Sign in to use this feature.

Years

Between: -

Subjects

remove_circle_outline
remove_circle_outline
remove_circle_outline
remove_circle_outline
remove_circle_outline
remove_circle_outline
remove_circle_outline
remove_circle_outline
remove_circle_outline

Journals

Article Types

Countries / Regions

Search Results (76)

Search Parameters:
Keywords = sum-table

Order results
Result details
Results per page
Select all
Export citation of selected articles as:
25 pages, 45647 KB  
Article
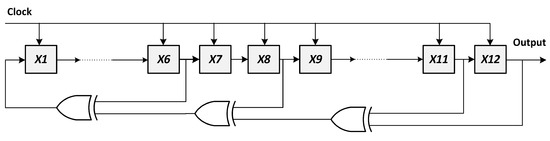
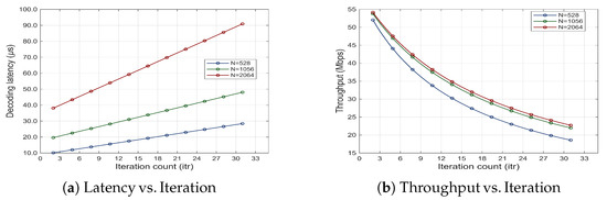
A Novel FEC Implementation for VSAT Terminals Using High-Level Synthesis
by Najmeh Khosroshahi, Ron Mankarious and Mohammad Reza Soleymani
Aerospace 2026, 13(2), 155; https://doi.org/10.3390/aerospace13020155 - 6 Feb 2026
Viewed by 188
Abstract
This paper presents a hardware-efficient field-programmable gate array (FPGA) implementation of a layered two-dimensional corrected normalized min-sum (2D-CNMS) decoder for quasi-cyclic low-density parity-check (QC-LDPC) codes in very small aperture terminal (VSAT) satellite communication systems. The decoder is described in C++ and synthesized using [...] Read more.
This paper presents a hardware-efficient field-programmable gate array (FPGA) implementation of a layered two-dimensional corrected normalized min-sum (2D-CNMS) decoder for quasi-cyclic low-density parity-check (QC-LDPC) codes in very small aperture terminal (VSAT) satellite communication systems. The decoder is described in C++ and synthesized using the Xilinx Vitis high-level synthesis (HLS) 2025 (AMD Xilinx, San Jose, CA, USA) tool, and then packaged and integrated as an intellectual property (IP) core within the Vivado Design Suite 2024 (AMD Xilinx, San Jose, CA, USA), enabling rapid prototyping and portability across FPGA platforms. Unlike conventional normalized min-sum (NMS) and two-dimensional normalized min-sum (2D-NMS) architectures, the proposed 2D-CNMS scheme employs dyadic, multiplier-free normalization combined with two-level magnitude correction, achieving near sum-product performance with reduced complexity and latency. The design is implemented on a Zynq UltraScale+ multiprocessor system-on-chip (MPSoC) (AMD Xilinx, San Jose, CA, USA) and supports real-time operation with a throughput of 29–41 Mbps at 100 MHz, while using only 9.6–22.4 k look-up tables (LUTs), 2.1–5.9 k flip-flops (FFs), and no digital signal processing (DSP) slices or block random-access memories (BRAMs). Bit-error-rate (BER) simulations over an additive white Gaussian noise (AWGN) channel show no error floor down to 108. These results demonstrate that the proposed HLS-based 2D-CNMS IP core provides a resource-efficient, high-performance LDPC decoding solution as compared with existing LDPC implementation approaches. This LDPC solution targets performance enhancement in wireless communication systems and has been deployed on a multi-frequency time-division multiple-access (MF-TDMA) satellite link to assess its overall behavior, demonstrating improved performance with reduced resource usage. Full article
(This article belongs to the Special Issue Advanced Satellite Communications for Engineers and Scientists)
Show Figures

