Sign in to use this feature.

Years

Between: -

Subjects

remove_circle_outline
remove_circle_outline
remove_circle_outline
remove_circle_outline
remove_circle_outline
remove_circle_outline
remove_circle_outline
remove_circle_outline
remove_circle_outline

Journals

Article Types

Countries / Regions

Search Results (75)

Search Parameters:
Keywords = stock trading simulation

Order results
Result details
Results per page
Select all
Export citation of selected articles as:
21 pages, 503 KB  
Article
Flexible Target Prediction for Quantitative Trading in the American Stock Market: A Hybrid Framework Integrating Ensemble Models, Fusion Models and Transfer Learning
by Keyue Yan, Zihuan Yue, Chi Chong Wu, Qiqiao He, Jiaming Zhou, Zhihao Hao and Ying Li
Entropy 2026, 28(1), 84; https://doi.org/10.3390/e28010084 - 11 Jan 2026
Viewed by 329
Abstract
Stock price prediction is a core challenge in quantitative finance. While machine learning has advanced the modeling of complex financial time series, existing methods often rely on single-target predictions, underutilize multidimensional market information, and are disconnected from practical trading systems. To address these [...] Read more.
Stock price prediction is a core challenge in quantitative finance. While machine learning has advanced the modeling of complex financial time series, existing methods often rely on single-target predictions, underutilize multidimensional market information, and are disconnected from practical trading systems. To address these gaps, this research develops a hybrid machine learning framework for flexible target forecasting and systematic trading of major American technology stocks. The framework integrates Ensemble Models (AdaBoost, Decision Tree, LightGBM, Random Forest, XGBoost) with Fusion Models (Voting, Stacking, Blending) and introduces a Transfer Learning method enhanced by Dynamic Time Warping to facilitate knowledge sharing across assets, improving robustness. Focusing on ten key stocks, we forecast three distinct momentum indicators: next-day Closing Price Difference, Moving Average Difference, and Exponential Moving Average Difference. Empirical results demonstrate that the proposed Transfer Learning approach achieves superior predictive performance and trading simulations confirm that strategies based on these predicted momentum signals generate substantial returns. This research demonstrates that the proposed hybrid machine learning framework can mitigate the high information entropy inherent in financial markets, offering a systematic and practical method for integrating machine learning with quantitative trading. Full article
(This article belongs to the Special Issue Entropy, Artificial Intelligence and the Financial Markets)
Show Figures

Figure 1

26 pages, 2929 KB  
Article
Label-Driven Optimization of Trading Models Across Indices and Stocks: Maximizing Percentage Profitability
by Abdulmohssen S. AlRashedy and Hassan I. Mathkour
Mathematics 2025, 13(23), 3889; https://doi.org/10.3390/math13233889 - 4 Dec 2025
Viewed by 1194
Abstract
Short-term trading presents a high-dimensional prediction problem, where the profitability of trading signals depends not only on model accuracy but also on how financial labels are defined and aligned with market dynamics. Traditional approaches often apply uniform modeling choices across assets, overlooking the [...] Read more.
Short-term trading presents a high-dimensional prediction problem, where the profitability of trading signals depends not only on model accuracy but also on how financial labels are defined and aligned with market dynamics. Traditional approaches often apply uniform modeling choices across assets, overlooking the asset-specific nature of volatility, liquidity, and market response. In this work, we introduce a structured, label-aware machine learning pipeline aimed at maximizing short-term trading profitability across four major benchmarks: S&P 500 (SPX), NASDAQ-100 (NDX), Dow Jones Industrial Average (DJI), and the Tadāwul All-Share Index (TASI and twelve of their most actively traded constituents). Our solution systematically evaluates all combinations of six model types (logistic regression, support vector machines, random forest, XGBoost, 1-D CNN, and LSTM), eight look-ahead labeling windows (3 to 10 days), and four feature subset sizes (44, 26, 17, 8 variables) derived through Random Forest permutation-importance ranking. Backtests are conducted using realistic long/flat simulations with zero commission, optimizing for Percentage Profit and Profit Factor on a 2005–2021 train/2022–2024 test split. The central contribution of the framework is a labeling-aware search mechanism that assigns to each asset its optimal combination of model type, look-ahead horizon, and feature subset based on out-of-sample profitability. Empirical results show that while XGBoost performs best on average, CNN and LSTM achieve standout gains on highly volatile tech stocks. The optimal look-ahead window varies by market from 3-day signals on liquid U.S. shares to 6–10-day signals on the less-liquid TASI universe. This joint model–label–feature optimization avoids one-size-fits-all assumptions and yields transferable configurations that cut grid-search cost when deploying from index level to constituent stocks, improving data efficiency, enhancing robustness, and supporting more adaptive portfolio construction in short-horizon trading strategies. Full article
(This article belongs to the Special Issue Financial Econometrics and Machine Learning)
Show Figures

