Sign in to use this feature.

Years

Between: -

Subjects

remove_circle_outline
remove_circle_outline
remove_circle_outline
remove_circle_outline
remove_circle_outline
remove_circle_outline
remove_circle_outline
remove_circle_outline
remove_circle_outline

Journals

remove_circle_outline
remove_circle_outline
remove_circle_outline
remove_circle_outline
remove_circle_outline
remove_circle_outline
remove_circle_outline
remove_circle_outline
remove_circle_outline
remove_circle_outline
remove_circle_outline
remove_circle_outline
remove_circle_outline
remove_circle_outline
remove_circle_outline
remove_circle_outline
remove_circle_outline
remove_circle_outline
remove_circle_outline
remove_circle_outline
remove_circle_outline
remove_circle_outline
remove_circle_outline
remove_circle_outline
remove_circle_outline
remove_circle_outline
remove_circle_outline
remove_circle_outline

Article Types

Countries / Regions

remove_circle_outline
remove_circle_outline
remove_circle_outline
remove_circle_outline
remove_circle_outline
remove_circle_outline
remove_circle_outline

Search Results (4,521)

Search Parameters:
Keywords = subcutaneous

Order results
Result details
Results per page
Select all
Export citation of selected articles as:
23 pages, 2591 KB  
Article
Post-Chemotherapy Changes and Agreement of CT-Derived Body Composition at L3 and T12 in Older Patients with Metastatic Colorectal Cancer: Associations with Nutritional Indices and Outcomes
by Anıl Yıldız, Melin Aydan Ahmed, Nihan Nizam Eren, Abdulmunir Azizy, Selay Artan, Simay Çokgezer, Bedirhan Ulufer, Ozan Deniz Aygörmez, Gündüz Karaoğlan, Şirin Zelal Şahin Tırnova, Gulistan Bahat, Mustafa Durmaz, İnci Kızıldağ Yırgın, Senem Karabulut, Burak Sakar, Mehmet Akif Karan and Didem Taştekin
Nutrients 2026, 18(7), 1090; https://doi.org/10.3390/nu18071090 (registering DOI) - 28 Mar 2026
Abstract
Background: Age- and cancer-related sarcopenia and malnutrition are common in older patients with colorectal cancer (CRC) and may negatively influence treatment tolerance and prognosis. However, the comparative prognostic value of post-chemotherapy changes in CT-based body composition parameters at the third lumbar vertebra (L3) [...] Read more.
Background: Age- and cancer-related sarcopenia and malnutrition are common in older patients with colorectal cancer (CRC) and may negatively influence treatment tolerance and prognosis. However, the comparative prognostic value of post-chemotherapy changes in CT-based body composition parameters at the third lumbar vertebra (L3) and the twelfth thoracic vertebra (T12) levels, and their associations with nutritional indices, remain unclear. This study aimed to examine and compare the prognostic relevance of post-chemotherapy body composition changes at L3 and T12 and to assess their relationship with nutritional indices in older patients with metastatic CRC (mCRC). Methods: This retrospective study included 87 older patients with mCRC. Baseline and ~3-month follow-up CT scans were analyzed at L3 and T12 using 3D Slicer to quantify skeletal muscle index (SMI), subcutaneous adipose tissue index (SATI), visceral adipose tissue index (VATI), visceral-to-subcutaneous fat ratio (VSR), and intramuscular adipose tissue index (IMATI). Changes (Δ) in CT-derived body composition after chemotherapy were calculated as percentage change using ((follow-up − baseline)/baseline) × 100. Prognostic Nutritional Index (PNI) and Geriatric Nutritional Index (GNRI), which are established nutritional assessment tools, were calculated from baseline laboratory/anthropometric data. Agreement between T12 and L3 was assessed, and associations with grade ≥3 toxicity, progression-free survival (PFS), and overall survival (OS) were evaluated using multivariable models and ROC analyses. Results: Mean age was 69.0 ± 4.5 years (59 male/28 female), and 26.4% developed grade ≥3 adverse events. Over 3 months, mean SMI declined significantly at both L3 (46.7 ± 8.8 → 42.8 ± 9.8 cm2/m2) and T12 (34.6 ± 8.2 → 31.6 ± 8.1 cm2/m2) (p < 0.001 for both), accompanied by decreases in VATI and VSR; T12-IMATI increased significantly. Baseline PNI showed a weak positive correlation with L3-SMI (r = 0.302, p = 0.033), whereas GNRI showed moderate correlations with SMI at L3 (r = 0.502, p < 0.001) and T12 (r = 0.317, p = 0.025) and was associated with longitudinal changes in muscle metrics. T12-SMI consistently yielded lower values than L3-SMI, and agreement varied by compartment (best for SATI; weakest for VSR). Lower GNRI and greater L3-SMI loss were independently associated with grade ≥3 toxicity; ΔL3-SMI showed the highest discrimination (AUC = 0.79, 95% CI = 0.69–0.87, p < 0.001; cut-off >5.1% loss). All patients progressed (median PFS 7.6 months); mortality was 82.8% (median follow-up: 25 months). In multivariable analysis, PFS, CRP, GNRI, and ΔL3-SMI remained independently associated with OS. ΔL3-SMI provided the strongest mortality discrimination (AUC = 0.85, 95% CI = 0.74–0.94, p < 0.001; cut-off >10.4% loss), while ΔIMATI was also informative (AUC = 0.71, 95% CI = 0.59–0.82, p = 0.023). Conclusions: In older patients with mCRC, early post-chemotherapy skeletal muscle loss—particularly at the L3 level—showed the strongest prognostic association with severe toxicity and mortality. GNRI provided complementary prognostic information as a marker of baseline immunonutritional reserve. Although T12-derived measurements were correlated with L3-derived values, systematic bias suggests that they should not be interpreted interchangeably for longitudinal risk stratification. Full article
(This article belongs to the Special Issue Nutrition and Dietary Guidelines for Colorectal Cancer Patients)
32 pages, 11052 KB  
Article
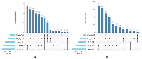
Genome Wide Association Studies with Different Weighting Approaches Reveals Genomic Windows Associated with Meat Quality Traits in Beef Cattle
by Hugo Borges Dos Reis, Amanda Marchi Maiorano, Elisângela Oliveira, Filippi Tonetto, Fernando Baldi, Breno de Oliveira Fragomeni and José Bento Sterman Ferraz
Genes 2026, 17(4), 385; https://doi.org/10.3390/genes17040385 (registering DOI) - 28 Mar 2026
Abstract
Background/Objectives: Genome-wide association studies (GWAS) based on single-step genomic BLUP (ssGBLUP) commonly assume equal single nucleotide polymorphism (SNP) variances, which may not reflect the biological architecture of complex traits. Alternative weighting strategies can increase detection power but may affect stability. This study evaluated [...] Read more.
Background/Objectives: Genome-wide association studies (GWAS) based on single-step genomic BLUP (ssGBLUP) commonly assume equal single nucleotide polymorphism (SNP) variances, which may not reflect the biological architecture of complex traits. Alternative weighting strategies can increase detection power but may affect stability. This study evaluated how different SNP weighting approaches influence genomic region detection and biological interpretation of ribeye area (REA) and subcutaneous fat thickness (SFT) in Guzerá cattle. Methods: Phenotypic records from 2729 animals and genotypes from 1405 individuals (43,039 SNPs after quality control) were analyzed. Heritabilities were estimated using Restricted Maximum Likelihood (REML), and GWAS were conducted under five approaches: unweighted method (UM), quadratic method (QM), and three Non-Linear A strategies with weighting constants (1.125, 1.2, and 1.5). Genomic windows of 20 adjacent SNPs explaining ≥0.5% of the additive genetic variance (AGV) were considered significant. Recurrent regions were prioritized, and functional enrichment analyses (KEGG, GO, and MeSH) were performed. Results: Heritability estimates were moderate for REA (0.26 ± 0.05) and SFT (0.22 ± 0.04). Weighted approaches increased detection sensitivity. For REA, UM identified 10 windows, whereas QM and A_1.5 detected 24 and 31 windows. For SFT, UM identified 8 windows, while QM and A_1.5 detected 30 and 23 windows. Recurrent chromosomes included 2, 4, 6, 12, 16, 19, and 22 for REA, and 2, 3, 5, 7, 11, 17, and 22 for SFT. Key genes included AKT3, NOS2, and MSTN. Enrichment highlighted pathways related to muscle growth and lipid metabolism. Conclusions: SNP-weighted GWAS increased detection sensitivity but involved trade-offs between signal amplification and stability. Integrating weighting strategies improves biological interpretation and supports robust candidate gene identification for genomic selection. Full article
Show Figures