Figure 1

24 pages, 6146 KB  
Article
Feasibility of Conditional Tabular Generative Adversarial Networks for Ecologically Plausible Synthetic River Water-Quality Data: A Statistical and Ecological Similarity Assessment
by Orhan Ibram, Luminita Moraru, Simona Moldovanu, Catalina Maria Topa, Catalina Iticescu and Puiu-Lucian Georgescu
Water 2026, 18(2), 214; https://doi.org/10.3390/w18020214 - 14 Jan 2026
Viewed by 226
Abstract
Reliable biological datasets, especially those integrating biotic indices such as the Saprobic Index, are scarce, limiting machine and deep learning applications in aquatic ecosystem assessments. This study evaluates Conditional Tabular Generative Adversarial Networks (CTGANs) for generating synthetic datasets that combine physico-chemical parameters with [...] Read more.
Reliable biological datasets, especially those integrating biotic indices such as the Saprobic Index, are scarce, limiting machine and deep learning applications in aquatic ecosystem assessments. This study evaluates Conditional Tabular Generative Adversarial Networks (CTGANs) for generating synthetic datasets that combine physico-chemical parameters with a biological index (Saprobic Index) from multiple monitoring stations in the lower Danube River. Beyond univariate distributional agreement, we assess whether ecologically meaningful multivariate relationships are preserved in the synthetic tables. To support this, we propose an ecology-oriented validation workflow that combines distributional tests with correlation structure and clustering diagnostics across stations. Real monitoring datasets were statistically modelled and recreated using CTGANs, then qualitatively assessed for realism. Comparisons between synthetic and real data employed box plots, Wilcoxon rank-sum tests, correlation matrices, and K-means clustering across stations. Stable variables, including pH, total dissolved solids, and chemical oxygen demand, were well replicated, showing no significant distributional differences (p > 0.05). Conversely, dynamic parameters such as dissolved oxygen, total nitrogen, and suspended solids exhibited notable discrepancies (p < 0.05). Correlation analyses indicated that several strong associations present in the observed data (e.g., total nitrogen–nitrate and total nitrogen–electrical conductivity) were substantially weaker in the synthetic dataset. Overall, a CTGAN can reproduce several marginal patterns but may fail to preserve key ecological linkages, which constrains its use in ecological relationship-dependent inference. While promising for exploratory modelling and general trend analysis, synthetic data should be applied cautiously for studies involving seasonally influenced, biologically significant parameters. Full article
Show Figures

Figure 1

16 pages, 706 KB  
Article
Dog Owners Exhibit Better Diet Quality but Similar Physical Activity Compared to Non-Owners: A Case-Control Study
by Konstantinos Lazaridis Margaritis, Marilena Perantonaki, Katerina Pyrga, Eleni C. Pardali, Dimitrios Poulimeneas, Dimitrios G. Goulis, Maria Tsigga and Maria G. Grammatikopoulou
Nutrients 2026, 18(1), 78; https://doi.org/10.3390/nu18010078 - 26 Dec 2025
Viewed by 670
Abstract
Introduction: “The dog is a man’s best friend” and research has showed that this idea is extended beyond the degree of loyalty. Dog ownership has been linked to several positive health outcomes for the owner. The aim of the present cross-sectional case–control [...] Read more.
Introduction: “The dog is a man’s best friend” and research has showed that this idea is extended beyond the degree of loyalty. Dog ownership has been linked to several positive health outcomes for the owner. The aim of the present cross-sectional case–control study was to assess differences in the physical activity level (PAL), body composition, quality of life (QoL), and diet quality and dietary knowledge between dog owners and non-owners. Methods: A total of 55 dog owners and an equal amount of non-dog owners (all aged between 18 and 60 years old) formed the case and control groups, respectively. Basic anthropometric measurements were performed, including body fat (BF) and diet, assessed with the Mediterranean Diet Score (MedDietScore) and the Eating Assessment Table (EAT). Physical activity was recorded for 3 consecutive days using activity monitors. QoL was evaluated using the brief version of the World Health Organization QoL (WHOQOL-BREF) tool. Results: The two groups demonstrated a similar PAL, but lower BF% (p = 0.009), hip circumference (p < 0.001), triceps (p = 0.012), and subscapular skinfolds (p = 0.003) were recorded among dog owners. The EAT score was greater among dog owners (p = 0.0023), indicating improved dietary intake and knowledge, even after adjustment for education attained and BMI (p = 0.026). On the other hand, greater adherence to the Mediterranean diet was exhibited among those not having dogs (p = 0.018). Regarding dog measurements and their owners’ anthropometry, dog neck circumference was negatively correlated to the owners’ biceps and triceps skinfolds (r = −0.327, p = 0.016; r = −0.320, p = 0.018, respectively). Additionally, dog breed size was negatively correlated to the owners’ triceps skinfold (r = −0.325, p = 0.015), sum of skinfolds (r = −0.311, p = 0.021), hip circumference (r = −0.341, p = 0.011), body fat (r = −0.357, p = 0.007), and fat mass index (r = −0.307, p = 0.023). Conclusions: Dog ownership is associated with improved body composition and smaller skinfold thickness at specific body sites, as well as with a more health-conscious lifestyle, including better diet quality and knowledge. Full article
Show Figures