Figure 1

22 pages, 23477 KB  
Article
FPGA-Accelerated ESN with Chaos Training for Financial Time Series Prediction
by Zeinab A. Hassaan, Mohammed H. Yacoub and Lobna A. Said
Mach. Learn. Knowl. Extr. 2025, 7(4), 160; https://doi.org/10.3390/make7040160 - 3 Dec 2025
Viewed by 591
Abstract
Improving financial time series forecasting presents challenges because models often struggle to identify diverse fault patterns in unseen data. This issue is critical in fintech, where accurate and reliable forecasting of financial data is essential for effective risk management and informed investment strategies. [...] Read more.
Improving financial time series forecasting presents challenges because models often struggle to identify diverse fault patterns in unseen data. This issue is critical in fintech, where accurate and reliable forecasting of financial data is essential for effective risk management and informed investment strategies. This work addresses these challenges by initializing the weights and biases of two proposed models, Gated Recurrent Units (GRUs) and the Echo State Network (ESN), with different chaotic sequences to enhance prediction accuracy and capabilities. We compare reservoir computing (RC) and recurrent neural network (RNN) models with and without the integration of chaotic systems, utilizing standard initialization. The models are validated on six different datasets, including the 500 largest publicly traded companies in the US (S&P500), the Irish Stock Exchange Quotient (ISEQ) dataset, the XAU and USD forex pair (XAU/USD), the USD and JPY forex pair with respect to the currency exchange rate (USD/JPY), Chinese daily stock prices, and the top 100 index of UK companies (FTSE 100). The ESN model, combined with the Lorenz system, achieves the lowest error among other models, reinforcing the effectiveness of chaos-trained models for prediction. The proposed ESN model, accelerated by the Kintex-Ultrascale KCU105 FPGA board, achieves a maximum frequency of 83.5 MHz and a power consumption of 0.677 W. The results of the hardware simulation align with MATLAB R2025b fixed-point analysis. Full article
Show Figures

