Sign in to use this feature.

Years

Between: -

Subjects

remove_circle_outline
remove_circle_outline
remove_circle_outline
remove_circle_outline
remove_circle_outline
remove_circle_outline
remove_circle_outline
remove_circle_outline
remove_circle_outline

Journals

remove_circle_outline
remove_circle_outline

Article Types

Countries / Regions

remove_circle_outline
remove_circle_outline
remove_circle_outline
remove_circle_outline
remove_circle_outline

Search Results (210)

Search Parameters:
Keywords = spot trading

Order results
Result details
Results per page
Select all
Export citation of selected articles as:
11 pages, 2488 KB  
Article
Design of a Monocentric Multiscale Optical System for Near-Diffraction-Limited Imaging with High Resolution and Large Field of View
by Xiongxiong Wu, Yanning Yang and Zhihui He
Optics 2026, 7(1), 4; https://doi.org/10.3390/opt7010004 - 4 Jan 2026
Viewed by 75
Abstract
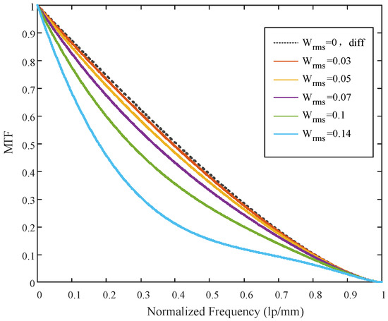
Multiscale optical imaging is expected to address the trade-off between field of view (FOV) and resolution in optical systems. To achieve high resolution imaging with a large FOV, this study employs a double-layer monocentric lens to design the front-stage objective lens and utilizes [...] Read more.
Multiscale optical imaging is expected to address the trade-off between field of view (FOV) and resolution in optical systems. To achieve high resolution imaging with a large FOV, this study employs a double-layer monocentric lens to design the front-stage objective lens and utilizes multiple relay lenses for the secondary system. The design results demonstrate that the RMS value of the image spot size across the full FOV is controlled within 2 μm, and the system’s optical modulation transfer function (MTF) across the full FOV approaches the diffraction limit. Specifically, the MTF values across the full FOV exceed 0.35 at the cutoff frequency of 250 lp/mm. The designed optical system features a simple structure and high imaging quality. When a larger number of secondary relay imaging systems are employed, it is capable of achieving a large FOV with high resolution imaging performance, as required by the optical system. Moreover, it holds significant application potential in wide-area, large-range imaging and related fields. Full article
(This article belongs to the Section Engineering Optics)
Show Figures

Figure 1

30 pages, 4667 KB  
Article
Cross-Hedging Mexican Lemon Prices with US Agricultural Futures: Evidence from the Surplus Efficient Frontier
by Oscar V. De la Torre-Torres, José Álvarez-García and María de la Cruz del Río-Rama
Agriculture 2025, 15(24), 2601; https://doi.org/10.3390/agriculture15242601 - 16 Dec 2025
Viewed by 529
Abstract
This paper tested the use of the surplus efficient frontier (a minimum tracking error portfolio selection method) to select the optimal hedging portfolio that replicates the best Mexican #4 lemon price in a t + 1 and t + 4 week hedging scenario. [...] Read more.
This paper tested the use of the surplus efficient frontier (a minimum tracking error portfolio selection method) to select the optimal hedging portfolio that replicates the best Mexican #4 lemon price in a t + 1 and t + 4 week hedging scenario. Using data on the nine most traded agricultural futures in the US from January 2000 to February 2025, we tested hedging effectiveness across 502 futures portfolios in a weekly backtest. The results suggest that a corn and wheat portfolio increases the hedging effectiveness of the lemon price by 0.7033 or 70.33%. A result that, including the impact of trading fees and taxes, leads to a reduction in income risk to a lemon seller in a t + 1 week hedging horizon. The results suggest that a public or private financial institution could take a short position in such a portfolio to provide a hedge at a price that finances the spot/future price difference at minimum cost to Mexican taxpayers. Full article
(This article belongs to the Special Issue Price and Trade Dynamics in Agricultural Commodity Markets)
Show Figures

