Temperature-Dependent Residual Stress and Optical Properties of Asymmetric W-Doped VO2-Based Trilayer Thin Films
Abstract
1. Introduction
2. Materials and Methods
2.1. Thin Film Design and Multilayer Preparation
2.2. Thin Film Measurements
3. Experimental Results
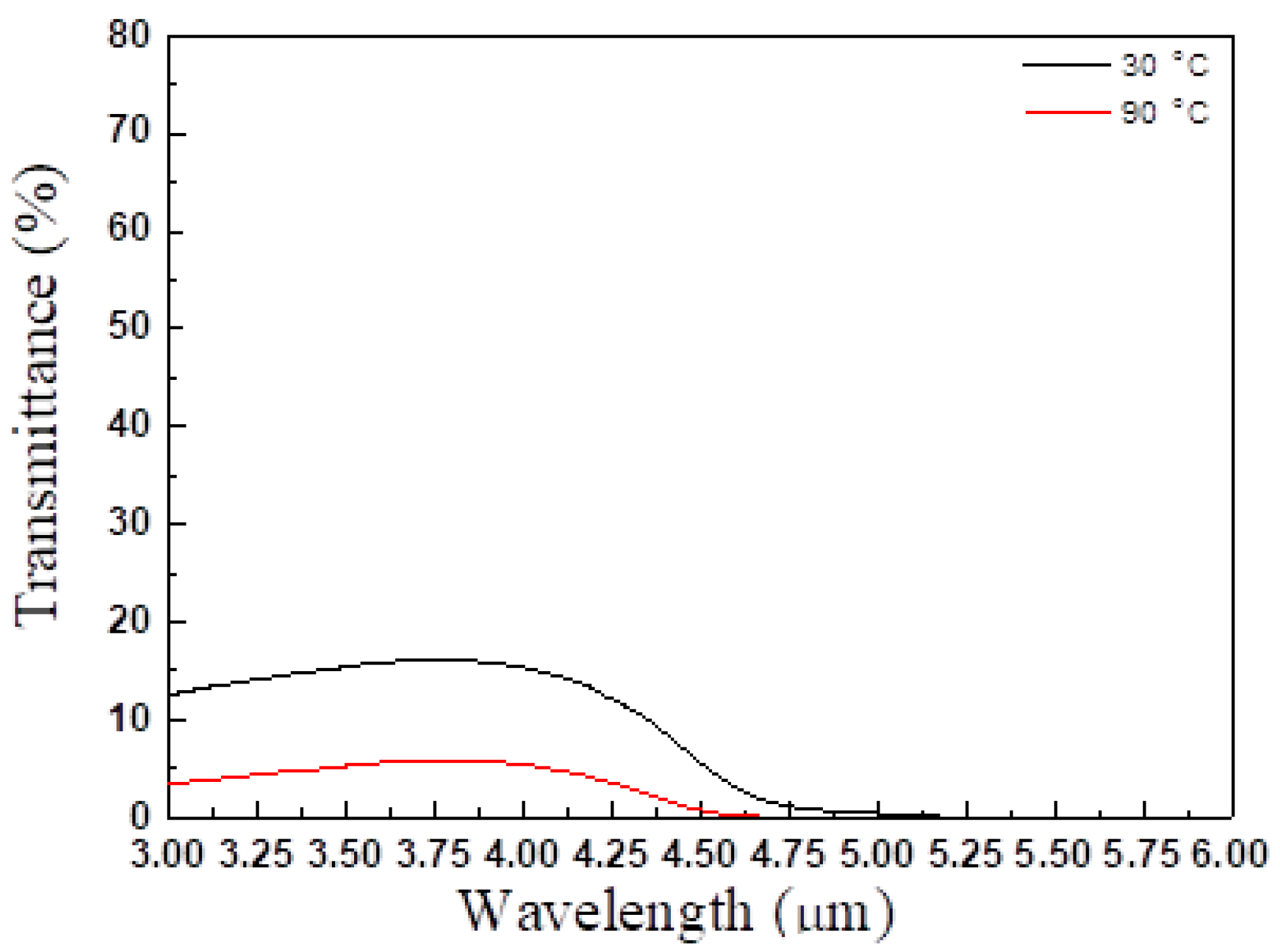
3.1. Transmission Spectra of Different Thin Film Structures
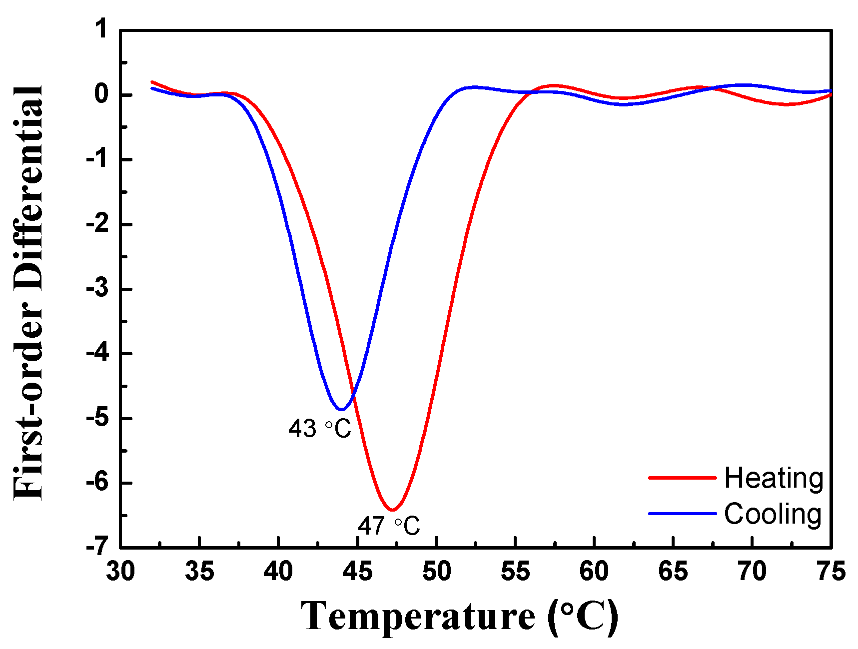
3.2. Transmission Spectra of Asymmetric Trilayer Thin Films During Heating and Cooling Processing
3.3. Raman Spectroscopy Analysis
3.4. Residual Stress at Different Heating Temperatures
4. Conclusions
Author Contributions
Funding
Institutional Review Board Statement
Informed Consent Statement
Data Availability Statement
Conflicts of Interest
References
- Mustafa, M.N.; Abdah, M.A.A.M.; Numan, A.; Moreno-Rangel, A.; Radwan, A.; Khalid, M. Smart window technology and its potential for net-zero buildings: A review. Renew. Sustain. Energy Rev. 2023, 181, 113355. [Google Scholar] [CrossRef]
- Kamalisarvestani, M.; Saidur, R.; Mekhilef, S.; Javadi, F.S. Performance, materials and coating technologies of thermochromic thin films on smart windows. Renew. Sustain. Energy Rev. 2013, 26, 353–364. [Google Scholar] [CrossRef]
- Eyert, V. The metal-insulator transitions of VO2: A band theoretical approach. Ann. Phys. 2002, 514, 650–704. [Google Scholar] [CrossRef]
- Zhang, H.; Wu, Z.; Wang, C.; Sun, Y. VO2 film with small hysteresis width and low transition temperature. Vacuum 2019, 170, 108971. [Google Scholar] [CrossRef]
- Hiroi, Z. Structural instability of the rutile compounds and its relevance to the metal–insulator transition of VO2. Prog. Solid State Chem. 2015, 43, 47–69. [Google Scholar] [CrossRef]
- Cui, Y.; Ke, Y.; Liu, C.; Chen, Z.; Wang, N.; Zhang, L.; Zhou, Y.; Wang, S.; Gao, Y.; Long, Y. Thermochromic VO2 for energy-efficient smart windows. Joule 2018, 2, 1707–1746. [Google Scholar] [CrossRef]
- Case, F.C. Reactive evaporation of anomalous blue VO2. Appl. Opt. 1987, 26, 1550–1553. [Google Scholar] [CrossRef] [PubMed]
- Zhang, J.; Wang, T.; Xu, W.; Yang, X.; Zuo, X.; Cheng, W.; Zhou, C. Thermochromic VO2-SiO2 composite coating from ammonium citrato-oxovanadate (IV). Nanotechnology 2021, 32, 225402. [Google Scholar] [CrossRef]