Graphical abstract

22 pages, 5795 KB  
Article
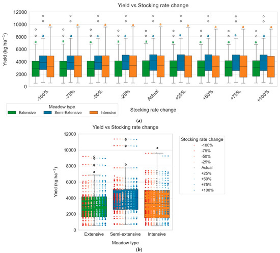
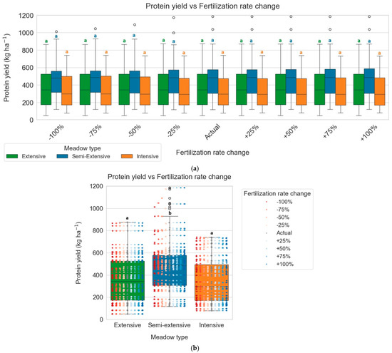
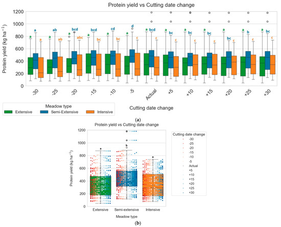
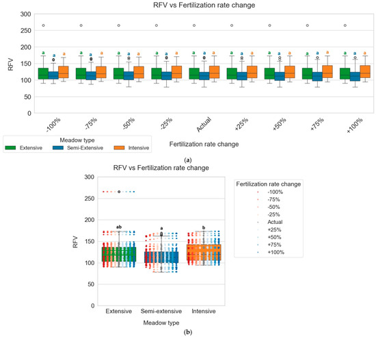
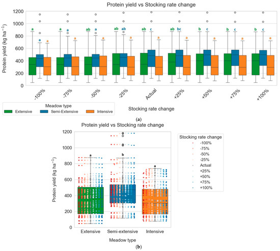
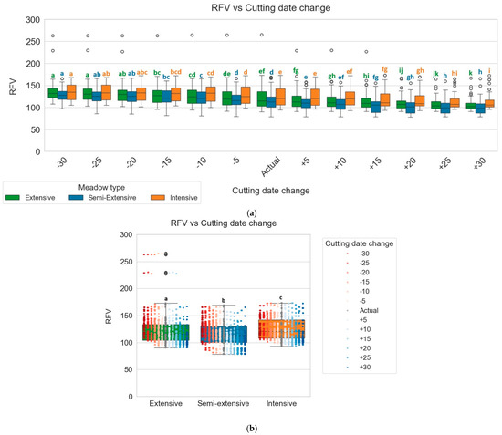
Data-Driven Management of Mountain Meadows in Central Spanish Pyrenees: Enhancing Productivity and Quality via Random Forests Models
by Adrián Jarne, Asunción Usón and Ramón Reiné
Agriculture 2025, 15(23), 2440; https://doi.org/10.3390/agriculture15232440 - 26 Nov 2025
Viewed by 336
Abstract
Mountain meadows are key components of extensive livestock systems, yet their response to management practices remains poorly quantified. This study assessed the effects of cutting date, fertilization, and stocking rate on forage yield, quality (RFV), and protein yield across three meadow types (extensive, [...] Read more.
Mountain meadows are key components of extensive livestock systems, yet their response to management practices remains poorly quantified. This study assessed the effects of cutting date, fertilization, and stocking rate on forage yield, quality (RFV), and protein yield across three meadow types (extensive, semi-extensive, and intensive) in the Central Spanish Pyrenees. Using Random Forest modeling and simulated scenarios, we evaluated how each factor influenced productivity and nutritive value. Cutting date was the most influential variable. Advancing the harvest improved forage quality (RFV) but reduced yield. Conversely, delaying the harvest increased biomass at the expense of RFV. Protein yield provided a more balanced metric: it remained stable or increased in intensive and extensive meadows but declined sharply in semi-extensive systems when cutting was delayed. Fertilization had a moderate effect, with semi-extensive meadows showing significant yield reductions when fertilizer input was halved, while other systems remained largely unaffected. Stocking rate had the least impact overall, although reduced grazing led to declines in protein yield in semi-extensive and extensive meadows. These findings suggest that cutting date should be prioritized in management decisions, while fertilization and grazing intensity require context-specific adjustments. Random Forest modeling effectively identified trade-offs and guided evidence-based strategies for sustainable mountain meadow management. Full article
(This article belongs to the Section Agricultural Systems and Management)
Show Figures

Figure 1

25 pages, 1422 KB  
Article
Integration of LSTM Networks in Random Forest Algorithms for Stock Market Trading Predictions
by Juan C. King and José M. Amigó
Forecasting 2025, 7(3), 49; https://doi.org/10.3390/forecast7030049 - 12 Sep 2025
Cited by 1 | Viewed by 2697
Abstract
The aim of this paper is the analysis and selection of stock trading systems that combine different models with data of a different nature, such as financial and microeconomic information. Specifically, based on previous work by the authors and with the application of [...] Read more.
The aim of this paper is the analysis and selection of stock trading systems that combine different models with data of a different nature, such as financial and microeconomic information. Specifically, based on previous work by the authors and with the application of advanced techniques of machine learning and deep learning, our objective is to formulate trading algorithms for the stock market with empirically tested statistical advantages, thus improving results published in the literature. Our approach integrates long short-term memory (LSTM) networks with algorithms based on decision trees, such as random forest and gradient boosting. While the former analyzes price patterns of financial assets, the latter is fed with economic data of companies. Numerical simulations of algorithmic trading with data from international companies and 10-weekday predictions confirm that an approach based on both fundamental and technical variables can outperform the usual approaches, which do not combine those two types of variables. In doing so, random forest turned out to be the best performer among the decision trees. We also discuss how the prediction performance of such a hybrid approach can be boosted by selecting the technical variables. Full article
(This article belongs to the Section Forecasting in Economics and Management)
Show Figures