Figure 1

23 pages, 5865 KB  
Article
The Core–Periphery Patterns in Land-Use Benefits: Spatiotemporal Patterns and Driving Mechanisms in the Chengdu–Chongqing Urban Agglomeration
by Shaojun Chen and Yi Zeng
Land 2025, 14(12), 2417; https://doi.org/10.3390/land14122417 - 13 Dec 2025
Viewed by 392
Abstract
In the context of new-type urbanization and high-quality development, this study aims to construct a multi-objective synergistic land-use mechanism to tackle the “growth-equity-ecology” trilemma in the Chengdu–Chongqing Urban Agglomeration (CCUA). By building an economic–social–ecological benefit evaluation index system and applying TOPSIS with entropy [...] Read more.
In the context of new-type urbanization and high-quality development, this study aims to construct a multi-objective synergistic land-use mechanism to tackle the “growth-equity-ecology” trilemma in the Chengdu–Chongqing Urban Agglomeration (CCUA). By building an economic–social–ecological benefit evaluation index system and applying TOPSIS with entropy weighting, the coupling coordination degree (CCD) model, and the spatial Durbin model (SDM), we systematically explore the spatiotemporal patterns of land-use benefit synergies and their driving mechanisms. The results reveal the following: (1) From 2015 to 2023, CCUA’s land-use CCD generally improved but showed marked core–periphery polarization. Chongqing’s economic agglomeration worsened regional gaps, while Sichuan’s intra-regional policies boosted internal balance; cross-jurisdictional collaboration eased border disparities but failed to stop overall polarization. (2) Spatial clustering identified hotspots in Chongqing’s main urban and suburban areas and cold spots in eastern Sichuan, reflecting the coexistence of factor agglomeration and cross-border policy synergy. (3) Road network expansion directly hindered CCD, and neighboring ecological protection triggered resource-competition spillovers, emphasizing the key role of cross-regional governance in balancing the “ecology-development” trade-off. This study puts forward spatially differentiated strategies and cross-jurisdictional coordination mechanisms to optimize land-use structures and advance sustainable development in urban agglomerations. Full article
(This article belongs to the Section Land Use, Impact Assessment and Sustainability)
Show Figures

Figure 1

17 pages, 984 KB  
Article
A Multi-Agent Closed-Loop Decision-Making Framework for Joint Forecasting and Bidding in Electricity Spot Markets
by Shicheng Zhang, Wangli Deng, Yuqin Zhang, Zhijun Jing, Ning Guo, Jianyu Yu, Bo Wang and Mei Liao
Energies 2025, 18(24), 6486; https://doi.org/10.3390/en18246486 - 11 Dec 2025
Viewed by 277
Abstract
With increasing renewable energy integration, electricity spot markets exhibit high volatility and uncertainty, making it difficult to balance profit and risk. To address this challenge, this paper proposes Joint (Version 1.0), a multi-agent closed-loop framework that integrates forecasting, strategy, and feedback for coordinated [...] Read more.
With increasing renewable energy integration, electricity spot markets exhibit high volatility and uncertainty, making it difficult to balance profit and risk. To address this challenge, this paper proposes Joint (Version 1.0), a multi-agent closed-loop framework that integrates forecasting, strategy, and feedback for coordinated decision-making. The Prediction Agent learns statistical patterns of price spreads to generate distributional forecasts, directional probabilities, and extreme-value indicators; the Strategy Agent adaptively maps these signals into executable bidding ratios through a hybrid mechanism; and the Feedback Agent incorporates settlement results for performance evaluation, CVaR-based risk control, and preference-driven optimization. These agents form a dynamic “forecast–strategy–feedback” loop enabling self-improving trading. Experimental results show that Joint achieves a monthly profit of 146,933.46 CNY with strong classification performance (Precision = 53.25%, Recall = 40.45%, AA = 56.05%, SWA = 57.36%), and the complete model in ablation experiments reaches 157,746.64 CNY, demonstrating the indispensable contributions of each component and confirming its robustness and practical value in volatile electricity spot markets. Full article
Show Figures

