Sign in to use this feature.

Years

Between: -

Subjects

remove_circle_outline
remove_circle_outline
remove_circle_outline
remove_circle_outline
remove_circle_outline
remove_circle_outline

Journals

Article Types

Countries / Regions

Search Results (22)

Search Parameters:
Keywords = spectral radiative forcing

Order results
Result details
Results per page
Select all
Export citation of selected articles as:
19 pages, 7138 KB  
Article
Classification Algorithms for Fast Retrieval of Atmospheric Vertical Columns of CO in the Interferogram Domain
by Nejla Ećo, Sébastien Payan and Laurence Croizé
Remote Sens. 2025, 17(16), 2804; https://doi.org/10.3390/rs17162804 - 13 Aug 2025
Viewed by 725
Abstract
Onboard the MetOp satellite series, Infrared Atmospheric Sounding Interferometer (IASI) is a Fourier Transform spectrometer based on the Michelson interferometer. IASI acquires interferograms, which are processed to provide high-resolution atmospheric emission spectra. These spectra enable the derivation of temperature and humidity profiles, among [...] Read more.
Onboard the MetOp satellite series, Infrared Atmospheric Sounding Interferometer (IASI) is a Fourier Transform spectrometer based on the Michelson interferometer. IASI acquires interferograms, which are processed to provide high-resolution atmospheric emission spectra. These spectra enable the derivation of temperature and humidity profiles, among other parameters, with exceptional spectral resolution. In this study, we evaluate a novel, rapid retrieval approach in the interferogram domain, aiming for near-real-time (NRT) analysis of large spectral datasets anticipated from next-generation tropospheric sounders, such as MTG-IRS. The Partially Sampled Interferogram (PSI) method, applied to trace gas retrievals from IASI, has been sparsely explored. However, previous studies suggest its potential for high-accuracy retrievals of specific gases, including CO, CO2, CH4, and N2O at the resolution of a single IASI footprint. This article presents the results of a study based on retrieval in the interferogram domain. Furthermore, the optical pathway differences sensitive to the parameters of interest are studied. Interferograms are generated using a fast Fourier transform on synthetic IASI spectra. Finally, the relationship to the total column of carbon monoxide is explored using three different algorithms—from the most intuitive to a complex neural network approach. These algorithms serve as a proof of concept for interferogram classification and rapid predictions of surface temperature, as well as the abundances of H2O and CO. IASI spectra simulations were performed using the LATMOS Atmospheric Retrieval Algorithm (LARA), a robust and validated radiative transfer model based on least squares estimation. The climatological library TIGR was employed to generate IASI interferograms from LARA spectra. TIGR includes 2311 atmospheric scenarios, each characterized by temperature, water vapor, and ozone concentration profiles across a pressure grid from the surface to the top of the atmosphere. Our study focuses on CO, a critical trace gas for understanding air quality and climate forcing, which displays a characteristic absorption pattern in the 2050–2350 cm1 wavenumber range. Additionally, the study explores the potential of correlating interferogram characteristics with surface temperature and H2O content, aiming to enhance the accuracy of CO column retrievals. Starting with intuitive retrieval algorithms, we progressively increased complexity, culminating in a neural network-based algorithm. The results of the NN study demonstrate the feasibility of fast interferogram-domain retrievals, paving the way for operational applications. Full article
(This article belongs to the Section Atmospheric Remote Sensing)
Show Figures

Figure 1

19 pages, 3285 KB  
Article
Diurnal Variations of Infrared Land Surface Emissivity in the Taklimakan Desert: An Observational Analysis
by Yufen Ma, Kang Zeng, Ailiyaer Aihaiti, Junjian Liu, Zonghui Liu and Ali Mamtimin
Remote Sens. 2025, 17(7), 1276; https://doi.org/10.3390/rs17071276 - 3 Apr 2025
Viewed by 1389
Abstract
This study’s field observations of Light Source Efficiency (LSE) in the Taklamakan Desert have unveiled significant daily average variations across different wavelengths, with LSE values ranging from 0.827 at 9.1 μm to a peak of 0.969 at 12.1 μm, and notably, a substantial [...] Read more.
This study’s field observations of Light Source Efficiency (LSE) in the Taklamakan Desert have unveiled significant daily average variations across different wavelengths, with LSE values ranging from 0.827 at 9.1 μm to a peak of 0.969 at 12.1 μm, and notably, a substantial daily variation (DV) of Δε = 0.080 in the 14.3 μm band. These findings underscore the necessity for wavelength-specific analysis in LSE research, which is crucial for enhancing the precision of remote sensing applications and climate models. This study’s high-temporal-resolution FTIR field observations systematically reveal the diurnal dynamics of infrared surface emissivity in the desert for the first time, challenging existing satellite-based inversion products and highlighting the limitations of traditional temperature–emissivity separation algorithms in arid regions. The diurnal fluctuations are governed by three primary mechanisms: the amplification of lattice vibrations in quartz minerals under high daytime temperatures, changes in the surface topography due to thermal expansion and contraction, and nocturnal radiative cooling effects. The lack of a significant correlation between environmental parameters and the emissivity change rate suggests that microclimate factors play a dominant indirect regulatory role. Model comparisons indicate that sinusoidal functions outperform polynomial fits across most wavelengths, especially at 12.1 μm, confirming the significant influence of diurnal forcing. The high sensitivity of the 14.3 μm band makes it an ideal indicator for monitoring desert surface–atmosphere interactions. This study provides three key insights for remote sensing applications: the development of dynamic emissivity correction schemes, the prioritization of the long-wave infrared band for surface temperature inversion in arid regions, and the integration of ground-based observations with geostationary high-spectral data to construct spatiotemporally continuous emissivity models. Future research should focus on multi-angle observation experiments and the exploration of machine learning’s potential in cross-scale emissivity modeling. Full article
Show Figures