Figure 1

32 pages, 2201 KB  
Article
Energy Performance and Thermal Comfort in Madrid School Buildings Under Climate Change Scenarios
by Violeta Rodríguez-González and María del Mar Barbero-Barrera
Appl. Sci. 2025, 15(18), 9980; https://doi.org/10.3390/app15189980 - 12 Sep 2025
Viewed by 1583
Abstract
This study presents a detailed analysis of the energy performance and thermal comfort conditions in four existing school buildings located in Madrid, Spain. Dynamic simulations were conducted using TeKton3D—(iMventa Ingenieros, Málaga, Spain)- an open-source tool based on the EnergyPlus engine—to model four improvement [...] Read more.
This study presents a detailed analysis of the energy performance and thermal comfort conditions in four existing school buildings located in Madrid, Spain. Dynamic simulations were conducted using TeKton3D—(iMventa Ingenieros, Málaga, Spain)- an open-source tool based on the EnergyPlus engine—to model four improvement scenarios: (I) current state, (II) envelope retrofitting with ETICS and high-performance glazing, (III) solar control strategies, and (IV) incorporation of mechanical ventilation with heat recovery. Each building was simulated under both current and projected 2050 climate conditions. The case studies were selected to represent different construction periods and urban contexts, including varying levels of exposure to the urban heat island effect. This approach allows the results to reflect the diversity of the existing school building stock and its different vulnerabilities to climate change. The results show that envelope retrofitting substantially reduces heating demand but may increase cooling needs, particularly under warmer future conditions. Solar control strategies effectively mitigate overheating, while mechanical ventilation with heat recovery contributes to improved comfort and overall efficiency. This study highlights the trade-offs between energy savings and indoor environmental quality, underlining the importance of integrated renovation measures. The study provides relevant data for decision-making in climate-resilient building renovation, aligned with EU goals for nearly zero and zero-emission buildings. Full article
(This article belongs to the Special Issue Thermal Comfort and Energy Consumption in Buildings)
Show Figures

Figure 1

22 pages, 3657 KB  
Article
Integrated Life Cycle Assessment of Residential Retrofit Strategies: Balancing Operational and Embodied Carbon, Lessons from an Irish Housing Case Study
by Thomas Nolan, Afshin Saeedian, Paria Taherpour and Reihaneh Aghamolaei
Sustainability 2025, 17(18), 8173; https://doi.org/10.3390/su17188173 - 11 Sep 2025
Viewed by 1748
Abstract
The residential building sector is a major contributor to global energy consumption and carbon emissions, making retrofit strategies essential for meeting climate targets. While many studies focus on reducing operational energy, few comprehensively evaluate the trade-offs between operational savings and the embodied carbon [...] Read more.
The residential building sector is a major contributor to global energy consumption and carbon emissions, making retrofit strategies essential for meeting climate targets. While many studies focus on reducing operational energy, few comprehensively evaluate the trade-offs between operational savings and the embodied carbon introduced by retrofit measures. This study addresses this gap by developing an integrated, novel scenario-based assessment framework that combines dynamic energy simulation and life cycle assessment (LCA) to quantify whole life carbon impacts. Applied to representative Irish housing typologies, the framework evaluates thirty retrofit scenarios across three intervention levels: original fabric, shallow retrofit, and deep retrofit incorporating multiple HVAC technologies and envelope upgrades. Results reveal that while deep retrofits deliver up to 80.2% operational carbon reductions, they also carry the highest embodied emissions. In contrast, shallow retrofits with high-efficiency air-source heat pumps offer near-comparable energy savings with significantly lower embodied impacts. Comparative analysis confirms that reducing heating setpoints has a greater effect on energy demand than increasing system efficiency, especially in low-performance buildings. Over a 25-year lifespan, shallow retrofits outperform deep retrofits in overall carbon efficiency, achieving up to 76% total emissions reduction versus 74% for deep scenarios. Also, as buildings approach near-zero energy standards, the embodied carbon share increases, highlighting the importance of LCA in design decision-making. This study provides a scalable, evidence-based methodology for evaluating retrofit options and offers practical guidance to engineers, researchers, and policymakers aiming to maximize carbon savings across residential building stocks. Full article
(This article belongs to the Special Issue Sustainable Building: Renewable and Green Energy Efficiency)
Show Figures