Figure 1

30 pages, 3488 KB  
Article
Timing Usage of Technical Analysis in the Cryptocurrency Market
by Marek Zatwarnicki and Krzysztof Zatwarnicki
Appl. Sci. 2025, 15(23), 12802; https://doi.org/10.3390/app152312802 - 3 Dec 2025
Viewed by 3017
Abstract
The cryptocurrency landscape underwent significant changes in 2024 with the regulatory approval of spot Bitcoin ETFs, opening the market to institutional investors and millions of new clients. As Bitcoin reached new price peaks, the market attracted many retail traders using speculative approaches, evidenced [...] Read more.
The cryptocurrency landscape underwent significant changes in 2024 with the regulatory approval of spot Bitcoin ETFs, opening the market to institutional investors and millions of new clients. As Bitcoin reached new price peaks, the market attracted many retail traders using speculative approaches, evidenced by the surge in meme coins at the end of 2024. In such an environment, properly examining trading strategies can offer substantial advantages over the majority of market participants. Many traders, however, fail to test their strategies adequately, limiting evaluations to selected time periods and risking overfitting. This paper introduces the Rolling Strategy–Hold Ratio (RSHR), which uses a rolling-window approach to evaluate how strategies would perform from thousands of different starting points. This method helps mitigate recency bias and provides a more comprehensive understanding of strategy performance across diverse market conditions and cycles. By comparing strategies results against buy-and-hold results, traders can make informed decisions about whether to refine their strategies further or opt for index-based investing or alternative analytical methods. This study demonstrates the RSHR’s applications across technical, on-chain, sentiment analysis, and dollar cost averaging strategies, with initial research suggesting potential applications in traditional markets. Full article
(This article belongs to the Section Computing and Artificial Intelligence)
Show Figures

Figure 1

23 pages, 3030 KB  
Article
Persisting Stickiness in Backwardation Among Major Agricultural Commodities
by Peter Cincinelli, Ameeta Jaiswal-Dale and Giovanna Zanotti
J. Risk Financial Manag. 2025, 18(12), 674; https://doi.org/10.3390/jrfm18120674 - 27 Nov 2025
Viewed by 794
Abstract
In this paper, we investigate the relationship between spot and futures contracts in the context of spot prices being higher than futures (backwardation). We focus on the persistence in stickiness during backwardation periods by covering major agricultural commodities (corn, oats, soybeans, soybean oil, [...] Read more.
In this paper, we investigate the relationship between spot and futures contracts in the context of spot prices being higher than futures (backwardation). We focus on the persistence in stickiness during backwardation periods by covering major agricultural commodities (corn, oats, soybeans, soybean oil, wheat, and hard red wheat). The period of investigation, January 2000–August 2022, comprises many subperiods, including the pre-2008 global financial crisis, the global financial crisis, the single event of 2014, and the post-2014 stability and growth in world trade. We find the presence of price backwardation and its stickiness for corn and wheat, with the most significant determinants being convenience yield and interest risk. Full article
(This article belongs to the Section Financial Markets)
Show Figures

Figure 1

29 pages, 5093 KB  
Article
Short-Term Load Forecasting for Electricity Spot Markets Across Different Seasons Based on a Hybrid VMD-LSTM-Random Forest Model
by Kangkang Li, Lize Yuan, Fanyue Qian, Lifei Song, Xinhong Wu, Li Wang, Jiefen Dai and Lianyi Shen
Energies 2025, 18(23), 6097; https://doi.org/10.3390/en18236097 - 21 Nov 2025
Viewed by 448
Abstract
Short-term load forecasting (STLF) is a core technical support for ensuring the safe and economic operation of power systems and efficient trading in electricity spot markets. To address the limitations of traditional forecasting models in handling the strong nonlinear and non-stationary characteristics of [...] Read more.
Short-term load forecasting (STLF) is a core technical support for ensuring the safe and economic operation of power systems and efficient trading in electricity spot markets. To address the limitations of traditional forecasting models in handling the strong nonlinear and non-stationary characteristics of load data under electricity spot market conditions—where load is influenced by the coupling of multiple factors, such as meteorological conditions, electricity price signals, and seasonal patterns—we propose a hybrid forecasting model (VMD-PSO-LSTM-RF) that integrates Variational Mode Decomposition (VMD), Long Short-Term Memory (LSTM), Random Forest (RF), and Particle Swarm Optimization (PSO) to enhance the forecasting accuracy and market adaptability. First, VMD is applied to adaptively decompose the half-hourly power load data of a comprehensive user in Ningbo, Zhejiang Province, from July 2024 to June 2025. The original load series was decomposed into three components, effectively avoiding the mode aliasing problem common in traditional decomposition methods and providing high-quality inputs for subsequent forecasting. Simultaneously, meteorological data and temporal features were incorporated to construct a multi-dimensional input feature set, meeting the requirements of electricity spot markets for considering multiple influencing factors. Second, the PSO algorithm was used to optimize the key hyperparameters of LSTM and RF with seasonal differentiation. With the optimization, we aimed to maximize the Coefficient of Determination (R2) on the validation set, ensuring that the model parameters precisely matched the load fluctuation characteristics of each season. Finally, based on the feature differences of various frequency components, LSTM and RF were used to construct sub-models, and the final load value was obtained through weighted integration of the prediction results of each component. The results fully demonstrate that the proposed model can accurately capture the multi-scale fluctuation characteristics of load in electricity spot market environments, with forecasting performance superior to traditional single models and basic hybrid models; furthermore, the proposed model achieves precise extraction of multi-scale load features and in-depth temporal pattern mining, providing reliable technical support for efficient electricity spot market operation, as well as empirical references for formulating scenario-specific forecasting strategies and managing trading risks in electricity markets. Full article
Show Figures

