Sign in to use this feature.

Years

Between: -

Subjects

remove_circle_outline
remove_circle_outline
remove_circle_outline
remove_circle_outline
remove_circle_outline
remove_circle_outline
remove_circle_outline
remove_circle_outline
remove_circle_outline

Journals

remove_circle_outline
remove_circle_outline
remove_circle_outline
remove_circle_outline
remove_circle_outline
remove_circle_outline
remove_circle_outline
remove_circle_outline
remove_circle_outline
remove_circle_outline
remove_circle_outline
remove_circle_outline
remove_circle_outline
remove_circle_outline
remove_circle_outline
remove_circle_outline
remove_circle_outline
remove_circle_outline
remove_circle_outline
remove_circle_outline
remove_circle_outline
remove_circle_outline
remove_circle_outline
remove_circle_outline
remove_circle_outline

Article Types

Countries / Regions

remove_circle_outline
remove_circle_outline
remove_circle_outline
remove_circle_outline
remove_circle_outline
remove_circle_outline
remove_circle_outline
remove_circle_outline

Search Results (2,035)

Search Parameters:
Keywords = spectral phase

Order results
Result details
Results per page
Select all
Export citation of selected articles as:
20 pages, 6069 KB  
Article
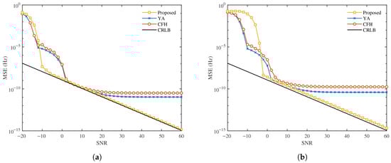
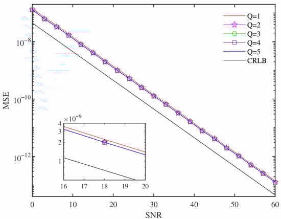
Harmonic Parameter Estimation Based on the ApFFT/ApDTFT Spectral Scenario with Low Mutual Interference
by Qi Zhang, Xiangdong Huang, Xiao Ma and Hongwei Fang
Electronics 2026, 15(9), 1784; https://doi.org/10.3390/electronics15091784 - 22 Apr 2026
Abstract
In order to improve the accuracy of multi-tone parameter estimation, we propose a scheme derived from a novel spectral scenario based on all-phase Fast Fourier Transform (apFFT)/all-phase discrete-time Fourier Transform (apDTFT). This scheme is constructed based on the following architecture. Firstly, we theoretically [...] Read more.
In order to improve the accuracy of multi-tone parameter estimation, we propose a scheme derived from a novel spectral scenario based on all-phase Fast Fourier Transform (apFFT)/all-phase discrete-time Fourier Transform (apDTFT). This scheme is constructed based on the following architecture. Firstly, we theoretically extend the original discrete apFFT analysis to the proposed continuous apDTFT analysis, so that two excellent spectral properties (suppression of spectral leakage and phase invariance) hold across the entire frequency axis. Secondly, on the basis of apFFT/apDTFT, we design a single-tone interpolator and its improved version with frequency-shift iteration. Thirdly, we derive a multi-tone harmonic estimator, which can further reduce the mutual spectral interference under the apFFT-/apDTFT-based spectral scenario. Both numerical and experimental results demonstrate that, even with one fewer sample, the proposed apFFT-/apDTFT-based estimator achieves higher accuracy across individual harmonics and inter-harmonics than the FFT-/DTFT-based estimator. Full article
(This article belongs to the Section Circuit and Signal Processing)
Show Figures

Figure 1

8 pages, 3391 KB  
Proceeding Paper
Self-Coupled Optical Waveguide-Based Tunable Photonic Structure for Spectral Control and Transmission Response Simulation
by Charmaine C. Paglinawan, Arnold C. Paglinawan, Benjamin B. Dingel and Gwen G. Evangelista
Eng. Proc. 2026, 134(1), 64; https://doi.org/10.3390/engproc2026134064 - 21 Apr 2026
Abstract
We propose a novel self-coupled optical waveguide (SCOW+) architecture that enhances spectral control in integrated photonic circuits. Derived from the foundational SCOW platform, SCOW+ introduces a tunable ring resonator coupled with an all-pass filter to achieve sharp, periodic transmission dips with adjustable free [...] Read more.
We propose a novel self-coupled optical waveguide (SCOW+) architecture that enhances spectral control in integrated photonic circuits. Derived from the foundational SCOW platform, SCOW+ introduces a tunable ring resonator coupled with an all-pass filter to achieve sharp, periodic transmission dips with adjustable free spectral range and extinction ratio. This hybrid configuration supports multifunctional behavior, enabling the device to operate as a narrowband filter, modulator, or sensor depending on the tuning parameters. The SCOW+ structure leverages self-coupling and phase interference to induce coupled-resonator-induced transparency, offering fine control over spectral features. Using frequency-domain simulations, we validate the spectral response and tunability of SCOW+. Simulation results confirm that the device exhibits flexible tuning capabilities and dynamic reconfiguration of its transmission profile by adjusting ring length and coupling coefficient. SCOW+ enhances spectral shaping without significantly increasing device size. Its modularity and compatibility with standard fabrication processes underscore its potential for scalable integration in silicon photonics platforms. The results of this study highlight the versatility of SCOW-derived architectures and enable compact, tunable photonic components in next-generation integrated systems. Full article
Show Figures