Figure 1

20 pages, 1038 KB  
Article
Multi-Objective Optimization with a Closed-Form Solution for Capital Allocation in Environmental Energy Stock Portfolio
by Sukono, Riza Andrian Ibrahim, Adhitya Ronnie Effendie, Moch Panji Agung Saputra, Igif Gimin Prihanto and Astrid Sulistya Azahra
Mathematics 2025, 13(17), 2844; https://doi.org/10.3390/math13172844 - 3 Sep 2025
Viewed by 1130
Abstract
This study proposes a multi-objective optimization model for capital allocation in an energy stock portfolio. The model integrates two financial objectives (maximizing return and minimizing value-at-risk) and four environmental objectives (minimizing carbon, energy, water, and waste intensities), providing a more comprehensive representation of [...] Read more.
This study proposes a multi-objective optimization model for capital allocation in an energy stock portfolio. The model integrates two financial objectives (maximizing return and minimizing value-at-risk) and four environmental objectives (minimizing carbon, energy, water, and waste intensities), providing a more comprehensive representation of corporate environmental performance in the energy sector. A closed-form analytical solution is developed to enhance theoretical clarity, analytical tractability, and interpretability without relying on iterative simulations. Methodologically, the model adopts a weighted utility function approach to aggregate multiple objectives into a single unified function, and the optimal solution is derived using the Lagrange multiplier method. The proposed model is then implemented on Indonesian energy stock data selected based on the lowest aggregate scores of financial and environmental attributes. This selection yields four stocks across three different energy subsectors: oil, gas, and coal. This implementation demonstrates that the optimal portfolio solution is simply and efficiently obtained without the need for iterative numerical approaches. Additionally, this implementation also shows a clear, representative, and rational trade-off between financial aspects and environmental impacts. This study makes a theoretical contribution to the sustainable portfolio literature and has practical implications for investors seeking to balance financial and environmental objectives quantitatively. Full article
(This article belongs to the Section E5: Financial Mathematics)
Show Figures

Figure 1

22 pages, 828 KB  
Article
Stock Price Prediction Using FinBERT-Enhanced Sentiment with SHAP Explainability and Differential Privacy
by Linyan Ruan and Haiwei Jiang
Mathematics 2025, 13(17), 2747; https://doi.org/10.3390/math13172747 - 26 Aug 2025
Cited by 1 | Viewed by 6267
Abstract
Stock price forecasting remains a central challenge in financial modeling due to the non-stationarity, noise, and high dimensionality of market dynamics, as well as the growing importance of unstructured textual information. In this work, we propose a multimodal prediction framework that combines FinBERT-based [...] Read more.
Stock price forecasting remains a central challenge in financial modeling due to the non-stationarity, noise, and high dimensionality of market dynamics, as well as the growing importance of unstructured textual information. In this work, we propose a multimodal prediction framework that combines FinBERT-based financial sentiment extraction with technical and statistical indicators to forecast short-term stock price movement. Contextual sentiment signals are derived from financial news headlines using FinBERT, a domain-specific transformer model fine-tuned on annotated financial text. These signals are aggregated and fused with price- and volatility-based features, forming the input to a gradient-boosted decision tree classifier (XGBoost). To ensure interpretability, we employ SHAP (SHapley Additive exPlanations), which decomposes each prediction into additive feature attributions while satisfying game-theoretic fairness axioms. In addition, we integrate differential privacy into the training pipeline to ensure robustness against membership inference attacks and protect proprietary or client-sensitive data. Empirical evaluations across multiple S&P 500 equities from 2018–2023 demonstrate that our FinBERT-enhanced model consistently outperforms both technical-only and lexicon-based sentiment baselines in terms of AUC, F1-score, and simulated trading profitability. SHAP analysis confirms that FinBERT-derived features rank among the most influential predictors. Our findings highlight the complementary value of domain-specific NLP and privacy-preserving machine learning in financial forecasting, offering a principled, interpretable, and deployable solution for real-world quantitative finance applications. Full article
Show Figures