Figure 1

28 pages, 3509 KB  
Article
Research on the Optimal Economic Proportion of Medium- and Long-Term Contracts and Spot Trading Under the Market-Oriented Renewable Energy Context
by Yushi Wu, Xia Zhao, Libin Yang, Mengting Wu and Hongwei Yu
Energies 2025, 18(23), 6085; https://doi.org/10.3390/en18236085 - 21 Nov 2025
Viewed by 349
Abstract
Against the backdrop of the full market integration of renewable energy, determining a reasonable proportion between medium- and long-term (MLT) contracts and spot trading has become a core issue in power market reform. Current Chinese policy requires that the share of MLT contracts [...] Read more.
Against the backdrop of the full market integration of renewable energy, determining a reasonable proportion between medium- and long-term (MLT) contracts and spot trading has become a core issue in power market reform. Current Chinese policy requires that the share of MLT contracts should not be less than 90%, which helps ensure system security but may suppress the price discovery function of the spot market and limit renewable energy integration. This paper constructs a three-layer model: the first layer describes spot market clearing through Direct Current Optimal Power Flow (DC-OPF), yielding system energy prices and nodal prices; the second layer models bilateral contract decisions between generators and users based on Nash bargaining, incorporating risk preferences via a mean–variance framework; and the third layer introduces two evaluation indicators—contract penetration rate and economic proportion—and applies outer-layer optimization to search for the optimal contract ratio. Parameters are calibrated using coal prices, wind speed, solar irradiance, and load data, with numerical solutions obtained through Monte Carlo simulation and convex optimization. Results show that increasing the share of spot trading enhances overall system efficiency, primarily because renewable energy has low marginal costs and high supply potential, thereby reducing average market prices and mitigating volatility. Simulations indicate that the optimal contract coverage rate may exceed the current policy lower bound, which would expand spot market space and promote renewable energy integration. Sensitivity analysis further reveals that fuel price fluctuations, renewable output, load structure, and risk preferences all affect the optimal proportion, though the overall conclusions remain robust. Policy implications suggest moderately relaxing the constraints on MLT contract proportions, improving contract design, and combining this with transmission expansion and demand response, in order to establish a more efficient and flexible market structure. Full article
Show Figures

Figure 1

31 pages, 13901 KB  
Article
Toward Intelligent and Sustainable Wireless Environments with Hybrid and AI-Enhanced RIS Strategies
by Onem Yildiz
Electronics 2025, 14(22), 4421; https://doi.org/10.3390/electronics14224421 - 13 Nov 2025
Viewed by 549
Abstract
Reconfigurable intelligent surfaces (RIS) have emerged as a promising enabler for beyond-5G and 6G networks, offering controllable propagation environments to enhance coverage and spectral efficiency. This study investigates and compares multiple RIS configuration strategies, including analytical baselines such as the phase gradient reflector [...] Read more.
Reconfigurable intelligent surfaces (RIS) have emerged as a promising enabler for beyond-5G and 6G networks, offering controllable propagation environments to enhance coverage and spectral efficiency. This study investigates and compares multiple RIS configuration strategies, including analytical baselines such as the phase gradient reflector (PGR) and focusing lens (FL), optimization-driven approaches via gradient-based optimization (GBO), and learning-assisted designs through hybrid Mixture-of-Experts (MoE) and CNN-based gating. A unified simulation framework was developed to evaluate amplitude and phase profiles, expert-selection heatmaps, and coverage improvement maps, alongside a detailed analysis of the average path gain evolution over iterations. Quantitative results show that PGR and FL achieve average path gains of −112 dB and −97 dB, respectively, while GBO attains the highest gain of approximately −92 dB. The Hybrid MoE achieves −93.5 dB with localized coverage enhancements exceeding 40 dB, whereas CNN-gating maintains smoother and more generalized coverage improvements up to 20 dB. Results demonstrate that while PGR and FL provide predictable yet limited performance, GBO yields the highest path gain at the cost of computational complexity. MoE balances interpretability and adaptability through smoother expert-weight distributions, whereas CNN-gating enforces sharper, binary-like spatial decisions, enhancing coverage in challenging blind spots. The comparative findings highlight a performance spectrum ranging from interpretable analytical models to highly adaptive learning-based schemes, revealing trade-offs between flexibility, computational cost, and generalization capability, while also underlining RIS’s potential for sustainable and energy-efficient networking. These insights position hybrid and learning-driven RIS designs as promising candidates for scalable, adaptive deployment in future wireless systems. Full article
(This article belongs to the Special Issue Smart Surfaces in Communications: Current Status and Future Prospects)
Show Figures

