Sign in to use this feature.

Years

Between: -

Subjects

remove_circle_outline
remove_circle_outline
remove_circle_outline
remove_circle_outline
remove_circle_outline
remove_circle_outline
remove_circle_outline
remove_circle_outline
remove_circle_outline

Journals

remove_circle_outline
remove_circle_outline
remove_circle_outline
remove_circle_outline
remove_circle_outline
remove_circle_outline
remove_circle_outline
remove_circle_outline
remove_circle_outline
remove_circle_outline
remove_circle_outline
remove_circle_outline
remove_circle_outline
remove_circle_outline
remove_circle_outline

Article Types

Countries / Regions

remove_circle_outline
remove_circle_outline
remove_circle_outline
remove_circle_outline
remove_circle_outline

Search Results (1,116)

Search Parameters:
Keywords = spray generation

Order results
Result details
Results per page
Select all
Export citation of selected articles as:
24 pages, 4739 KB  
Article
A High-Throughput Screening Platform to Evaluate Biostimulant Activity of Five Microalgae in Arabidopsis thaliana
by Bram Vangenechten, Tom Bernaerts, Floris Schoeters, Sabine Van Miert, Barbara De Coninck and Johan Ceusters
Phycology 2026, 6(1), 1; https://doi.org/10.3390/phycology6010001 (registering DOI) - 19 Dec 2025
Abstract
Microalgae are increasingly recognized as promising biostimulants for sustainable agriculture, yet their potential remains underexplored due to the complexity of biostimulant activity and the vast diversity of species. Efficient standardized screening approaches are therefore needed. In this study, a high-throughput screening platform assessed [...] Read more.
Microalgae are increasingly recognized as promising biostimulants for sustainable agriculture, yet their potential remains underexplored due to the complexity of biostimulant activity and the vast diversity of species. Efficient standardized screening approaches are therefore needed. In this study, a high-throughput screening platform assessed the biostimulant activity of five microalgal species (Limnospira platensis, Chlorella vulgaris, Dunaliella salina, Microchloropsis gaditana, and Isochrysis galbana) in Arabidopsis thaliana. The system enabled full life-cycle assessment of A. thaliana under optimal and drought stress conditions, incorporating three application methods (soil amendment, irrigation, foliar spray) and a wide concentration range of 0.01–0.5 g/L. Biostimulant efficacy depended strongly on concentration and application method. Irrigation-based applications generally enhanced drought tolerance but delayed bolting and flowering. The highest concentration inhibited germination and root elongation, likely due to bioactive compound toxicity rather than salinity or pH. L. platensis exhibited broad activity across environmental conditions, while I. galbana likewise showed wide-ranging effects, including enhanced generative growth. In contrast, D. salina and M. gaditana primarily improved drought tolerance, and C. vulgaris acted mainly under optimal conditions. These findings highlight the value of A. thaliana to accommodate rapid biostimulant screening and identify both novel and established microalgae for further validation in crops. Full article
21 pages, 5640 KB  
Article
Spray Deposition on Nursery Apple Plants as Affected by an Air-Assisted Boom Sprayer Mounted on a Portal Tractor
by Ryszard Hołownicki, Grzegorz Doruchowski, Waldemar Świechowski, Artur Godyń, Paweł Konopacki, Andrzej Bartosik and Paweł Białkowski
Agronomy 2026, 16(1), 8; https://doi.org/10.3390/agronomy16010008 - 19 Dec 2025
Abstract
Contemporary nurseries of fruit trees and ornamental plants constitute a key component in the production of high-quality planting material. At present, conventional technology dominates in nurseries in Poland and throughout the European Union. It is based on universal agricultural tractors working with numerous [...] Read more.
Contemporary nurseries of fruit trees and ornamental plants constitute a key component in the production of high-quality planting material. At present, conventional technology dominates in nurseries in Poland and throughout the European Union. It is based on universal agricultural tractors working with numerous specialized machines—typically underutilized—including sprayers, inter-row cultivation equipment, fertilizer spreaders, and tree lifters. This concept entails several limitations and high investment costs. Because of the considerable size and turning radius of such machinery, a dense network of service roads (every 15–18 m) and wide headlands must be maintained. These areas, which constitute approximately 20% of the total surface, are effectively wasted yet require continuous agronomic maintenance. An alternative concept employs a set of implements mounted on a high-clearance portal tractor (1.6–1.8 m), forming a specialized unit capable of moving above the rows of nursery crops. The study objective of the research was to evaluate the air distribution generated by an air-jet system installed on a crop-spray boom mounted on a portal sprayer, and to assess spray deposition during treatments in nursery trees. Such a configuration enables the mechanization of a broader range of nursery operations than currently possible, while reducing investment costs compared with conventional technology. One still underutilized technology consists of sprayers with an auxiliary airflow (AA) generated by air sleeves. Mean air velocity was measured in three vertical planes, and they showed lower air velocity between 1.0 m and 5.5 m. Spray deposition on apple nursery trees was assessed using a fluorescent tracer. The experimental design consists of a comparative field experiment with and without air flow support, spraying at two standard working rates (200 and 400 L·ha−1) and determining the application of the liquid to plants in the nursery. The results demonstrated a positive effect of the AA system on deposition. At a travel speed of 6.0 km·h−1 and an application rate of 200 L·ha−1, deposition on the upper leaf surface was 68% higher with the fan engaged. For a 400 L·ha−1 rate, deposition increased by 47%, with both differences statistically significant. The study showed that the nursery sprayer mounted on a high-clearance portal tractor and equipped with an AA system achieved an increase of 58% in spray deposition on the upper leaf surface when the fan was operating at 200 L·ha−1 and 28% at 400 L·ha−1. Substantial differences were found between deposition on the upper and lower leaf surfaces, with the former being 20–30 times greater. Given the complexity of nursery production technology, sprayers that ensure the highest possible biological efficacy and high quality of nursery material will play a pivotal role in its development. At the current stage, AA technology fulfils these requirements. Full article
(This article belongs to the Section Agricultural Biosystem and Biological Engineering)
Show Figures

