Study of Beiyang Plaza, Tianjin University
by Yaolong Wang, Yueheng Tong, Yi Lei, Rong Chen and Tiantian Huang
Buildings 2026, 16(1), 115; https://doi.org/10.3390/buildings16010115 (registering DOI) - 26 Dec 2025
Viewed by 23
Abstract
Vegetation phenology significantly influences urban microclimate and thermal comfort in cold regions, yet its quantitative impact—specifically the potential of deciduous trees to enhance winter solar access—remains underexplored. This study investigates how seasonal vegetation changes affect thermal conditions in an urban plaza. Field measurements [...] Read more.
Vegetation phenology significantly influences urban microclimate and thermal comfort in cold regions, yet its quantitative impact—specifically the potential of deciduous trees to enhance winter solar access—remains underexplored. This study investigates how seasonal vegetation changes affect thermal conditions in an urban plaza. Field measurements were conducted at Beiyang Plaza, Tianjin University, during the autumn–winter transition. High-precision Sky View Factors (SVF) were extracted from panoramic images using a deep learning-based semantic segmentation model (PSPNet), validated against field observations. The Universal Thermal Climate Index (UTCI) was calculated to assess thermal stress. Results indicate that the leaf-off phase significantly increases SVF, shifting the radiative balance. Areas experiencing phenological changes exhibited a marked improvement in UTCI, effectively alleviating cold stress by maximizing solar gain. Advanced statistical models (ARIMAX and GAM) confirmed that, after controlling for background climatic variations, the positive effect of vegetation phenology on thermal comfort is statistically significant. These findings challenge the traditional focus on summer shading, highlighting the “winter-warming” potential of deciduous trees and providing quantitative evidence for climate-responsive urban design. Full article
(This article belongs to the Section Architectural Design, Urban Science, and Real Estate)
Show Figures

Figure 1

21 pages, 3420 KB  
Article
Sustaining Edible Grass (Rumex patientia L. × Rumex tianschanicus Losinsk.) Through Summer Lethal Stress: Multi-Omics Reveals Shading-Mediated Mitigation of High Light-Aggravated Heat Damage
by Zengyang He, Qinzhuo Zhong, Xinyao Li, Miaofen Chen, Wei Liu, Tao Jiang and Jianfeng Zou
Antioxidants 2026, 15(1), 33; https://doi.org/10.3390/antiox15010033 - 25 Dec 2025
Viewed by 137
Abstract
Edible Grass (EG) is a hybrid vegetable variety valued for its high biomass and protein content, garnering significant interest in recent years for its potential in food, feed, and health product applications. However, in subtropical climates, intense light and high temperatures severely affect [...] Read more.
Edible Grass (EG) is a hybrid vegetable variety valued for its high biomass and protein content, garnering significant interest in recent years for its potential in food, feed, and health product applications. However, in subtropical climates, intense light and high temperatures severely affect the growth and development of Edible Grass (EG), leading to substantial reductions in yield and quality. This study was conducted in the subtropical humid monsoon climate zone of Changsha, Hunan, China, comparing two growth conditions: natural light (CK) and shading treatment (ST). High light-aggravated heat damage under CK significantly reduced EG yield and quality (p < 0.05), with severe cases leading to plant death. and could even lead to plant death in severe cases. Specifically, maximum air and leaf temperatures under CK reached 38.85 °C and 38.14 °C, respectively, well exceeding the plant’s optimal growth range. Shading treatment (ST) effectively alleviated this damage, significantly increasing the net photosynthetic rate, stomatal conductance, and intercellular CO2 concentration, while decreasing leaf temperature and transpiration rate (p < 0.001). The analysis of physiological and biochemical indicators indicates that after ST, the activities of SOD, CAT, and POD in the leaves decreased, while the contents of MDA and H2O2 were significantly lower compared to the CK group (p < 0.001). The transcriptome sequencing results indicate that a total of 8004 DEGs were identified under shading treatment (ST) relative to natural light (CK), with 3197 genes upregulated and 4807 genes downregulated. Significantly enriched Gene Ontology (GO) terms include ‘cell membrane’, ‘extracellular region’, and ‘protein kinase activity’, while significantly enriched KEGG metabolic pathways include ‘plant hormone signal transduction’, ‘photosynthesis–antenna proteins’, and ‘glutathione metabolism’. Compared to CK, the expression of genes associated with oxidative stress (e.g., CAT1, OXR1, APX, GPX) was significantly downregulated in ST, indicating a relief from light-aggravated heat stress. This transcriptional reprogramming was corroborated by metabolomic data, which showed reduced accumulation of key flavonoid compounds, aligning with the downregulation of their biosynthetic genes as well as genes encoding heat shock proteins (e.g., Hsp40, Hsp70, Hsp90). It indicated that plants switch from a ‘ROS stress–high energy defense’ mode to a ‘low oxidative pressure–resource-saving’ mode. Collectively, ST significantly alleviated the physiological damage of forage grasses under heat stress by modulating the processing of endoplasmic reticulum heat stress proteins, plant hormones, and related genes and metabolic pathways, thereby improving photosynthetic efficiency and yield. The findings provide a theoretical basis for optimizing the cultivation management of EG, particularly in subtropical regions, where shade treatment serves as an effective agronomic strategy to significantly enhance the stress resistance and yield of EG. Full article
(This article belongs to the Special Issue Antioxidant Systems in Plants)
Show Figures

