Abstract
This study proposes a multi-objective optimization model for capital allocation in an energy stock portfolio. The model integrates two financial objectives (maximizing return and minimizing value-at-risk) and four environmental objectives (minimizing carbon, energy, water, and waste intensities), providing a more comprehensive representation of corporate environmental performance in the energy sector. A closed-form analytical solution is developed to enhance theoretical clarity, analytical tractability, and interpretability without relying on iterative simulations. Methodologically, the model adopts a weighted utility function approach to aggregate multiple objectives into a single unified function, and the optimal solution is derived using the Lagrange multiplier method. The proposed model is then implemented on Indonesian energy stock data selected based on the lowest aggregate scores of financial and environmental attributes. This selection yields four stocks across three different energy subsectors: oil, gas, and coal. This implementation demonstrates that the optimal portfolio solution is simply and efficiently obtained without the need for iterative numerical approaches. Additionally, this implementation also shows a clear, representative, and rational trade-off between financial aspects and environmental impacts. This study makes a theoretical contribution to the sustainable portfolio literature and has practical implications for investors seeking to balance financial and environmental objectives quantitatively.
Keywords:
multi-objective optimization; environmentally-based stock portfolios; closed-form solutions; energy sector; weighted utility function; Lagrange multiplier MSC:
91G10; 91B32; 62P05; 62P20
1. Introduction
Energy is a fundamental sector in economics, facilitating industrial activities and infrastructure development [1]. However, this sector is also a major contributor to global carbon emissions, accounting for approximately 76% of global total emissions [2,3]. As awareness of the environmental impact of energy activities increases, global pressure for more environmentally friendly practices has intensified, as reflected in the emergence of various environmental regulations such as the 2015 Paris Agreement. This pressure has triggered a paradigm shift toward sustainable investment that integrates environmental considerations as part of financial decision-making [4,5]. In this context, Pedersen et al. [6] show that portfolios incorporating environmental criteria are not only able to mitigate reputational and regulatory risks but also have the potential to deliver competitive financial performance in the long term. This finding is reinforced by a meta-analysis study by Friede et al. [7], which concludes that the majority of more than 2000 empirical studies show a positive or neutral relationship between environmental performance and financial performance, thereby supporting the view that sustainability and profitability are not two conflicting objectives. It strengthens the urgency of transforming toward an investment model that holistically integrates economic and environmental considerations.
Although interest in sustainable investment continues to grow, many investment strategies still adhere to traditional frameworks that consider only two primary aspects: return and risk. Approaches such as modern portfolio theory have not yet explicitly incorporated non-financial factors, including environmental sustainability. As a result, these models often fail to reflect the preferences of today′s investors, who increasingly consider environmental impact in their investment decisions, especially in sectors with high ecological footprints, such as energy [8,9].
This limitation drives the need for a multi-objective approach in portfolio management. Investors now consider various objectives, including non-financial aspects such as carbon, water, and waste intensity. A multi-objective optimization model can balance financial and sustainability goals simultaneously [10,11]. By integrating these two dimensions, this approach provides a more comprehensive investment solution that addresses global environmental challenges.
Bouyaddou and Jebabli [12] proposed the Portfolio Emissions Sentiment Attention Aware Reinforcement Learning model (PESAARL), whose solution is not closed-form with an environmental objective function in the form of carbon emission minimization. Yang et al. [13] proposed a Bayesian Optimization model-based Convolutional Neural Network with Long Short-Term Memory, featuring a non-closed-form solution and an environmental objective function aimed at minimizing carbon emissions. Liu et al. [14] proposed a Weighted Multiple Conditional Value at Risk (WMCVaR) optimization model whose solution is not closed-form, considering an environmental objective function that minimizes carbon emission. Escobar-Anel and Jiao [15] proposed a stock selection method based on Multi-Criteria Decision Making using environmental indices and assigning weights through the mean-variance model. Zhang et al. [16] formulated a bi-level stochastic multi-objective optimization model with a non-closed-form solution, featuring a carbon emission minimization objective function and an environmental constraint function on energy consumption limits. Chen et al. [17] proposed a multi-stage multi-objective portfolio optimization model, M-ISTARR-MD (mean-improved stable tail-adjusted return ratio–maximum drawdown rate), whose solution is not closed-form and includes an environmental objective function in the form of carbon emission minimization. Xu et al. [18] proposed a mean-variance portfolio optimization model with a closed-form solution using the Linear-Quadratic control method, which has a constraint function in the form of portfolio carbon emission limits.
Zhang et al. [19] proposed a CVaR-based portfolio optimization model that combines a real options method with a non-closed-form solution, considering an environmental objective function that minimizes carbon emissions and a constraint function for electricity demand limits. Fang et al. [20] proposed a mean-variance portfolio optimization model with a closed-form solution that considers an environmental constraint function in the form of a carbon intensity limit. Luo and Wu [21] proposed a mean-variance and mean-CVaR portfolio optimization model with a closed-form solution using the OGARCH (Orthogonal GARCH) method that considers an environmental constraint function in the form of a carbon intensity limit. Su et al. [22] proposed a real options and CVaR-based portfolio optimization model with a non-closed-form solution that incorporates an environmental objective function, aiming to minimize investment risks during the transition to a low-carbon economy while considering policy and market uncertainty. Ogunniran et al. [23] proposed a multi-stage stochastic optimization model with CVaR, whose solution is non-closed-form, using a scenario-based stochastic optimization method with the Gurobi Optimizer to maximize portfolio returns and minimize risks in renewable energy investments, while also considering policy and market uncertainty. Rohmawati et al. [24] proposed a portfolio optimization model based on Sensitivity VaR with a non-closed-form solution with an environmental objective function in the form of carbon intensity minimization and using the Cornish-Fisher expansion and distorted stochastic dominance methods in designing the optimization model.
Based on the literature review, previous studies generally have two main limitations as follows:
- Prior studies have only considered one or two environment-based objective functions, which are generally limited to carbon emissions. This narrow focus may lead to an incomplete assessment of a company′s overall environmental impact, as it overlooks other critical dimensions such as energy consumption, water usage, and waste generation. As a result, the resulting investment strategies may fail to capture broader sustainability risks and opportunities.