Figure 1

21 pages, 5602 KB  
Article
Quantitative Inversion of Martian Hydrous Minerals Based on LSTM-1DCNN Model
by Xinbao Liu, Ming Jin, Xiangnan Liu, Zhiming Yang, Zengqian Hou and Xiaozhong Ding
Remote Sens. 2025, 17(1), 94; https://doi.org/10.3390/rs17010094 - 30 Dec 2024
Cited by 2 | Viewed by 1656
Abstract
Hydrous minerals are significant indicators of the ancient aqueous environment on Mars, and orbital hyperspectral data are one of the most effective tools for obtaining information about the distribution of hydrous minerals on the Martian surface. However, prolonged weathering, erosion, and other external [...] Read more.
Hydrous minerals are significant indicators of the ancient aqueous environment on Mars, and orbital hyperspectral data are one of the most effective tools for obtaining information about the distribution of hydrous minerals on the Martian surface. However, prolonged weathering, erosion, and other external forces result in complex mixing effects, often weakening the spectral absorption features of individual minerals. This study proposes a quantitative inversion method for Martian hydrous minerals by integrating a radiative transfer model with a deep learning network. Based on the physics of the Hapke radiative transfer model, the single-scattering albedo spectra of mineral end members were obtained. Additionally, the Linear Spectral Mixture Model was employed to generate a large number of fully constrained mineral mixture samples, providing theoretical support for experimental data. An LSTM-1DCNN model was trained to establish a data-driven quantitative inversion framework. CRISM data were applied to the Eberswalde Crater region to retrieve the abundances of 21 hydrous minerals, including tremolite, opal, and serpentine. The average abundance of hydrous minerals was calculated to be 0.018, with a total area proportion of approximately 8%. Additionally, by analyzing the distribution areas of hydrous silicates, hydrous sulfates, and hydrous hydroxides, the water activity history of the region was inferred. The results align with findings from related studies and mineral spectral index results. By incorporating deep learning into traditional mixing models, this study identifies the distribution of various low-abundance hydrous minerals, enhancing the accuracy of Martian hydrous mineral inversion. It is expected to provide valuable references for the selection of landing sites for Tianwen-3 and support the smooth implementation of China’s Mars exploration mission. Full article
(This article belongs to the Special Issue Planetary Geologic Mapping and Remote Sensing (Second Edition))
Show Figures