- Shen, N.; Chen, S.; Huang, R.; Huang, J.; Li, J.; Shi, R.; Niu, S.; Amini, A.; Cheng, C. Vanadium dioxide for thermochromic smart windows in ambient conditions. Mater. Today Energy 2021, 21, 100827. [Google Scholar] [CrossRef]
- Bleu, Y.; Bourquard, F.; Poulet, A.; Misdanitis, K.; Jamon, D.; Loir, A.; Garrelie, F.; Donnet, C. Thermochromic properties of BN/VO2/BN trilayer films with low phase transition temperature and high hysteresis width. Ceram. Int. 2023, 49, 13542–13547. [Google Scholar] [CrossRef]
- Chen, B.; Yang, C.; Feng, B.; Ikuhara, Y. Suppression of Strain Relaxation in VO2/TiO2 Multilayered Films. ACS Appl. Electron. Mater. 2023, 5, 2433–2438. [Google Scholar] [CrossRef]
- Qin, M.; Wang, J.; Tian, S.; Zhao, X.; Liu, B. Customized designs, preparations, and characterizations of high-performance multilayer VO2-based thermochromic smart coatings. J. Appl. Phys. 2024, 135, 075301. [Google Scholar] [CrossRef]
- Xue, Y.; Miao, L.; Hasegawa, T.; Okawa, A.; Yoshino, S.; Kato, H.; Kakihana, M.; Yin, S. Uncovering the distinctive phase transition characteristics and thermochromic performance of VO2 with different N-doping sites. Appl. Surf. Sci. 2024, 657, 159779. [Google Scholar] [CrossRef]
- Sun, H.; Chen, D.; Zhou, L.; Mi, W.; Wang, D.; He, L.; Zhao, J. The synergistic effect of Ta-doping and antireflective TaOx layer on the thermochromic VO2 thin films for smart windows. Sol. Energy Mater. Sol. Cells 2024, 275, 113010. [Google Scholar] [CrossRef]
- Zhang, J.; Sun, X.; Wang, T.; Luo, G.; Liu, K.; Li, Q.; Xu, W.; Luo, S. Enhanced visible transmittance with low phase transition temperature of VO2 enabled by W-Mg co-doping. Surf. Interfaces 2024, 51, 104554. [Google Scholar] [CrossRef]
- Tien, C.L.; Chiang, C.Y.; Wang, C.C.; Lin, S.C. Optical, Electrical, Structural, and Thermo-Mechanical Properties of Undoped and Tungsten-Doped Vanadium Dioxide Thin Films. Materials 2024, 17, 2382. [Google Scholar] [CrossRef]
- Valakh, M.Y.; Yukhymchuk, V.O.; Dzhagan, V.M.; Isaieva, O.F.; Yefanov, V.S.; Romanyuk, B.M. Variation of the metal-insulator phase transition temperature in VO2: An overview of some possible implementation methods. Semicond. Phys. Quantum Electron. Optoelectron. 2024, 27, 136. [Google Scholar] [CrossRef]
- Cueff, S.; Li, D.; Zhou, Y.; Wong, F.J.; Kurvits, J.A.; Ramanathan, S.; Zia, R. Dynamic control of light emission faster than the lifetime limit using VO2 phase-change. Nat. Commun. 2015, 6, 8636. [Google Scholar] [CrossRef]