Figure 1

18 pages, 3688 KB  
Article
Assessing Artificial Shading and Evaporative Cooling for Enhanced Outdoor Thermal Comfort at the American University of Beirut
by Zahraa Diab, Hadi Kachmar and Nesreen Ghaddar
Sustainability 2025, 17(24), 11365; https://doi.org/10.3390/su172411365 - 18 Dec 2025
Viewed by 176
Abstract
Urban environments, particularly university campuses, are increasingly exposed to thermal discomfort due to the Urban Heat Island (UHI) effect and intense solar radiation. This study evaluates the effectiveness of passive and hybrid cooling strategies, specifically sun-sail shading and mist cooling, in enhancing outdoor [...] Read more.
Urban environments, particularly university campuses, are increasingly exposed to thermal discomfort due to the Urban Heat Island (UHI) effect and intense solar radiation. This study evaluates the effectiveness of passive and hybrid cooling strategies, specifically sun-sail shading and mist cooling, in enhancing outdoor thermal comfort (OTC) in a university courtyard. The Van Dyck courtyard at the American University of Beirut, located on the East Mediterranean coast, was selected due to its heavy use between 10 am and 2 pm during summer, when ambient temperatures ranged between 32 and 36 °C and relative humidity between 21 and 33%. Thermal variations across four seating areas were analyzed using ENVI-met, a high-resolution microscale model validated against on-site data, achieving Mean Absolute Percentage Errors of 4% for air temperature and 5.2% for relative humidity. Under baseline conditions, Physiological Equivalent Temperature (PET) exceeded 58 °C, indicating severe thermal stress. Several mitigation strategies were evaluated, including three shading configurations, two mist-cooling setups, and a combined system. Results showed that double-layer shading reduced PET by 17.1 °C, mist cooling by 1.2 °C, and the combined system by 20.7 °C. Shading minimized radiant heat gain, while mist cooling enhanced evaporative cooling, jointly bringing thermal sensations closer to slightly warm–comfortable conditions. These cooling interventions also have sustainability value by reducing dependence on mechanically cooled indoor spaces and lowering campus air-conditioning demand. As passive or low-energy measures, shading and mist cooling support climate-adaptive outdoor design in heat-stressed Mediterranean environments. Full article
Show Figures

