Sign in to use this feature.

Years

Between: -

Subjects

remove_circle_outline
remove_circle_outline
remove_circle_outline
remove_circle_outline
remove_circle_outline

Journals

Article Types

Countries / Regions

Search Results (8)

Search Parameters:
Keywords = subspace Newton method

Order results
Result details
Results per page
Select all
Export citation of selected articles as:
23 pages, 2832 KB  
Article
Reduced-Order Modeling and Active Subspace to Support Shape Optimization of Centrifugal Pumps
by Giacomo Gedda, Andrea Ferrero, Filippo Masseni, Massimo Mariani and Dario Pastrone
Aerospace 2025, 12(11), 1007; https://doi.org/10.3390/aerospace12111007 - 12 Nov 2025
Cited by 1 | Viewed by 737
Abstract
This study presents a reduced-order modeling framework for the shape optimization of a centrifugal pump. A database of CFD solutions is generated using Latin Hypercube Sampling over five design parameters to construct a reduced-order model based on proper orthogonal decomposition with radial basis [...] Read more.
This study presents a reduced-order modeling framework for the shape optimization of a centrifugal pump. A database of CFD solutions is generated using Latin Hypercube Sampling over five design parameters to construct a reduced-order model based on proper orthogonal decomposition with radial basis function interpolation. The model predicts the flow field at the impeller–diffuser interface and pump outlet, enabling the estimation of impeller torque and total pressure rise. The active subspaces method is applied to reduce the dimensionality of the input space from five to four modified parameters. The sensitivity of the ROM is assessed with respect to further dimensionality reductions in the parameter space, POD mode truncation, and adaptive sampling. The model is then used to perform pump shape optimization via a quasi-Newton method, identifying the combination of the parameters that minimizes the impeller torque while satisfying a constraint on the head. The optimal result is validated through CFD analysis and compared against the Pareto front generated by a genetic algorithm. The work highlights the potential of model-order reduction techniques in centrifugal pump optimization. Full article
(This article belongs to the Section Astronautics & Space Science)
Show Figures

Figure 1

19 pages, 1645 KB  
Article
Nonlinear Heat Diffusion Problem Solution with Spatio-Temporal Constraints Based on Regularized Gauss–Newton and Preconditioned Krylov Subspaces
by Luis Fernando Alvarez-Velasquez and Eduardo Giraldo
Eng 2025, 6(8), 189; https://doi.org/10.3390/eng6080189 - 6 Aug 2025
Cited by 1 | Viewed by 758
Abstract
In this work, we proposed a dynamic inverse solution with spatio-temporal constraints of the nonlinear heat diffusion problem in 1D and 2D based on a regularized Gauss–Newton and Krylov subspace with a preconditioner. The preconditioner is computed by approximating the Jacobian of the [...] Read more.
In this work, we proposed a dynamic inverse solution with spatio-temporal constraints of the nonlinear heat diffusion problem in 1D and 2D based on a regularized Gauss–Newton and Krylov subspace with a preconditioner. The preconditioner is computed by approximating the Jacobian of the nonlinear system at each Gauss–Newton iteration. The proposed approach is used for estimation of the initial value from measurements of the last value by considering spatial and spatio-temporal constraints. The system is compared to a dynamic Tikhonov inverse solution and generalized minimal residual method (GMRES) with and without a preconditioner. The system is evaluated under noise conditions in order to verify the robustness of the proposed approach. It can be seen that the proposed spatio-temporal regularized Gauss–Newton method with GMRES and a preconditioner shows better estimation results than the other methods for both spatial and spatio-temporal constraints. Full article
Show Figures

Figure 1

13 pages, 3657 KB  
Article
An Improved Reduced-Dimension Robust Capon Beamforming Method Using Krylov Subspace Techniques
by Xiaolin Wang, Xihai Jiang and Yaowu Chen
Sensors 2024, 24(22), 7152; https://doi.org/10.3390/s24227152 - 7 Nov 2024
Cited by 4 | Viewed by 1679
Abstract
A reduced-dimension robust Capon beamforming method using Krylov subspace techniques (RDRCB) is a diagonal loading algorithm with low complexity, fast convergence and strong anti-interference ability. The diagonal loading level of RDRCB is known to become invalid if the initial value of the Newton [...] Read more.
A reduced-dimension robust Capon beamforming method using Krylov subspace techniques (RDRCB) is a diagonal loading algorithm with low complexity, fast convergence and strong anti-interference ability. The diagonal loading level of RDRCB is known to become invalid if the initial value of the Newton iteration method is incorrect and the Hessel matrix is non-positive definite. To improve the robustness of RDRCB, an improved RDRCB (IRDRCB) was proposed in this study. We analyzed the variation in the loading factor with the eigenvalues of the reduced-dimensional covariance matrix and derived the upper and lower boundaries of the diagonal loading level; the diagonal loading level of the IRDRCB was kept within the bounds mentioned above. The computer simulation results show that the IRDRCB can effectively solve the problems of a sharp decline in the signal-to-noise ratio gain and an invalid diagonal loading level. The experimental results demonstrate that the interference noise of the IRDRCB is 3~5 dB higher than that of conventional adaptive beamforming, and the computational complexity is reduced by 15% to 20% compared with that of the RCB method. Full article
(This article belongs to the Section Physical Sensors)
Show Figures