Figure 1

16 pages, 4447 KB  
Article
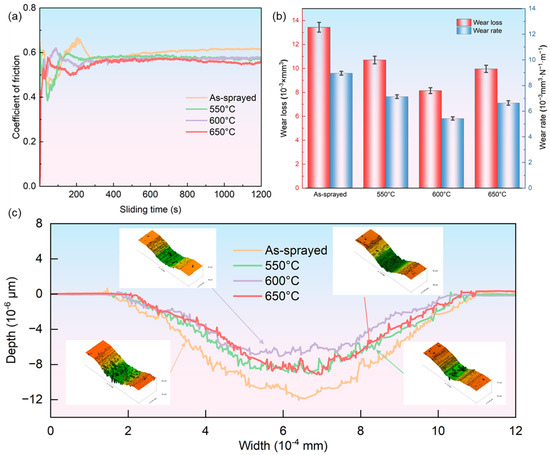
Effects of Relaxation and Nanocrystallization on Wear and Corrosion Behaviors of Fe-Based Amorphous Coating
by Shenghai Weng, Zhibin Zhang, Yuxi Fu, Lin Xue, Peisong Song, Liliang Shao, Xiubing Liang, Jiangbo Cheng and Binbin Zhang
Coatings 2025, 15(12), 1497; https://doi.org/10.3390/coatings15121497 - 18 Dec 2025
Abstract
In this study, amorphous Fe60Nb3B17Si6Cr6Ni4Mo4 coatings were prepared using the high-velocity air fuel method. The microstructure, wear resistance, and corrosion resistance of the Fe60Nb3B17Si [...] Read more.
In this study, amorphous Fe60Nb3B17Si6Cr6Ni4Mo4 coatings were prepared using the high-velocity air fuel method. The microstructure, wear resistance, and corrosion resistance of the Fe60Nb3B17Si6Cr6Ni4Mo4 coatings were examined for various levels of nanocrystallization. In contrast to the as-sprayed coating, the samples that were heat-treated formed partial α-Fe and crystalline Cr2O3. The generated nanocrystals exerted a dispersion-strengthening effect on the coatings, leading to enhanced hardness and fracture toughness. When the annealing temperature was below the initial crystallization temperature, the wear resistance improved by approximately 1.65 times, the wear rate decreased to half of that in the as-sprayed state, and the depth of the wear scar reduced. However, the resistance of the coatings to corrosion deteriorated as the degree of crystallization increased. X-ray photoelectron spectroscopy analysis revealed that heat treatment modified the composition of the passive film, thereby influencing its corrosion resistance. These results provide crucial insights into the application of Fe-based amorphous coatings in wear- and corrosion-resistant environments. Full article
(This article belongs to the Special Issue Advanced Corrosion- and Wear-Resistant Coatings)
Show Figures