Graphical abstract

26 pages, 2485 KB  
Article
Beyond Subsidies: Economic Performance of Optimized PV-BESS Configurations in Polish Residential Sector
by Tomasz Wiśniewski and Marcin Pawlak
Energies 2025, 18(24), 6615; https://doi.org/10.3390/en18246615 - 18 Dec 2025
Viewed by 277
Abstract
This study examines the economic performance of residential photovoltaic systems combined with battery storage (PV-BESS) under Poland’s net-billing regime for a single-family household without subsidy support in 10-year operational horizon. These insights extend existing European evidence by demonstrating how net-billing fundamentally alters investment [...] Read more.
This study examines the economic performance of residential photovoltaic systems combined with battery storage (PV-BESS) under Poland’s net-billing regime for a single-family household without subsidy support in 10-year operational horizon. These insights extend existing European evidence by demonstrating how net-billing fundamentally alters investment incentives. The analysis incorporates real production data from selected locations and realistic household consumption profiles. Results demonstrate that optimal system configuration (6 kWp PV with 15 kWh storage) achieves 64.3% reduction in grid electricity consumption and positive economic performance with NPV of EUR 599, IRR of 5.32%, B/C ratio of 1.124 and discounted payback period of 9.0 years. The optimized system can cover electricity demand in the summer half-year by over 90% and reduce local network stress by shifting surplus solar generation away from midday peaks. Residential PV-BESS systems can achieve economic efficiency in Polish conditions when properly optimized, though marginal profitability requires careful risk assessment regarding component costs, durability and electricity market conditions. For Polish energy policy, the findings indicate that net-billing creates strong incentives for regulatory instruments that promote higher self-consumption, which would enhance the economic role of residential storage. Full article
Show Figures

Figure 1

27 pages, 4863 KB  
Article
CFD-Based Pre-Evaluation of a New Greenhouse Model for Climate Change Adaptation and High-Temperature Response
by Chanmin Kim, Rackwoo Kim, Heewoong Seok and Jungyu Kim
Agriculture 2025, 15(24), 2614; https://doi.org/10.3390/agriculture15242614 - 18 Dec 2025
Viewed by 218
Abstract
Global warming has intensified heat waves, severely threatening agricultural productivity and food security. In South Korea, heat waves have strengthened since the 1980s, often causing summer cooling demands far exceeding winter heating needs. Controlled-environment horticulture offers a vital alternative to open-field farming, yet [...] Read more.
Global warming has intensified heat waves, severely threatening agricultural productivity and food security. In South Korea, heat waves have strengthened since the 1980s, often causing summer cooling demands far exceeding winter heating needs. Controlled-environment horticulture offers a vital alternative to open-field farming, yet conventional structures such as the Venlo type remain vulnerable to high-temperature stress. This study pre-evaluates the thermal performance of a high-height wide-type greenhouse, developed by the Rural Development Administration, using computational fluid dynamics and compares it with a conventional Venlo-type structure. Simulations under extreme summer conditions (35–45 °C) considered natural ventilation, fogging, fan coil units, and hybrid systems. Thermal indicators, including air and root-zone temperatures, were analyzed to assess crop-sustaining conditions. Results showed that natural ventilation alone failed to maintain suitable environments. The high-height wide-type greenhouse achieved lower and more uniform temperatures than the Venlo type. Fogging and fan coil systems provided moderate cooling, while the hybrid system achieved the greatest reductions. Overall, the high-height wide-type greenhouse, especially when integrated with hybrid cooling, effectively mitigates heat stress and enhances thermal uniformity, providing quantitative guidance for structural selection and cooling-system configuration in greenhouse design under extreme thermal conditions. Full article
Show Figures

Figure 1

11 pages, 1275 KB  
Article
Evaluation of Resting-State Cooling Effectiveness in Wearable Body-Cooling Devices Using Thermophysiological and Psychological Responses
by Hiroki Maru, Takumi Yuasa and Hiroyuki Kanai
Textiles 2025, 5(4), 69; https://doi.org/10.3390/textiles5040069 - 17 Dec 2025
Viewed by 230
Abstract
Heat exposure in summer increases the risk of heat strain during work and rest, highlighting the need for effective cooling strategies. This study evaluated the cooling effectiveness of a fan-cooling jacket (FC) and a thermoelectric neck cooler (NC) under resting conditions in a [...] Read more.
Heat exposure in summer increases the risk of heat strain during work and rest, highlighting the need for effective cooling strategies. This study evaluated the cooling effectiveness of a fan-cooling jacket (FC) and a thermoelectric neck cooler (NC) under resting conditions in a hot and humid environment. Six healthy males completed three trials (no cooling, FC, and NC) in an environmental chamber (35 °C, 70% RH). Thermophysiological responses (mean skin temperature, armpit temperature, sweat volume) and psychological ratings (thermal comfort, wetness sensation) were simultaneously assessed. FC significantly reduced mean skin temperature, attenuated the rise in axillary temperature, and decreased sweat volume while also improving thermal comfort and wetness sensation. In contrast, NC provided only transient improvements in comfort and did not suppress the rise in axillary temperature; wetness sensation deteriorated over time, likely due to its localized and limited cooling area. These findings indicate that, under low-activity conditions, broad-area forced convection cooling is more effective for mitigating heat stress than localized neck cooling. The results highlight the practical utility of fan-cooling garments for rest periods and other low-intensity scenarios. Full article
(This article belongs to the Special Issue Advances in Smart Textiles)
Show Figures