Figure 1

19 pages, 3320 KB  
Article
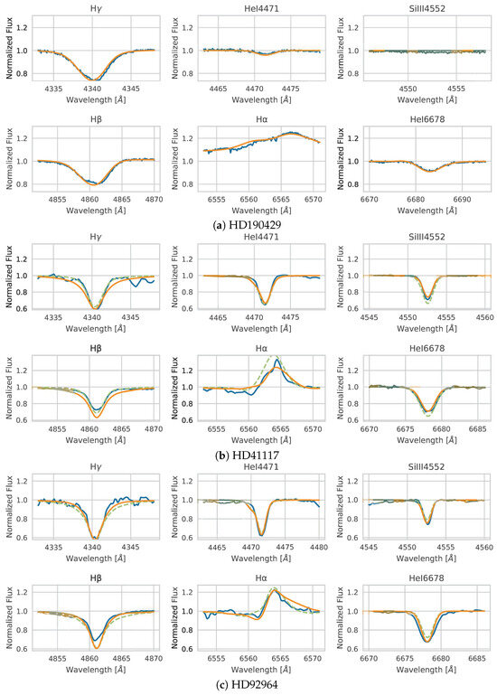
Estimation of Physical Stellar Parameters from Spectral Models Using Deep Learning Techniques
by Esteban Olivares, Michel Curé, Ignacio Araya, Ernesto Fabregas, Catalina Arcos, Natalia Machuca and Gonzalo Farias
Mathematics 2024, 12(20), 3169; https://doi.org/10.3390/math12203169 - 10 Oct 2024
Cited by 3 | Viewed by 2205
Abstract
This article presents a new algorithm that uses techniques from the field of artificial intelligence to automatically estimate the physical parameters of massive stars from a grid of stellar spectral models. This is the first grid to consider hydrodynamic solutions for stellar winds [...] Read more.
This article presents a new algorithm that uses techniques from the field of artificial intelligence to automatically estimate the physical parameters of massive stars from a grid of stellar spectral models. This is the first grid to consider hydrodynamic solutions for stellar winds and radiative transport, containing more than 573 thousand synthetic spectra. The methodology involves grouping spectral models using deep learning and clustering techniques. The goal is to delineate the search regions and differentiate the “species” of spectra based on the shapes of the spectral line profiles. Synthetic spectra close to an observed stellar spectrum are selected using deep learning and unsupervised clustering algorithms. As a result, for each spectrum, we found the effective temperature, surface gravity, micro-turbulence velocity, and abundance of elements, such as helium and silicon. In addition, the values of the line force parameters were obtained. The developed algorithm was tested with 40 observed spectra, achieving 85% of the expected results according to the scientific literature. The execution time ranged from 6 to 13 min per spectrum, which represents less than 5% of the total time required for a one-to-one comparison search under the same conditions. Full article
Show Figures

Figure 1

23 pages, 18685 KB  
Article
Simulation of Spectral Albedo and Bidirectional Reflectance over Snow-Covered Urban Canyon: Model Development and Factor Analysis
by Qi-Xiang Chen, Zi-Yi Gao, Chun-Lin Huang, Shi-Kui Dong and Kai-Feng Lin
Remote Sens. 2024, 16(13), 2340; https://doi.org/10.3390/rs16132340 - 27 Jun 2024
Cited by 1 | Viewed by 2349
Abstract
A critical comprehension of the impact of snow cover on urban bidirectional reflectance is pivotal for precise assessments of energy budgets, radiative forcing, and urban climate change. This study develops a numerical model that employs the Monte Carlo ray-tracing technique and a snow [...] Read more.
A critical comprehension of the impact of snow cover on urban bidirectional reflectance is pivotal for precise assessments of energy budgets, radiative forcing, and urban climate change. This study develops a numerical model that employs the Monte Carlo ray-tracing technique and a snow anisotropic reflectance model (ART) to simulate spectral albedo and bidirectional reflectance, accounting for urban structure and snow anisotropy. Validation using three flat surfaces and MODIS data (snow-free, fresh snow, and melting snow scenarios) revealed minimal errors: the maximum domain-averaged BRDF bias was 0.01% for flat surfaces, and the overall model-MODIS deviation was less than 0.05. The model’s performance confirmed its accuracy in reproducing the reflectance spectrum. A thorough investigation of key factors affecting bidirectional reflectance in snow-covered urban canyons ensued, with snow coverage found to be the dominant influence. Urban coverage, building height, and soot pollutant concentration significantly impact visible and infrared reflectance, while snow grain size has the greatest effect on shortwave infrared. The bidirectional reflectance at backward scattering angles (0.5–0.6) at 645 nm is lower than forward scattering (around 0.8) in the principal plane as snow grain size increases. These findings contribute to a deeper understanding of snow-covered urban canyons’ reflectance characteristics and facilitate the quantification of radiation interactions, cloud-snow discrimination, and satellite-based retrieval of aerosol and snow parameters. Full article
(This article belongs to the Topic Advances in Earth Observation and Geosciences)
Show Figures