Figure 1

33 pages, 22477 KB  
Article
Spatial Synergy Between Carbon Storage and Emissions in Coastal China: Insights from PLUS-InVEST and OPGD Models
by Chunlin Li, Jinhong Huang, Yibo Luo and Junjie Wang
Remote Sens. 2025, 17(16), 2859; https://doi.org/10.3390/rs17162859 - 16 Aug 2025
Cited by 2 | Viewed by 1589
Abstract
Coastal zones face mounting pressures from rapid urban expansion and ecological degradation, posing significant challenges to achieving synergistic carbon storage and emissions reduction under China’s “dual carbon” goals. Yet, the identification of spatially explicit zones of carbon synergy (high storage–low emissions) and conflict [...] Read more.
Coastal zones face mounting pressures from rapid urban expansion and ecological degradation, posing significant challenges to achieving synergistic carbon storage and emissions reduction under China’s “dual carbon” goals. Yet, the identification of spatially explicit zones of carbon synergy (high storage–low emissions) and conflict (high emissions–low storage) in these regions remains limited. This study integrates the PLUS (Patch-generating Land Use Simulation), InVEST (Integrated Valuation of Ecosystem Services and Trade-offs), and OPGD (optimal parameter-based GeoDetector) models to evaluate the impacts of land-use/cover change (LUCC) on coastal carbon dynamics in China from 2000 to 2030. Four contrasting land-use scenarios (natural development, economic development, ecological protection, and farmland protection) were simulated to project carbon trajectories by 2030. From 2000 to 2020, rapid urbanization resulted in a 29,929 km2 loss of farmland and a 43,711 km2 increase in construction land, leading to a net carbon storage loss of 278.39 Tg. Scenario analysis showed that by 2030, ecological and farmland protection strategies could increase carbon storage by 110.77 Tg and 110.02 Tg, respectively, while economic development may further exacerbate carbon loss. Spatial analysis reveals that carbon conflict zones were concentrated in major urban agglomerations, whereas spatial synergy zones were primarily located in forest-rich regions such as the Zhejiang–Fujian and Guangdong–Guangxi corridors. The OPGD results demonstrate that carbon synergy was driven largely by interactions between socioeconomic factors (e.g., population density and nighttime light index) and natural variables (e.g., mean annual temperature, precipitation, and elevation). These findings emphasize the need to harmonize urban development with ecological conservation through farmland protection, reforestation, and low-emission planning. This study, for the first time, based on the PLUS-Invest-OPGD framework, proposes the concepts of “carbon synergy” and “carbon conflict” regions and their operational procedures. Compared with the single analysis of the spatial distribution and driving mechanisms of carbon stocks or carbon emissions, this method integrates both aspects, providing a transferable approach for assessing the carbon dynamic processes in coastal areas and guiding global sustainable planning. Full article
(This article belongs to the Special Issue Carbon Sink Pattern and Land Spatial Optimization in Coastal Areas)
Show Figures