Figure 1

24 pages, 4843 KB  
Article
Quantitative Assessment of Drought Risk in Major Rice-Growing Areas in China Driven by Process-Based Crop Growth Model
by Tao Lin, Hao Ding, Wangyu Chen, Yu Liu and Hao Guo
GeoHazards 2025, 6(4), 85; https://doi.org/10.3390/geohazards6040085 - 17 Dec 2025
Viewed by 280
Abstract
Drought remains one of the most damaging natural hazards to agricultural production and is projected to continue posing substantial risks to food security in the future, particularly in major rice-growing regions. Based on the RCP4.5 and RCP8.5 scenarios under CMIP5, this study used [...] Read more.
Drought remains one of the most damaging natural hazards to agricultural production and is projected to continue posing substantial risks to food security in the future, particularly in major rice-growing regions. Based on the RCP4.5 and RCP8.5 scenarios under CMIP5, this study used a process-based crop growth model to simulate the growth of rice in China in different future periods (short-term (2031–2050), medium-term (2051–2070), and long-term (2071–2090)). We fitted rice vulnerability curves to evaluate the rice drought risk quantitatively according to the simulated water stress (WS) and yield. The results showed that the drought hazard in major rice-growing areas in China (MRAC) were low in the middle and high in the north and south. The areas without rice yield loss will decline in the future, while the areas with a high yield loss will increase, especially in southwestern China and the middle and lower Yangtze Plain (MLYP). Owing to the markedly increased evaporative demand and the reduced moisture transport caused by a weakening East Asian summer monsoon, northeastern China will be a high-risk area in the future, with the expected yield loss rates in scenarios RCP4.5 and RCP8.5 being 39.75% and 45.5%, respectively. In addition, under the RCP8.5 scenario, the yield loss rate of different return periods in south China will exceed 80%. A significant gap between rice supply and demand affected by drought is expected in the short-term future. The gaps will be 67,770 kt and 78,110 kt under the RCP4.5-SSP2 and RCP8.5-SSP3 scenarios, respectively. The methodology developed in this paper can support the quantitative assessment of drought loss risk in different scenarios using crop growth models. In the context of the future expansion of Chinese grain demand, this study can serve as a reference to improve the capacity for regional drought risk prevention and ensure regional food security. Full article
Show Figures

Figure 1

16 pages, 1256 KB  
Review
Bacterioruberin (C50 Carotenoid): Nutritional and Biomedical Potential of a Microbial Pigment
by Rosa María Martínez-Espinosa
Nutrients 2025, 17(24), 3899; https://doi.org/10.3390/nu17243899 - 12 Dec 2025
Viewed by 332
Abstract
Haloarchaea are moderate and extreme halophilic microorganisms inhabiting hypersaline environments characterised by high ionic and oxidative stress due to extremely high salt concentrations and high incidence of UV radiation (mainly in spring and summer). To be alive and metabolically active under these harsh [...] Read more.
Haloarchaea are moderate and extreme halophilic microorganisms inhabiting hypersaline environments characterised by high ionic and oxidative stress due to extremely high salt concentrations and high incidence of UV radiation (mainly in spring and summer). To be alive and metabolically active under these harsh conditions, haloarchaeal strains have developed molecular adaptations, like hyperpigmentation. Among the carotenoids produced by haloarchaeal species, the C50 carotenoid called bacterioruberin (BR) and its derivatives, monoanhydrobacterioruberin and bisanhydrobacterioruberin, are the predominant natural pigments produced. This review aims to highlight the most significant characteristics of BR and their derivatives, as well as a description of the biological activities already reported that could provide benefits for human health, including antitumoral, immunomodulatory, antioxidant, skin protectant, antilipidemic, antiglycemic, and anti-atrophic effects, in addition to showing potential positive effects on sperm cells cryopreservation. Overall, C50 carotenoids are fascinating natural biomolecules that could be utilised in processed food and nutraceuticals or as tools in the context of new strategies and/or pharmaceutical formulations to combat various human diseases or metabolic disorders. Full article
(This article belongs to the Special Issue Dietary Carotenoids for Human Health)
Show Figures