- Almost all studies rely on numerical or simulation-based solutions, which lack a closed-form analytical expression for solving the model, making implementation difficult due to the complexity and time-consuming nature of the computations.
Based on the limitations of previous studies, this research aims to fill the gap by formulating a multi-objective optimization model for capital allocation in an energy stock portfolio with novelties as follows:
- The model integrates two financial objectives (maximizing return and minimizing value-at-risk) with four environmental objectives (minimizing carbon, energy, water, and waste intensities). By considering environmental dimensions beyond carbon, namely, energy use, water consumption, and waste generation, the model offers a more comprehensive representation of corporate environmental performance in the energy sector. It is also consistent with sustainability reporting practices in capital markets, where companies are required to disclose not only carbon emissions but also the intensities of water, energy, and waste. Using intensities rather than absolute values is crucial, since it allows environmental performance to be measured relative to output or revenue, thereby ensuring comparability across firms of different sizes. Incorporating these indicators is particularly important for energy stocks, which are known to have significant environmental impacts, as it incentivizes firms included in investment portfolios to compete in reducing their environmental footprint. Accordingly, the model enables the construction of investment portfolios that incorporate diverse sustainability criteria within a rigorous quantitative framework.
- The model presents a closed-form analytical solution, which provides theoretical clarity, improves analytical tractability, and allows direct interpretation of optimality conditions without relying on iterative simulations.
Methodologically, the model is developed using a weighted utility function approach to aggregate multiple objectives into a single unified objective function. Through this approach, investors are explicitly allowed to control the trade-offs among objectives by adjusting the preference for each objective. An investor focused on environmental issues may increase the preference for environmental objectives, while one focused on financial issues may increase the preference for financial objectives. A balanced investor tends to allocate with similar preferences for both. Then, the optimal solution is derived using the Lagrange multiplier method. This method is ideal as it enables solving the multi-objective problem with equality constraints in a closed form, ensuring theoretical clarity and avoiding the computational complexity of iterative simulations. The model is then applied to energy sector stock data in Indonesia, with stocks selected based on the lowest combined financial and environmental scores, to reflect an allocation scenario targeting high-risk but environmentally responsible issuers.
Practically, this model offers a transparent and replicable quantitative approach for investors or asset managers seeking to balance financial returns with environmental responsibility in the energy sector context. Theoretically, this study expands the portfolio optimization literature by presenting a multi-objective approach based on a closed-form solution that simultaneously considers six objective dimensions.
2. The Proposed Model
2.1. Mathematical Notations and Assumptions
The mathematical notations and assumptions used in this study are as follows:
- represents the number of energy stocks in the portfolio.
- represents the index of the -th energy stock.
- represents the return of the -th energy stock at time , assumed to be stationary. It implies that both the mean and variance of the returns remain constant across all time indices. Formally, and for all .
- follows a normal distribution with the mean and variance . The distribution of each stock return does not have to be identical.
- represents the correlation coefficient between the returns of the -th and -th energy stocks.
- is the decision variable representing the capital weight on the -th energy stock.
- represents the -quantile of the standard normal random variable. It is used to compute the value-at-risk (VaR) of the right tail of the portfolio return distribution. Therefore, the value of is restricted to the interval .
- is a constant representing the carbon intensity of the -th energy stock.
- is a constant representing the energy intensity of the -th energy stock.
- is a constant representing the water usage intensity of the k-th energy stock.
- is a constant representing the waste intensity of the -th energy stock.
- , , , , , and represent preference weights assigned to the objectives of mean portfolio return, VaR portfolio return, carbon intensity, energy intensity, water intensity, and waste intensity, respectively.
2.2. Objective Functions
2.2.1. Maximization of the Portfolio Average Return
The first objective function aims to maximize the average return of the portfolio. This objective is fundamental in portfolio management because it reflects the investor′s orientation toward achieving maximum profit from the asset combination held [25,26]. Suppose there are energy stocks in the portfolio, and is the capital weight on the -th energy stock. Then, using the property of linearity of expectation, the average return of the portfolio is formulated as follows:
Thus, the objective function is formulated as follows:
The implication is that the higher the value of , the greater the incentive to increase capital allocation to that asset, while still considering risk and other constraints.
2.2.2. Minimization Portfolio Value-At-Risk Return
The second objective function aims to minimize the value-at-risk (VaR) of the portfolio return, which serves as a measure of the investor′s potential maximum loss over a specified period. In this context, the VaR of the portfolio return is defined as the worst expected loss at a given confidence level within the holding period. By incorporating this measure, the portfolio becomes more resilient to market volatility and systemic risks [27,28].
Let denote the -quantile of the standard normal random variable. Since for every is normally distributed, the VaR at the -quantile of the portfolio return can be approximated as follows:
where is the standard deviation of the -th energy stock return, and represents the correlation rate between the -th and -th energy stock returns. Because VaR are represented by the right tail of the return distribution, the confidence level is restricted to [29]. Thus, the objective function is formulated as follows:
2.2.3. Minimization of Carbon Intensity in the Portfolio
The third objective function focuses on controlling carbon emissions to support the transition toward an efficient low-carbon economy. This objective is represented by minimizing the total carbon intensity of the portfolio. Carbon intensity refers to the volume of greenhouse gas (GHG) emissions produced per unit of revenue, where lower intensity indicates more efficient emissions relative to economic output. In this study, carbon emissions encompass Scope 1 (direct emissions from owned or controlled sources), Scope 2 (indirect emissions from the generation of purchased electricity, steam, heating, and cooling consumed), and Scope 3 (all other indirect emissions across the value chain, including upstream suppliers and downstream product use) [30,31]. Integrating these three scopes provides a more comprehensive assessment of a firm′s climate impact, ensuring the portfolio aligns with broader sustainability goals. Consequently, the model tends to favor stocks that contribute to a low-carbon economy, while simultaneously considering other objectives [32]. Mathematically, this objective function is written as follows:
where represents the carbon intensity of the -th energy stock.