Figure 1

45 pages, 3725 KB  
Review
Combating White Spot Syndrome Virus (WSSV) in Global Shrimp Farming: Unraveling Its Biology, Pathology, and Control Strategies
by Md. Iftehimul, Neaz A. Hasan, David Bass, Abul Bashar, Mohammad Mahfujul Haque and Morena Santi
Viruses 2025, 17(11), 1463; https://doi.org/10.3390/v17111463 - 31 Oct 2025
Cited by 1 | Viewed by 3717
Abstract
White Spot Syndrome Virus (WSSV) is one of the most devastating viral pathogens affecting shrimp, causing severe economic losses to the global farmed shrimp trade. The globalization of live shrimp trade and waterborne transmission have facilitated the rapid spread of WSSV across major [...] Read more.
White Spot Syndrome Virus (WSSV) is one of the most devastating viral pathogens affecting shrimp, causing severe economic losses to the global farmed shrimp trade. The globalization of live shrimp trade and waterborne transmission have facilitated the rapid spread of WSSV across major shrimp-producing countries since its initial emergence. The present review gives an updated account of WSSV biology, pathology, transmission dynamics, and recent developments in control measures. The virus, a double-stranded DNA virus of the Nimaviridae family, utilizes advanced immune evasion strategies, resulting in severe mortality. Shrimp lack adaptive immunity and hence rely predominantly on innate immunity, which is insufficient to mount an effective response against severe infections. Traditional disease control measures such as augmented biosecurity, selective breeding, and immunostimulants have, despite extensive research, achieved only limited success. New biotechnological tools such as RNA interference, CRISPR-Cas gene editing, and nanotechnology offer tremendous potential for disease mitigation. In parallel, the development of DNA and RNA vaccines targeting WSSV structural proteins, such as VP28, holds significant promise for stimulating the shrimp immune system. This review highlights the urgent need for a convergent approach to sustainable disease management in global shrimp aquaculture, with interdisciplinarity playing a pivotal role in shaping the future of WSSV control. Full article
(This article belongs to the Section Viral Immunology, Vaccines, and Antivirals)
Show Figures

Figure 1

23 pages, 2850 KB  
Article
Economic Benefit of a Photovoltaic System and Impact of a Battery Using Real Data from a Swedish House
by Markus Rinio
Energies 2025, 18(21), 5658; https://doi.org/10.3390/en18215658 - 28 Oct 2025
Viewed by 1543
Abstract
The economic benefit of a 12.8 kWp photovoltaic (PV) system was calculated using real consumption and electricity generation data for a typical modern single-family house in Sweden for the six years between 2019 and 2024. Electricity trade prices were based on the local [...] Read more.
The economic benefit of a 12.8 kWp photovoltaic (PV) system was calculated using real consumption and electricity generation data for a typical modern single-family house in Sweden for the six years between 2019 and 2024. Electricity trade prices were based on the local spot market plus taxes and fees. The effect of a tax reduction on exported electrical energy was evaluated. The economic benefit was simulated for the case of a virtual AC-coupled battery added to the house using a charging strategy to maximize the self-consumption of the house. Additionally, the economic benefit was simulated for a range of different yearly consumptions and PV system sizes. The calculation shows that the PV system alone can be economically beneficial, while adding a battery with typical investment prices from 2025 does not pay off if it is only used to increase the self-consumption rate. Full article
(This article belongs to the Section A2: Solar Energy and Photovoltaic Systems)
Show Figures