Figure 1

21 pages, 7445 KB  
Article
Identifying the Impact of Leaf-Miner Complex Insects on Nothofagus obliqua Forests by Assessing Changes in Land Surface Phenology
by Benjamín Vergara, Regis Le-Feuvre, Paula Tiara Torres, Rosa M. Alzamora and Priscila Moraga-Suazo
Remote Sens. 2026, 18(8), 1260; https://doi.org/10.3390/rs18081260 - 21 Apr 2026
Abstract
Nothofagus obliqua forests in south-central Chile are increasingly threatened by outbreaks of a native leaf-miner complex, dominated by the moth Heterobathmia pseuderiocrania. Despite the high ecological and economic value of these forests, landscape-scale monitoring of forest–insect interactions remains limited, particularly regarding the [...] Read more.
Nothofagus obliqua forests in south-central Chile are increasingly threatened by outbreaks of a native leaf-miner complex, dominated by the moth Heterobathmia pseuderiocrania. Despite the high ecological and economic value of these forests, landscape-scale monitoring of forest–insect interactions remains limited, particularly regarding the attribution of phenological anomalies to biotic disturbances. This study aimed to detect and quantify the late-2022 outbreak and evaluate its effects on Land Surface Phenology (LSP), addressing signal attribution challenges associated with remote-sensing-based monitoring of insect defoliation. Using MODIS Enhanced Vegetation Index (EVI) time series (2003–2024), Seasonal-Trend decomposition (STL) was applied to isolate long-term trend anomalies. An EVI condition index was developed to compare 2022–2023 observations against a historical baseline, and synchrony between vegetation condition loss and larval developmental phases was assessed. Additionally, Highest Density Regions (HDR) were used to quantify the statistical probability of spectral anomalies. Results revealed a sharp decline in EVI trend during late 2022, reaching the lowest recorded value in the 20-year time series. Phenological decoupling began in November, coinciding with larval development and peak defoliation, with impacts extending across two growing seasons. Ecosystem condition declined to a minimum of 42%, falling with the 4% historical probability region. Notably, exceptional pre-outbreak vigor (160% condition) preceded the disturbance. By integrating spectral anomaly detection with insect life-cycle dynamics, this multi-layered approach strengthens biotic disturbance attribution and provides a scalable framework for remote forest health monitoring. The findings also address key knowledge gaps in Southern Hemisphere Forest entomology and improve early detection strategies for native insect outbreaks. Full article
(This article belongs to the Section Forest Remote Sensing)
26 pages, 17603 KB  
Article
SICABI: Symmetry-Informed Stochastic Modeling via Dominant-Period Stationarity and Recursive Adaptive Parametric Density Estimation
by Daniel Canton-Enriquez, Jorge-Luis Perez-Ramos, Selene Ramirez-Rosales, Luis-Antonio Diaz-Jimenez, Ana-Marcela Herrera-Navarro and Hugo Jimenez-Hernandez
Symmetry 2026, 18(4), 681; https://doi.org/10.3390/sym18040681 - 20 Apr 2026
Abstract
Wind dynamics in urban environments exhibit non-stationarity and marked spatial variability, complicating stochastic modeling when a single global distribution is assumed. This article discusses the estimation of wind density under quasi-stationary regimes at the local level using SICABI, a two-phase framework: (i) Stationary [...] Read more.
Wind dynamics in urban environments exhibit non-stationarity and marked spatial variability, complicating stochastic modeling when a single global distribution is assumed. This article discusses the estimation of wind density under quasi-stationary regimes at the local level using SICABI, a two-phase framework: (i) Stationary Region Identification (ISR) estimates, through spectral power analysis, a specific dominant period for each location and validates the induced subsampling using the Augmented Dickey–Fuller (ADF) test, and (ii) RAPID adjusts an adaptive parametric density by recursively updating the mixture parameters and creating new components when a normalized membership distance exceeds a threshold. The analysis uses wind speed records collected from eight stations in the Metropolitan Area of Queretaro, Mexico, during the period from 1 January 2023 to 31 December 2023, aggregated at a 10 min resolution, from which Xδ,s is constructed for each site. RAPID is compared against Gaussian Kernel Density Estimation (KDE) with Silverman bandwidth and EM-fitted Gaussian mixtures with BIC-based selection (Kmax=12). The resulting densities were compared with an empirical density estimated from a histogram over a fixed grid (m=50) using the MISE and RMSE metrics. The results reveal marked site-dependent differences in dominant periodicity and residual behavior, including asymmetry and heavy tails. ISR identified dominant periods ranging from 37 to 166 days, and RAPID adapted its complexity with Ks[5,10] without fixing the number of mixture components in advance. Quantitatively, RAPID achieved the lowest RMSE at 6/8 sites and the lowest MISE at 5/8 sites, while also exhibiting shorter execution times than KDE and MoG under the same input Xδ,s. The results support RAPID as a competitive adaptive method for site-specific density estimation in non-stationary urban climate signals. In this context, local regimes can be viewed as approximate invariants under time translation in the weak stochastic sense, while deviations from this assumption are reflected in increased distributional complexity across sites. Full article
Show Figures