2.2.4. Minimization of Energy Intensity in the Portfolio
The fourth objective function focuses on controlling the use of energy resources, particularly fuel and electricity. This objective promotes energy conservation and efficiency within investment strategies, especially in light of the increasing scarcity of global energy supplies. In this study, the objective function is formulated as the minimization of energy intensity in the portfolio. Energy intensity refers to the amount of energy consumed per unit of revenue. Lower energy intensity indicates more efficient and cost-effective energy use relative to company output, and vice versa. Specifically, the energy usage considered in this study includes fuel consumption, which refers to the direct use of fossil-based energy such as gasoline, diesel, or natural gas in operational activities, and electricity usage, which includes purchased electricity used to power equipment, lighting, and production processes [33]. Both types of energy are critical components of industrial operations, and their efficient management reflects a company′s commitment to reducing energy dependency and emissions. Mathematically, this objective function is written as:
where represents the energy intensity of the -th energy stock.
2.2.5. Minimization of Water Intensity in the Portfolio
The fifth objective function focuses on controlling water usage. In the context of climate change, this function is urgent to ensure that capital allocation does not exacerbate water resource exploitation, which could trigger clean water crises in areas surrounding the investee companies [34]. In this study, the objective is operationalized by minimizing the total water intensity of the portfolio. Water intensity is defined as the amount of water used in operational activities per unit of revenue. The lower the intensity, the more efficient and responsible the company is in managing water resources, and vice versa. Specifically, this study considers two types of water usage. The first is surface water, which includes rivers, lakes, and reservoirs [35]. The second is groundwater, which refers to water drawn from aquifers located beneath the earth′s surface [36]. These sources are essential for industrial and operational needs, yet overuse may lead to environmental degradation and regional water insecurity. By incorporating both surface water and groundwater, the model captures a comprehensive picture of corporate water dependency and its potential externalities. This approach ensures that investment decisions are aligned with long-term water sustainability, while also optimizing other portfolio objectives. Mathematically, the objective function is expressed as:
where denotes the water usage intensity of the k-th energy stock.
2.2.6. Minimization of Waste Intensity in the Portfolio
The sixth objective function addresses the environmental impact of waste generated by companies in the portfolio. This objective aligns with the principles of the circular economy and corporate responsibility in waste management. This objective function is represented by minimizing the total waste intensity in the portfolio. Waste intensity is defined as the amount of waste generated per unit of revenue. In this study, the waste considered consists of two categories. The first is hazardous waste. This type of waste includes materials that are flammable, corrosive, toxic, or reactive in nature. Hazardous waste poses a significant threat to human health and the environment. The second is non-hazardous waste. This type of waste does not pose immediate environmental or health risks. Examples include general industrial waste and office waste. Incorporating both types allows for a more comprehensive assessment of a company′s waste footprint [37]. Minimizing waste intensity helps investors support pollution reduction, environmental protection, and the adoption of efficient and sustainable waste management practices [38]. Mathematically, this function is formulated as:
where is the waste intensity of the -th energy stock.
2.2.7. Integration of Objective Functions Using Weighted Utility Function Approach
The six previously formulated objective functions, namely the maximization of portfolio mean return, the minimization of portfolio return VaR, and the minimization of carbon, energy, water, and waste intensities, can be integrated into a single primary objective function using the weighted utility function approach. This approach is known as scalarization, which is widely applied in multi-objective optimization (MOO) to convert multiple objective functions into a single aggregate objective function [39]. Mathematically, the integration of these objective functions can be expressed as follows:
or
where , , , , , and , which represent preference weights indicating the relative importance of each objective. This preference weight setting implies that the model ensures all objectives are proportionally considered, without any single objective being thoroughly dominant or neglected. In addition to simplifying the MOO problem, the weighted utility function approach also allows investors to explicitly control the trade-offs among objectives by adjusting the preference weight values. For example, an investor with a high preference for environmental issues may increase the values of , , , and . However, the consequence is a reduction in allocation to highly profitable but environmentally unfriendly assets. Let , then Equation (7) can be rewritten as follows:
To facilitate the solution process, the objective function in Equation (8) can be transformed into a matrix and vector multiplication form. Suppose that
where and is a positive-definite, symmetric, and nonsingular matrix. Then, the main objective function in Equation (8) can be reformulated as follows:
where . Through this matrix and vector multiplication form, the objective function is written more simply. In addition, the solution estimation time of the MOO becomes more efficient since the solution is estimated simultaneously [40].
2.3. Constraint
There is one constraint related to the decision variables in the optimization model proposed in this study. The constraint states that the total allocation weight of all energy stocks in the portfolio must equal one (100%). The constraint is formulated as follows:
This constraint ensures that the entire available capital is fully invested across all selected energy stocks, without any portion being left idle or borrowed [41]. This constraint function in Equation (10) can be written in vector multiplication form as follows:
where is a -dimensional vector with all elements equal to one, or
2.4. The Multi-Objective Optimization (MOO) Model
Thus, based on Equations (8) and (10), the MOO for the problem of determining capital allocation weights in the portfolio in this study is formulated as follows:
where . Then, based on Equations (9) and (11), the proposed MOO in matrix and vector multiplication form is as follows:
where .
2.5. The MOO Model Solution
To determine the solution of the proposed MOO, the Lagrange multiplier approach is used. The results of the analysis in Theorem 1 show that the solution to the proposed MOO has a closed-form expression, which is explicitly given in the portfolio weight function with respect to the model parameters. The implication is that this solution not only facilitates economic interpretation but also improves computational efficiency, as it does not require numerical iteration or repeated simulations for each scenario. In addition, the closed form enables sensitivity analysis to changes in investor preference weights, facilitating the direct and transparent application of this model in financial software or decision support systems.
Theorem 1.
The solution of the MOO problem in Equation (13), determined using the Lagrange multiplier method, is as follows:
Proof of Theorem 1.
The proof begins by formulating the Lagrange function that combines the objective function with the constraints as follows:
The Lagrange multiplier value in Theorem 1 has no sign constraint and has two possibilities. Choose such that it produces the smallest value of the objective function with and . The solution of the MOO problem in Theorem 1 is guaranteed to be a global minimum. It is because the objective function is strictly convex. The strict convexity comes from the positive definite property of the covariance matrix . Moreover, the feasible region is convex as linear equality constraints define it. Based on convex optimization theory, a strictly convex objective over a convex feasible region ensures that any local minimum is also a global minimum [42].