Figure 1

33 pages, 7724 KB  
Article
Energy Partitioning and Air Temperature Anomalies Above Urban Surfaces: A High-Resolution PALM-4U Study
by Daniela Cava, Luca Mortarini, Tony Christian Landi, Oxana Drofa, Giorgio Veratti, Edoardo Fiorillo, Umberto Giostra and Daiane de Vargas Brondani
Atmosphere 2025, 16(12), 1401; https://doi.org/10.3390/atmos16121401 - 12 Dec 2025
Viewed by 214
Abstract
Urban heat islands intensify heat stress and degrade air quality in densely built areas, yet the physical processes governing near-surface thermal variability remain poorly quantified. This study applies the coupled MOLOCH and PALM model system 6.0 (PALM-4U) over Bologna (Italy) during a summer [...] Read more.
Urban heat islands intensify heat stress and degrade air quality in densely built areas, yet the physical processes governing near-surface thermal variability remain poorly quantified. This study applies the coupled MOLOCH and PALM model system 6.0 (PALM-4U) over Bologna (Italy) during a summer 2023 heatwave to resolve meter-scale atmospheric dynamics within the Urban Canopy Layer and Roughness Sublayer at 2 m horizontal resolution. The coupled configuration was validated against in situ meteorological observations and Landsat-8 LST data, showing improved agreement in air temperature and wind speed compared to standalone mesoscale simulations. Results reveal pronounced diurnal and vertical variability of wind speed, turbulent kinetic energy, and friction velocity, with maxima between two/three times the median building height (hc). Distinct surface-dependent contrasts emerge: asphalt and roofs act as strong daytime heat sources (Bowen ratio βasphalt ≈ 4.8) and nocturnal heat reservoirs at pedestrian level (z ≈ 0.07 hc), while vegetation sustains daytime latent heat fluxes (βvegetation ≈ 0.6÷0.8) and cooler surface and near-surface air (Temperature anomaly of surface ΔTs ≈ −9 °C and air ΔTair ≈ −0.3 °C). Thermal anomalies decay with height, vanishing above z ≈ 2.5 hc due to turbulent mixing. These findings provide insight into fine-scale energy exchanges driving intra-urban thermal heterogeneity and support climate-resilient urban design. Full article
(This article belongs to the Section Biosphere/Hydrosphere/Land–Atmosphere Interactions)
Show Figures

Figure 1

16 pages, 738 KB  
Article
Effect of Atmospheric Temperature Variations on Glycemic Patterns of Patients with Type 1 Diabetes: Analysis as a Function of Different Therapeutic Treatments
by Alessandra Mascitelli, Stefano Tumini, Piero Chiacchiaretta, Eleonora Aruffo, Lorenza Sacrini, Maria Alessandra Saltarelli and Piero Di Carlo
Int. J. Environ. Res. Public Health 2025, 22(12), 1850; https://doi.org/10.3390/ijerph22121850 - 11 Dec 2025
Viewed by 438
Abstract
An overview of seasonal variations in glycaemic patterns in children and young adults with type 1 diabetes has been addressed in a previous work, which paved the way for an in-depth study involving not only traditional Multiple Dose Injection (MDI) therapy, but also [...] Read more.
An overview of seasonal variations in glycaemic patterns in children and young adults with type 1 diabetes has been addressed in a previous work, which paved the way for an in-depth study involving not only traditional Multiple Dose Injection (MDI) therapy, but also a comparative analysis with the use of Advanced Hybrid Closed-Loop (AHCL) insulin pumps. The widespread use of Flash Glucose Monitoring (FGM) and Continuous Glucose Monitoring (CGM) systems, as well as dedicated platforms for synchronizing and storing CGM reports, has facilitated an efficient approach to analyzing glycaemic patterns. The effect of environmental parameters on glycemic trends undoubtedly has a clinical relevance, which however can be appropriately managed by knowing the responses in patients treated with different therapeutic approaches. In this sense, it is possible to evaluate how the glycemic trend in diabetic patients, in relation to external temperatures, responds differently to therapies. In this work, the response, in terms of glucose level, in diabetic patients was analyzed, according to the different therapeutic approaches and in relation to variations in external temperature. For the same period of the previous work (one year: Autumn 2022–Summer 2023), seasonal variations in CGM metrics (i.e., Time In Range—TIR, Time Above Range—TAR, Time Below Range—TBR and Coefficient of Variation—CV) were analyzed. The results show a better metabolic control, linked to the effect of the algorithm on the trend of glycaemia. However, the analysis focused on the heatwave of July 2023 highlights the role of extreme temperatures as a stress factor in the insulin pumps performance. A further focus was carried out on the comparison of glycaemic patterns during the school and non-school period for all patients until 21 years old. Results suggest that during the school period, glycaemic patterns, in patients treated with MDI, show a greater onset of hyperglycaemia. From all that has emerged, it appears clear that structured education on diabetes self-management for patients and their families is fundamental and must take into account multiple factors (type of therapy, daily activities, atmospheric temperature) in order to keep their effects under control. Full article
(This article belongs to the Section Environmental Health)
Show Figures