Figure 1

21 pages, 9582 KB  
Article
Enocyanin Synergistically Enhances Sorafenib Sensitivity in Hepatocellular Carcinoma via Ferroptosis Induction Associated with p62/Keap1/Nrf2/HO-1 Pathway Inhibition
by Mengting Tian, Jing Ma, Tingting Wei, Kunqi Meng, Yingmeng Xia, Xue Zong, Changcai Bai and Zhisheng Wang
Curr. Issues Mol. Biol. 2026, 48(4), 357; https://doi.org/10.3390/cimb48040357 (registering DOI) - 28 Mar 2026
Abstract
Hepatocellular carcinoma (HCC) poses a critical threat to global health because of the scarcity of effective therapeutic approaches. Sorafenib, a first-line treatment for advanced HCC, often faces efficacy limitations due to acquired resistance. Therefore, it is urgent to explore novel and effective anti-cancer [...] Read more.
Hepatocellular carcinoma (HCC) poses a critical threat to global health because of the scarcity of effective therapeutic approaches. Sorafenib, a first-line treatment for advanced HCC, often faces efficacy limitations due to acquired resistance. Therefore, it is urgent to explore novel and effective anti-cancer drugs and combination therapies. This study explored the anti-HCC potential of Enocyanin (Eno), a natural anthocyanin-rich extract derived from grapes, either alone or combined with sorafenib. Our findings indicated that 100 μg/mL Eno remarkably suppressed the proliferation, invasion and migration of HepG2 cells, which was related to the induction of ferroptosis characterized by increased intracellular Fe2+, lipid peroxidation (LPO) and Acyl-CoA synthetase long chain family member 4 (ACSL4) levels, coupled with decreased glutathione (GSH) and glutathione peroxidase 4 (GPX4). Mechanistically, Eno promoted ferroptosis which was associated with inhibition of the p62/Keap1/Nrf2/HO-1 signaling pathway. Notably, Eno (100 μg/mL) combined with sorafenib (2 μM) had a synergistic anti-tumor effect (Q = 1.47), which further enhanced the inhibition of HepG2 cell growth and metastasis, aggravated ferroptosis, and more strongly suppressed the p62/Keap1/Nrf2/HO-1 axis. In the C57BL/6 mouse subcutaneous HCC transplantation model, the combination of Eno and sorafenib showed a stronger inhibitory effect on tumor growth, reaching a 70% inhibition rate, compared to 33% with Eno alone and 55% with sorafenib alone. In summary, this study demonstrates that Eno may be a novel inducer of ferroptosis, and it has the potential to be used in the treatment of hepatocellular carcinoma. It also provides a potential combined treatment strategy for enhancing the sensitivity of sorafenib. Full article
(This article belongs to the Section Molecular Pharmacology)
Show Figures

Figure 1

19 pages, 996 KB  
Article
Bleomycin-Induced Subcutaneous Fibrosis and Autologous Fat Graft Remodeling Assessed by Ultrasonography in a Rat Experimental Model
by Razvan George Bogdan, Anca Maria Cimpean, Alina Helgiu, Mara Nicolau, Ioan Cătălin Bodea, Rodica Elena Heredea and Zorin Petrisor Crainiceanu
Bioengineering 2026, 13(4), 390; https://doi.org/10.3390/bioengineering13040390 - 27 Mar 2026
Abstract
Radiation-associated soft tissue fibrosis represents a progressive structural remodeling process characterized by extracellular matrix accumulation, septal thickening, and reduced tissue compliance, which complicates reconstructive interventions. Reliable longitudinal experimental frameworks capable of non-invasive structural monitoring remain limited. This study aimed to develop and implement [...] Read more.
Radiation-associated soft tissue fibrosis represents a progressive structural remodeling process characterized by extracellular matrix accumulation, septal thickening, and reduced tissue compliance, which complicates reconstructive interventions. Reliable longitudinal experimental frameworks capable of non-invasive structural monitoring remain limited. This study aimed to develop and implement a standardized ultrasonographic protocol for the evaluation of bleomycin-induced subcutaneous fibrosis and to assess remodeling dynamics following autologous fat grafting in a rat model. Twenty-two adult female Wistar rats were included. Subcutaneous fibrosis was induced using submaximal bleomycin administration (1 mg/kg/day for three consecutive days). High-frequency ultrasonography (12 MHz) was performed at baseline (Day 0), post-bleomycin (Day 17), and post-lipofilling (Day 31). A predefined semi-quantitative 0–3 scoring system was applied to characterize global echogenicity, septal thickening, and architectural organization. At Day 17, all animals demonstrated structural alteration with a mean score of 2.15 ± 0.58. At Day 31, the mean score decreased to 1.50 ± 0.50, with complete disappearance of high-grade architectural disorganization (score 3). Focal hypoechoic areas consistent with graft integration were observed in 88.9% of animals without ultrasonographic signs of necrosis or fluid collection. This standardized imaging-based framework enables reproducible longitudinal monitoring of early-stage subcutaneous fibrotic remodeling and provides a non-invasive tool for evaluating regenerative interventions in translational soft tissue engineering research. Full article
(This article belongs to the Section Regenerative Engineering)
Show Figures

Figure 1

26 pages, 3253 KB  
Article
MAVS as a Key Regulator of Tumor Proliferation, Survival, the Tumor Microenvironment, and Immunity
by Sweta Trishna, Anna Shteinfer-Kuzmine, Vered Chalifa-Caspi and Varda Shoshan-Barmatz
Biomolecules 2026, 16(4), 501; https://doi.org/10.3390/biom16040501 - 26 Mar 2026
Viewed by 213
Abstract
The mitochondrial anti-viral signaling protein, MAVS, is a central regulator of innate anti-viral immunity. Recently, we demonstrated that MAVS is overexpressed in cancer, where its downregulation resulted in reduced cell proliferation and the expression and nuclear translocation of proteins associated with transcriptional regulation [...] Read more.
The mitochondrial anti-viral signaling protein, MAVS, is a central regulator of innate anti-viral immunity. Recently, we demonstrated that MAVS is overexpressed in cancer, where its downregulation resulted in reduced cell proliferation and the expression and nuclear translocation of proteins associated with transcriptional regulation and inflammation. In this study, we demonstrate that CRISPR/Cas9-mediated MAVS depletion in PC-3 prostate cancer cells suppresses proliferation, disrupts immune evasion, and alters the tumor microenvironment. Proteomic profiling of the MAVS-KO cells by LC-MS/MS revealed changes in the expression of proteins associated with immunity, cell signaling, mitochondrial function, metabolism, protein synthesis and degradation, and epigenetic regulation. In contrast to MAVS-expressing cells, MAVS-KO cells implanted subcutaneously in mice formed very small tumors. This inhibited tumor growth was linked to reduced proliferation, and enhanced apoptosis, as indicated by strong TUNEL staining and elevated activated caspase-3. Importantly, the small “tumors” derived from MAVS-KO cells displayed a distinct morphology: diminished cancer stem-cell populations, an altered tumor microenvironment and inflammatory response, increased immune cell infiltration, and reduced PD-L1 expression. Together, these findings establish MAVS as a key mediator of cancer-cell survival, inflammation, and immune regulation, and, thus, its upregulation in tumors makes it a potential anti-cancer target. Full article
(This article belongs to the Section Cellular Biochemistry)
Show Figures