Graphical abstract

54 pages, 5238 KB  
Article
Leveraging Sentinel-2 Data and Machine Learning for Drought Detection in India: The Process of Ground Truth Construction and a Case Study
by Shubham Subhankar Sharma, Jit Mukherjee and Fabio Dell’Acqua
Remote Sens. 2025, 17(18), 3159; https://doi.org/10.3390/rs17183159 - 11 Sep 2025
Cited by 3 | Viewed by 1970
Abstract
Droughts significantly impact agriculture, water resources, and ecosystems. Their timely detection is essential for implementing effective mitigation strategies. This study explores the use of multispectral Sentinel-2 remote sensing indices and machine learning techniques to detect drought conditions in three distinct regions of India, [...] Read more.
Droughts significantly impact agriculture, water resources, and ecosystems. Their timely detection is essential for implementing effective mitigation strategies. This study explores the use of multispectral Sentinel-2 remote sensing indices and machine learning techniques to detect drought conditions in three distinct regions of India, such as Jodhpur, Amravati, and Thanjavur, during the Rabi season (October–April). Twelve remote sensing indices were studied to assess different aspects of vegetation health, soil moisture, and water stress, and their possible joint use and influence as indicators of regional drought events. Reference data used to define drought conditions in each region were primarily sourced from official government drought declarations and regional and national news publications, which provide seasonal maps of drought conditions across the country. Based on this information, a district vs. year (3 × 10) ground truth is created, indicating the presence or absence of drought (Drought/No Drought) for each region across the ten-year period. Using this ground truth table, we extended the remote sensing dataset by adding a binary drought label for each observation: 1 for “Drought” and 0 for “No Drought”. The dataset is organized by year (2016–2025) in a two-dimensional format, with indices as columns and observations as rows. Each observation represents a single measurement of the remote sensing indices. This enriched dataset serves as the foundation for training and evaluating machine learning models aimed at classifying drought conditions based on spectral information. The resultant remote sensing dataset was used to predict drought events through various machine learning models, including Random Forest, XGBoost, Bagging Classifier, and Gradient Boosting. Among the models, XGBoost achieved the highest accuracy (84.80%), followed closely by the Bagging Classifier (83.98%) and Random Forest (82.98%). In terms of precision, Bagging Classifier and Random Forest performed comparably (82.31% and 81.45%, respectively), while XGBoost achieved a precision of 81.28%. We applied a seasonal majority voting strategy, assigning a final drought label for each region and Rabi season based on the majority of predicted monthly labels. Using this method, XGBoost and Bagging Classifier achieved 96.67% accuracy, precision, and recall, while Random Forest and Gradient Boosting reached 90% and 83.33%, respectively, across all metrics. Shapley Additive Explanation (SHAP) analysis revealed that Normalized Multi-band Drought Index (NMDI) and Day of Season (DOS) consistently emerged as the most influential features in determining model predictions. This finding is supported by the Borda Count and Weighted Sum analysis, which ranked NMDI, and DOS as the top feature across all models. Additionally, Red-edge Chlorophyll Index (RECI), Normalized Difference Water Index (NDWI), Normalized Difference Moisture Index (NDMI), and Ratio Drought Index (RDI) were identified as important features contributing to model performance. These features help reveal the underlying spatiotemporal dynamics of drought indicators, offering interpretable insights into model decisions. To evaluate the impact of feature selection, we further conducted a feature ablation study. We trained each model using different combinations of top features: Top 1, Top 2, Top 3, Top 4, and Top 5. The performance of each model was assessed based on accuracy, precision, and recall. XGBoost demonstrated the best overall performance, especially when using the Top 5 features. Full article
Show Figures