Figure 1

25 pages, 334 KB  
Article
Exploring the Relationship Between Energy Poverty and Health: A Pilot Study in Valencia
by Belén Costa-Ruiz, Maite Ferrando-García, Elena Rocher and Pilar Jordà
Healthcare 2025, 13(24), 3238; https://doi.org/10.3390/healthcare13243238 - 10 Dec 2025
Viewed by 271
Abstract
Background: Energy poverty has emerged as a major societal challenge in Europe. Objectives: This study provides evidence on how different dimensions of energy poverty affect specific health outcomes, informing both theoretical understanding and intervention development to address this critical public health [...] Read more.
Background: Energy poverty has emerged as a major societal challenge in Europe. Objectives: This study provides evidence on how different dimensions of energy poverty affect specific health outcomes, informing both theoretical understanding and intervention development to address this critical public health issue. Methods: We conducted a cross-sectional analysis using baseline data from the Valencia pilot of the WELLBASED project, examining associations between energy poverty dimensions and health outcomes among 322 vulnerable participants in Valencia, Spain (69.6% women, mean age 48.8 years). Data were collected through validated instruments, including EQ-5D-5L, DASS-21, and SF-12, alongside standardised energy poverty indicators developed by the Energy Poverty Advisory Hub (EPAH). Results: Energy poverty prevalence was notably high, with 69.9% of participants unable to maintain adequate warmth during winter and 72.4% experiencing cooling difficulties during summer. Statistical analyses revealed significant associations between energy poverty indicators and health outcomes. For example, mental health impacts were particularly pronounced, with thermal inadequacy associated with depression, anxiety, and stress (effect sizes eta2 = 0.042–0.126). Physical health showed condition-specific patterns: respiratory conditions linked to heating inadequacy, cardio-vascular conditions to cooling inadequacy, and musculoskeletal conditions to utility bill arrears. Participants with arrears on energy bills reported significantly higher chronic disease burden compared to those without arrears (3.08 vs. 2.40, p = 0.010). Conclusions: These findings suggest that addressing energy poverty is essential for health equity strategies. Urban contexts with Mediterranean climate patterns present unique challenges, re-quiring year-round interventions that address both winter heating and summer cooling, moving beyond the traditional cold-weather focus. Full article
21 pages, 7118 KB  
Article
The Cooling Effects of Greening Strategies Within High-Density Urban Built-Up Areas in Coastal Slope Terrain
by Ying Zhang, Xulan Li, Shiyu Liu, Zhike Liu and Yanhua Li
Sustainability 2025, 17(24), 11054; https://doi.org/10.3390/su172411054 - 10 Dec 2025
Viewed by 198
Abstract
The intensification of urban heat islands in high-density coastal slope areas poses significant challenges to sustainable development. From the perspective of sustainable urban design, this study investigates adaptive greening strategies to mitigate thermal stress, aiming to elucidate the key microclimate mechanisms under the [...] Read more.
The intensification of urban heat islands in high-density coastal slope areas poses significant challenges to sustainable development. From the perspective of sustainable urban design, this study investigates adaptive greening strategies to mitigate thermal stress, aiming to elucidate the key microclimate mechanisms under the combined influence of sea breezes and complex terrain to develop sustainable solutions that synergistically improve the thermal environment and energy efficiency. Combining field measurements with ENVI-met numerical simulations, this research systematically evaluates the thermal impacts of various greening strategies, including current conditions, lawns, shrubs, and tree configurations with different canopy coverages and leaf area indexes. During summer afternoon heat episodes, the highest temperatures within the building-dense sites were recorded in unshaded open areas, reaching 31.6 °C with a UTCI of 43.95 °C. While green shading provided some cooling, the contribution of natural ventilation was more significant (shrubs and lawns reduced temperatures by 0.23 °C and 0.15 °C on average, respectively, whereas various tree planting schemes yielded minimal reductions of only 0.012–0.015 °C). Consequently, this study proposes a climate-adaptive sustainable design paradigm: in areas aligned with the prevailing sea breeze, lower tree coverage should be maintained to create ventilation corridors that maximize passive cooling through natural wind resources; conversely, in densely built areas with continuous urban interfaces, higher tree coverage is essential to enhance shading and reduce solar radiant heat loads. Full article
Show Figures