Figure 1

16 pages, 1670 KB  
Article
Human Ghrelin Improves Vascular Integrity and Survival After Total Body Irradiation
by Wayne Chaung, Asha Jacob, Zhimin Wang, Weng Lang Yang, Max Brenner and Ping Wang
Cells 2026, 15(7), 586; https://doi.org/10.3390/cells15070586 - 26 Mar 2026
Viewed by 167
Abstract
Exposure of healthy tissue to ionizing radiation (IR) occurs due to nuclear accidents and terrorism, as well as radiotherapy. The vascular endothelium is a key target of IR, and microvascular endothelial cells (ECs) are particularly vulnerable to radiation. IR induces EC activation leading [...] Read more.
Exposure of healthy tissue to ionizing radiation (IR) occurs due to nuclear accidents and terrorism, as well as radiotherapy. The vascular endothelium is a key target of IR, and microvascular endothelial cells (ECs) are particularly vulnerable to radiation. IR induces EC activation leading to endothelial cell injury. Human ghrelin is a stomach-derived peptide with pleiotropic effects, including protection against inflammation. We hypothesize that human ghrelin improves survival in total body irradiation (TBI) and that ghrelin’s protective effect could be mediated by attenuating endothelial cell injury. To test this, mice were exposed to TBI and after 24 h were treated subcutaneously with human ghrelin once daily for 4 days and monitored for 30 days. The survival rate of the human ghrelin-treated group was significantly higher than that of the vehicle group. Subsequently, human ghrelin treatment showed an effective dose modification factor of 1.0681. On day 4 after TBI, human ghrelin significantly attenuated EC permeability in the lungs and improved tight junction protein ZO-1 expression. Human ghrelin also improved ZO-1 and Claudin5 expression in primary mouse lung vascular endothelial cells. Taken together, these results indicate that human ghrelin improves survival after TBI, and its survival benefit is in part due to the attenuation of EC permeability and microvascular barrier dysfunction. Full article
Show Figures

Figure 1

18 pages, 1251 KB  
Review
Evolution of Rhytidectomy: A Review
by Mahyar Abbariki, Timothy W. Neal, Scott Cannon, Vania Firmalino and Randy Sanovich
J. Aesthetic Med. 2026, 2(2), 6; https://doi.org/10.3390/jaestheticmed2020006 (registering DOI) - 25 Mar 2026
Viewed by 116
Abstract
Facial aging involves progressive changes to the skin, soft tissue, and skeletal framework, driven by genetic, social, and environmental factors. Rhytidectomy, or facelift surgery, has developed from simple skin excision to anatomically based techniques that reposition deeper tissues, restore volume, and enhance natural [...] Read more.
Facial aging involves progressive changes to the skin, soft tissue, and skeletal framework, driven by genetic, social, and environmental factors. Rhytidectomy, or facelift surgery, has developed from simple skin excision to anatomically based techniques that reposition deeper tissues, restore volume, and enhance natural contours. The purpose of this review is to discuss the history of rhytidectomy, key anatomical foundations, and surgical techniques. Surgical approaches covered include subcutaneous, superficial musculoaponeurotic system (SMAS) manipulation, and deep plane procedures. Rhytidectomy remains a cornerstone of facial rejuvenation, with continuous refinements aimed at improving durability, minimizing risk, and achieving natural, patient-specific outcomes. Full article
Show Figures