Figure 1

29 pages, 2377 KB  
Article
Multi-Scale Spectral Recurrent Network Based on Random Fourier Features for Wind Speed Forecasting
by Eder Arley Leon-Gomez, Víctor Elvira, Jorge Iván Montes-Monsalve, Andrés Marino Álvarez-Meza, Alvaro Orozco-Gutierrez and German Castellanos-Dominguez
Technologies 2026, 14(4), 238; https://doi.org/10.3390/technologies14040238 - 18 Apr 2026
Viewed by 98
Abstract
Accurate wind speed forecasting is critical for reliable wind-power integration, yet it remains challenging due to the strongly non-stationary and inherently multi-scale nature of atmospheric processes. While deep learning models—such as LSTM, GRU, and Transformer architectures—achieve competitive short- and medium-term performance, they frequently [...] Read more.
Accurate wind speed forecasting is critical for reliable wind-power integration, yet it remains challenging due to the strongly non-stationary and inherently multi-scale nature of atmospheric processes. While deep learning models—such as LSTM, GRU, and Transformer architectures—achieve competitive short- and medium-term performance, they frequently suffer from spectral bias, hyperparameter sensitivity, and reduced generalization under heterogeneous operating regimes. To address these limitations, we propose a multi-scale spectral–recurrent framework, termed RFF-RNN, which integrates multi-band Random Fourier Feature (RFF) encodings with parameterizable recurrent backbones. A key innovation of our approach is the deliberate relaxation of strict shift-invariance constraints; by jointly optimizing spectral frequencies, phase biases, and bandwidth scales alongside the neural weights, the framework dynamically shapes a fully data-driven spectral embedding. To ensure robust adaptation, we employ a two-stage optimization strategy combining gradient-based inner-loop learning with outer-loop Bayesian hyperparameter tuning. Our extensive evaluations on a controlled synthetic benchmark and six geographically diverse real-world wind datasets (spanning the USA, China, and the Netherlands) demonstrate the superiority of the proposed framework. Statistical validation via the Friedman test confirms that RFF-enhanced models—particularly RFF-GRU and RFF-LSTM—systematically outperform standard recurrent networks and state-of-the-art Transformer architectures (Autoformer and FEDformer). The proposed approach yields significantly lower error metrics (MAE and RMSE) and higher explained variance (R2), while exhibiting remarkable resilience against error accumulation at extended forecasting horizons. Full article
(This article belongs to the Special Issue AI for Smart Engineering Systems)
22 pages, 21906 KB  
Article
On Fractional Discrete-Time Power Systems: Chaos, Complexity and Control
by Omar Kahouli, Imane Zouak, Sulaiman Almohaimeed, Adel Ouannas, Lilia El Amraoui and Mohamed Ayari
Mathematics 2026, 14(8), 1354; https://doi.org/10.3390/math14081354 - 17 Apr 2026
Viewed by 112
Abstract
In this paper, based on the Caputo-like delta fractional difference operator, we will present a fractional discrete model of a 4D Power System. We present an extension of the popular integer-order single-machine infinite-bus formulation to two fractional cases, one with commensurate (equal) fractional [...] Read more.
In this paper, based on the Caputo-like delta fractional difference operator, we will present a fractional discrete model of a 4D Power System. We present an extension of the popular integer-order single-machine infinite-bus formulation to two fractional cases, one with commensurate (equal) fractional orders and another incommensurate (not equal). This extension captures long-memory effects in dynamics and thus offers a consistent mathematical description of the nonlinear behavior of power systems. The orders of the fractional models are analyzed numerically. Using time series evolution, phase-space plots, bifurcation maps, Lyapunov spectra, and the 0–1 chaos test, spectral entropy and C0 complexity metrics, we identify chaotic regimes. Additionally, techniques for controlling chaos are explored to stabilize and regulate the dynamics of the system. Both the fractional formulations exhibit richer dynamical features than their integer counterparts, and for the incommensurate case, the sensitivity to the fractional variations is larger, generating complex nonlinear oscillations. The fractional discrete power system framework provides a new perspective for studying instability, the voltage collapse phenomenon, and chaotic oscillations in power engineering applications. Full article
(This article belongs to the Special Issue Mathematical Modeling and Control for Engineering Applications)
35 pages, 7317 KB  
Article
Mechanistic Insights into the Anti-Virulence Effects of Viroelixir, a Phenolic Blend from Green Tea and Pomegranate, on Streptococcus mutans
by Manal Dahdah, Vijaykumar D. Nimbarte, Mahmoud Rouabhia, Yasmine Ettouil, Hawraa Issa, Latifa Koussih, Mikhlid H. Almutairi and Abdelhabib Semlali
Antibiotics 2026, 15(4), 406; https://doi.org/10.3390/antibiotics15040406 - 17 Apr 2026
Cited by 1 | Viewed by 221
Abstract
Background: Dental caries remains one of the most prevalent oral diseases worldwide, largely driven by the virulence of Streptococcus mutans. Although plant phenolics from green tea and pomegranate are known for their antimicrobial properties, their molecular mechanisms of action against key [...] Read more.
Background: Dental caries remains one of the most prevalent oral diseases worldwide, largely driven by the virulence of Streptococcus mutans. Although plant phenolics from green tea and pomegranate are known for their antimicrobial properties, their molecular mechanisms of action against key S. mutans virulence targets remain insufficiently characterized. Aim: This study investigated the antibacterial and anti-virulence properties of Viroelixir, a phenolic-rich formulation derived from green tea (Camellia sinensis) and pomegranate (Punica granatum), against S. mutans, with particular emphasis on predictive molecular docking interactions with critical virulence-associated proteins. Methods: Viroelixir phytochemical composition was characterized by LC–MS using a C18 reverse-phase column and negative electrospray ionization mode. Antibacterial activity was evaluated using growth kinetics, agar plating, and crystal violet assays. Acidogenicity, hemolytic activity, and biofilm formation were assessed using pH modulation, hemolysis assays, SEM, and biofilm biomass quantification. Virulence gene expression was analyzed by RT-qPCR. In silico molecular docking was performed to explore potential interactions between major LC–MS-supported phenolic constituents and S. mutans virulence proteins, including glucosyltransferase B (GtfB), LuxS, and SpaP. Biocompatibility was evaluated in human gingival epithelial cells. Results: The LC-MS analysis revealed a complex mixture of phenolic compounds consistent with catechins and ellagitannins. Compound identification was considered tentative and based on mass spectral range and chromatographic behavior. Viroelixir significantly inhibited S. mutans growth, acid production, hemolytic activity, and biofilm formation in a concentration-dependent manner. Key virulence genes were markedly downregulated. Docking analyses suggested stable binding of selected phenolics—particularly punicalagin, catechin, and epigallocatechin—within the active sites of GtfB, LuxS, and SpaP. Importantly, Viroelixir showed no cytotoxic effects on gingival epithelial cells. Conclusions: Viroelixir exerts potent antibacterial and anti-virulence effects against S. mutans through a multi-target mechanism combining transcriptional suppression and predictive molecular inhibition of virulence proteins, supporting its potential as a safe, natural therapeutic for caries prevention. Full article
(This article belongs to the Section Antibiofilm Strategies)
Show Figures