Figure 1

17 pages, 5476 KB  
Article
Changes in Snow Surface Albedo and Radiative Forcing in the Chilean Central Andes Measured by In Situ and Remote Sensing Data
by Luis Figueroa-Villanueva, Lina Castro, Tomás R. Bolaño-Ortiz, Raúl P. Flores, Diego Pacheco-Ferrada and Francisco Cereceda-Balic
Water 2023, 15(18), 3198; https://doi.org/10.3390/w15183198 - 8 Sep 2023
Cited by 2 | Viewed by 2871
Abstract
Snow-covered regions are the main source of reflection of incident shortwave radiation on the Earth’s surface. The deposition of light-absorbing particles on these regions increases the capacity of snow to absorb radiation and decreases surface snow albedo, which intensifies the radiative forcing, leading [...] Read more.
Snow-covered regions are the main source of reflection of incident shortwave radiation on the Earth’s surface. The deposition of light-absorbing particles on these regions increases the capacity of snow to absorb radiation and decreases surface snow albedo, which intensifies the radiative forcing, leading to accelerated snowmelt and modifications of the hydrologic cycle. In this work, the changes in surface snow albedo and radiative forcing were investigated, induced by light-absorbing particles in the Upper Aconcagua River Basin (Chilean Central Andes) using remote sensing satellite data (MODIS), in situ spectral snow albedo measurements, and the incident shortwave radiation during the austral winter months (May to August) for the 2004–2016 period. To estimate the changes in snow albedo and radiative forcing, two spectral ranges were defined: (i) an enclosed range between 841 and 876 nm, which isolates the effects of black carbon, an important light-absorbing particle derived from anthropogenic activities, and (ii) a broadband range between 300 and 2500 nm. The results indicate that percent variations in snow albedo in the enclosed range are higher than in the broadband range, regardless of the total amount of radiation received, which may be attributed to the presence of light-absorbing particles, as these particles have a greater impact on surface snow albedo at wavelengths in the enclosed band than in the broadband band. Full article
(This article belongs to the Special Issue The Role of Snow in High-Mountain Hydrologic Cycle)
Show Figures

Figure 1

12 pages, 577 KB  
Article
Is the H Atom Surrounded by A Cloud of Virtual Quanta Due to the Lamb Shift?
by G. Jordan Maclay
Physics 2023, 5(3), 883-894; https://doi.org/10.3390/physics5030057 - 18 Aug 2023
Viewed by 2473
Abstract
The Lamb shift, one of the most fundamental interactions in atomic physics, arises from the interaction of H atoms with the electromagnetic fluctuations of the quantum vacuum. The energy shift has been computed in a variety of ways. The energy shift, as Feynman, [...] Read more.
The Lamb shift, one of the most fundamental interactions in atomic physics, arises from the interaction of H atoms with the electromagnetic fluctuations of the quantum vacuum. The energy shift has been computed in a variety of ways. The energy shift, as Feynman, Power, and Milonni demonstrated, equals the change in the vacuum energy in the volume containing the H atoms due to the change in the index of refraction arising from the presence of the H atoms. Using this result and a group theoretical calculation of the contribution to the Lamb shift from each frequency of the vacuum fluctuations, in this paper we obtain an expression for the region of the vacuum energy for each frequency ω around the H atom due to the Lamb shift. This same field plays an essential role in the van der Waals force. We show the ground state atom is surrounded by a region of positive vacuum energy that extends well beyond the atom for low frequencies. This region can be described as a steady state cloud of vacuum fluctuations. For energies E=ω less than 1 eV, where is the reduced Planck constant and ω is frequency, the radius of the positive energy region is shown to be approximately 14.4/E Å. For a vacuum fluctuation of wavelength, λ, the radius is (α/2π)λ, where α is the fine-structure constant. Thus, for long wavelengths, the region has macroscopic dimensions. The energy–time uncertainty relation predicts a maximum possible radius that is larger than the radius based on the radiative shift calculations by a factor of 1/4α. Full article
Show Figures

Figure 1

23 pages, 3894 KB  
Article
Spectral Aerosol Radiative Forcing and Efficiency of the La Palma Volcanic Plume over the Izaña Observatory
by Rosa Delia García, Omaira Elena García, Emilio Cuevas-Agulló, África Barreto, Victoria Eugenia Cachorro, Carlos Marrero, Fernando Almansa, Ramón Ramos and Mario Pó
Remote Sens. 2023, 15(1), 173; https://doi.org/10.3390/rs15010173 - 28 Dec 2022
Cited by 3 | Viewed by 3856
Abstract
On 19 September 2021, a volcanic eruption began on the island of La Palma (Canary Islands, Spain). The eruption has allowed the assessment of an unprecedented multidisciplinary study on the effects of the volcanic plume. This work presents the estimation of the spectral [...] Read more.
On 19 September 2021, a volcanic eruption began on the island of La Palma (Canary Islands, Spain). The eruption has allowed the assessment of an unprecedented multidisciplinary study on the effects of the volcanic plume. This work presents the estimation of the spectral direct radiative forcing (ΔF) and efficiency (ΔFEff) from solar radiation measurements at the Izaña Observatory (IZO) located on the island of Tenerife (∼140 km from the volcano). During the eruption, the IZO was affected by different types of aerosols: volcanic, Saharan mineral dust, and a mixture of volcanic and dust aerosols. Three case studies were identified using ground-based (lidar) data, satellite-based (Sentinel-5P Tropospheric Monitoring Instrument, TROPOMI) data, reanalysis data (Modern-Era Retrospective Analysis for Research and Applications, version 2, MERRA-2), and backward trajectories (Flexible Trajectories, FLEXTRA), and subsequently characterised in terms of optical and micro-physical properties using ground-based sun-photometry measurements. Despite the ΔF of the volcanic aerosols being greater than that of the dust events (associated with the larger aerosol load present), the ΔFEff was found to be lower. The spectral ΔFEff values at 440 nm ranged between −1.9 and −2.6 Wm2nm1AOD1 for the mineral dust and mixed volcanic and dust particles, and between −1.6 and −3.3 Wm2nm1AOD1 for the volcanic aerosols, considering solar zenith angles between 30 and 70, respectively. Full article
(This article belongs to the Section Atmospheric Remote Sensing)
Show Figures