Figure 1

16 pages, 5127 KB  
Article
The Effect of ‘Roughness’ on Upwelling North of Cape Town in Austral Summer
by Mark R. Jury
Oceans 2025, 6(4), 83; https://doi.org/10.3390/oceans6040083 - 9 Dec 2025
Viewed by 179
Abstract
Cape Town, South Africa, experiences coastal upwelling during austral summer. In this study, the effects of kinematic and thermal ‘roughness’ on wind stress are analyzed using 5–25 km resolution multi-satellite and coupled reanalysis datasets in the period 2010–2024. Average conditions for austral summer [...] Read more.
Cape Town, South Africa, experiences coastal upwelling during austral summer. In this study, the effects of kinematic and thermal ‘roughness’ on wind stress are analyzed using 5–25 km resolution multi-satellite and coupled reanalysis datasets in the period 2010–2024. Average conditions for austral summer (December–February) are calculated to identify east–west gradients in sensible heat flux, wave height, and equatorward winds and to assess their consequences for the drag coefficient, wind-driven Ekman transport, and entrainment over the shelf from 16.9 to 18.7° E, north of Cape Town (33.7° S). Statistical and numerical outcomes are compared for austral summer and during active coastal upwelling in January 2018 with chlorophyll concentrations > 3 mg/m3. A subtropical anticyclone generated shallow equatorward winds next to a wind shadow north of Cape Town. Sharp cross-shore gradients in momentum flux were amplified by shoreward reductions in sensible heat flux and wave height, which suppressed the drag coefficient 10-fold. The inclusion of kinematic and thermal roughness in wind stress calculations results in a higher average cyclonic curl (−2.4 × 10−6 N/m3), which translates into vertical entrainment > 3 m/day at 33.7° S, 18° E. The research links coastal upwelling leeward of a mountainous cape with cross-shore gradients in air–sea fluxes that support recirculation and phytoplankton blooms during austral summer. Full article
Show Figures