3. Model Application to Energy Stock Data
3.1. Description of Stock Data and Its Selection Methodology
The energy stock data used in this study were obtained from the Indonesian capital market from January 2022 to December 2024. In brief, the criteria for selecting energy stocks are as follows:
- Included among the 30 stocks with the largest market capitalization in July 2025, as analyzed from the open-source data on IDN Financials: https://www.idnfinancials.com/id/?sl=id, accessed on 12 May 2025.
- Listed on the stock exchange in the years 2022, 2023, and 2024, as analyzed from the open-source data on IDN Financials: https://www.idnfinancials.com/id/?sl=id, accessed on 12 May 2025.
- Published annual sustainability reports in 2022, 2023, and 2024, as analyzed from publicly available information on each energy stock′s official website.
For each stock, the average and standard deviation of its monthly return are calculated. Additionally, the annual carbon intensity of each stock is analyzed based on the sustainability reports obtained. The annual carbon intensity in this study includes scope 1, 2, and 3 emissions (see [30,31]). Furthermore, the annual water intensity is analyzed in terms of surface water and groundwater usage (see [35,36]), while the annual energy intensity is analyzed in terms of electricity and fuel consumption (see [33]). The annual waste intensity is measured based on the volume of hazardous and non-hazardous waste (see [37]). In summary, a total of 18 stocks meet criteria (a) to (c), and the analysis results of all necessary attributes are presented in Table 1.
Table 1.
Energy stocks that meet criteria (a), (b), and (c), along with their respective attributes.
From the 18 stocks in Table 1, four stocks were selected based on specific criteria. In this study, the selection of these four stocks was conducted using the Combined Financial and Environmental Score Method. This stock selection method aims to integrate financial and environmental performance into a single aggregate metric that reflects the balance between profitability and sustainability. This approach aligns with the trend of sustainable investing, which considers not only profits and losses but also the environmental impact of investments. The steps are as follows:
- Standardize each data attribute
Each stock attribute has different units and scales. Therefore, a standardization process is necessary to harmonize all attributes, allowing them to be compared and aggregated consistently. The method used is a transformation with the following general formula:
where is the standardized -th attribute of the -th energy stock, is the original value of the -th attribute of the -th energy stock, with and . With this transformation, all indicators will fall on a 0 to 100 scale, with higher values indicating better performance.
- b.
- Calculate the aggregate combined score of each attribute for each stock
After all attributes are standardized, assign weights to each attribute to reflect its relative importance in the overall assessment. The assignment of weights is flexible and can be adjusted according to investor preferences. In this study, the weights are assumed to reflect a balance between profitability and sustainability. The total weight for financial attributes is set at 0.5 (with ), and the total weight for environmental attributes is set at 0.5 (with ). Mathematically, the aggregate combined score of the attributes for the -th energy stock is expressed as:
where , , , , , and respectively represent the standardized values of , . , , , and from step a.
Generally, selecting more than four stocks within a single sector can increase the internal correlation of the portfolio and reduce the effectiveness of diversification. Therefore, in this study, we designed a portfolio case consisting of four stocks. These stocks are four energy companies with the lowest aggregate combined scores: PGAS, AKRA, BYAN, and GEMS (see Table 1). These four stocks represent three different energy subsectors: oil, gas, and coal.
3.2. Model Parameter Estimation
After selecting four stocks based on the combined financial and environmental score, the next step is to estimate the parameters required. This estimation includes the average return values, standard deviations, correlations among stocks, and the intensity values of each environmental indicator.
Based on Table 1, the monthly average return vector , which contains the average returns of energy stocks PGAS, AKRA, BYAN, and GEMS, is expressed as follows:
The covariance matrix of stock returns , based on monthly return data of each selected stock, is as follows:
The matrix contains ten negative elements. It indicates that many of the selected stock returns have negative correlations. In other words, many of the selected stock returns tend to move in opposite directions. The implication is that portfolio diversification can be implemented more effectively, as the negative correlations between stocks enable a reduction in the total portfolio risk. It is because negative fluctuations in one stock can be offset by positive performance in another stock, thereby reducing aggregate volatility and improving overall portfolio risk efficiency.
Based on Table 1, the annual average vectors of carbon intensity , energy intensity , water intensity , and waste intensity of the energy stocks PGAS, AKRA, BYAN, and GEMS are expressed respectively as:
3.3. Optimal Capital Weight Determination
The capital weights of each energy stock in the portfolio are determined using Theorem 1. In this study, the weight determination is divided into three investor preference scenarios: financially oriented, balanced oriented, and environmentally oriented. For the financially oriented preference, the total weight assigned to financial objectives is 0.75 (with ), while the total weight for environmental objectives is 0.25 (with For the balanced preference, both financial and environmental objectives are equally weighted at 0.5, with and . For the environmentally oriented preference, the total weight for financial objectives is reduced to 0.25 (with ), whereas the total weight for environmental objectives is increased to 0.75 (with ). Furthermore, the Value-at-Risk (VaR) is evaluated on the left tail of the return distribution at the quantile, implying that the investor is assumed to have a maximum loss tolerance corresponding to the 0.01-quantile of the portfolio return distribution. A summary of the weight determination results under this parameter setting is presented in Table 2.
Table 2.
Portfolio Optimization Results under Different Investor Preference Scenarios.
Table 2 shows that from the performance indicators, the financially oriented portfolio achieves the highest average monthly return (1.7902%), followed by the balanced portfolio (1.7338%) and the environmentally oriented portfolio (1.5573%). This result illustrates the trade-off between financial performance and environmental considerations, where portfolios with greater emphasis on environmental objectives yield lower expected returns. Then, the risk profile, as measured by the monthly Value-at-Risk (VaR) at the 0.01 quantile, indicates that environmentally oriented portfolios are slightly riskier, with the most significant potential loss (−12.1605%), compared to the financially oriented (−11.4823%) and balanced (−11.5813%) portfolios. It suggests that prioritizing environmental factors may reduce diversification benefits due to the narrower set of feasible allocations. In terms of environmental impact indicators, a transparent gradient emerges. The environmentally oriented portfolio consistently exhibits lower intensity values across all environmental dimensions (carbon, water, energy, and waste intensities). It demonstrates that shifting investor preference toward environmental objectives leads to portfolios with more sustainable profiles, albeit at the cost of reduced returns and higher risk exposure.