Figure 1

20 pages, 1429 KB  
Article
Sparse Support Tensor Machine with Scaled Kernel Functions
by Shuangyue Wang and Ziyan Luo
Mathematics 2023, 11(13), 2829; https://doi.org/10.3390/math11132829 - 24 Jun 2023
Cited by 1 | Viewed by 2342
Abstract
As one of the supervised tensor learning methods, the support tensor machine (STM) for tensorial data classification is receiving increasing attention in machine learning and related applications, including remote sensing imaging, video processing, fault diagnosis, etc. Existing STM approaches lack consideration for support [...] Read more.
As one of the supervised tensor learning methods, the support tensor machine (STM) for tensorial data classification is receiving increasing attention in machine learning and related applications, including remote sensing imaging, video processing, fault diagnosis, etc. Existing STM approaches lack consideration for support tensors in terms of data reduction. To address this deficiency, we built a novel sparse STM model to control the number of support tensors in the binary classification of tensorial data. The sparsity is imposed on the dual variables in the context of the feature space, which facilitates the nonlinear classification with kernel tricks, such as the widely used Gaussian RBF kernel. To alleviate the local risk associated with the constant width in the tensor Gaussian RBF kernel, we propose a two-stage classification approach; in the second stage, we advocate for a scaling strategy on the kernel function in a data-dependent way, using the information of the support tensors obtained from the first stage. The essential optimization models in both stages share the same type, which is non-convex and discontinuous, due to the sparsity constraint. To resolve the computational challenge, a subspace Newton method is tailored for the sparsity-constrained optimization for effective computation with local convergence. Numerical experiments were conducted on real datasets, and the numerical results demonstrate the effectiveness of our proposed two-stage sparse STM approach in terms of classification accuracy, compared with the state-of-the-art binary classification approaches. Full article
(This article belongs to the Special Issue Optimization Theory, Method and Application)
Show Figures

Figure 1

16 pages, 4433 KB  
Technical Note
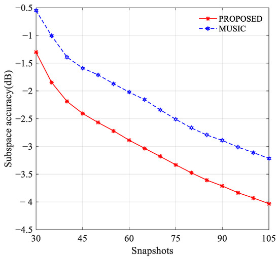
An Efficient MUSIC Algorithm Enhanced by Iteratively Estimating Signal Subspace and Its Applications in Spatial Colored Noise
by Xuejun Zhang and Dazheng Feng
Remote Sens. 2022, 14(17), 4260; https://doi.org/10.3390/rs14174260 - 29 Aug 2022
Cited by 8 | Viewed by 5131
Abstract
The classical multiple signal classification (MUSIC) algorithms mainly have two limitations. One is an insufficient number of snapshots, which usually causes an ill-posed sample covariance matrix in many real applications. The other limitation is the intense space-colored and time-white noise, which also breaks [...] Read more.
The classical multiple signal classification (MUSIC) algorithms mainly have two limitations. One is an insufficient number of snapshots, which usually causes an ill-posed sample covariance matrix in many real applications. The other limitation is the intense space-colored and time-white noise, which also breaks the separability between signal and noise subspaces. In the case of the insufficient sample, there are few signal components in the non-zero delay sample covariance matrix (SCM), where the space-colored and time-white noise components are suppressed by the temporal method. A set of non-zero delay sample covariance matrices are constructed, and a nonlinear object function is formulated. Hence, the sufficient non-zero delay SCMs ensure that enough signal components are used for signal subspace estimation. Then, the constrained optimization problem is converted into an unconstrained one by exploiting the Lagrange multiplier method. The nonlinear equation is solved by Newton’s method iteratively. Moreover, a proper initial value of the new algorithm is given, which can improve the convergence of the iterative algorithm. In this paper, the noise subspace is removed by the pre-projection technique in every iteration step. Then, an improved signal subspace is obtained, and a more efficient MUSIC algorithm is proposed. Experimental results show that the proposed algorithm achieves significantly better performance than the existing methods. Full article
Show Figures