Figure 1

14 pages, 573 KB  
Article
Special Generation of Random Graphs and Statistical Study of Some of Their Invariants
by Boris Melnikov and Bowen Liu
Mathematics 2025, 13(12), 1904; https://doi.org/10.3390/math13121904 - 6 Jun 2025
Cited by 1 | Viewed by 897
Abstract
In this paper, we generate random graphs for a specific area, namely, models of real communication networks. We propose a method that determines the “best” invariant; the corresponding basic algorithm is as follows. For the generated set of graphs, we calculate the numerical [...] Read more.
In this paper, we generate random graphs for a specific area, namely, models of real communication networks. We propose a method that determines the “best” invariant; the corresponding basic algorithm is as follows. For the generated set of graphs, we calculate the numerical values of each of the pre-selected invariants (i.e., indexes of Graovac–Ghorbani, Randic̀, Wiener, global clustering coefficients and the vector of second-order degrees). For all graphs, we arrange these numerical values in descending order, after which, for each of the 10 pairs of invariants, we calculate the rank correlation of these orders; for such calculations, we use 5 different variants of rank correlation algorithms (i.e., usual pair correlation, Spearman’s algorithm, Kendall’s algorithm and its improved version, and the algorithm proposed by the authors). In such a way, we get 10 pairs of rank correlation values, then we arrange them as the values of 10 independent elements of the 5 × 5 table (rows and columns of this table correspond to the 5 invariants under consideration). If the rank correlation values are negative, we record the absolute value of this value in the table. The basic idea is that the “most independent” invariant of the graph gets the minimum sum when summing 4 values of its row, i.e., less than for other invariants (other rows). For our subject area, we obtained the same result for 5 different variants of calculating the rank correlation: the value obtained for the vector of second-order degrees is significantly better than all the others, and among the usual invariants, the global clustering coefficients invariant is significantly better than others ones. This fact corresponds to our previous calculations, in which we ordered the graph invariants according to completely different algorithms. Full article
(This article belongs to the Special Issue Graph Theory and Applications, 2nd Edition)
Show Figures

Figure 1

16 pages, 2426 KB  
Article
Seasonal Distribution of Microbial Community and n-Alkane Functional Genes in Diesel-Contaminated Groundwater: Influence of Water Table Fluctuation
by Xuefeng Xia, Wenjuan Jia, Kai Wang and Aizhong Ding
Water 2025, 17(11), 1710; https://doi.org/10.3390/w17111710 - 4 Jun 2025
Viewed by 846
Abstract
Water table fluctuation alters environment properties and n-alkane transformation, leading to shifts in the groundwater microbial community and functions. A diesel-contaminated aquifer column experiment of seasonal water table fluctuation was designed to explore the mechanisms. Temporal changes in geochemical parameters, n-alkane concentration, bacterial [...] Read more.
Water table fluctuation alters environment properties and n-alkane transformation, leading to shifts in the groundwater microbial community and functions. A diesel-contaminated aquifer column experiment of seasonal water table fluctuation was designed to explore the mechanisms. Temporal changes in geochemical parameters, n-alkane concentration, bacterial community and functional gene composition were investigated. The results showed that water table fluctuation accelerated the depletion of the diesel n-alkane leakage point. Owing to the variations in the water table, the electron donors (dissolved organic carbon) and electron acceptors (dissolved oxygen, nitrate and sulfate) underwent regular changes, and the bacterial community structure was altered. Dissolved oxygen was the major parameter correlating with the abundance of aerobic functional genes (the sum of the alk_A, alk_R and alk_P) and was beneficial for enhancing the aerobic biodegradation function potential of n-alkanes. However, the static retention of the water table at the highest level inducing water saturation and hypoxia was the critical factor influencing the abundance of anaerobic functional genes (the sum of assA and mcrA) and was favorable for the anaerobic biodegradation function potential of n-alkane. Overall, this study links seasonal water table dynamics to n-alkane biodegradation function potential in aquifers, and suggests that the quality of recharge water, which impacts microbial community assembly and function, should be considered. Full article
(This article belongs to the Special Issue Application of Bioremediation in Groundwater and Soil Pollution)
Show Figures