- Manning, T.D.; Parkin, I.P.; Clark, R.J.H.; Sheel, D.; Pemble, M.E.; Vernadou, D. Intelligent window coatings: Atmospheric pressure chemical vapour deposition of vanadium oxides. J. Mater. Chem. 2002, 12, 2936–2939. [Google Scholar] [CrossRef]
- Lee, S.; Hippalgaonkar, K.; Yang, F.; Hong, J.; Ko, C.; Suh, J. Anomalously low electronic thermal conductivity in metallic vanadium dioxide. Science 2017, 355, 371–374. [Google Scholar] [CrossRef]
- Wu, X.; Wu, Z.; Ji, C.; Zhang, H.; Su, Y.; Huang, Z.; Gou, J.; Wei, X.; Wang, J.; Jiang, Y. THz transmittance and electrical properties tuning across IMT in vanadium dioxide films by Al doping. ACS Appl. Mater. Interfaces 2016, 18, 11842–11850. [Google Scholar] [CrossRef]
- Jung, Y.; Jeong, J.; Qu, Z.; Cui, B.; Khanda, A.; Parkin, S.S.P.; Poon, J.K.S. Observation of optically addressable non-volatile memory in VO2 at room temperature. Adv. Electron. Mater. 2021, 7, 2001142. [Google Scholar] [CrossRef]
- Gueorguiev, G.K.; Goyenol, C.; Schmidt, S.; Hultman, L. CFx: A first-principles study of structural patterns arising during synthetic growth. Chem. Phys. Lett. 2011, 516, 62–67. [Google Scholar] [CrossRef]
- Pongratz, S.; Zöller, A. Plasma ion-assisted deposition: A promising technique for optical coatings. J. Vac. Sci. Technol. A Vac. Surf. Film. 1992, 10, 1897–1904. [Google Scholar] [CrossRef]
- Tien, C.L.; Chiang, C.Y.; Lin, S.C. Optimization of Electron-Beam Evaporation Process Parameters for ZrN Thin Films by Plasma Treatment and Taguchi Method. Plasma 2023, 6, 478–491. [Google Scholar] [CrossRef]
- Tien, C.L.; Chiang, C.Y.; Tien, J.K.; Wang, C.C.; Lin, S.C. Surface Characteristics and Performance Optimization of W-Doped Vanadium Dioxide Thin Films. Surfaces 2024, 7, 1109–1124. [Google Scholar] [CrossRef]
- Hsu, S.C.; Hong, J.Y.; Chen, C.L.; Chen, S.C.; Zhen, J.H.; Hsieh, W.P.; Chuang, T.H. The structures and thermoelectric properties of Zn-Sb alloy films fabricated by electron beam evaporation through an ion beam assisted deposition. Appl. Surf. Sci. 2021, 540, 148264. [Google Scholar] [CrossRef]
- Yushkov, Y.G.; Oks, E.M.; Tyunkov, A.V.; Zolotukhin, D.B. Electron-beam synthesis of dielectric coatings using forevacuum plasma electron sources. Coatings 2022, 12, 82. [Google Scholar] [CrossRef]