Figure 1

10 pages, 1423 KB  
Article
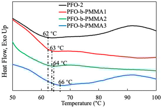
Synthesis, Electron Transport Behavior, and Enhanced Blue Light Stability of Polyfluorene-Poly(Methyl Methacrylate) Diblock Copolymers
by Ruoyu Jiang, Changchun Liu, Jin Cheng and Kenji Ogino
Micromachines 2026, 17(4), 487; https://doi.org/10.3390/mi17040487 - 16 Apr 2026
Viewed by 162
Abstract
Poly(9,9-di-n-octylfluorene) (PFO) suffers from interchain aggregation, which degrades its blue spectral stability and charge transport. To address this, a series of rod-coil diblock copolymers (PFO-b-PMMAs) with varying poly(methyl methacrylate) (PMMA) chain lengths were synthesized via Steglich coupling. The non-conjugated [...] Read more.
Poly(9,9-di-n-octylfluorene) (PFO) suffers from interchain aggregation, which degrades its blue spectral stability and charge transport. To address this, a series of rod-coil diblock copolymers (PFO-b-PMMAs) with varying poly(methyl methacrylate) (PMMA) chain lengths were synthesized via Steglich coupling. The non-conjugated PMMA blocks act as bulky steric spacers in the solid state, effectively suppressing detrimental PFO aggregation and enhancing pure blue emission stability. Furthermore, moderate PMMA blocks (PFO-b-PMMA1 and PFO-b-PMMA2) promote favorable β-phase formation and ordered crystalline packing. This microstructural optimization yields a maximum electron mobility of 1.98 × 10−6 cm2/(V·s) for PFO-b-PMMA2, markedly higher than the PFO-2 homopolymer (4.13 × 10−7 cm2/(V·s)). However, an overlong PMMA block (PFO-b-PMMA3) introduces excessive steric hindrance (Tg = 66 °C) that disrupts crystallization, acting as an insulating barrier that reduces mobility. Thus, precisely tuning the non-conjugated block length effectively maximizes both the blue spectral stability and electron transport capabilities of PFO-based materials. Full article
Show Figures