Figure 1

21 pages, 4109 KB  
Article
Engineering Inhalable Carboxymethyl Chitosan-Swellable Microgels for Pulmonary Delivery of Charged Hydrophilic Molecules
by David Encinas-Basurto, Kiley McCombs, Ernest L. Vallorz, Maria F. Acosta, Rick G. Schnellmann and Heidi M. Mansour
Gels 2025, 11(12), 1015; https://doi.org/10.3390/gels11121015 - 17 Dec 2025
Abstract
Swellable microparticles are a promising strategy for pulmonary drug delivery. They provide good aerosol performance in the dry state and enlarge after deposition in the lungs. In this study, we aimed to develop and characterize spray-dried microparticles composed of carboxymethyl chitosan (CMC), L-leucine, [...] Read more.
Swellable microparticles are a promising strategy for pulmonary drug delivery. They provide good aerosol performance in the dry state and enlarge after deposition in the lungs. In this study, we aimed to develop and characterize spray-dried microparticles composed of carboxymethyl chitosan (CMC), L-leucine, and suramin, a hydrophilic polyanionic drug. Microparticles were obtained by co-spray drying (Co-SD) formulations with increasing leucine content (0–10% w/w) and evaluated for morphology, thermal behavior, crystallinity, swelling, aerodynamic deposition using a Next Generation Impactor (NGI), and cytocompatibility in pulmonary epithelial cells. The 10% leucine formulation produced the highest fine particle fraction (35.2 ± 1.1%) and the lowest mass median aerodynamic diameter (1.0 ± 0.4 µm). These values indicate efficient in vitro deep lung deposition. XRPD and DSC showed that the Co-SD formulations were predominantly amorphous. Hydration studies revealed rapid water uptake and a clear increase in particle size, leading to the formation of swollen microgels. Cell viability assays demonstrated >85% viability up to 100 µM suramin, suggesting that CMC–leucine microgels enable efficient pulmonary delivery of hydrophilic drugs by combining respirable dry-state properties with in situ swelling and reducing immunological clearance. Future in vivo studies will be needed to assess long-term stability, macrophage interaction, and the translational potential of this delivery system. Full article
(This article belongs to the Special Issue Gels: 10th Anniversary)
Show Figures

Graphical abstract

37 pages, 15016 KB  
Review
Technical Analyses of Particle Impact Simulation Methods for Modern and Prospective Coating Spraying Processes
by Yi Wang and Sergii Markovych
Coatings 2025, 15(12), 1480; https://doi.org/10.3390/coatings15121480 - 15 Dec 2025
Viewed by 88
Abstract
With the growing requirements for multi-particle process simulation, improving computational accuracy, efficiency, and scalability has become a critical challenge. This study generally focused on comprehensive analyses of existing numerical methods for simulating particle–substrate interactions in gas–thermal spraying (including gas–dynamic spraying processes), covering both [...] Read more.
With the growing requirements for multi-particle process simulation, improving computational accuracy, efficiency, and scalability has become a critical challenge. This study generally focused on comprehensive analyses of existing numerical methods for simulating particle–substrate interactions in gas–thermal spraying (including gas–dynamic spraying processes), covering both single-particle and multi-particle models to develop practical recommendations for the optimization of modern coating spraying processes. First of all, this paper systematically analyzes the key limitations of current approaches, including their inability to handle high deformations effectively or high computational complexity and their insufficient accuracy in dynamic scenarios. A comparative evaluation of four numerical methods (Lagrangian, Arbitrary Lagrangian–Eulerian (ALE), Coupled Eulerian–Lagrangian (CEL), and Smoothed Particle Hydrodynamics (SPH)) revealed their strengths and weaknesses in modeling of real gas–thermal spraying processes. Furthermore, this study identifies the limitations of the widely used Johnson–Cook (JC) constitutive model under extreme conditions. The authors considered the Zerilli–Armstrong (ZA), Mechanical Threshold Stress (MTS), and Preston–Tonks–Wallace (PTW) models as more realistic alternatives to the Jonson–Cook model. Finally, comparative analyses of theoretical and realistic deformation and defect-generation processes in gas–thermal coatings emphasize the critical need for fundamental changes in the simulation strategy for modern gas–thermal spraying processes. Full article
(This article belongs to the Section Surface Characterization, Deposition and Modification)
Show Figures