Figure 1

17 pages, 5698 KB  
Article
Transtemporal Endoscopic Subcutaneous Face-and-Neck Lift with SMAS Plication
by Alexey E. Avdeev, Valentin I. Sharobaro, Anastasiya S. Borisenko and Anna S. Bairamova
Cosmetics 2026, 13(2), 81; https://doi.org/10.3390/cosmetics13020081 - 24 Mar 2026
Viewed by 139
Abstract
Introduction: Facial aging is characterized by progressive soft-tissue descent, affecting all anatomical layers—from bone structures to the skin envelope. Early manifestations include downward displacement of the midface soft tissues, deepening of the nasolacrimal and nasolabial folds, and the appearance of soft-tissue “puckering” in [...] Read more.
Introduction: Facial aging is characterized by progressive soft-tissue descent, affecting all anatomical layers—from bone structures to the skin envelope. Early manifestations include downward displacement of the midface soft tissues, deepening of the nasolacrimal and nasolabial folds, and the appearance of soft-tissue “puckering” in the lower third of the face. At this stage, patients typically seek aesthetic correction to restore youthful facial contours with minimal or no visible signs of surgical intervention. Methods: This study is an observational analysis of a prospectively maintained surgical database including 201 female patients who underwent TESL between 2006 and 2024. Patient demographic data, surgical technique specifics, and postoperative outcomes were collected. A total of 612 procedures were performed. The cohort was stratified into two age groups: 30–35 years (n = 72) and 36–45 years (n = 129). Results: No cases of facial nerve injury or neurological complications were observed. Complications included 13 cases of localized cicatricial alopecia (6.47%) and four postoperative hematomas (1.99%). Eleven patients (5.47%) required minor secondary revision to address preauricular skin pleating. The technique demonstrated consistent and favorable outcomes in restoring soft-tissue volume and positioning, eliminating early lower-face “puckering,” and improving the cervicomental and mandibular contours. Conclusions: For patients under 45 years of age presenting with early signs of facial soft-tissue ptosis, endoscopic subcutaneous midface elevation with vertical SMAS plication is a safe, effective, and minimally invasive approach to rejuvenating the mid and lower face. Full article
(This article belongs to the Section Cosmetic Technology)
Show Figures

Figure 1

18 pages, 9217 KB  
Article
Pleuromutilins Suppress Hepatocellular Carcinoma Growth via ABCA1 Inhibition-Induced Cholesterol Accumulation
by Mingshan Zhou, Jie Cao, Junfei Chen, Bohan Zhang, Jiawen Wu, Xiaofeng Lian, Miaoxin Zhu, Peifeng Liu and Min Zhou
Cancers 2026, 18(7), 1054; https://doi.org/10.3390/cancers18071054 (registering DOI) - 24 Mar 2026
Viewed by 69
Abstract
Bcakground: Hepatocellular carcinoma (HCC) is a prevalent malignancy with limited therapeutic options. Drug repurposing offers an attractive strategy to accelerate anticancer discovery. The pleuromutilin class of antibiotics, including the human-approved agent lefamulin and the veterinary drug tiamulin, has shown preliminary anticancer potential, but [...] Read more.
Bcakground: Hepatocellular carcinoma (HCC) is a prevalent malignancy with limited therapeutic options. Drug repurposing offers an attractive strategy to accelerate anticancer discovery. The pleuromutilin class of antibiotics, including the human-approved agent lefamulin and the veterinary drug tiamulin, has shown preliminary anticancer potential, but its efficacy and mechanism in HCC remain unexplored. Methods: The anti-tumor effects of lefamulin and tiamulin were evaluated in HCC cell lines, patient-derived organoids, and a C57BL/6 mouse subcutaneous tumor model. Safety was assessed in a human normal hepatocyte cell line and by histopathological examination of major organs in treated mice. Mechanistic investigations were performed using RNA-sequencing, RT-qPCR, immunohistochemistry (IHC), filipin staining, pharmacological rescue assays, and shRNA-mediated gene silencing. Results: In this study, we found that both lefamulin and tiamulin markedly inhibited HCC cell proliferation in vitro and significantly suppressed tumor growth in vivo (lefamulin vs. control, p = 0.014; tiamulin vs. control, p = 0.021), without causing significant toxicity. RNA-sequencing analysis revealed consistent downregulation of the cholesterol transporter Abca1 (ATP-binding cassette transporter A1) and alterations in cell adhesion molecule pathways. Functional studies confirmed that treatment reduced ABCA1 protein levels, leading to intracellular cholesterol accumulation and aberrant distribution. Furthermore, treated tumors exhibited a significant increase in CD8+ T-cell infiltration, with CD4+ T cells and macrophage infiltration remained unchanged, indicating a specific modulation of the tumor immune microenvironment. Conclusions: These findings suggest that lefamulin and tiamulin are promising therapeutic candidates for HCC. Full article
(This article belongs to the Special Issue Research and Treatment of Hepatocellular Carcinoma)
Show Figures