Figure 1

20 pages, 6862 KB  
Article
A Novel Water-Cut Sensing Method for a Multiphase-Flow Pipeline Using a Ridged-Horn Antenna
by Gaoyang Zhu, Junlin Feng, Yunjun Zhang, Xinhua Sun, Shucheng Liang, Bin Wang and Muzhi Gao
Sensors 2026, 26(8), 2466; https://doi.org/10.3390/s26082466 - 16 Apr 2026
Viewed by 348
Abstract
As oil and gas reservoirs progress into the mid-to-late stages of development, produced fluids increasingly exhibit high water-cut and complex flow regimes. Conventional water-cut measurement techniques based on capacitance, conductance, and resistance often face challenges in terms of accuracy, stability, and adaptability. In [...] Read more.
As oil and gas reservoirs progress into the mid-to-late stages of development, produced fluids increasingly exhibit high water-cut and complex flow regimes. Conventional water-cut measurement techniques based on capacitance, conductance, and resistance often face challenges in terms of accuracy, stability, and adaptability. In this study, a novel non-contact broadband microwave system, based on a ridged-horn antenna microwave transmission sensor (RHAMTS), is proposed to achieve highly sensitive full-range (0–100%) water-cut monitoring. The RHAMTS consists of two identical ridged-horn antennas, whose geometries are optimized through analytical design calculations and full-wave finite-element simulations. Numerical simulations are first performed to elucidate the sensing mechanism. Subsequently, static and dynamic experiments are conducted under two representative conditions: emulsified oil-water mixtures and stratified oil-water layers. The results indicate that the broadband spectral signatures of the RHAMTS can effectively characterize water-cut in both emulsified mixtures and stratified oil-water layers. For emulsified mixtures, both amplitude attenuation and phase shift vary systematically with water-cut, and the RHAMTS can still effectively characterize water-cut under saline conditions. For stratified oil-water flow, results from both static and dynamic experiments demonstrate that amplitude attenuation provides more robust features for practical water-cut discrimination. Compared with conventional methods, the proposed RHAMTS offers non-contact operation, rich spectral information, and compatibility with various flow regimes, providing a feasible and efficient approach for water-cut monitoring under complex field conditions. Full article
(This article belongs to the Special Issue Electromagnetic Sensors and Their Applications)
Show Figures

Figure 1

14 pages, 2765 KB  
Article
Spectral Phase Control in Dissociation Dynamics of HD+ by Strong Laser Fields
by Tong Cheng, Wen-Quan Jing, Jin-Xu Du, Zeng-Qiang Yang, Zhi-Hong Jiao, Guo-Li Wang and Song-Feng Zhao
Photonics 2026, 13(4), 383; https://doi.org/10.3390/photonics13040383 - 16 Apr 2026
Viewed by 161
Abstract
Achieving selective cleavage of specific chemical bonds using ultrafast laser pulses remains a central challenge in ultrafast strong-field molecular physics. Here, we theoretically investigate the coherent control of strong-field dissociation of the heteronuclear molecular ion HD+ initially prepared in vibrationally excited states [...] Read more.
Achieving selective cleavage of specific chemical bonds using ultrafast laser pulses remains a central challenge in ultrafast strong-field molecular physics. Here, we theoretically investigate the coherent control of strong-field dissociation of the heteronuclear molecular ion HD+ initially prepared in vibrationally excited states driven by an ultrashort pulse with a quadratic spectral phase. Our results reveal a pronounced sensitivity of both the total dissociation probability and the branching ratio (H+ + D vs. H + D+) to the chirp rate of the laser pulse. To uncover the underlying physical mechanism, we analyze the population dynamics in the coupled 1sσ and 2pσ electronic states and identify pronounced Rabi oscillations arising from the coherent interplay between multiphoton excitation and field-induced stimulated emission. By tuning the laser chirp rate, these oscillations can be suppressed via quantum interference, thereby reshaping the dissociation dynamics and significantly enhancing the dissociation probability of the H + D+ channel. These findings demonstrate that spectral-phase engineering provides a robust and versatile strategy for selective control of branching ratios in strong-field molecular dissociation. Full article
(This article belongs to the Special Issue Laser-Driven Ultrafast Dynamics and Imaging in Atoms and Molecules)
Show Figures