Figure 1

39 pages, 7591 KB  
Article
A Hybrid Multi-Strategy Differential Creative Search Optimization Algorithm and Its Applications
by Yuanyuan Zhang, Longquan Yong, Yijia Chen, Jintao Yang and Mengnan Zhang
Biomimetics 2025, 10(6), 356; https://doi.org/10.3390/biomimetics10060356 - 1 Jun 2025
Viewed by 987
Abstract
To address the issues of uneven initial distribution and limited search accuracy with the traditional divergent quantum-inspired differential search (DCS) algorithm, a hybrid multi-strategy variant, termed DQDCS, is proposed. This improved version overcomes these limitations by integrating the refined set strategy and clustering [...] Read more.
To address the issues of uneven initial distribution and limited search accuracy with the traditional divergent quantum-inspired differential search (DCS) algorithm, a hybrid multi-strategy variant, termed DQDCS, is proposed. This improved version overcomes these limitations by integrating the refined set strategy and clustering process for population initialization, along with the double Q-learning model to balance exploration and exploitation This enhanced version replaces the conventional pseudo-random initialization with a refined set generated through a clustering process, thereby significantly improving population diversity. A novel position update mechanism is introduced based on the original equation, enabling individuals to effectively escape from local optima during the iteration process. Additionally, the table reinforcement learning model (double Q-learning model) is integrated into the original algorithm to balance the probabilities between exploration and exploitation, thereby accelerating the convergence towards the global optimum. The effectiveness of each enhancement is validated through ablation studies, and the Wilcoxon rank-sum test is employed to assess the statistical significance of performance differences between DQDCS and other classical algorithms. Benchmark simulations are conducted using the CEC2019 and CEC2022 test functions, as well as two well-known constrained engineering design problems. The comparison includes both recent state-of-the-art algorithms and improved optimization methods. Simulation results demonstrate that the incorporation of the refined set and clustering process, along with the table reinforcement learning model (double Q-learning model) mechanism, leads to superior convergence speed and higher optimization precision. Full article
Show Figures

Figure 1

26 pages, 6444 KB  
Article
Coupled Vibration Mathematical Model of Special-Shaped Column Structure Considering Ground Rotation Effects
by Zongbo Hu and Jianyang Xue
Buildings 2025, 15(8), 1300; https://doi.org/10.3390/buildings15081300 - 15 Apr 2025
Viewed by 498
Abstract
The establishment of a linear seismic response analysis model that considers ground rotation effects and eccentric torsion informed the investigation of the linear response characteristics of coupled lateral–torsional vibration, considering eccentricity and ground rotation, after which the lateral–torsional coupling linear response pattern of [...] Read more.
The establishment of a linear seismic response analysis model that considers ground rotation effects and eccentric torsion informed the investigation of the linear response characteristics of coupled lateral–torsional vibration, considering eccentricity and ground rotation, after which the lateral–torsional coupling linear response pattern of special-shaped column structures is examined. The results show that the torsion angle of a floor is equal to the sum of the interlayer torsion angle caused by eccentric torsion and the pure torsion angle caused by ground rotation, respectively. The natural vibration frequency of the structure considering ground rotation effects is a function of relative eccentricity; the period ratio of translation to torsion caused by ground rotation; and the period ratio of translation to torsion when considering only eccentric torsion. When the translation to torsion period ratio, considering eccentric torsion, is greater than 1.0, the torsional amplitude increases remarkably, but the first-order participation mode is considerably higher under the same conditions. The natural vibration characteristics, translational response, torsional response, and seismic force distribution are obtained for special-shaped columns by conducting the shaking table test on steel-reinforced concrete (SRC) frame structures. After comparative analysis, the maximum ratio of the maximum torsional displacement of the bottom layer of the structure to the horizontal displacement in the X direction is 0.0007. The maximum ratio of the base shear force to the theoretical base shear force of the structure without considering coupling is 0.93. The maximum ratio of the measured shear force of the special-shaped column to the theoretical shear force without considering coupling is 0.65. This indicates that ground rotation has a significant amplification effect on structural response. The research results provide a reference for the seismic design of special-shaped column structures. Full article
(This article belongs to the Section Building Structures)
Show Figures