Figure 1

9 pages, 1371 KB  
Article
Numerical Simulation of Multiphase Multicomponent Flow in Porous Media: Efficiency Analysis of Newton-Based Method
by Timur Imankulov, Danil Lebedev, Bazargul Matkerim, Beimbet Daribayev and Nurislam Kassymbek
Fluids 2021, 6(10), 355; https://doi.org/10.3390/fluids6100355 - 8 Oct 2021
Cited by 6 | Viewed by 4188
Abstract
Newton’s method has been widely used in simulation multiphase, multicomponent flow in porous media. In addition, to solve systems of linear equations in such problems, the generalized minimal residual method (GMRES) is often used. This paper analyzed the one-dimensional problem of multicomponent fluid [...] Read more.
Newton’s method has been widely used in simulation multiphase, multicomponent flow in porous media. In addition, to solve systems of linear equations in such problems, the generalized minimal residual method (GMRES) is often used. This paper analyzed the one-dimensional problem of multicomponent fluid flow in a porous medium and solved the system of the algebraic equation with the Newton-GMRES method. We calculated the linear equations with the GMRES, the GMRES with restarts after every m steps—GMRES (m) and preconditioned with Incomplete Lower-Upper factorization, where the factors L and U have the same sparsity pattern as the original matrix—the ILU(0)-GMRES algorithms, respectively, and compared the computation time and convergence. In the course of the research, the influence of the preconditioner and restarts of the GMRES (m) algorithm on the computation time was revealed; in particular, they were able to speed up the program. Full article
(This article belongs to the Collection Advances in Flow of Multiphase Fluids and Granular Materials)
Show Figures

Figure 1

18 pages, 816 KB  
Article
Adaptive Beamforming for Passive Synthetic Aperture with Uncertain Curvilinear Trajectory
by Peng Chen, Long Zuo and Wei Wang
Remote Sens. 2021, 13(13), 2562; https://doi.org/10.3390/rs13132562 - 30 Jun 2021
Cited by 4 | Viewed by 3079
Abstract
Recently, numerous reconstruction-based adaptive beamformers have been proposed, which can improve the quality of imaging or localization in the application of passive synthetic aperture (PSA) sensing. However, when the trajectory is curvilinear, existing beamformers may not be robust enough to suppress interferences efficiently. [...] Read more.
Recently, numerous reconstruction-based adaptive beamformers have been proposed, which can improve the quality of imaging or localization in the application of passive synthetic aperture (PSA) sensing. However, when the trajectory is curvilinear, existing beamformers may not be robust enough to suppress interferences efficiently. To overcome the model mismatch of unknown curvilinear trajectory, this paper presents an adaptive beamforming algorithm by reconstructing the interference-plus-noise covariance matrix (INCM). Using the idea of signal subspace fitting, we construct a joint optimization problem, where the unknown directions of arrival (DOAs) and array shape parameters are coupled together. To tackle this problem, we develop a hybrid optimization method by combining the genetic algorithm and difference-based quasi-Newton method. Then, a set of non-orthogonal bases for signal subspace is estimated with an acceptable computational complexity. Instead of reconstructing the covariance matrix by integrating the spatial spectrum over interference angular sector, we extract the desired signal covariance matrix (DSCM) directly from signal subspace, and then the INCM is reconstructed by eliminating DSCM from the sample covariance matrix (SCM). Numerical simulations demonstrate the robustness of the proposed beamformer in the case of signal direction error, local scattering and random curvilinear trajectory. Full article
Show Figures

Graphical abstract

23 pages, 1803 KB  
Article
An Efficient Direct Position Determination Method for Multiple Strictly Noncircular Sources
by Jiexin Yin, Ding Wang and Ying Wu
Sensors 2018, 18(2), 324; https://doi.org/10.3390/s18020324 - 23 Jan 2018
Cited by 22 | Viewed by 4821
Abstract
This paper focuses on the localization methods for multiple sources received by widely separated arrays. The conventional two-step methods extract measurement parameters and then estimate the positions from them. In the contrast to the conventional two-step methods, direct position determination (DPD) localizes transmitters [...] Read more.
This paper focuses on the localization methods for multiple sources received by widely separated arrays. The conventional two-step methods extract measurement parameters and then estimate the positions from them. In the contrast to the conventional two-step methods, direct position determination (DPD) localizes transmitters directly from original sensor outputs without estimating intermediate parameters, resulting in higher location accuracy and avoiding the data association. Existing subspace data fusion (SDF)-based DPD developed in the frequency domain is computationally attractive in the presence of multiple transmitters, whereas it does not use special properties of signals. This paper proposes an improved SDF-based DPD algorithm for strictly noncircular sources. We first derive the property of strictly noncircular signals in the frequency domain. On this basis, the observed frequency-domain vectors at all arrays are concatenated and extended by exploiting the noncircular property, producing extended noise subspaces. Fusing the extended noise subspaces of all frequency components and then performing a unitary transformation, we obtain a cost function for each source location, which is formulated as the smallest eigenvalue of a real-valued matrix. To avoid the exhaustive grid search and solve this nonlinear function efficiently, we devise a Newton-type iterative method using matrix Eigen-perturbation theory. Simulation results demonstrate that the proposed DPD using Newton-type iteration substantially reduces the running time, and its performance is superior to other localization methods for both near-field and far-field noncircular sources. Full article
(This article belongs to the Section Physical Sensors)
Show Figures

Figure 1

Back to TopTop