Figure 1

18 pages, 24719 KB  
Article
Auto-Focusing Imaging and Performance Analysis of Ka-Band Carrier-Frequency-Agility SAR
by Yushan Zhou, Yijiang Nan, Da Liang, Zhiyuan Xue, Yuesheng Chen, Haiwei Zhou and Yawei Zhao
Remote Sens. 2026, 18(8), 1197; https://doi.org/10.3390/rs18081197 - 16 Apr 2026
Viewed by 221
Abstract
Ka-band carrier-frequency-agility (CFA) synthetic aperture radar (SAR) employs pulse-to-pulse random wide-range frequency hopping to enhance anti-interference capability. However, the random hopping disrupts the azimuth phase continuity, and the millimeter-wave wavelength of the Ka band makes the imaging quality extremely sensitive to motion errors. [...] Read more.
Ka-band carrier-frequency-agility (CFA) synthetic aperture radar (SAR) employs pulse-to-pulse random wide-range frequency hopping to enhance anti-interference capability. However, the random hopping disrupts the azimuth phase continuity, and the millimeter-wave wavelength of the Ka band makes the imaging quality extremely sensitive to motion errors. To address these challenges, this paper proposes an auto-focusing imaging framework and performs a performance analysis for Ka-band CFA SAR. First, a back-projection (BP)-based imaging model is derived to restore the coherent phase history from the hopped echoes. Second, to compensate for the residual phase errors inevitable in high-resolution millimeter-wave imaging, an auto-focusing framework is developed. This framework incorporates a dynamic sub-aperture strategy and an adaptive spectral notching mechanism to ensure precise phase error estimation in complex scattering environments. Furthermore, the imaging performance under different frequency-selection modes is analyzed to provide a guideline for the parameter selection of the Ka-band CFA SAR. Experiments with a vehicle-mounted Ka-band SAR system demonstrate that the proposed method achieves well-focused images with 5 cm resolution. Full article
(This article belongs to the Section Remote Sensing Image Processing)
Show Figures