Figure 1

12 pages, 1850 KB  
Article
Interobserver Variability and Histopathologic Correlation of Lung Ultrasonography in a Bleomycin-Induced Mouse Model of Systemic Sclerosis
by Göksel Tuzcu, Gökhan Sargın, Bilge Yılmaz, Yaşar Barış Turgut and Yiğit Uyanıkgil
Biomedicines 2026, 14(4), 738; https://doi.org/10.3390/biomedicines14040738 (registering DOI) - 24 Mar 2026
Viewed by 238
Abstract
Objectives: Interstitial lung disease (ILD) is a major cause of morbidity and mortality in patients with systemic sclerosis (SSc). This study aimed to evaluate interobserver variability and the relationship between lung ultrasonography (LUS) findings and histological fibrosis severity in a bleomycin (BLM)-induced mouse [...] Read more.
Objectives: Interstitial lung disease (ILD) is a major cause of morbidity and mortality in patients with systemic sclerosis (SSc). This study aimed to evaluate interobserver variability and the relationship between lung ultrasonography (LUS) findings and histological fibrosis severity in a bleomycin (BLM)-induced mouse model of SSc. Materials and Methods: Twenty female BALB/c mice were randomly assigned to a control group (n = 10) or a BLM-treated group (n = 10). Pulmonary fibrosis was induced by daily subcutaneous administration of BLM for three weeks. Two blinded observers (a radiologist and a rheumatologist) performed LUS using a high-frequency linear probe and calculated scores based on B-line distribution. Lung fibrosis was evaluated by Masson’s trichrome staining and quantified using the Ashcroft scoring system. Interobserver agreement was assessed with Cohen’s kappa, and correlations were analyzed using Spearman’s rank test. Results: Control mice exhibited normal lung architecture, whereas all BLM-treated mice developed moderate to severe fibrosis, with significantly higher Ashcroft scores. LUS revealed multiple B-lines, pleural irregularities, and loss of A-lines in BLM-treated mice. LUS scores were considerably higher in the BLM group (p < 0.001). Radiologist-assessed scores showed a strong correlation with Ashcroft scores (ρ = 0.78), while rheumatologist-assessed scores demonstrated a moderate correlation (ρ ≈ 0.62). Interobserver agreement was moderate, with discrepancies mainly in intermediate fibrosis stages. Conclusions: LUS is a useful non-invasive method for semiquantitative assessment of pulmonary fibrosis in this SSc model. Its correlation with histological severity supports clinical relevance, while moderate interobserver variability highlights the need for standardized protocols and training. Full article
(This article belongs to the Section Cell Biology and Pathology)
Show Figures

Figure 1

9 pages, 4775 KB  
Article
Molecular and Phylogenetic Characterization of Onchocerca flexuosa in Red Deer from South-Eastern Europe
by Ervin Martinuš, Ema Gagović, Adnan Hodžić, Daria Jurković Žilić and Relja Beck
Pathogens 2026, 15(4), 344; https://doi.org/10.3390/pathogens15040344 - 24 Mar 2026
Viewed by 155
Abstract
Onchocerca flexuosa is a vector-borne filarial nematode infecting red deer (Cervus elaphus) throughout Europe. Despite numerous reports from Central, Northern, and Southern Europe, its occurrence in South-Eastern Europe has remained largely undocumented. This study provides the first molecularly confirmed report and [...] Read more.
Onchocerca flexuosa is a vector-borne filarial nematode infecting red deer (Cervus elaphus) throughout Europe. Despite numerous reports from Central, Northern, and Southern Europe, its occurrence in South-Eastern Europe has remained largely undocumented. This study provides the first molecularly confirmed report and the first systematic epidemiological assessment of O. flexuosa in red deer in Croatia. During the 2024–2025 hunting season, 110 legally harvested red deer from central Croatia were examined for subcutaneous nodules. Nodules were evaluated morphologically, and adult nematodes were identified and confirmed by sequencing of a fragment of the mitochondrial cytochrome c oxidase subunit I (COI) gene. Subcutaneous nodules were detected in 53.6% (59/110) of examined animals. O. flexuosa was confirmed in 52 deer, corresponding to an overall prevalence of 47.3%. Co-infection with Hypoderma diana occurred in 21.2% of infected animals. Sequence similarity ranged from 96.37% to 99.85% compared to published European O. flexuosa isolates. Phylogenetic analysis placed Croatian sequences within the established European lineage, without evidence of regional genetic divergence. The observed prevalence falls within the intermediate range reported across Europe and indicates stable local transmission. These findings close an important geographical knowledge gap and demonstrate that nodular onchocercosis is established in red deer populations in South-Eastern Europe. Full article
(This article belongs to the Special Issue Pets, Wildlife and Parasites—2nd Edition)
Show Figures