Figure 1

20 pages, 3775 KB  
Article
CIRGNN: Leveraging Cross-Chart Relationships with a Graph Neural Network for Stock Price Prediction
by Shanghui Jia, Han Gao, Jiaming Huang, Yingke Liu and Shangzhe Li
Mathematics 2025, 13(15), 2402; https://doi.org/10.3390/math13152402 - 25 Jul 2025
Viewed by 4234
Abstract
Recent years have seen a rise in combining deep learning and technical analysis for stock price prediction. However, technical indicators are often prioritized over technical charts due to quantification challenges. While some studies use closing price charts for predicting stock trends, they overlook [...] Read more.
Recent years have seen a rise in combining deep learning and technical analysis for stock price prediction. However, technical indicators are often prioritized over technical charts due to quantification challenges. While some studies use closing price charts for predicting stock trends, they overlook charts from other indicators and their relationships, resulting in underutilized information for predicting stock. Therefore, we design a novel framework to address the underutilized information limitations within technical charts generated by different indicators. Specifically, different sequences of stock indicators are used to generate various technical charts, and an adaptive relationship graph learning layer is employed to learn the relationships among technical charts generated by different indicators. Finally, by applying a GNN model combined with the relationship graphs of diverse technical charts, temporal patterns of stock indicator sequences are captured, fully utilizing the information between various technical charts to achieve accurate stock price predictions. Additionally, we further tested our framework with real-world stock data, showing superior performance over advanced baselines in predicting stock prices, achieving the highest net value in trading simulations. Our research results not only complement the existing applications of non-singular technical charts in deep learning but also offer backing for investment applications in financial market decision-making. Full article
(This article belongs to the Special Issue Mathematical Modelling in Financial Economics)
Show Figures

Figure 1

20 pages, 1906 KB  
Article
Creating Tail Dependence by Rough Stochastic Correlation Satisfying a Fractional SDE; An Application in Finance
by László Márkus, Ashish Kumar and Amina Darougi
Mathematics 2025, 13(13), 2072; https://doi.org/10.3390/math13132072 - 23 Jun 2025
Viewed by 818
Abstract
The stochastic correlation for Brownian motions is the integrand in the formula of their quadratic covariation. The estimation of this stochastic process becomes available from the temporally localized correlation of latent price driving Brownian motions in stochastic volatility models for asset prices. By [...] Read more.
The stochastic correlation for Brownian motions is the integrand in the formula of their quadratic covariation. The estimation of this stochastic process becomes available from the temporally localized correlation of latent price driving Brownian motions in stochastic volatility models for asset prices. By analyzing this process for Apple and Microsoft stock prices traded minute-wise, we give statistical evidence for the roughness of its paths. Moment scaling indicates fractal behavior, and both fractal dimensions (approx. 1.95) and Hurst exponent estimates (around 0.05) point to rough paths. We model this rough stochastic correlation by a suitably transformed fractional Ornstein–Uhlenbeck process and simulate artificial stock prices, which allows computing tail dependence and the Herding Behavior Index (HIX) as functions in time. The computed HIX is hardly variable in time (e.g., standard deviation of 0.003–0.006); on the contrary, tail dependence fluctuates more heavily (e.g., standard deviation approx. 0.04). This results in a higher correlation risk, i.e., more frequent sudden coincident appearance of extreme prices than a steady HIX value indicates. Full article
(This article belongs to the Special Issue Modeling Multivariate Financial Time Series and Computing)
Show Figures

Figure 1

21 pages, 4292 KB  
Article
A Deep-Reinforcement-Learning-Based Multi-Source Information Fusion Portfolio Management Approach via Sector Rotation
by Yuxiao Yan, Changsheng Zhang, Yang An and Bin Zhang
Electronics 2025, 14(5), 1036; https://doi.org/10.3390/electronics14051036 - 5 Mar 2025
Cited by 3 | Viewed by 4769
Abstract
As a research objective in quantitative trading, the aim of portfolio management is to find the optimal allocation of funds by following the dynamic changes in stock prices. The principal issue with current portfolio management methods is their narrow focus on a single [...] Read more.
As a research objective in quantitative trading, the aim of portfolio management is to find the optimal allocation of funds by following the dynamic changes in stock prices. The principal issue with current portfolio management methods is their narrow focus on a single data source, neglecting the changes or news arising from sectors. Methods for integrating news data frequently face challenges with regard to quantifying text data and embedding them into portfolio models; this process often necessitates considerable manual labeling. To address these issues, we proposed a sector rotation portfolio management approach based on deep reinforcement learning (DRL) via multi-source information. The multi-source information includes the temporal data of sector and stock features, as well as news data. In terms of structure, in this method, a dual-layer reinforcement learning structure is deployed, comprising a multi-agent sector layer and a graph convolution layer. The former learns the trend of sectors, while the latter learns the connections between stocks in sectors, and the impact of news on sectors is integrated through large language models without manual labeling or fusing output information of other modules to provide the final portfolio management scheme. The results of simulation experiments on the Chinese and US (United States) stock markets show that our method demonstrates significant improvements over multiple state-of-the-art approaches. Full article
(This article belongs to the Special Issue AI and Machine Learning in Recommender Systems and Customer Behavior)
Show Figures