Figure 1

27 pages, 10239 KB  
Article
Unveiling Ancient Nile Channels in Qena, Egypt: A Spaceborne Imagery Approach Using Google Earth Engine
by Luke Bumgarner, Eman Ghoneim, Mohamed Fathy, Philip Cross, Raghda El-Behaedi, Suzanne Onstine, Timothy J. Ralph, Yvonne Marsan, Michael Benedetti, Peng Gao, Yann Tristant and Amr S. Fahil
Remote Sens. 2026, 18(8), 1184; https://doi.org/10.3390/rs18081184 - 15 Apr 2026
Viewed by 507
Abstract
The Nile River has played a central role in Egypt’s historical and cultural development, shaping ancient civilizations and settlement patterns. However, its course has changed dynamically over millennia, leaving behind buried channels and geomorphological features that are critical for reconstructing past hydrological landscapes. [...] Read more.
The Nile River has played a central role in Egypt’s historical and cultural development, shaping ancient civilizations and settlement patterns. However, its course has changed dynamically over millennia, leaving behind buried channels and geomorphological features that are critical for reconstructing past hydrological landscapes. This study utilized Sentinel-2 satellite imagery within Google Earth Engine to develop a remote sensing method for analyzing spectral and temporal variations in vegetation as indicators of paleofluvial landforms and past river activity. The approach, applied to create ten seasonal representations, enhanced the detection of moisture-driven vegetation patterns. Here, the Moisture-Gradient Enhanced Vegetation Index (MGEVI) was developed to identify stable vegetated landforms and differentiate persistent moisture conditions from seasonal variations. Through this method, former river channels, river islands, and channel belts were identified, revealing patterns of past river activities. The results suggest a late anabranching phase of the Nile, characterized by the gradual stabilization of fluvial features in response to evolving hydrological conditions. A comparison between fluvial features identified through remote sensing and those mapped from TanDEM-X radar elevation data and historical maps revealed strong agreement, affirming the reliability of the remote sensing approach developed by this study. Evidence from sediment core analyses, stratigraphic correlation, and high-precision RTK field surveys further corroborated the existence of ancient, buried channels and islands within the study area. The study highlights the utility of multi-temporal satellite imagery analysis for reconstructing hydrological evolution and assessing past settlement suitability. Specifically, an inferred paleochannel near the Dendera Temple Complex suggests a possible hydrological connection between a former course of the Nile River and this archaeological site. These findings underscore the potential of remote sensing for large-scale geoarchaeological studies, offering scalable methodologies for identifying ancient river networks and supporting cultural heritage conservation in arid regions. Full article
(This article belongs to the Section Remote Sensing in Geology, Geomorphology and Hydrology)
17 pages, 2377 KB  
Article
Temperature-Dependent Residual Stress and Optical Properties of Asymmetric W-Doped VO2-Based Trilayer Thin Films
by Chuen-Lin Tien, Chun-Yu Chiang, Lung-Shun Shih, Ching-Chiun Wang and Shih-Chin Lin
Materials 2026, 19(8), 1585; https://doi.org/10.3390/ma19081585 - 15 Apr 2026
Viewed by 278
Abstract
This study aims to reduce the phase transition temperature (PTT) of W-doped vanadium dioxide (VO2) multilayer thin films. We designed and fabricated two asymmetric multilayer thin film structures; namely, TiO2/VO2-5%W/ITO and ITO/VO2-5%W/TiO2. The [...] Read more.
This study aims to reduce the phase transition temperature (PTT) of W-doped vanadium dioxide (VO2) multilayer thin films. We designed and fabricated two asymmetric multilayer thin film structures; namely, TiO2/VO2-5%W/ITO and ITO/VO2-5%W/TiO2. The W-doped VO2-based Trilayer thin films were deposited using an electron beam evaporation combined with the ion-assisted deposition (IAD) technique. An experimental study was conducted on the temperature-dependent residual stress and optical properties of the two asymmetric VO2-based three-layer structures. The VO2-based thin films were characterized using UV–Vis–NIR spectrophotometry, Fourier transform infrared spectroscopy (FTIR), Raman spectroscopy, and an improved Twyman–Green interferometer combined with fast Fourier transform (FFT) analysis for residual stress measurement. The trilayer structures incorporated a ~60 nm thick W-doped VO2 middle layer, which plays a critical role in modulating thermochromic behavior and residual stress evolution. The results show that both trilayer thin films demonstrated excellent optical performance in transmission spectra. Raman spectral analysis revealed a blue shift in the characteristic W-doped VO2 peaks, accompanied by a decrease in peak intensity as the temperature increased. Heating experiments on asymmetric W-doped VO2 trilayer thin films revealed that the critical transition temperature of the ITO/VO2-5%W/TiO2/B270 trilayer film structure was significantly reduced to 45 °C. This demonstrates the effectiveness of our proposed multilayer film design in improving the PTT of W-doped VO2 thin films. Analysis of the changes in residual stress of the trilayer thin films during heating experiments revealed that the residual stress shifted from compressive to tensile in the temperature range of 40 °C to 50 °C. The thermal expansion coefficient and biaxial modulus of the TiO2/VO2-5%W/ITO trilayer film structure were 5.37 × 10−6 °C−1 and 295.7 GPa, respectively. In addition, the thermal expansion coefficient and biaxial modulus of the ITO/VO2-5%W/TiO2 trilayer film structure were 6.65 × 10−6 °C−1 and 745.0 GPa. Full article
(This article belongs to the Special Issue Advanced Thin-Film Technologies for Semiconductor Applications)
Show Figures

Figure 1

31 pages, 4644 KB  
Article
Spectral Phenology, Climate, and Topography as Determinants of Vigor, Yield, and Fruit Quality in Avocado (cv. Semil-34)
by Alfonso Morillo-De los Santos, Rosalba Rodríguez-Peña, Maria Cristina Suarez Marte, Maria Serrano, Daniel Valero, Juan Miguel Valverde and Domingo Martínez-Romero
Horticulturae 2026, 12(4), 481; https://doi.org/10.3390/horticulturae12040481 - 15 Apr 2026
Viewed by 805
Abstract
Monitoring avocado (Persea americana Mill., cv. Semil-34) in tropical mountain landscapes of Cambita, San Cristóbal, Dominican Republic is inherently complex due to the pronounced topographical and climatic heterogeneity that modulates the crop’s ecophysiological responses, specifically vegetative vigor, carbon allocation, and the synchronization [...] Read more.
Monitoring avocado (Persea americana Mill., cv. Semil-34) in tropical mountain landscapes of Cambita, San Cristóbal, Dominican Republic is inherently complex due to the pronounced topographical and climatic heterogeneity that modulates the crop’s ecophysiological responses, specifically vegetative vigor, carbon allocation, and the synchronization of reproductive flushes. This study integrates 5-year (2020–2025) Sentinel-2 time series, ERA5-Land climatic variables (air temperature, total precipitation, and radiation), and geomorphometric covariates to explain variability in yield and fruit quality. Multispectral indices, including the Normalized Difference Vegetation Index (NDVI), Enhanced Vegetation Index (EVI), Normalized Difference Red Edge (NDRE), and Normalized Difference Moisture Index (NDMI), were analyzed using Partial Least Squares Regression (PLSR) to characterize phenological dynamics and rank dominant predictors. The results revealed coherent spectral phenological trajectories; however, a significant inverse relationship was detected between canopy vigor and yield during reproductive phases. High vegetation index values were significantly and negatively associated with lower production (r = −0.58, p < 0.0021), reflecting a potential source–sink imbalance. Topography functioned as a structural filter, regulating root drainage and productive stability across the landscape. While yield variability was partially explainable (R2 = 0.38), internal fruit quality, measured as dry matter content, exhibited comparatively high environmental stability. A central contribution of this research lies in identifying the “vigor paradox” in cv. Semil-34 and the suggestion that topography may exert a stronger influence than direct spectral signals under tropical hillside conditions. These findings provide an exploratory framework for anticipating yield and fruit quality through satellite remote sensing or UAVs, supporting site-specific management decisions in mountain agricultural systems. Full article
Show Figures