Figure 1

29 pages, 8768 KB  
Article
Response of Vegetation to Extreme Climate in the Yellow River Basin: Spatiotemporal Patterns, Lag Effects, and Scenario Differences
by Shilun Zhou, Feiyang Wang, Ruiting Lyu, Maosheng Liu and Ning Nie
Remote Sens. 2025, 17(24), 3967; https://doi.org/10.3390/rs17243967 - 8 Dec 2025
Viewed by 423
Abstract
Extreme climates pose increasing threats to ecosystems, particularly in ecologically fragile regions such as the Yellow River Basin (YRB). Leaf area index (LAI) reflects vegetation response to climatic stressors, yet spatiotemporal dynamics of such responses under future climate scenarios remain poorly understood. This [...] Read more.
Extreme climates pose increasing threats to ecosystems, particularly in ecologically fragile regions such as the Yellow River Basin (YRB). Leaf area index (LAI) reflects vegetation response to climatic stressors, yet spatiotemporal dynamics of such responses under future climate scenarios remain poorly understood. This study examined LAI responses to extreme climatic factors across the YRB from 2025 to 2065, utilizing Coupled Model Intercomparison Project Phase 6 (CMIP6) outputs under three Shared Socioeconomic Pathways (SSP) scenarios. Partial least squares regression was performed using historical consistency-validated and future scenario LAI data alongside 26 extreme climate indices to identify extreme climate impacts on vegetation dynamics. Time-lag and cumulative effect analyses using Pearson correlation further quantified the potential impacts of extreme climate on future vegetation dynamics. Results indicate that the regionally averaged LAI in the YRB exhibits a consistent increasing trend under all three SSP scenarios, with linear rates of 0.0016–0.0020 yr−1 and the highest values under SSP5-8.5, accompanied by clear scenario-dependent spatial differences in LAI distribution and vegetation response to extreme climates, particularly in the lag and cumulative effects that depend on local hydro-climatic conditions. Partial least squares regression results identified annual total wet-day precipitation, frost days, growing season length, summer days, and ice days as the dominant extreme climate indices regulating LAI variability. In the arid and semiarid Loess Plateau regions, relatively long lag and cumulative effects imply vegetation vulnerability to delayed or prolonged climatic stress, necessitating enhanced soil and water conservation practices. These findings support region-specific ecological conservation and climate mitigation strategies for the YRB and other ecologically vulnerable watersheds. Full article
(This article belongs to the Section Ecological Remote Sensing)
Show Figures

Graphical abstract

30 pages, 14942 KB  
Article
Study on the Retrieval of Leaf Area Index for Summer Maize Based on Hyperspectral Data
by Wenping Huang, Huixin Liu, Tian Zhang and Liusong Yang
AgriEngineering 2025, 7(12), 418; https://doi.org/10.3390/agriengineering7120418 - 4 Dec 2025
Viewed by 310
Abstract
Global climate change has led to frequent extreme weather events such as high temperatures and droughts, severely threatening the heat and water balance during the growing season of summer maize. To adapt to these changes, adjusting planting dates to optimize crop development has [...] Read more.
Global climate change has led to frequent extreme weather events such as high temperatures and droughts, severely threatening the heat and water balance during the growing season of summer maize. To adapt to these changes, adjusting planting dates to optimize crop development has become a key agronomic measure for mitigating climate stress and ensuring yield. Against this backdrop, precise monitoring of leaf area index (LAI) is crucial for evaluating the effectiveness of planting date regulation and achieving precision management. To reveal the impact of planting date variations on summer maize LAI inversion and address the limitations of single data sources in comprehensively reflecting complex environmental conditions affecting crop growth, this study examined summer maize at different planting dates across the North China Plain. Through stepwise regression analysis (SRA), multiple vegetation indices (VIs) and 0–2nd order fractional order derivatives (FODs), spectral parameters were dynamically screened. These were then integrated with effective accumulated temperature (EAT) to optimize model inputs. Partial Least Squares Regression (PLSR), Random Forest (RF), Support Vector Regression (SVR), and Adaptive Boosting Regression (AdaBoot) algorithms were employed to construct LAI inversion models for summer maize across different planting dates and mixed planting dates. Results indicate that, compared to empirical VIs and “tri-band” parameters, randomly selected dual-band combination VIs exhibit the strongest correlation with summer maize LAI. Key bands identified through SRA screening concentrated in the 0.7–1.2 order range, primarily distributed across the red edge and near-infrared bands. Multi-feature models incorporating EAT significantly improved retrieval accuracy compared to single-feature models. Optimal models and feature combinations varied across planting dates. Overall, the VIs + EAT combination exhibited the highest stability across all models. Ensemble learning algorithms RF and AdaBoost performed exceptionally well, achieving average R2 values of 0.93 and 0.92, respectively. The model accuracy for the 20-day delayed planting (S4) decreased significantly, with an average R2 of 0.62, while the average R2 for other planting dates exceeded 0.90. This indicates that the altered environmental conditions during the later growth stages of LAI due to delayed planting hindered LAI estimation. This study provides an effective method for estimating summer maize LAI across different planting dates under climate change, offering scientific basis for optimizing adaptive cultivation strategies for maize in the North China Plain. Full article
(This article belongs to the Section Remote Sensing in Agriculture)
Show Figures

Figure 1

Back to TopTop