Furthermore, Table 2 shows that energy stocks with lower aggregate scores in both financial and environmental attributes tend to receive higher capital allocation weights. For instance, PGAS and AKRA, which rank first and second in terms of overall financial and environmental scores (see Table 1), consistently obtain relatively large allocation weights across all investor preference cases. In contrast, stocks with high average returns do not necessarily receive high allocation weights, since the model simultaneously considers multiple attributes. For example, BYAN has the highest average return, yet it receives the lowest capital allocation weight due to its poor environmental performance. This outcome highlights that the optimization process does not merely chase returns but rather balances financial efficiency with sustainability considerations, thereby reflecting the inherent trade-off faced by investors in energy markets.
4. Discussion
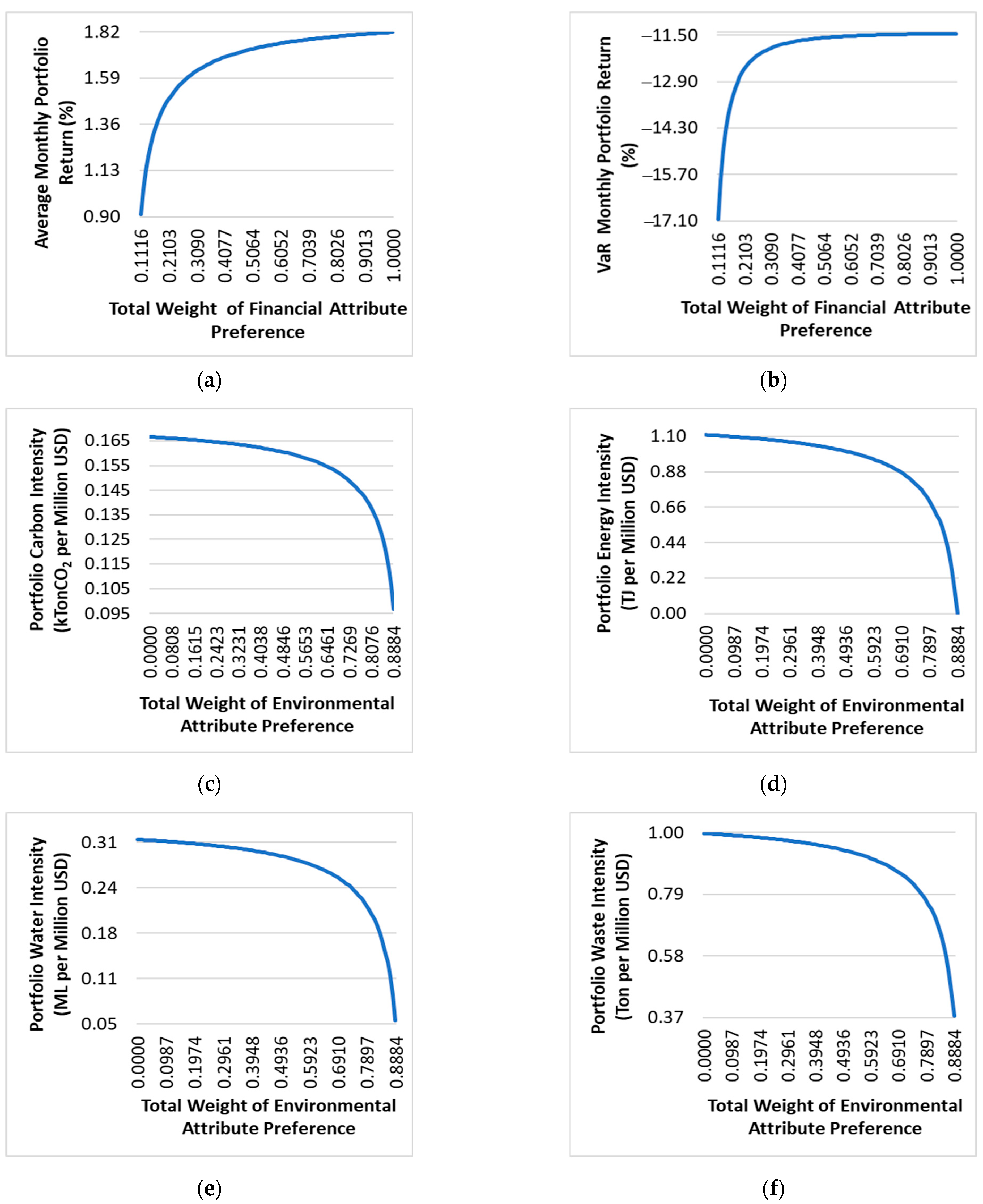
This section presents a sensitivity analysis of the financial and environmental attributes concerning investor preferences. The analysis is conducted by adjusting the total financial and environmental preference weights of investors within the feasible region of the MOO. The preference weights for the portfolio′s average and VaR return are set equally, namely one-half of the total weight of financial attribute preference ( total weight of financial attribute preference). Furthermore, the preference weights for carbon, energy, water, and waste intensities are also set equally, namely one-fourth of the total weight of environmental attribute preference ( total weight of environmental attribute preference). Then, α for the VaR is set at 0.2, indicating that the maximum tolerated loss by the investor is at the 0.01-quantile of the portfolio return. Lastly, we only consider the weights for each . Under this setup, the feasible region is obtained with the total weight of financial attribute preference ranging from 0.1116 to 1.0000 and the total weight of environmental attribute preference ranging from 0.0000 to 0.8884. For each value of the total weight of financial and environmental attribute preferences within the given interval, the average return, VaR return, carbon intensity, energy intensity, water intensity, and waste intensity of the portfolio are determined. The results are illustrated visually in Figure 1.
Figure 1.
Sensitivity of Average Return (a), VaR Return (b), Carbon Intensity (c), Energy Intensity (d), Water Intensity (e), and Waste Intensity (f) of the Portfolio to the Total Weights of Financial and Environmental Attributes.