Figure 1

22 pages, 689 KB  
Article
Stratospheric Aerosol Characteristics from the 2017–2019 Volcanic Eruptions Using the SAGE III/ISS Observations
by Bomidi Lakshmi Madhavan, Rei Kudo, Madineni Venkat Ratnam, Corinna Kloss, Gwenaël Berthet and Pasquale Sellitto
Remote Sens. 2023, 15(1), 29; https://doi.org/10.3390/rs15010029 - 21 Dec 2022
Cited by 8 | Viewed by 3354
Abstract
In recent years (2017–2019), several moderate volcanic eruptions and wildfires have perturbed the stratospheric composition and concentration with distinct implications on radiative forcing and climate. The Stratospheric Aerosol and Gas Experiment III instruments onboard the International Space Station (SAGE III/ISS) have been providing [...] Read more.
In recent years (2017–2019), several moderate volcanic eruptions and wildfires have perturbed the stratospheric composition and concentration with distinct implications on radiative forcing and climate. The Stratospheric Aerosol and Gas Experiment III instruments onboard the International Space Station (SAGE III/ISS) have been providing aerosol extinction coefficient (EC) profiles at multiple wavelengths since June 2017. In this study, a method to invert the spectral stratospheric aerosol optical depth (sAOD) or EC values from SAGE III/ISS (to retrieve the number/volume size distributions and other microphysical properties) is presented, and the sensitivity of these retrievals is evaluated. It was found that the retrievals are strongly dependent on the choices of wavelengths, which in turn determine the shapes of the calculated curves. Further, we examine the changes in stratospheric aerosol spectral behavior, size distribution properties, time evolution (growth/decay) characteristics associated with subsequent moderate volcanic eruptions, namely, Ambae (15S, 167E; April and July 2018), Raikoke (48N, 153E; June 2019), and Ulawun (5S, 151E; June and August 2019), in different spatial regions. The observational period was classified with reference to Ambae eruptions into four phases (pre-Ambae, Ambae1, Ambae2, and post-Ambae). The pre-Ambae and post-Ambe periods comprise the 2017 Canadian fires and 2019 Raikoke/Ulawun eruptions, respectively. The spectral dependence of sAOD was comparable and lowest during the pre-Ambae and Ambae1 periods in all regions. The number concentration at the principal mode radius (between 0.07 and 0.2 μm) was observed to be higher during the Ambae2 period over the Northern Hemisphere (NH). The rate of change (growth/decay) in the sAOD on a global scale resembled the changes in the Southern Hemisphere (SH), unlike the time-lag-associated changes in the NH. These differences could be attributed to the prevailing horizontal and vertical dispersion mechanisms in the respective regions. Lastly, the radiative forcing estimates of Ambae and Raikoke/Ulawun eruptions, as reported in recent studies, was discussed by taking clues from other major and moderate eruptions to gain insight on their role in climate change. Full article
Show Figures

Graphical abstract

37 pages, 19177 KB  
Article
Remote Sensing Image-Based Analysis of the Urban Heat Island Effect in Bragança, Portugal
by Cátia Rodrigues de Almeida, Leonardo Furst, Artur Gonçalves and Ana Cláudia Teodoro
Environments 2022, 9(8), 98; https://doi.org/10.3390/environments9080098 - 4 Aug 2022
Cited by 28 | Viewed by 6576
Abstract
Urban Heat Islands increase surface temperatures which impact the health and well-being of urban populations. Radiative forcing is impacted by changes to the land surface associated with urbanization that are particularly significant immediately after sunset. This paper aimed to analyze the behavior of [...] Read more.
Urban Heat Islands increase surface temperatures which impact the health and well-being of urban populations. Radiative forcing is impacted by changes to the land surface associated with urbanization that are particularly significant immediately after sunset. This paper aimed to analyze the behavior of UHI in different Local Climate Zones (LCZ) in Bragança city (Portugal), using Air Temperature (Ta), satellite images (Landsat 8), and on-site data. The methodology included a seasonal approach, integrating data with different scales (spatial, radiometric, and spectral) and qualitative and quantitative analyses. Google Earth Engine (GEE) optimized the processing time and computation requirement to generate the Land Surface Temperature (LST) maps. The integration of data with different scales corroborated the complementation of information/analysis and detected the correlation between the Ta and LST. However, the identification of the UHI was compromised due to the time of the passage of Landsat 8, and it was identified as the Urban Cool Island (UCI), a complementary effect of UHI, supporting the results of previous studies and for the use of Remote Sensing (RS) for thermal effects analysis. Full article
Show Figures