- Fancey, K.S.; Matthews, A. Evaporative ion plating: Process mechanisms and optimization. IEEE Trans. Plasma Sci. 1990, 18, 869–877. [Google Scholar] [CrossRef]
- Nisha, M.; Anusha, S.; Antony, A.; Manoj, R.; Jayaraj, M.K. Effect of substrate temperature on the growth of ITO thin films. Appl. Surf. Sci. 2005, 252, 1430–1435. [Google Scholar] [CrossRef]
- Wang, Y.; Hasibur Rahman, K.; Wu, C.; Chen, K. Review on the Pathways of the Improved Structural Characteristics and Photocatalytic Performance of Titanium Dioxide (TiO2) Thin Films Fabricated by the Magnetron-Sputtering Technique. Catalysts 2020, 10, 598. [Google Scholar] [CrossRef]
- Takeda, M.; Ina, H.; Kobayashi, S. Fourier-transform method of fringe-pattern analysis for computer-based topography and interferometry. Appl. Opt. 1982, 72, 156–160. [Google Scholar] [CrossRef]
- Takeda, M.; Mutoh, K. Fourier transform profilometry for the automatic measurement of 3-D object shapes. Appl. Opt. 1983, 22, 3977–3982. [Google Scholar] [CrossRef]
- Tien, C.L.; Zeng, H.D. Measuring residual stress of anisotropic thin film by fast Fourier transform. Opt. Express 2010, 18, 16594–16600. [Google Scholar] [CrossRef] [PubMed]
- Tien, C.L.; Lin, T.W.; Jyu, S.S.; Tseng, H.D.; Lin, C.S.; Liu, M.C. The measurement of anisotropic stress in obliquely-deposited thin films by fast Fourier transform and Gaussian filter. Phys. Procedia 2011, 19, 21–26. [Google Scholar] [CrossRef]
- Tien, C.L.; Chiang, C.Y.; Wang, C.C.; Lin, S.C. Temperature-Dependent Residual Stresses and Thermal Expansion Coefficient of VO2 Thin Films. Inventions 2024, 9, 61. [Google Scholar] [CrossRef]
- Tien, C.L.; Lin, T.W. Measurement of stress anisotropy in magnetic thin films by fast Fourier transform method. IEEE Trans. Magn. 2011, 47, 3905–3908. [Google Scholar] [CrossRef]
- Tien, C.L.; Lee, C.C.; Tsai, Y.L.; Sun, W.S. Determination of the mechanical properties of thin films by digital phase shifting interferometry. Opt. Commun. 2001, 198, 325–331. [Google Scholar] [CrossRef]
- Brenner, A.; Senderoff, S. Calculation of stress in electrodeposits from the curvature of a plated strip. J. Res. Natl. Bur. Stand. 1949, 42, 105–123. [Google Scholar] [CrossRef]
- Stoney, G. The Tension of Metallic Films Deposited by Electrolysis. Proc. R. Soc. A Math. Phys. Eng. Sci. 1909, 82, 172–175. [Google Scholar] [CrossRef]