Figure 1

17 pages, 9490 KB  
Article
Drop Dispersion Through Arrayed Pores in the Combined Trapezoid Spray Tray (CTST)
by Honghai Wang, Kunlong Yi, Quancheng Li, Weiyi Su, Yuqi Hu, Chunli Li and Xiong Yu
Processes 2025, 13(12), 4050; https://doi.org/10.3390/pr13124050 - 15 Dec 2025
Viewed by 129
Abstract
Understanding drop dispersion behavior is significant to the optimization of liquid dispersion devices. In this work, the drop dispersion behavior in the combined trapezoid spray tray was directly observed and analyzed with a high-speed camera. It was found that the fracture of the [...] Read more.
Understanding drop dispersion behavior is significant to the optimization of liquid dispersion devices. In this work, the drop dispersion behavior in the combined trapezoid spray tray was directly observed and analyzed with a high-speed camera. It was found that the fracture of the liquid neck is the main mode for the liquid column to generate drops. The dispersion behavior of the drops was simulated by CFD, and it was found that the liquid neck is caused by the surrounding vortex field and the uneven pressure distribution inside the liquid column. At the same time, the dispersion time of the drops was counted, and it was found that the drop dispersion time ranges from 5 to 60 ms, depending on the drop diameter and the gas kinetic energy factor in plate hole F0. Full article
(This article belongs to the Section Chemical Processes and Systems)
Show Figures

Graphical abstract

20 pages, 6297 KB  
Article
Effect of Mo2C Addition on Microstructure and Wear Behavior of HVOF Carbide-Metal Composite Coatings
by Feichi Chen, Xiang Xia, Wei Wang, Xiufang Gong, Xiaohu Yuan, Chunmei Tang, Xia Lou, Zhixing Guo, Longgang Wang, Bin Wu, Yunyi Zhu and Mei Yang
Materials 2025, 18(24), 5622; https://doi.org/10.3390/ma18245622 - 15 Dec 2025
Viewed by 96
Abstract
In this study, carbide-metal composite coatings (WC-10Co4Cr) were prepared via high-velocity oxygen-fuel (HVOF) spraying, and the influence of Mo2C addition on the microstructure, mechanical properties, and wear performance was systematically investigated. The results indicate that Mo2C is solid-soluted in [...] Read more.
In this study, carbide-metal composite coatings (WC-10Co4Cr) were prepared via high-velocity oxygen-fuel (HVOF) spraying, and the influence of Mo2C addition on the microstructure, mechanical properties, and wear performance was systematically investigated. The results indicate that Mo2C is solid-soluted in WC during the preparation process, which induces lattice distortion. Mo2C addition results in refinement of the grain size of WC particles, homogenization of the binder phase distribution, and reduction of the porosity of the coatings. An appropriate amount of Mo2C addition significantly enhances coating performance. The coating containing 2 wt.% Mo2C exhibited optimal properties. It demonstrated the highest microhardness and the lowest porosity, and wear tests revealed it had the lowest friction coefficient and wear rate at room temperature, which is primarily due to enhanced hardness and density that effectively suppressed abrasive wear. At 400 °C, the coating with 2 wt.% Mo2C addition also showed the most stable and lowest friction coefficient. The generated Mo-containing oxides acts as a solid lubricant, isolating friction surfaces and mitigating both oxidative and adhesive wear. However, excessive Mo2C content leads to an abnormal increase in the volume fraction of the binder phase, accompanied by reduced hardness. This induces a transition of the wear mechanism toward adhesive wear dominance, with complex nonlinear evolution characteristics. Full article
(This article belongs to the Section Metals and Alloys)
Show Figures