Figure 1

13 pages, 21347 KB  
Article
Tracing Genetic Divergence and Phylogeographic Patterns of Gekko gecko Linnaeus, 1758 (Squamata: Gekkonidae) Across Southeast Asia Using RAG1 Sequence
by Panida Laotongsan, Warayutt Pilap, Chavanut Jaroenchaiwattanachote, Pattana Pasorn, Jatupon Saijuntha, Wittaya Tawong, Watee Kongbuntad, Komgrit Wongpakam, Khamla Inkhavilay, Mak Sithirith, Chairat Tantrawatpan and Weerachai Saijuntha
Animals 2025, 15(20), 3004; https://doi.org/10.3390/ani15203004 - 16 Oct 2025
Viewed by 1116
Abstract
The tokay gecko (Gekko gecko) is a widely distributed lizard species in Southeast Asia, with significant importance in traditional medicine and the pet trade. Previous studies using mitochondrial DNA sequences revealed extensive genetic variation across its range, indicating the presence of [...] Read more.
The tokay gecko (Gekko gecko) is a widely distributed lizard species in Southeast Asia, with significant importance in traditional medicine and the pet trade. Previous studies using mitochondrial DNA sequences revealed extensive genetic variation across its range, indicating the presence of distinct evolutionary lineages. In this study, we assessed the nuclear genetic variation and phylogenetic pattern of G. gecko using the recombination activating gene 1 (RAG1). We analyzed 105 RAG1 sequences from 16 localities across Thailand, Laos, and Cambodia, along with additional sequences from GenBank. Sequence analysis revealed 20 variable sites and 20 haplotypes (TgR1–TgR20). Haplotype network and phylogenetic analyses revealed strong regional structuring and at least three distinct evolutionary lineages (A–C), supported by the species delimitation test (PTP). Both red- and black-spotted morphs were present in different clades, indicating that external coloration does not correspond to genetic differentiation at this locus. Our results support the presence of distinct evolutionary lineages in G. gecko and emphasize the importance of integrative taxonomy for accurate species delimitation. These findings have implications for conservation, sustainable management, and regulation of international trade in this commercially exploited species. Full article
(This article belongs to the Section Herpetology)
Show Figures

Figure 1

20 pages, 3021 KB  
Article
Spot Volatility Measurement Using a Change-Point Duration Model in the High-Frequency Market
by Zhicheng Li, Haipeng Xing and Yan Wang
Int. J. Financial Stud. 2025, 13(4), 186; https://doi.org/10.3390/ijfs13040186 - 3 Oct 2025
Viewed by 847
Abstract
Modeling high-frequency volatility is an important topic of market microstructure, as it provides the empirical tools to measure and analyze the rapid price movements. Yet, volatility at a high frequency often exhibits abrupt shifts driven by news and trading activity, making accurate estimation [...] Read more.
Modeling high-frequency volatility is an important topic of market microstructure, as it provides the empirical tools to measure and analyze the rapid price movements. Yet, volatility at a high frequency often exhibits abrupt shifts driven by news and trading activity, making accurate estimation challenging. This study develops a change-point duration (CPD) model to estimate spot volatility, in which price-change intensities remain constant between events but may shift at random change points. Using simulations and empirical analysis of Nasdaq limit order book data, we demonstrate that the CPD model achieves a favorable balance between responsiveness to sudden shocks and stability in volatility dynamics. Moreover, it outperforms benchmark approaches, including the classical autoregressive conditional duration model, nonparametric duration-based estimators, and candlestick-based measures. These findings highlight the CPD framework as an effective tool for volatility estimation in high-frequency trading environments. Full article
(This article belongs to the Special Issue Market Microstructure and Liquidity)
Show Figures