Figure 1

18 pages, 2763 KB  
Article
Sea Salt Aerosol Identification Based on Multispectral Optical Properties and Its Impact on Radiative Forcing over the Ocean
by Dwi Atmoko and Tang-Huang Lin
Remote Sens. 2022, 14(13), 3188; https://doi.org/10.3390/rs14133188 - 2 Jul 2022
Cited by 4 | Viewed by 3651
Abstract
The ground-based measurement of sea salt (SS) aerosol over the ocean requires the massive utilization of satellite-derived aerosol products. In this study, n-order spectral derivatives of aerosol optical depth (AOD) based on wavelength were examined to characterize SS and other aerosol types in [...] Read more.
The ground-based measurement of sea salt (SS) aerosol over the ocean requires the massive utilization of satellite-derived aerosol products. In this study, n-order spectral derivatives of aerosol optical depth (AOD) based on wavelength were examined to characterize SS and other aerosol types in terms of their spectral dependence related to their optical properties such as particle size distributions and complex refractive indices. Based on theoretical simulations from the second simulation of a satellite signal in the solar spectrum (6S) model, AOD spectral derivatives of SS were characterized along with other major types including mineral dust (DS), biomass burning (BB), and anthropogenic pollutants (APs). The approach (normalized derivative aerosol index, NDAI) of partitioning aerosol types with intrinsic values of particle size distribution and complex refractive index from normalized first- and second-order derivatives was applied to the datasets from a moderate resolution imaging spectroradiometer (MODIS) as well as by the ground-based aerosol robotic network (AERONET). The results after implementation from multiple sources of data indicated that the proposed approach could be highly effective for identifying and segregating abundant SS from DS, BB, and AP, across an ocean. Consequently, each aerosol’s shortwave radiative forcing and its efficiency could be further estimated in order to predict its impact on the climate. Full article
(This article belongs to the Section Atmospheric Remote Sensing)
Show Figures

Graphical abstract

19 pages, 5006 KB  
Article
Characterization of Imidazole Compounds in Aqueous Secondary Organic Aerosol Generated from Evaporation of Droplets Containing Pyruvaldehyde and Inorganic Ammonium
by Xin Lin, Mingqiang Huang, Tingting Lu, Weixiong Zhao, Changjin Hu, Xuejun Gu and Weijun Zhang
Atmosphere 2022, 13(6), 970; https://doi.org/10.3390/atmos13060970 - 15 Jun 2022
Cited by 17 | Viewed by 6394
Abstract
Imidazole compounds are important constituents of atmospheric brown carbon. The imidazole components of aqueous secondary organic aerosol (aqSOA) that are generated from the evaporation of droplets containing pyruvaldehyde and inorganic ammonium are on-line characterized by an aerosol laser time-of-flight mass spectrometer (ALTOFMS) and [...] Read more.
Imidazole compounds are important constituents of atmospheric brown carbon. The imidazole components of aqueous secondary organic aerosol (aqSOA) that are generated from the evaporation of droplets containing pyruvaldehyde and inorganic ammonium are on-line characterized by an aerosol laser time-of-flight mass spectrometer (ALTOFMS) and off-line detected by optical spectrometry in this study. The results demonstrated that the laser desorption/ionization mass spectra of aqSOA particles that were detected by ALTOFMS contained the characteristic mass peaks of imidazoles at m/z = 28 (CH2N+), m/z = 41 (C2H3N+) and m/z = 67 (C3H4N2+). Meanwhile, the extraction solution of the aqSOA particles that were measured by off-line techniques showed that the characteristic absorption peaks at 217 nm and 282 nm appeared in the UV-Vis spectrum, and the stretching vibration peaks of C-N bond and C=N bond emerged in the infrared spectrum. Based on these spectral information, 4-methyl-imidazole and 4-methyl-imidazole-2-carboxaldehyde are identified as the main products of the reaction between pyruvaldehyde and ammonium ions. The water evaporation accelerates the formation of imidazoles inside the droplets, possibly owing to the highly concentrated environment. Anions, such as F, CO32, NO3, SO42 and Cl in the aqueous phase promote the reaction of pyruvaldehyde and ammonium ions to produce imidazole products, resulting in the averaged mass absorption coefficient (<MAC>) in the range of 200–600 nm of aqSOA increases, and the order of promotion is: F > CO32 > SO42 ≈ NO3 ≈ Cl. These results will help to analyze the constituents and optics of imidazoles and provide a useful basis for evaluating the formation process and radiative forcing of aqSOA particles. Full article
(This article belongs to the Special Issue New Insights into Secondary Organic Aerosol Formation)
Show Figures