Figure 1

18 pages, 11885 KB  
Article
Dopant-Engineered Downshifting Nanoparticles with Dual NIR-II Fluorescence and Magnetic Resonance Imaging for Diagnosis and Image-Guided Surgery of Breast Cancer
by Zia Ullah, Mu Du, Lihong Jiang, Yibin Yan, Yuqian Yan, Jingsi Gu, Jing Cheng, Bing Guo and Zun Wang
Biosensors 2026, 16(3), 180; https://doi.org/10.3390/bios16030180 - 23 Mar 2026
Viewed by 258
Abstract
As surgery is the first-line paradigm for many solid tumors, precision in preoperative diagnosis and intraoperative imaging is of significant importance. Dual MRI and NIR-II fluorescence imaging could fulfill precision imaging requirements in treating cancers, because of its deep penetration and real-time high [...] Read more.
As surgery is the first-line paradigm for many solid tumors, precision in preoperative diagnosis and intraoperative imaging is of significant importance. Dual MRI and NIR-II fluorescence imaging could fulfill precision imaging requirements in treating cancers, because of its deep penetration and real-time high spatiotemporal resolution. Thus, the design of dual MRI/NIR-II fluorescence contrast agents is crucial for the diagnosis and surgery of cancers. Herein, we developed optically transparent NaGdF4 matrix-based downshifting nanoparticles (DSNPs) co-doped with Nd3+, Yb3+, and Er3+ as a single nanoplatform for dual NIR-II fluorescence and T1-weighted MRI. Systematic dopant engineering reveals that optimal Nd3+ loading enhances cascade Nd → Yb → Er energy transfer and yields intense NIR-II emission at 1334 and 1521 nm upon 808 nm excitation with a relative quantum yield of 1.55, while the presence of Gd3+ in the optically transparent matrix imparts strong T1 contrast (4.98 s−1 mM−1). The Pluronic F-127 surface coating confers colloidal stability and biocompatibility. In vitro assays confirm negligible cytotoxicity and efficient cellular uptake. In vivo studies in subcutaneous 4T1 tumor-bearing mice demonstrate robust accumulation, high tumor-to-background contrast in both MRI/NIR-II fluorescence and enable precise NIR-II fluorescence imaging-guided surgery with real-time margin visualization. Therefore, dopant-engineered DSNPs represent a promising dual-modal imaging agent for deep-tissue diagnostic and real-time surgical guidance in precision oncology. Full article
Show Figures

Figure 1

14 pages, 1692 KB  
Article
Minimal One-Quarter Incision and Four-Step (MOQIF) Excision Method for Subcutaneous Lipoma
by Seung Yun Oh and Seokchan Eun
J. Clin. Med. 2026, 15(6), 2448; https://doi.org/10.3390/jcm15062448 - 23 Mar 2026
Viewed by 197
Abstract
Background: Lipomas are common benign subcutaneous neoplasms treated surgically for cosmetic or symptomatic reasons. The minimal one-third incision and four-step (MOTIF) technique provides reliable excision with minimal scarring, but smaller proportional incisions remain unstudied. This study evaluates the minimal one-quarter incision and four-step [...] Read more.
Background: Lipomas are common benign subcutaneous neoplasms treated surgically for cosmetic or symptomatic reasons. The minimal one-third incision and four-step (MOTIF) technique provides reliable excision with minimal scarring, but smaller proportional incisions remain unstudied. This study evaluates the minimal one-quarter incision and four-step (MOQIF) technique. Methods: Retrospective review of 82 patients undergoing MOQIF excision of histologically confirmed subcutaneous lipomas by a single surgeon from July 2024–December 2025 was done. Lipomas were stratified by maximum diameter: small-intermediate (<5 cm) and large (≥5 cm). MOQIF used a one-quarter incision of the lipoma’s long axis determined by preoperative ultrasound measurement and palpation with four steps: hydro dissection preserving superficial subcutaneous tissue, superficial dissection, staged deep dissection with selective cautery of fibrovascular septa, and intact mass delivery. Outcomes included excision length, postoperative complications, Vancouver Scar Scale (VSS) scores, recurrence, and subjective treatment satisfaction of patients. Results: Mean lipoma size was 6.8 ± 2.0 cm (75.6% ≥5 cm). All lipomas were completely excised through 1.69 ± 0.49 cm incisions (ratio 0.25). Complications were low: seroma 10.98% (16.7% vs. 9.4%, p = 0.404), hematoma 7.3% (11.1% vs. 6.3%, p = 0.608), with no infections, nerve injuries, or recurrences at a mean 8.9-month follow-up. VSS scores were equivalent between groups (0.83 vs. 1.06; p = 0.438) and overall patient satisfaction was high (3.54 ± 0.53 (2–4)). Conclusions: MOQIF achieves complete lipoma excision through one-quarter incisions with safety and cosmetic outcomes across lipoma sizes, demonstrating feasibility through standardized technique refinement and careful case selection. Full article
(This article belongs to the Special Issue New Insights into Skin Tumors: From Pathogenesis to Therapy)
Show Figures