Figure 1 illustrates the clear existence of a trade-off between financial performance and environmental impact within the portfolio. An increase in the total weight of financial attributes from 11.16% to 100% results in an increase in the average monthly return from 0.9110% to 1.8183%, accompanied by a decrease in the VaR from 17.0583% to 11.4490%. It indicates that a greater allocation to financial aspects not only enhances returns but also reduces financial risk. However, the increase in total financial weight results in a decrease in total environmental weight, from 88.84% to 0%. It affects the degradation of the portfolio′s environmental performance. For instance, the carbon intensity increases from 0.0968 kTonCO2 per million USD (total environmental weight of 88.84%%) to 0.1666 kTonCO2 per million USD (total environmental weight of 0%), energy intensity rises from 0.0019 TJ per million USD to 1.1100 TJ per million USD, water intensity increases from 0.0554 ML per million USD to 0.3100 ML per million USD, and waste intensity increases from 0.3760 tons per million USD to 0.9969 tons per million USD. These findings highlight how investor preferences influence the prioritization of profitability versus environmental impact. A portfolio with a higher environmental weight offers lower environmental impacts but comes with the opportunity cost of lower returns and higher VaR. Conversely, a portfolio with a higher financial weight provides optimal financial efficiency but sacrifices environmental outcomes. Intermediate solutions (e.g., 55% environmental weight and 45% financial weight, or vice versa) may serve as a compromise, although they do not fully resolve this trade-off.
The results of this simulation provide several important implications. First, the findings in this study highlight the importance of managing financial and environmental attribute preferences in the capital allocation strategy for each energy stock in the portfolio. For institutional investors and environmentally focused fund managers, the results indicate that the trade-off between profitability and environmental sustainability is unavoidable, particularly in the context of energy stocks that exhibit high emissions intensity and resource consumption [43]. Allocating an excessively high total preference weight to financial performance may reduce risk and enhance returns, but it leads to increased carbon footprint, energy consumption, water usage, and waste generation. Conversely, portfolios prioritizing environmental attributes may reduce ecological pressure, but at the expense of financial consequences, including lower returns and increased VaR.
In the context of Indonesia′s energy transition policy, these findings support the importance of fiscal and market-based policy incentives that promote improved environmental efficiency among energy companies, such as the implementation of carbon taxes, mandatory environmental disclosure, and the integration of environmental scoring into stock indices. Furthermore, this model can serve as a decision support tool for authorities responsible for designing green taxonomy frameworks and decarbonization roadmaps in the financial sector.
However, several limitations must be acknowledged. First, the VaR model used assumes a normal distribution of portfolio returns, whereas in practice, stock return distributions often exhibit significant skewness and kurtosis. Second, the carbon, energy, water, and waste intensity data used are sourced from corporate sustainability reports, which may be biased due to being self-reported and not always subject to external audit. Third, the model is static and does not accommodate dynamic information updates, such as those provided by time-series models, which enable real-time updates of preferences and attributes. In the future, it will be necessary to develop approaches that incorporate dynamic stochastic models, utilize empirical or heavy-tailed distributions, and integrate more accurate and objective environmental data sources, such as satellite data or blockchain-based reporting, to enhance the model′s reliability [44].
5. Conclusions
This study formulates a multi-objective optimization model with an analytical (closed-form) solution for environmentally based equity capital allocation problems in the energy sector. This model integrates two financial objectives (maximization of average return and minimization of return value-at-risk) and four environmental objectives (minimization of carbon, energy, water, and waste intensities). The weighted utility function approach is employed to aggregate multi-objective preferences into a unified objective function, which is then solved using the Lagrange multiplier method, yielding an explicit solution without requiring numerical simulation. Accordingly, this model offers an efficient, computationally simple, and practical solution for sensitivity analysis, thereby facilitating investment decision-making. Moreover, this model is already representative in capturing investors′ financial and environmental preferences in portfolio allocation. It is demonstrated by the model implementation on Indonesian energy stock data. Following the selection of issuers based on combined financial and environmental attribute scores, the implementation results under various scenarios show that the model is capable of generating optimal portfolio weights, with a clear and rational trade-off between profitability and environmental impact. The model implementation also results in lower environmental intensities compared to conventional portfolio models.
The main contribution of this study is the provision of a closed-form solution that considers sustainability dimensions simultaneously and comprehensively. It expands the literature on portfolio models by integrating environmental attributes quantitatively and explicitly. Finally, we acknowledge that the present empirical application has limitations. The Indonesian energy stock data is employed as a simulation/illustration dataset, not to claim universal empirical generalizations. Transaction costs, bid–ask spreads, and liquidity risks of small-cap stocks are also not explicitly considered in the current version of the model, which may lead to an optimistic bias in return estimation. These aspects, along with cross-country replication in the energy sector and broader market contexts, represent promising and important avenues for future research. We sincerely appreciate the reviewers′ constructive suggestions on this matter and warmly welcome potential collaborations to extend the model in these directions. Then, subsequent studies may develop the model by integrating dynamic data through stochastic or time-series approaches, employing non-normal return distributions, and utilizing technology-based environmental data such as satellite or blockchain sources. The model may also be extended to the global market context, incorporating macroeconomic uncertainty, and covering social and governance indicators. Additionally, the combination of analytical solutions and machine learning methods can be explored to develop adaptive portfolios based on real-time data.
Supplementary Materials
The following supporting information can be downloaded at: https://www.mdpi.com/article/10.3390/math13172844/s1, Table S1: Stock Price Data. Table S2: Environmental Performance Data.
Author Contributions
Conceptualization, S. and R.A.I.; methodology, S.; software, I.G.P.; validation, A.R.E. and M.P.A.S.; formal analysis, S. and R.A.I.; investigation, A.R.E. and A.S.A.; resources, S. and I.G.P.; data curation, A.R.E. and M.P.A.S.; writing—original draft preparation, R.A.I.; writing—review and editing, S.; visualization, I.G.P.; supervision, S.; project administration, A.S.A.; funding acquisition, S. All authors have read and agreed to the published version of the manuscript.
Funding
This research was funded by the Ministry of Education, Culture, Research and Technology, Regular Fundamental Research Grant, Number: 1672/UN6.3.1/PT.00/2025, and the APC was funded by Universitas Padjadjaran.
Data Availability Statement
The original contributions presented in this study are included in the article and Supplementary Materials. Further inquiries can be directed to the corresponding author.
Acknowledgments
Thanks to the Ministry of Education, Culture, Research, and Technology, which has provided a Regular Fundamental Research Grant, and to Universitas Padjadjaran, which assisted with the APC for the publication of this paper. Also, thanks to the National Research and Innovation Agency (BRIN), which provided data processing facilities.
Conflicts of Interest
The authors declare no conflicts of interest.