Figure 1

29 pages, 6896 KB  
Article
Research on Modeling and Analysis Methods of Railway Station Yard Diagrams Based on Multi-Layer Complex Networks
by Pengfei Gao, Wei Zheng, Jintao Liu and Daohua Wu
Appl. Sci. 2025, 15(5), 2324; https://doi.org/10.3390/app15052324 - 21 Feb 2025
Cited by 5 | Viewed by 2522
Abstract
Optimizing railway station operations necessitates the identification of critical track sections that constrain design throughput capacity under fixed infrastructure conditions. This paper proposes a novel multi-layer complex network-based approach for modeling and analyzing railway station yard diagrams, reframing the identification of key track [...] Read more.
Optimizing railway station operations necessitates the identification of critical track sections that constrain design throughput capacity under fixed infrastructure conditions. This paper proposes a novel multi-layer complex network-based approach for modeling and analyzing railway station yard diagrams, reframing the identification of key track sections affecting station throughput capacity as a node importance evaluation problem. In this model, nodes represent track sections included in routes specified by the station interlocking tables, while edges denote sequential connections between nodes. The structural relationships among nodes are captured using adjacency matrix (AM), structural matrix (SM), connection count matrix (CCM), and transition probability matrix (TPM). To evaluate node importance, five key indicators are introduced: connectivity strength (CS), destination node count (DNC), source node count (SNC), node efficiency (NE), and an extended PageRank (EPR). Additionally, a layered network node importance analysis method based on a single indicator, along with a comprehensive evaluation approach for the importance of the multi-layer network node, is presented. A case study conducted on a conventional railway station demonstrates that the proposed method effectively identifies key track sections through both hierarchical single-indicator evaluation and comprehensive assessment approaches. Furthermore, this paper investigates key node evaluation indicators and explores an alternative method based on Principal Component Analysis and Rank Sum Ratio (PCA-RSR), which also proves effective in identifying critical track sections. Full article
Show Figures

Figure 1

10 pages, 648 KB  
Article
Severe Obesity Defined by Percentiles of WHO and Cardiometabolic Risk in Youth with Obesity
by Giuliana Valerio, Procolo Di Bonito, Anna Di Sessa, Giada Ballarin, Valeria Calcaterra, Domenico Corica, Maria Felicia Faienza, Francesca Franco, Maria Rosaria Licenziati, Claudio Maffeis, Giulio Maltoni, Emanuele Miraglia del Giudice, Anita Morandi, Enza Mozzillo and Malgorzata Wasniewska
Children 2024, 11(11), 1345; https://doi.org/10.3390/children11111345 - 1 Nov 2024
Cited by 1 | Viewed by 2236
Abstract
Background/Objectives: The pediatric definition of severe obesity (OB) depends on the body mass index (BMI) references. We evaluated different BMI-derived metrics of the World Health Organization (WHO) system to define which cut-off is associated with the highest cardiometabolic risk (CMR); Methods: In this [...] Read more.
Background/Objectives: The pediatric definition of severe obesity (OB) depends on the body mass index (BMI) references. We evaluated different BMI-derived metrics of the World Health Organization (WHO) system to define which cut-off is associated with the highest cardiometabolic risk (CMR); Methods: In this multicentric study, data were retrieved for 3727 youths (1937 boys; 2225 children, 1502 adolescents). OB was defined as BMI > 97th percentile (BMI97th), severe OB was defined as BMI > 99th percentile (BMI99th), BMI ≥ 120% of the 97th percentile (120% BMI97th), or BMI Z-score > 3 (WHO tables), or BMI ≥ the International Obesity Task Force (IOTF) value crossing a BMI of 35 kg/m2 at the age of 18 (IOTF35). The continuous CMR Z-score (sum of residual standardized for age and sex of waist-to-height ratio, systolic and diastolic blood pressure, triglycerides, and HDL-cholesterol x −1) and the cluster of at least two CMR factors (hypertension, high triglycerides, low HDL-cholesterol, and high waist-to-height ratio) were calculated. Results: Continuous CMR Z-score was significantly higher both in children or adolescents with severe OB defined by 120% BMI97th compared to BMI99th (p < 0.0001), while it was lower only in adolescents with severe OB defined by 120% BMI97th compared to BMI Z-score >3 (p < 0.0001). Compared to 120% BMI97th, BMI Z-score > 3 and IOTF35 had higher specificity, but lower sensitivity in identifying children and adolescents with clustered CMR factors. Conclusions: The definition of severe OB based on 120% BMI97th is superior to BMI99th but it is inferior to BMI Z score > 3 as far as the association between severe OB and CMR factors is concerned. Pediatricians should take into consideration the implication of the use of different BMI metrics in those countries that recommend the WHO system. WHO BMI Z-score > 3 and IOTF35 can be used interchangeably to predict cardiometabolic risk. Full article
(This article belongs to the Special Issue State of the Art in Metabolic Syndrome in Childhood: 2nd Edition)
Show Figures