Figure 1

42 pages, 5827 KB  
Review
A Review of Reconfigurable Intelligent Surfaces in Underwater Wireless Communication: Challenges and Future Directions
by Tharuka Govinda Waduge, Yang Yang and Boon-Chong Seet
J. Sens. Actuator Netw. 2025, 14(5), 97; https://doi.org/10.3390/jsan14050097 - 26 Sep 2025
Cited by 1 | Viewed by 3429
Abstract
Underwater wireless communication (UWC) is an emerging technology crucial for automating marine industries, such as offshore aquaculture and energy production, and military applications. It is a key part of the 6G vision of creating a hyperconnected world for extending connectivity to the underwater [...] Read more.
Underwater wireless communication (UWC) is an emerging technology crucial for automating marine industries, such as offshore aquaculture and energy production, and military applications. It is a key part of the 6G vision of creating a hyperconnected world for extending connectivity to the underwater environment. Of the three main practicable UWC technologies (acoustic, optical, and radiofrequency), acoustic methods are best for far-reaching links, while optical is best for high-bandwidth communication. Recently, utilizing reconfigurable intelligent surfaces (RISs) has become a hot topic in terrestrial applications, underscoring significant benefits for extending coverage, providing connectivity to blind spots, wireless power transmission, and more. However, the potential for further research works in underwater RIS is vast. Here, for the first time, we conduct an extensive survey of state-of-the-art of RIS and metasurfaces with a focus on underwater applications. Within a holistic perspective, this survey systematically evaluates acoustic, optical, and hybrid RIS, showing that environment-aware channel switching and joint communication architectures could deliver holistic gains over single-domain RIS in the distance–bandwidth trade-off, congestion mitigation, security, and energy efficiency. Additional focus is placed on the current challenges from research and realization perspectives. We discuss recent advances and suggest design considerations for coupling hybrid RIS with optical energy and piezoelectric acoustic energy harvesting, which along with distributed relaying, could realize self-sustainable underwater networks that are highly reliable, long-range, and high throughput. The most impactful future directions seem to be in applying RIS for enhancing underwater links in inhomogeneous environments and overcoming time-varying effects, realizing RIS hardware suitable for the underwater conditions, and achieving simultaneous transmission and reflection (STAR-RIS), and, particularly, in optical links—integrating the latest developments in metasurfaces. Full article
Show Figures

Figure 1

23 pages, 5049 KB  
Article
Growth, Physiological Response, and Gill Health of Spotted Rose Snapper (Lutjanus guttatus) Reared at Different Salinities
by Jonathan Chacón-Guzmán, Ricardo Jiménez-Montealegre, Neil Duncan, Elman Calvo-Elizondo, Silvia Valverde-Chavarría, Junior Pastor Pérez-Molina, Adriana Rodríguez-Forero, Javier Segura-Badilla, Enoc Soto-Alvarado, Tifanny Corrales, Catalina Víquez, Marcela Suárez-Esquivel, Laura Castro-Ramírez, Yanis Cruz-Quintana and Enric Gisbert
Fishes 2025, 10(9), 472; https://doi.org/10.3390/fishes10090472 - 22 Sep 2025
Viewed by 791
Abstract
The physiological and gill health responses of juvenile spotted rose snapper (Lutjanus guttatus) were evaluated at four salinities—8, 16, 24, and 32‰—over a 70-day period. Fish reared at 8‰ exhibited the highest final body weight (126.8 ± 2.6 g), which was [...] Read more.
The physiological and gill health responses of juvenile spotted rose snapper (Lutjanus guttatus) were evaluated at four salinities—8, 16, 24, and 32‰—over a 70-day period. Fish reared at 8‰ exhibited the highest final body weight (126.8 ± 2.6 g), which was significantly higher than their congeners kept at 24‰ (116.0 ± 2.3 g) and 32‰ (116.0 ± 2.3 g). This superior growth at 8‰ coincides with the complete absence of parasitic monogenean infestations. In contrast, parasite prevalence increased with salinity, reaching 87.5% at 24‰, and was associated with gill pathologies like hyperplasia. Plasma osmolality and chloride levels decreased at lower salinities, while sodium and potassium levels showed a compensatory increase. Plasma cortisol and glucose levels remained stable across all treatments, indicating an absence of chronic stress. These findings suggest that the optimal rearing salinity for juvenile L. guttatus is near 8‰. The enhanced growth at this salinity appears to be the result of a net energy gain, stemming from a trade-off between the minor cost of osmoregulation in a hypo-osmotic environment and the major energetic benefit of avoiding parasitic disease. Full article
(This article belongs to the Special Issue Adaptation and Response of Fish to Environmental Changes)
Show Figures

Figure 1

Back to TopTop