Abbreviations
The following abbreviations are used in this manuscript:
| VaR | Value-at-Risk |
| MOO | Multi-Objective Optimization |
| CVaR | Conditional Value-at-Risk |
| TJ | Tera Joule |
| ML | Mega Liter |
| kTonCO2 | Kilo Ton Carbon Dioxide |
References
- Acemoglu, D.; Aghion, P.; Bursztyn, L.; Hemous, D. The Environment and Directed Technical Change. Am. Econ. Rev. 2012, 102, 131–166. [Google Scholar] [CrossRef]
- Battisti, L. Energy, Power, and Greenhouse Gas Emissions for Future Transition Scenarios. Energy Policy 2023, 179, 113626. [Google Scholar] [CrossRef]
- Nataly Echevarria Huaman, R.; Xiu Jun, T. Energy Related CO2 Emissions and the Progress on CCS Projects: A Review. Renew. Sustain. Energy Rev. 2014, 31, 368–385. [Google Scholar] [CrossRef]
- Berg, F.; Kölbel, J.F.; Rigobon, R. Aggregate Confusion: The Divergence of ESG Ratings. SSRN Electron. J. 2019, 3438533. [Google Scholar] [CrossRef]
- Ben Ameur, H.; Ftiti, Z.; Louhichi, W.; Yousfi, M. Do Green Investments Improve Portfolio Diversification? Evidence from Mean Conditional Value-at-Risk Optimization. Int. Rev. Financ. Anal. 2024, 94, 103255. [Google Scholar] [CrossRef]
- Pedersen, L.H.; Fitzgibbons, S.; Pomorski, L. Responsible Investing: The ESG-Efficient Frontier. J. Financ. Econ. 2021, 142, 572–597. [Google Scholar] [CrossRef]
- Friede, G.; Busch, T.; Bassen, A. ESG and Financial Performance: Aggregated Evidence from More than 2000 Empirical Studies. J. Sustain. Financ. Invest. 2015, 5, 210–233. [Google Scholar] [CrossRef]
- Metaxiotis, K.; Liagkouras, K. Multiobjective Evolutionary Algorithms for Portfolio Management: A Comprehensive Literature Review. Expert Syst. Appl. 2012, 39, 11685–11698. [Google Scholar] [CrossRef]
- Tzouvanas, P.; Mamatzakis, E.C. Does It Pay to Invest in Environmental Stocks? Int. Rev. Financ. Anal. 2021, 77, 101812. [Google Scholar] [CrossRef]
- Hilario-Caballero, A.; Garcia-Bernabeu, A.; Salcedo, J.V.; Vercher, M. Tri-Criterion Model for Constructing Low-Carbon Mutual Fund Portfolios: A Preference-Based Multi-Objective Genetic Algorithm Approach. Int. J. Environ. Res. Public Health 2020, 17, 6324. [Google Scholar] [CrossRef]
- Agliardi, E.; Alexopoulos, T.; Karvelas, K. The Environmental Pillar of ESG and Financial Performance: A Portfolio Analysis. Energy Econ. 2023, 120, 106598. [Google Scholar] [CrossRef]
- Bouyaddou, Y.; Jebabli, I. Integration of Investor Behavioral Perspective and Climate Change in Reinforcement Learning for Portfolio Optimization. Res. Int. Bus. Financ. 2025, 73, 102639. [Google Scholar] [CrossRef]
- Yang, H.; Gao, W.; Xu, S.; Li, Y.; Wei, X.; Wang, Y. Urban-Scale Power Decarbonization Using a Modified Power Purchase Agreements Framework Based on Markowitz Mean-Variance Theory. Sustain. Cities Soc. 2024, 116, 105903. [Google Scholar] [CrossRef]
- Liu, Y.J.; Yang, G.S.; Zhang, W.G. A Novel Regret-Rejoice Cross-Efficiency Approach for Energy Stock Portfolio Optimization. Omega 2024, 126, 103051. [Google Scholar] [CrossRef]
- Escobar-Anel, M.; Jiao, Y. Robust Portfolio Optimization with Environmental, Social, and Corporate Governance Preference. Risks 2024, 12, 33. [Google Scholar] [CrossRef]
- Zhang, M.; Song, W.; Liu, L.; Zhou, D. Optimal Investment Portfolio Strategy for Carbon Neutrality of Power Enterprises. Renew. Sustain. Energy Rev. 2024, 189, 113943. [Google Scholar] [CrossRef]
- Chen, Y.; Ye, L.; Li, R.; Zhao, X. A Multi-Period Constrained Multi-Objective Evolutionary Algorithm with Orthogonal Learning for Solving the Complex Carbon Neutral Stock Portfolio Optimization Model. J. Syst. Sci. Complex. 2023, 36, 686–715. [Google Scholar] [CrossRef]
- Xu, S.; Shen, J.; Hua, H.; Li, F.; Yu, K.; Li, Z.; Gao, X.; Dong, X. Trading Portfolio Strategy Optimization via Mean-Variance Model Considering Multiple Energy Derivatives. Processes 2023, 11, 532. [Google Scholar] [CrossRef]
- Zhang, M.; Tang, Y.; Liu, L.; Zhou, D. Optimal Investment Portfolio Strategies for Power Enterprises under Multi-Policy Scenarios of Renewable Energy. Renew. Sustain. Energy Rev. 2022, 154, 111879. [Google Scholar] [CrossRef]
- Fang, M.; Tan, K.S.; Wirjanto, T.S. Sustainable Portfolio Management under Climate Change. J. Sustain. Financ. Invest. 2019, 9, 45–67. [Google Scholar] [CrossRef]
- Luo, C.; Wu, D. Environment and Economic Risk: An Analysis of Carbon Emission Market and Portfolio Management. Environ. Res. 2016, 149, 297–301. [Google Scholar] [CrossRef] [PubMed]
- Su, Q.; Zhou, P.; Ding, H. Portfolio Optimization of Diversified Energy Transition Investments with Multiple Risks. Renew. Sustain. Energy Rev. 2025, 219, 115844. [Google Scholar] [CrossRef]
- Ogunniran, O.; Babatunde, O.; Akintayo, B.; Adisa, K.; Ighravwe, D.; Ogbemhe, J.; Olanrewaju, O.A. Risk-Based Optimization of Renewable Energy Investment Portfolios: A Multi-Stage Stochastic Approach to Address Uncertainty. Appl. Sci. 2025, 15, 2346. [Google Scholar] [CrossRef]