Figure 1

12 pages, 597 KB  
Article
Historical Simulation Systematically Underestimates the Expected Shortfall
by Pablo García-Risueño
J. Risk Financial Manag. 2025, 18(1), 34; https://doi.org/10.3390/jrfm18010034 - 15 Jan 2025
Cited by 2 | Viewed by 3288
Abstract
Expected Shortfall (ES) is a risk measure that is acquiring an increasingly relevant role in financial risk management. In contrast to Value-at-Risk (VaR), ES considers the severity of the potential losses and reflects the benefits of diversification. ES is often calculated using Historical [...] Read more.
Expected Shortfall (ES) is a risk measure that is acquiring an increasingly relevant role in financial risk management. In contrast to Value-at-Risk (VaR), ES considers the severity of the potential losses and reflects the benefits of diversification. ES is often calculated using Historical Simulation (HS), i.e., using observed data without further processing into the formula for its calculation. This has advantages like being parameter-free and has been favored by some regulators. However, the usage of HS for calculating ES presents a potentially serious drawback: It strongly depends on the size of the sample of historical data, being typically reasonable sizes similar to the number of trading days in one year. Moreover, this relationship leads to systematic underestimation: the lower the sample size, the lower the ES tends to be. In this letter, we present examples of this phenomenon for representative stocks and bonds, illustrating how the values of the ES and their averages are affected by the number of chosen data points. In addition, we present a method to mitigate the errors in the ES due to a low sample size, which is suitable for both liquid and illiquid financial products. Our analysis is expected to provide financial practitioners with useful insights about the errors made using Historical Simulation in the calculation of the Expected Shortfall. This, together with the method that we propose to reduce the errors due to finite sample size, is expected to help avoid miscalculations of the actual risk of portfolios. Full article
(This article belongs to the Section Risk)
Show Figures

Figure 1

19 pages, 1076 KB  
Article
Green Spare Parts Evaluation for Hybrid Warehousing and On-Demand Manufacturing
by Idriss El-Thalji
Appl. Syst. Innov. 2025, 8(1), 8; https://doi.org/10.3390/asi8010008 - 3 Jan 2025
Cited by 1 | Viewed by 3366
Abstract
Additive manufacturing and digital warehouses are transforming the way industries manage and maintain their spare parts inventory. Considering digital warehouses and on-demand manufacturing for spare parts during the project phase is a strategic decision that involves trade-offs depending on the operational needs and [...] Read more.
Additive manufacturing and digital warehouses are transforming the way industries manage and maintain their spare parts inventory. Considering digital warehouses and on-demand manufacturing for spare parts during the project phase is a strategic decision that involves trade-offs depending on the operational needs and pricing structure. This paper aims to explore the spare part evaluation process considering both physical and digital warehouse inventories. A case asset is purposefully selected and four spare part management concepts are studied using a simulation modeling approach. The results highlight that the relevant digital warehouse scenario, used in this case, managed to completely reduce all emissions related to global spare parts supply; however, this was at the expense of reducing availability by 15.1%. However, the hybrid warehouse scenario managed to increase availability by 11.5% while completely reducing all emissions related to global spare parts supply. Depending on the demand rate, the digital warehousing may not be sufficient alone to keep the production availability at the highest levels; however, it is effective in reducing the stock amount, simplifying the inventory management, and making the supply process more green and resilient. A generic estimation model for spare parts engineers is provided to determine the optimal specifications of their spare parts supply and inventory while considering digital warehouses and on-demand manufacturing. Full article
(This article belongs to the Special Issue New Challenges of Innovation, Sustainability, Resilience in X.0 Era)
Show Figures

Figure 1

Back to TopTop