Figure 1

15 pages, 5247 KB  
Article
Differentiated Stem Cell-Seeded Gelatin/PLA/P(3HB-co-4HB) Meniscal Scaffold with Biocompatibility and Mechanical Strength
by Peng Li, Xiaoxin Cheng, Wuwei Li, Haiqing Yang and Yubi Jiang
Polymers 2026, 18(6), 774; https://doi.org/10.3390/polym18060774 - 23 Mar 2026
Viewed by 269
Abstract
Laceration is one of the most common meniscus injuries, which can cause knee joint dysfunction. The treatment of meniscus injuries remains one of the greatest challenges in orthopedics. In this study, a three-dimensional sponge-like Poly(lactic acid)/Poly(3-hydroxybutyrate-co-4-hydroxybutyrate) (PLA/P(3HB-co-4HB)) scaffold with oriented microtubules was fabricated [...] Read more.
Laceration is one of the most common meniscus injuries, which can cause knee joint dysfunction. The treatment of meniscus injuries remains one of the greatest challenges in orthopedics. In this study, a three-dimensional sponge-like Poly(lactic acid)/Poly(3-hydroxybutyrate-co-4-hydroxybutyrate) (PLA/P(3HB-co-4HB)) scaffold with oriented microtubules was fabricated using an improved gradient thermal phase separation technique. The scaffold surface was modified by adsorbing gelatin. The surface-modified scaffolds and the unmodified scaffolds were divided into two groups. All preparation parameters were adjusted to meet tissue engineering requirements. The prepared scaffolds were tested for porosity, compression modulus, hydrophilicity, and degradability. Following scaffold preparation, induced differentiated rabbit bone marrow mesenchymal stem cells (BMSCs) were seeded to evaluate scaffold cytocompatibility. Cell proliferation was observed in the two scaffold groups, and cell viability was analyzed using CCK-8 assay, scanning electron microscopy (SEM), and confocal microscopy. Histological staining was performed to comparatively study cell synthetic function. Subsequently, tissue reconstruction and regeneration were evaluated following subcutaneous implantation of gelatin/PLA/P(3HB-co-4HB) scaffolds loaded with induced differentiated BMSCs in the dorsal regions of athymic nude mice. Results demonstrated that the gelatin/PLA/P(3HB-co-4HB) scaffold exhibited good cell compatibility, providing a suitable microenvironment for cell proliferation and differentiation. Furthermore, the scaffold supported the growth of seeded induced differentiated rabbit MSCs in vivo, maintaining meniscus cell phenotyping and function. The cell-laden scaffold has the potential to generate meniscus fibrocartilage. Full article
(This article belongs to the Special Issue Smart and Bio-Medical Polymers: 3rd Edition)
Show Figures

Figure 1

16 pages, 2460 KB  
Article
Enhanced Tumor-to-Background Contrast with [52Mn]Mn-BPPA-Bevacizumab VEGF-Targeted Immuno-PET in Cervical Cancer
by Csaba Csikos, Minh Toàn Ngô, Adrienn Vágner, Gábor Nagy, Gábor Ország, Tamás Nagy, Balázs Váradi, Gergő Zoltán Sajtos, István Kapus, Zoltán Szoboszlai, Dezső Szikra, Gyula Tircsó, Zoárd Tibor Krasznai, Szabolcs Molnár, Ildikó Garai and György Trencsényi
Pharmaceuticals 2026, 19(3), 517; https://doi.org/10.3390/ph19030517 - 22 Mar 2026
Viewed by 217
Abstract
Background/Objectives: Radiolabeled bevacizumab-based immuno-PET tracers enable a non-invasive quantification of VEGF-A expression in gynecologic malignancies. While the previously reported [52Mn]Mn-DOTAGA-bevacizumab demonstrated selective VEGF-A-targeted uptake in a KB-3-1 cervix carcinoma mouse model, further improvements in chelator stability and tumor-to-background contrast remain [...] Read more.
Background/Objectives: Radiolabeled bevacizumab-based immuno-PET tracers enable a non-invasive quantification of VEGF-A expression in gynecologic malignancies. While the previously reported [52Mn]Mn-DOTAGA-bevacizumab demonstrated selective VEGF-A-targeted uptake in a KB-3-1 cervix carcinoma mouse model, further improvements in chelator stability and tumor-to-background contrast remain desirable. The recently developed BPPA chelator exhibits exceptionally high Mn(II) complex stability and favorable radiolabeling characteristics. This study aimed to characterize the in vivo biodistribution of [52Mn]Mn-BPPA-bevacizumab, and to compare the tumor-to-background ratios of [52Mn]Mn-BPPA-bevacizumab with the previously published values of [52Mn]Mn-DOTAGA-bevacizumab in VEGF-A-expressing cervix carcinoma. Methods: Female KB-3-1 tumor-bearing CB17 SCID mice underwent PET/MRI imaging following intravenous administration of [52Mn]Mn-BPPA-bevacizumab. SUVmean values were measured in various organs and in the subcutaneously injected tumor, and tumor-to-organ ratios were calculated at various time points up to 10 days post-injection. Results: [52Mn]Mn-BPPA-bevacizumab demonstrated sustained tumor uptake, with tumor SUVmean values increasing from approximately 1.0 at 4 h to peak values of approximately 2.4–2.5 at 72 h post-injection. Tumor-to-background ratios increased progressively over time and were significantly higher for [52Mn]Mn-BPPA-bevacizumab compared with previously reported [52Mn]Mn-DOTAGA-bevacizumab, particularly for tumor-to-blood, tumor-to-liver and tumor-to-lung ratios at later imaging time points (p < 0.0001). Conclusions: The novel [52Mn]Mn-BPPA-bevacizumab tracer exhibits satisfactory in vitro and in vivo stability for PET imaging, high VEGF-A-specific tumor uptake, and markedly improved tumor-to-background ratios compared to the previously published DOTAGA-based probe. These results position [52Mn]Mn-BPPA-bevacizumab as a highly promising next-generation immuno-PET agent for imaging VEGF-A-expressing gynecologic malignancies and for guiding anti-angiogenic therapies. Full article
(This article belongs to the Section Radiopharmaceutical Sciences)
Show Figures

Graphical abstract

Back to TopTop