Figure 1

0 pages, 7260 KB  
Article
A Novel Method for the Synthesis of Tin(II) Sulphide Using Tin(II) Sulphate Precursor via H2-Mediated Ultrasonic Spray Pyrolysis
by Hanwen Chung, Srecko Stopic and Bernd Friedrich
Materials 2025, 18(24), 5497; https://doi.org/10.3390/ma18245497 - 6 Dec 2025
Viewed by 307
Abstract
This study presents a novel approach for the synthesis of tin(II) sulphide (SnS) by integrating ultrasonic spray pyrolysis (USP) with hydrogen reduction (HR), using tin(II) sulphate (SnSO4) as a precursor. The method combines aerosol droplet generation using ultrasonic atomisation at 1.7 [...] Read more.
This study presents a novel approach for the synthesis of tin(II) sulphide (SnS) by integrating ultrasonic spray pyrolysis (USP) with hydrogen reduction (HR), using tin(II) sulphate (SnSO4) as a precursor. The method combines aerosol droplet generation using ultrasonic atomisation at 1.7 MHz with gas-phase reduction in a tube reactor under H2-N2 mixed gas flow. Thermochemical assessment indicated that SnS formation is thermodynamically favourable from 400 to 1000 °C, in reasonable agreement with experimental results. XRD analysis confirmed the formation of SnS as the main phase accompanied by SnO2 as a secondary product without SnSO4 when conducting USP-HR at 1000 °C. SEM images revealed flake-like, spherical, and agglomerated morphologies, with EDS confirming distinct Sn-S regions. This study demonstrates the feasibility of producing SnS powder using a simple precursor system and a clean reducing environment. The process offers a scalable and controllable synthesis route for SnS materials, providing an alternative to conventional substrate-based deposition techniques. Further optimisation of reaction temperature and residence time is expected to enhance phase purity and reduce agglomeration. Full article
(This article belongs to the Section Energy Materials)
Show Figures

Graphical abstract

17 pages, 5817 KB  
Article
The Cu Ions Releasing Behavior of Cu-Ti Pseudo Alloy Antifouling Anode Deposited by Cold Spray in Marine Environment
by Yan Su, Fulei Cai, Yuhao Wang, Shuai Wu, Hongren Wang, Jiancai Qian, Li Ma and Guosheng Huang
Coatings 2025, 15(12), 1433; https://doi.org/10.3390/coatings15121433 - 5 Dec 2025
Viewed by 219
Abstract
Many special structures such as pipeline, revolving gears, and tanks suffer from biofouling used in marine environment, which could induce serious results in the ship system such as blockage and stuck, consequently lead to failure of the mechanical system and power system. Generally, [...] Read more.
Many special structures such as pipeline, revolving gears, and tanks suffer from biofouling used in marine environment, which could induce serious results in the ship system such as blockage and stuck, consequently lead to failure of the mechanical system and power system. Generally, coatings with antifouling agents are used for protecting metal structures from biofouling, but coatings are not conveniently applicable in the high velocity flowing seawater and narrow space. Electrochlorination and electrolysis of copper and aluminum anode are usually used in these circumstances, but the electric power will lead to stray current corrosion to the component. For the sake of convenience and safety, Cu-Ti pseudo alloy antifouling anode was proposed in this work for antifouling in pipeline and other narrow spaces without external electric power. Four Cu-Ti pseudo alloy antifouling anodes with different Ti contents (mass fraction) of 0 wt.%, 5 wt.%, 10 wt.%, and 15 wt.% were investigated with computational method, and a 15 wt.% Ti content Cu-Ti pseudo alloy antifouling anode was prepared by cold spray, and the microstructure and composition of the anode were observed by scanning electron microscope (SEM) and energy dispersive spectroscopy (EDS). Electrochemical tests were conducted to obtain the corrosion potential, potentiodynamic polarization curve, and micro zone electrochemical information in natural seawater, and the Cu ions releasing behavior were analyzed using inductively coupled plasma (ICP). The results indicated that in natural seawater, copper particles, and titanium particles on the surface of anode samples can form micro galvanic couples. With the increase in Ti mass fraction, the number of micro primary cells composed of copper particles and titanium particles increases, and the corrosion rate of Cu particles increased. When the Ti mass fraction is 15%, the corrosion rate is the fastest, and the copper ion release rate increases by nearly ten times, reaching 147 μg/(cm2·d). This method can effectively accelerate the releasing rate of Cu ions in Cu-Ti pseudo alloy anode and promote the antifouling effect. Full article
(This article belongs to the Section Surface Coatings for Biomedicine and Bioengineering)
Show Figures