Figure 1

16 pages, 4393 KB  
Article
A Field-Programmable Gate Array-Based Quasi-Cyclic Low-Density Parity-Check Decoder with High Throughput and Excellent Decoding Performance for 5G New-Radio Standards
by Bilal Mejmaa, Ismail Akharraz and Abdelaziz Ahaitouf
Technologies 2024, 12(11), 215; https://doi.org/10.3390/technologies12110215 - 31 Oct 2024
Cited by 2 | Viewed by 3335
Abstract
This work presents a novel fully parallel decoder architecture designed for high-throughput decoding of Quasi-Cyclic Low-Density Parity-Check (QC-LDPC) codes within the context of 5G New-Radio (NR) communication. The design uses the layered Min-Sum (MS) algorithm and focuses on increasing throughput to meet the [...] Read more.
This work presents a novel fully parallel decoder architecture designed for high-throughput decoding of Quasi-Cyclic Low-Density Parity-Check (QC-LDPC) codes within the context of 5G New-Radio (NR) communication. The design uses the layered Min-Sum (MS) algorithm and focuses on increasing throughput to meet the strict needs of enhanced Mobile BroadBand (eMBB) applications. We incorporated a Sub-Optimal Low-Latency (SOLL) technique to enhance the critical check node processing stage inherent to the MS algorithm. This technique efficiently computes the two minimum values, rendering the architecture well-suited for specific Ultra-Reliable Low-Latency Communication (URLLC) scenarios. We design the decoder to be reconfigurable, enabling efficient operation across all expansion factors. We rigorously validate the decoder’s effectiveness through meticulous bit-error-rate (BER) performance evaluations using Hardware Description Language (HDL) co-simulation. This co-simulation utilizes a well-established suite of tools encompassing MATLAB/Simulink for system modeling and Vivado, a prominent FPGA design suite, for hardware representation. With 380,737 Look-Up Tables (LUTs) and 32,898 registers, the decoder’s implementation on a Virtex-7 XC7VX980T FPGA platform by AMD/Xilinx shows good hardware utilization. The architecture attains a robust operating frequency of 304.5 MHz and a normalized throughput of 49.5 Gbps, marking a 36% enhancement compared to the state-of-the-art. This advancement propels decoding capabilities to meet the demands of high-speed data processing. Full article
Show Figures

Figure 1

10 pages, 355 KB  
Article
Partial Path Overlapping Mitigation: An Initial Stage for Joint Detection and Decoding in Multipath Channels Using the Sum–Product Algorithm
by Anoush Mirbadin and Abolfazl Zaraki
Appl. Sci. 2024, 14(20), 9175; https://doi.org/10.3390/app14209175 - 10 Oct 2024
Viewed by 1699
Abstract
This paper addresses the problem of mitigating unknown partial path overlaps in communication systems. This study demonstrates that by utilizing the front-end insight of communication systems along with the sum–product algorithm applied to factor graphs, it is possible not only to track these [...] Read more.
This paper addresses the problem of mitigating unknown partial path overlaps in communication systems. This study demonstrates that by utilizing the front-end insight of communication systems along with the sum–product algorithm applied to factor graphs, it is possible not only to track these overlapping components accurately, but also to detect all multipath channel impairments simultaneously. The proposed methodology involves discretizing channel parameters, such as channel paths and attenuation coefficients, to ensure the most accurate computation of means of Gaussian observations. These parameters are modeled as Bernoulli random variables with priors set to 0.5. A notable aspect of the algorithm is its integration of the received signal power into the calculation of noise variance, which is critical for its performance. To further reduce the receiver complexity, a novel implementation strategy, based on provided pre-defined look up tables (LOTs) to the reciver, is introduced. The simulation results, covering both distributed and concentrated pilot scenarios, reveal that the algorithm performs almost equally under both conditions and surpasses the established upper bound in performance. Full article
(This article belongs to the Special Issue Advances in Wireless Communication Technologies)
Show Figures