Figure 1

22 pages, 4049 KB  
Article
A Decade of Poland-AOD Aerosol Research Network Observations
by Krzysztof M. Markowicz, Iwona S. Stachlewska, Olga Zawadzka-Manko, Dongxiang Wang, Wojciech Kumala, Michal T. Chilinski, Przemyslaw Makuch, Piotr Markuszewski, Anna K. Rozwadowska, Tomasz Petelski, Tymon Zielinski, Michal Posyniak, Jacek W. Kaminski, Artur Szkop, Aleksander Pietruczuk, Bogdan H. Chojnicki, Kamila M. Harenda, Patryk Poczta, Joanna Uscka-Kowalkowska, Joanna Struzewska, Malgorzata Werner, Maciej Kryza, Anetta Drzeniecka-Osiadacz, Tymoteusz Sawinski, Arkadiusz Remut, Miroslaw Mietus, Krzysztof Wiejak, Jacek Markowicz, Livio Belegante and Doina Nicolaeadd Show full author list remove Hide full author list
Atmosphere 2021, 12(12), 1583; https://doi.org/10.3390/atmos12121583 - 27 Nov 2021
Cited by 23 | Viewed by 5772
Abstract
The Poland-AOD aerosol research network was established in 2011 to improve aerosol–climate interaction knowledge and provide a real-time and historical, comprehensive, and quantitative database for the aerosol optical properties distribution over Poland. The network consists of research institutions and private owners operating 10 [...] Read more.
The Poland-AOD aerosol research network was established in 2011 to improve aerosol–climate interaction knowledge and provide a real-time and historical, comprehensive, and quantitative database for the aerosol optical properties distribution over Poland. The network consists of research institutions and private owners operating 10 measurement stations and an organization responsible for aerosol model transport simulations. Poland-AOD collaboration provides observations of spectral aerosol optical depth (AOD), Ångstrom Exponent (AE), incoming shortwave (SW) and longwave (LW) radiation fluxes, vertical profiles of aerosol optical properties and surface aerosol scattering and absorption coefficient, as well as microphysical particle properties. Based on the radiative transfer model (RTM), the aerosol radiative forcing (ARF) and the heating rate are simulated. In addition, results from GEM-AQ and WRF-Chem models (e.g., aerosol mass mixing ratio and optical properties for several particle chemical components), and HYSPLIT back-trajectories are used to interpret the results of observation and to describe the 3D aerosol optical properties distribution. Results of Poland-AOD research indicate progressive improvement of air quality and at mospheric turbidity during the last decade. The AOD was reduced by about 0.02/10 yr (at 550 nm), which corresponds to positive trends in ARF. The estimated clear-sky ARF trend is 0.34 W/m2/10 yr and 0.68 W/m2/10 yr, respectively, at TOA and at Earth’s surface. Therefore, reduction in aerosol load observed in Poland can significantly contribute to climate warming. Full article
(This article belongs to the Special Issue Air Quality in Poland)
Show Figures