Figure 1

11 pages, 619 KB  
Article
Liquid Droplet Breakup Mechanisms During the Aero-Engine Compressor Washing Process
by Nicola Zanini, Alessio Suman, Andrea Cordone, Mattia Piovan, Michele Pinelli, Stefan Kuntzagk, Henrik Weiler and Christian Werner-Spatz
Int. J. Turbomach. Propuls. Power 2025, 10(4), 50; https://doi.org/10.3390/ijtpp10040050 - 2 Dec 2025
Viewed by 203
Abstract
The study of the dynamics during droplet breakup is fascinating to engineers. Some industrial applications include fire extinguishing by sprinkler systems, painting of various components, washing processes, and fuel spraying in internal combustion engines, which involve the interaction between liquid droplets, gaseous flow [...] Read more.
The study of the dynamics during droplet breakup is fascinating to engineers. Some industrial applications include fire extinguishing by sprinkler systems, painting of various components, washing processes, and fuel spraying in internal combustion engines, which involve the interaction between liquid droplets, gaseous flow field, and walls. In this work, washing operations effectiveness of civil aviation aircraft engines is analyzed. Periodic washing operations are necessary to slow down the effects of particle deposition, e.g., gas turbine fouling, to reduce the specific fuel consumption and the environmental impact of the gas turbine operation. This analysis describes the dynamics in the primary breakup, related to the breakup of droplets due to aerodynamic forces, which occur when the droplets are set in motion in a fluid domain. The secondary breakup is also considered, which more generally refers to the impact of droplets on surfaces. The latter is studied with particular attention to dry surfaces, investigating the limits for different breakup regimes and how these limits change when the impact occurs with surfaces characterized by different wettability. Surfaces with different roughness are also compared. All the tested cases are referred to surfaces at ambient temperature. Dimensionless numbers generalize the analysis to describe the droplet behavior. The analysis is based on several data reported in the open literature, demonstrating how different washing operations involve different droplet breakup regimes, generating a non-trivial data interpretation. Impact dynamics, droplet characteristics, and erosion issues are analyzed, showing differences and similarities between the literature data proposed in the last twenty years. Washing operation and the effects of gas turbine fouling on the aero-engine performance are still under investigation, demonstrating how experiments and numerical simulations are needed to tackle this detrimental issue. Full article
Show Figures

Figure 1

17 pages, 1939 KB  
Article
Artificial Intelligence—Assisted Monitoring of Water Usage for Cooling Cows on a Dairy Farm
by Fernando Valle, Kelly Anklam and Dörte Döpfer
Animals 2025, 15(23), 3470; https://doi.org/10.3390/ani15233470 - 2 Dec 2025
Viewed by 333
Abstract
High-yielding lactating cows generate considerable internal heat, making thermoregulation challenging in warm conditions. Traditionally, sprinkler systems have cooled dairy cows by spraying water droplets onto their skin to aid heat dissipation, especially when used with fans. This study explores the benefits of AI-assisted [...] Read more.
High-yielding lactating cows generate considerable internal heat, making thermoregulation challenging in warm conditions. Traditionally, sprinkler systems have cooled dairy cows by spraying water droplets onto their skin to aid heat dissipation, especially when used with fans. This study explores the benefits of AI-assisted monitoring of water usage for cooling dairy cows, aiming to optimize water consumption and enhance sustainability. An object detection model, trained with 200 random images from a fisheye security camera installed above pens of dairy cows in a dairy farm, was used to detect the presence or absence of cows in headgate sections to guide water sprinkler activity. According to the object detection model, the implementation of AI-assisted detection of cows’ presence or absence in headgates with an accuracy of 0.924 has the potential to save up to 75 percent of water annually for cooling cows. Additionally, the model can detect cows’ behavior patterns regarding location in the pens depending on the occurrence of heat stress. The implementation of AI-powered detection systems in dairy farms has been proven to enhance sustainability and significantly reduce expenses by curbing the excessive use of water. Full article
(This article belongs to the Section Animal System and Management)
Show Figures