Figure 1

14 pages, 4650 KB  
Communication
Fast Noise Level Estimation via the Similarity within and between Patches
by Jiaxin Wu, Meng Jia, Shiqian Wu and Shoulie Xie
Electronics 2024, 13(13), 2556; https://doi.org/10.3390/electronics13132556 - 28 Jun 2024
Viewed by 1498
Abstract
Patch level-based noise level estimation (NLE) is often inaccurate and inefficient because of the harsh criteria required to select a small number of homogeneous patches. In this paper, a fast image NLE method based on a global search for similar pixels is proposed [...] Read more.
Patch level-based noise level estimation (NLE) is often inaccurate and inefficient because of the harsh criteria required to select a small number of homogeneous patches. In this paper, a fast image NLE method based on a global search for similar pixels is proposed to solve the above problem. Specifically, the mean square distance (MSD) is first expressed in the form of the standard deviation (std) and mean value of image patches. Afterward, the two values, std and mean, are calculated and stored in advance. Then, a 2D statistical histogram and summed area table are adopted to speed up the search for similar patches. Further, the most similar pixels are selected from similar patches to obtain an initial estimation. Finally, we correct the deviation of the initial estimation by re-injecting noise for secondary estimation. Experimental results show that the proposed method outperforms the state-of-the-art techniques in fast NLE and guided denoising. Full article
Show Figures

Figure 1

19 pages, 3406 KB  
Article
Constructing and Visualizing Uniform Tilings
by Nelson Max
Computers 2023, 12(10), 208; https://doi.org/10.3390/computers12100208 - 17 Oct 2023
Viewed by 4474
Abstract
This paper describes a system which takes user input of a pattern of regular polygons around one vertex and attempts to construct a uniform tiling with the same pattern at every vertex by adding one polygon at a time. The system constructs spherical, [...] Read more.
This paper describes a system which takes user input of a pattern of regular polygons around one vertex and attempts to construct a uniform tiling with the same pattern at every vertex by adding one polygon at a time. The system constructs spherical, planar, or hyperbolic tilings when the sum of the interior angles of the user-specified regular polygons is respectively less than, equal to, or greater than 360. Other works have catalogued uniform tilings in tables and/or illustrations. In contrast, this system was developed as an interactive educational tool for people to learn about symmetry and tilings by trial and error through proposing potential vertex patterns and investigating whether they work. Users can watch the rest of the polygons being automatically added one by one with recursive backtracking. When a trial polygon addition is found to violate the conditions of a regular tiling, polygons are removed one by one until a configuration with another compatible choice is found, and that choice is tried next. Full article
Show Figures

Figure 1

17 pages, 743 KB  
Article
On Laplacian Eigenvalues of Wheel Graphs
by Manal Alotaibi, Ahmad Alghamdi and Hanan Alolaiyan
Symmetry 2023, 15(9), 1737; https://doi.org/10.3390/sym15091737 - 11 Sep 2023
Cited by 2 | Viewed by 2900
Abstract
Consider G to be a simple graph with n vertices and m edges, and L(G) to be a Laplacian matrix with Laplacian eigenvalues of μ1,μ2,,μn=zero. [...] Read more.
Consider G to be a simple graph with n vertices and m edges, and L(G) to be a Laplacian matrix with Laplacian eigenvalues of μ1,μ2,,μn=zero. Write Sk(G)=i=1kμi as the sum of the k-largest Laplacian eigenvalues of G, where k{1,2,,n}. The motivation of this study is to solve a conjecture in algebraic graph theory for a special type of graph called a wheel graph. Brouwer’s conjecture states that Sk(G)m+k+12, where k=1,2,,n. This paper proves Brouwer’s conjecture for wheel graphs. It also provides an upper bound for the sum of the largest Laplacian eigenvalues for the wheel graph Wn+1, which provides a better approximation for this upper bound using Brouwer’s conjecture and the Grone–Merris–Bai inequality. We study the symmetry of wheel graphs and recall an example of the symmetry group of Wn+1, n3. We obtain our results using majorization methods and illustrate our findings in tables, diagrams, and curves. Full article
(This article belongs to the Special Issue Symmetry and Graph Theory)
Show Figures

Figure 1

Back to TopTop