Figure 1

36 pages, 4075 KB  
Article
Reconstruction of the Interannual to Millennial Scale Patterns of the Global Surface Temperature
by Nicola Scafetta
Atmosphere 2021, 12(2), 147; https://doi.org/10.3390/atmos12020147 - 24 Jan 2021
Cited by 21 | Viewed by 18645
Abstract
Climate changes are due to anthropogenic factors, volcano eruptions and the natural variability of the Earth’s system. Herein the natural variability of the global surface temperature is modeled using a set of harmonics spanning from the inter-annual to the millennial scales. The model [...] Read more.
Climate changes are due to anthropogenic factors, volcano eruptions and the natural variability of the Earth’s system. Herein the natural variability of the global surface temperature is modeled using a set of harmonics spanning from the inter-annual to the millennial scales. The model is supported by the following considerations: (1) power spectrum evaluations show 11 spectral peaks (from the sub-decadal to the multi-decadal scales) above the 99% confidence level of the known temperature uncertainty; (2) spectral coherence analysis between the independent global surface temperature periods 1861–1937 and 1937–2013 highlights at least eight common frequencies between 2- and 20-year periods; (3) paleoclimatic temperature reconstructions during the Holocene present secular to millennial oscillations. The millennial oscillation was responsible for the cooling observed from the Medieval Warm Period (900–1400) to the Little Ice Age (1400–1800) and, on average, could have caused about 50% of the warming observed since 1850. The finding implies an equilibrium climate sensitivity of 1.0–2.3 °C for CO2 doubling likely centered around 1.5 °C. This low sensitivity to radiative forcing agrees with the conclusions of recent studies. Semi-empirical models since 1000 A.D. are developed using 13 identified harmonics (representing the natural variability of the climate system) and a climatic function derived from the Coupled Model Intercomparison Project 5 (CMIP5) model ensemble mean simulation (representing the mean greenhouse gas—GHG, aerosol, and volcano temperature contributions) scaled under the assumption of an equilibrium climate sensitivity of 1.5 °C. The harmonic model is evaluated using temperature data from 1850 to 2013 to test its ability to predict the major temperature patterns observed in the record from 2014 to 2020. In the short, medium, and long time scales the semi-empirical models predict: (1) temperature maxima in 2015–2016 and 2020, which is confirmed by the 2014–2020 global temperature record; (2) a relatively steady global temperature from 2000 to 2030–2040; (3) a 2000–2100 mean projected global warming of about 1 °C. The semi-empirical model reconstructs accurately the historical surface temperature record since 1850 and hindcasts mean surface temperature proxy reconstructions since the medieval period better than the model simulation that is unable to simulate the Medieval Warm Period. Full article
(This article belongs to the Section Climatology)
Show Figures

Figure 1

27 pages, 7303 KB  
Article
Wildfire Smoke Particle Properties and Evolution, From Space-Based Multi-Angle Imaging II: The Williams Flats Fire during the FIREX-AQ Campaign
by Katherine T. Junghenn Noyes, Ralph A. Kahn, James A. Limbacher, Zhanqing Li, Marta A. Fenn, David M. Giles, Johnathan W. Hair, Joseph M. Katich, Richard H. Moore, Claire E. Robinson, Kevin J. Sanchez, Taylor J. Shingler, Kenneth L. Thornhill, Elizabeth B. Wiggins and Edward L. Winstead
Remote Sens. 2020, 12(22), 3823; https://doi.org/10.3390/rs12223823 - 21 Nov 2020
Cited by 26 | Viewed by 5235
Abstract
Although the characteristics of biomass burning events and the ambient ecosystem determine emitted smoke composition, the conditions that modulate the partitioning of black carbon (BC) and brown carbon (BrC) formation are not well understood, nor are the spatial or temporal frequency of factors [...] Read more.
Although the characteristics of biomass burning events and the ambient ecosystem determine emitted smoke composition, the conditions that modulate the partitioning of black carbon (BC) and brown carbon (BrC) formation are not well understood, nor are the spatial or temporal frequency of factors driving smoke particle evolution, such as hydration, coagulation, and oxidation, all of which impact smoke radiative forcing. In situ data from surface observation sites and aircraft field campaigns offer deep insight into the optical, chemical, and microphysical traits of biomass burning (BB) smoke aerosols, such as single scattering albedo (SSA) and size distribution, but cannot by themselves provide robust statistical characterization of both emitted and evolved particles. Data from the NASA Earth Observing System’s Multi-Angle Imaging SpectroRadiometer (MISR) instrument can provide at least a partial picture of BB particle properties and their evolution downwind, once properly validated. Here we use in situ data from the joint NOAA/NASA 2019 Fire Influence on Regional to Global Environments Experiment-Air Quality (FIREX-AQ) field campaign to assess the strengths and limitations of MISR-derived constraints on particle size, shape, light-absorption, and its spectral slope, as well as plume height and associated wind vectors. Based on the satellite observations, we also offer inferences about aging mechanisms effecting downwind particle evolution, such as gravitational settling, oxidation, secondary particle formation, and the combination of particle aggregation and condensational growth. This work builds upon our previous study, adding confidence to our interpretation of the remote-sensing data based on an expanded suite of in situ measurements for validation. The satellite and in situ measurements offer similar characterizations of particle property evolution as a function of smoke age for the 06 August Williams Flats Fire, and most of the key differences in particle size and absorption can be attributed to differences in sampling and changes in the plume geometry between sampling times. Whereas the aircraft data provide validation for the MISR retrievals, the satellite data offer a spatially continuous mapping of particle properties over the plume, which helps identify trends in particle property downwind evolution that are ambiguous in the sparsely sampled aircraft transects. The MISR data record is more than two decades long, offering future opportunities to study regional wildfire plume behavior statistically, where aircraft data are limited or entirely lacking. Full article
(This article belongs to the Section Atmospheric Remote Sensing)
Show Figures

Graphical abstract

Back to TopTop