- Rohmawati, A.; Neswan, O.; Puspita, D.; Syuhada, K. Enhancing Portfolio Decarbonization Through SensitivityVaR and Distorted Stochastic Dominance. Risks 2024, 12, 167. [Google Scholar] [CrossRef]
- Purwandari, T.; Riaman; Hidayat, Y.; Sukono; Ibrahim, R.A.; Hidayana, R.A. Selecting and Weighting Mechanisms in Stock Portfolio Design Based on Clustering Algorithm and Price Movement Analysis. Mathematics 2023, 11, 4151. [Google Scholar] [CrossRef]
- Wu, D.; Wang, X.; Wu, S. Construction of Stock Portfolios Based on K-Means Clustering of Continuous Trend Features. Knowl.-Based Syst. 2022, 252, 109358. [Google Scholar] [CrossRef]
- Sukono; Ghazali, P.L.B.; Johansyah, M.D.; Riaman; Ibrahim, R.A.; Mamat, M.; Sambas, A. Modeling of Mean-Value-at-Risk Investment Portfolio Optimization Considering Liabilities and Risk-Free Assets. Computation 2024, 12, 120. [Google Scholar] [CrossRef]
- Uddin, G.S.; Sahamkhadam, M.; Yahya, M.; Tang, O. Investment Opportunities in the Energy Market: What Can Be Learnt from Different Energy Sectors. Int. J. Financ. Econ. 2023, 28, 3611–3636. [Google Scholar] [CrossRef]
- Alexander, G.J.; Baptista, A.M. Economic Implications of Using a Mean-VaR Model for Portfolio Selection: A Comparison with Mean-Variance Analysis. J. Econ. Dyn. Control 2002, 26, 1159–1193. [Google Scholar] [CrossRef]
- Anquetin, T.; Coqueret, G.; Tavin, B.; Welgryn, L. Scopes of Carbon Emissions and Their Impact on Green Portfolios. Econ. Model. 2022, 115, 105951. [Google Scholar] [CrossRef]
- Hu, J.; Shi, Y.; Cheng, Y.; Liu, Z. A Process-Oriented Model to Measure Product Carbon Footprint: An Exploratory Study Based on Multiple Cases. Prod. Plan. Control 2023, 36, 2266410. [Google Scholar] [CrossRef]
- Bolton, P.; Kacperczyk, M.; Samama, F. Net-Zero Carbon Portfolio Alignment. Financ. Anal. J. 2022, 78, 19–33. [Google Scholar] [CrossRef]
- Liu, C.; Fang, J.; Xie, R. Energy Policy and Corporate Financial Performance: Evidence from China′s 11th Five-Year Plan. Energy Econ. 2021, 93, 105030. [Google Scholar] [CrossRef]
- Simionescu, L.N.; Gherghina, Ș.C.; Sheikha, Z.; Tawil, H. Does Water, Waste, and Energy Consumption Influence Firm Performance? Panel Data Evidence from S&P 500 Information Technology Sector. Int. J. Environ. Res. Public Health 2020, 17, 5206. [Google Scholar] [CrossRef]
- Xu, H.; Wu, M.M. Water Availability Indices—A Literature Review; Argonne National Lab: Lemont, IL, USA, 2017. [Google Scholar]
- Li, H.; Zhao, F.; Li, C.; Yi, Y.; Bu, J.; Wang, X.; Liu, Q.; Shu, A. An Improved Ecological Footprint Method for Water Resources Utilization Assessment in the Cities. Water 2020, 12, 503. [Google Scholar] [CrossRef]
- Zhang, Z.; Malik, M.Z.; Khan, A.; Ali, N.; Malik, S.; Bilal, M. Environmental Impacts of Hazardous Waste, and Management Strategies to Reconcile Circular Economy and Eco-Sustainability. Sci. Total Environ. 2022, 807, 150856. [Google Scholar] [CrossRef]
- Albitar, K.; Nasrallah, N.; Hussainey, K.; Wang, Y. Eco-Innovation and Corporate Waste Management: The Moderating Role of ESG Performance. Rev. Quant. Financ. Account. 2024, 63, 781–805. [Google Scholar] [CrossRef]
- Gunantara, N. A Review of Multi-Objective Optimization: Methods and Its Applications. Cogent Eng. 2018, 5, 1502242. [Google Scholar] [CrossRef]
- Sukono; Rosadi, S.D.; Maruddani, D.A.I.; Ibrahim, R.A.; Johansyah, M.D. Mechanisms of Stock Selection and Its Capital Weighing in the Portfolio Design Based on the MACD-K-Means-Mean-VaR Model. Mathematics 2024, 12, 174. [Google Scholar] [CrossRef]
- Hidayat, Y.; Purwandari, T.; Sukono; Prihanto, I.G.; Hidayana, R.A.; Ibrahim, R.A. Mean-Value-at-Risk Portfolio Optimization Based on Risk Tolerance Preferences and Asymmetric Volatility. Mathematics 2023, 11, 4761. [Google Scholar] [CrossRef]
- Schlitter, J.; Metz, A. The Hessian in Funtion Minization. Int. J. Comput. Math. 1988, 24, 65–71. [Google Scholar] [CrossRef]
- Bauer, R.; Ruof, T.; Smeets, P. Get Real! Individuals Prefer More Sustainable Investments. Rev. Financ. Stud. 2021, 34, 3976–4043. [Google Scholar] [CrossRef]
- Thanasi-Boçe, M.; Hoxha, J. Blockchain for Sustainable Development: A Systematic Review. Sustainability 2025, 17, 4848. [Google Scholar] [CrossRef]
Disclaimer/Publisher’s Note: The statements, opinions and data contained in all publications are solely those of the individual author(s) and contributor(s) and not of MDPI and/or the editor(s). MDPI and/or the editor(s) disclaim responsibility for any injury to people or property resulting from any ideas, methods, instructions or products referred to in the content. |
© 2025 by the authors. Licensee MDPI, Basel, Switzerland. This article is an open access article distributed under the terms and conditions of the Creative Commons Attribution (CC BY) license (https://creativecommons.org/licenses/by/4.0/).