Figure 1

16 pages, 8797 KB  
Article
Properties and Microstructure of TiSiC- and TiSiCN-Based Coatings Produced by RPS
by Lazat S. Baimoldanova and Bauyrzhan K. Rakhadilov
Crystals 2025, 15(12), 1029; https://doi.org/10.3390/cryst15121029 - 30 Nov 2025
Viewed by 194
Abstract
This work presents a comparative study of TiSiC and TiSiCN composite coatings deposited on stainless steel by reactive plasma spraying using mechanically activated powders. Microstructure, phase composition, and hardness were assessed by SEM/EDS, XRD, and Vickers indentation, while corrosion, erosion, and high-temperature tribological [...] Read more.
This work presents a comparative study of TiSiC and TiSiCN composite coatings deposited on stainless steel by reactive plasma spraying using mechanically activated powders. Microstructure, phase composition, and hardness were assessed by SEM/EDS, XRD, and Vickers indentation, while corrosion, erosion, and high-temperature tribological behavior were systematically evaluated. The TiCN + SiC + Si system forms a stable TiCxN1−x solid solution with amorphous Si3N4 grain-boundary phases, leading to densification and enhanced chemical stability. Compared with TiSiC, TiSiCN coatings exhibit higher hardness (2599 N/mm2, ≈324 HV), lower erosion loss (<1 mg), and stable friction coefficients (0.45–0.50 at 600 °C) due to protective oxide/nitride tribofilms. Electrochemical tests in 3.5 wt.% NaCl show a >6-fold reduction in corrosion rate (from 0.0506 to 0.008 mm·year−1) relative to bare steel. Overall, TiSiCN coatings deposited at 500–600 A provide an optimal balance of hardness, wear, and corrosion resistance, indicating strong potential for gas-turbine and power-generation components operating in aggressive environments. Full article
(This article belongs to the Section Crystal Engineering)
Show Figures

Figure 1

26 pages, 5890 KB  
Article
Research on Accurate Weed Identification and a Variable Application Method in Maize Fields Based on an Improved YOLOv11n Model
by Xiaoan Chen, Hongze Zhang, Xingcheng Liu, Zhonghui Guo, Wei Zheng and Yingli Cao
Agriculture 2025, 15(23), 2456; https://doi.org/10.3390/agriculture15232456 - 27 Nov 2025
Viewed by 255
Abstract
Uniform spraying by conventional plant protection drones often results in low herbicide utilization efficiency and environmental contamination, both of which are critical issues in agricultural production. To address these challenges, this study proposed a precision weed management system for maize fields that combines [...] Read more.
Uniform spraying by conventional plant protection drones often results in low herbicide utilization efficiency and environmental contamination, both of which are critical issues in agricultural production. To address these challenges, this study proposed a precision weed management system for maize fields that combines an improved YOLOv11n-OSAW detection model with DJI drones for variable-rate herbicide application. The YOLOv11n-OSAW model was enhanced with Omni-dimensional Dynamic Convolution (OD-Conv), the SEAM attention mechanism, a lightweight ADown module, and the Wise-IoU (WIoU) loss function, aiming to improve the detection accuracy of small and occluded weeds in maize fields. When the model was deployed on an uncrewed aerial vehicle (UAV) operating at 5 m altitude, it achieved mean Average Precision mAP@0.5 values of 97.8% and 97.0% for gramineous and broad-leaved weeds, respectively—representing increases of 2.9 and 1.6 percentage points over the baseline YOLOv11n model. Weed distribution maps generated from the detection results were used to develop site-specific herbicide prescription maps, guiding the drone to implement targeted spraying. Water-sensitive paper analysis verified that the system ensured effective droplet deposition and uniform coverage across different application rate areas. This integrated workflow, covering UAV image acquisition, weed detection, variable-rate application, and effect assessment, reduced herbicide consumption by 20.25% compared with conventional uniform spraying (450 L/ha) while maintaining excellent weed control efficiency and reducing environmental risks. The findings demonstrate that the proposed system provides a practical and sustainable solution for weed management in maize fields. Full article
Show Figures