Graphical abstract

32 pages, 2020 KB  
Article
Hippotherapy for Children with Autism Spectrum Disorder: Executive Function and Electrophysiological Outcomes
by Zahra Mansourjozan, Sepehr Foroughi, Amin Hekmatmanesh, Mohammad Mahdi Amini and Hamidreza Taheri Torbati
Brain Sci. 2026, 16(4), 413; https://doi.org/10.3390/brainsci16040413 - 14 Apr 2026
Viewed by 183
Abstract
Background: Hippotherapy, a sensorimotor-rich intervention proposed for children with Autism Spectrum Disorder (ASD), is suggested to influence executive function (EF). However, the underlying electrophysiological mechanisms, particularly changes observed in resting-state Electroencephalography (EEG), remain underexplored. Methods: A total of forty-eight children with ASD, aged [...] Read more.
Background: Hippotherapy, a sensorimotor-rich intervention proposed for children with Autism Spectrum Disorder (ASD), is suggested to influence executive function (EF). However, the underlying electrophysiological mechanisms, particularly changes observed in resting-state Electroencephalography (EEG), remain underexplored. Methods: A total of forty-eight children with ASD, aged 9–12 years, participated in this quasi-experimental, non-randomized pre-test–post-test study. Participants were assigned to either a standardized 12-session hippotherapy program (n = 24) or a waitlist Control group (n = 24). EF was evaluated pre- and post-intervention using validated measures: the Wisconsin Card Sorting Test, Stroop Color–Word Test, Corsi Block-Tapping Task, and Tower of London. Resting-state EEG data (19 channels, 250 Hz) were recorded before and after the intervention and analyzed for spectral power, pairwise Pearson correlation, phase-based functional connectivity using the Phase Lag Index (PLI), and directed effective connectivity using Phase Transfer Entropy (PTE). EEG effects were tested with linear mixed models in MATLAB (fitlme), with the measured values in each ROI as the dependent variable, group and time as fixed effects, and SubjectID included as a random intercept; EF outcomes were analyzed with ANCOVA/MANCOVA, adjusting post-test scores for baseline. The assumptions of homogeneity of slopes, Levene’s test, and the Shapiro–Wilk test were examined, and the Holm–Bonferroni correction together with partial η2 effect sizes were reported. Results: Following baseline adjustment, the hippotherapy group showed substantial and statistically significant improvements across all EF measures compared with controls partial η2 range = 0.473–0.855; all adjusted p < 0.001; e.g., Stroop Incongruent Reaction Time (F(1,45) = 265.80, p < 0.001, ηp2 = 0.855). EEG analyses revealed localized Group × Time interaction effects involving frontal delta power as well as selected alpha-, theta-, and beta-band connectivity measures within frontally anchored networks. In addition to these focal interaction effects, the hippotherapy group exhibited a narrower distribution of pre–post EEG changes across spectral power and connectivity metrics compared with controls, indicating greater temporal consistency in resting-state electrophysiological dynamics across sessions. Because group allocation was non-random (based on scheduling feasibility and parental preference), results should be interpreted as associations rather than causal effects. While the hippotherapy group exhibited significant EF improvements and relative stabilization in EEG spectral and connectivity metrics, particularly in frontal delta/theta/alpha/beta bands, a direct mapping between individual EEG changes and behavioral gains was not observed. Conclusions: A standardized 12-session hippotherapy program was associated with substantial improvements in EF and with relative stabilization of resting-state electrophysiological dynamics in children with ASD. However, the direct mechanistic link between these EEG and behavioral changes warrants further investigation. Larger randomized trials employing active control conditions, task-evoked electrophysiological measures, and extended longitudinal follow-up are needed to confirm efficacy, clarify mechanisms, and establish the durability of effects. Full article
Back to TopTop