Figure 1

15 pages, 5414 KB  
Article
Performance Evolution of Gd2O3-Yb2O3-Y2O3-ZrO2 (GYYZO) Thermal Barrier Coatings After Thermal Cycling
by Shengcong Zeng, Shanping Gao, Zhongda Wang, Yisong Huang, Qiwei He and Chongran Jiang
Coatings 2025, 15(12), 1380; https://doi.org/10.3390/coatings15121380 - 26 Nov 2025
Viewed by 277
Abstract
Ions of Gd3+ and Yb3+ have radii similar to those of Zr4+, enabling them to form limited solid solutions in the ZrO2 lattice through substitution. After solid solution formation, oxygen vacancy defects and complex defect aggregates are generated, [...] Read more.
Ions of Gd3+ and Yb3+ have radii similar to those of Zr4+, enabling them to form limited solid solutions in the ZrO2 lattice through substitution. After solid solution formation, oxygen vacancy defects and complex defect aggregates are generated, which are crucial for stabilizing the high-temperature phase structure and reducing thermal conductivity. Therefore, in this study, 8 wt% Y2O3 and 5 wt% Yb2O3 were doped with 5 wt%, 10 wt%, and 15 wt% Gd2O3, respectively, to stabilize zirconia powders. GYYZO thermal barrier coatings (TBCs) were fabricated via atmospheric plasma spraying (APS). Subsequently, the GYYZO coatings with different Gd2O3 addition amounts were subjected to continuous thermal shock cycling at 1100 °C for 10, 30, 60, 90, and 150 cycles. The results indicate that the incorporation of Gd2O3, Yb2O3, and Y2O3 leads to the formation of stable tetragonal ZrO2 phase in the GYYZO coatings. Although increasing the Gd2O3 addition amount reduces the thermal conductivity of the coatings, excessive Gd2O3 addition causes coating spallation. The GYYZO coating with 10 wt% Gd2O3 exhibits the lowest thermal conductivity of 0.59 W/(m·K). Additionally, the GYYZO coating with 10 wt% Gd2O3 can withstand thermal cycling for 150 cycles, while the one with 5 wt% Gd2O3 can endure 90 of thermal cycles. In contrast, the 8YSZ coating cracks and spalls after 60 thermal cycles. These findings demonstrate that doping ZrO2 with Gd2O3, Yb2O3, and Y2O3 can enhance the thermal cycling resistance of the coatings and effectively reduce their thermal conductivity, but excessive Gd2O3 addition will decrease the coating adhesion strength. Full article
(This article belongs to the Section Surface Characterization, Deposition and Modification)
Show Figures

Figure 1

29 pages, 6334 KB  
Article
Soybean Seedling-Stage Weed Detection and Distribution Mapping Based on Low-Altitude UAV Remote Sensing and an Improved YOLOv11n Model
by Yaohua Yue and Anbang Zhao
Agronomy 2025, 15(12), 2693; https://doi.org/10.3390/agronomy15122693 - 22 Nov 2025
Cited by 1 | Viewed by 339
Abstract
Seedling-stage weeds are one of the key factors affecting the crop growth and yield formation of soybean. Accurate detection and density mapping of these weeds are crucial for achieving precise weed management in agricultural fields. To overcome the limitations of traditional large-scale uniform [...] Read more.
Seedling-stage weeds are one of the key factors affecting the crop growth and yield formation of soybean. Accurate detection and density mapping of these weeds are crucial for achieving precise weed management in agricultural fields. To overcome the limitations of traditional large-scale uniform herbicide application, this study proposes an improved YOLOv11n-based method for weed detection and spatial distribution mapping by integrating low-altitude UAV imagery with field elevation data. The second convolution in the C3K2 module was replaced with Wavelet Convolution (WTConv) to reduce complexity. A SENetv2-based C2PSA module was introduced to enhance feature representation and context fusion with minimal parameter increase. Soft-NMS-SIoU replaced traditional NMS, improving detection accuracy and robustness for dense overlaps. The improved YOLOv11n algorithm achieved a 3.4% increase in mAP@50% on the test set, outperforming the original YOLOv11n in FPS, while FLOPs and parameter count increased by only 1.2% and 0.2%, respectively. More importantly, the model reliably detected small grass weeds with morphology highly similar to soybean seedlings, which were undetectable by the original model, thus meeting agricultural production monitoring requirements. In addition, the pixel-level weed detection results from the model were converted into coordinates and interpolated using Kriging in ArcGIS (10.8.1) Pro to generate continuous weed density maps, resulting in high-resolution spatial distribution maps directly applicable to variable-rate spraying equipment. The proposed approach greatly improves both the precision and operational efficiency of weed detection and management across large agricultural fields, providing scientific support for intelligent variable-rate spraying using plant protection UAVs and ground-based sprayers, thereby promoting sustainable agriculture. Full article
(This article belongs to the Section Weed Science and Weed Management)
Show Figures

Figure 1

Back to TopTop