- Denton, R.E.; Campbell, R.D.; Tomlin, S.G. The determination of the optical constants of thin films from measurements of reflectance and transmittance at normal incidence. J. Phys. D Appl. Phys. 1972, 5, 852. [Google Scholar] [CrossRef]
- Zhang, H.; Wu, Z.; Yan, D.; Xu, X.; Jiang, Y. Tunable hysteresis in metal-insulator transition of nanostructured vanadium oxide thin films deposited by reactive direct current magnetron sputtering. Thin Solid Film. 2014, 552, 218–224. [Google Scholar] [CrossRef]
- Heckman, E.M.; Gonzalez, L.P.; Guha, S.; Barnes, J.O.; Carpenter, A. Electrical and optical switching properties of ion implanted VO2 thin films. Thin Solid Film. 2009, 518, 265–268. [Google Scholar] [CrossRef]













| Glass Substrate | B270 | H-K9L |
|---|---|---|
| CTE (°C−1) | 8.2 × 10−6 | 7.6 × 10−6 |
| Young’s modulus (GPa) | 71.5 | 79 |
| Poisson ratio | 0.219 | 0.214 |
| Thickness (mm) | 1.5 | 1.5 |
| Compared Items | TiO2/VO2-5%W /ITO/B270 | ITO/VO2-5%W /TiO2/B270 |
|---|---|---|
| Visible-light band transmittance | 66.1% | 69.8% |
| Mid-Infrared band transmittance | 13.2% | 16.8% |
| Critical phase transition temperature | 46.5 °C | 45 °C |
| Residual stress for B270 glass (from 25 °C to 120 °C) | −88 to 323 MPa | −98 to 364 MPa |
| Residual stress for H-K9LB270 glass (from 25 °C to 120 °C) | −101 to 251 MPa | −106 to 327 MPa |
| CTE | 5.37 × 10−6 °C−1 | 6.65 × 10−6 °C−1 |
| Biaxial modulus | 295.7 GPa | 745.0 GPa |
| Raman peak wavenumber | 613 cm−1 | 613 cm−1 |
Disclaimer/Publisher’s Note: The statements, opinions and data contained in all publications are solely those of the individual author(s) and contributor(s) and not of MDPI and/or the editor(s). MDPI and/or the editor(s) disclaim responsibility for any injury to people or property resulting from any ideas, methods, instructions or products referred to in the content. |
© 2026 by the authors. Licensee MDPI, Basel, Switzerland. This article is an open access article distributed under the terms and conditions of the Creative Commons Attribution (CC BY) license.
Share and Cite
Tien, C.-L.; Chiang, C.-Y.; Shih, L.-S.; Wang, C.-C.; Lin, S.-C. Temperature-Dependent Residual Stress and Optical Properties of Asymmetric W-Doped VO2-Based Trilayer Thin Films. Materials 2026, 19, 1585. https://doi.org/10.3390/ma19081585
Tien C-L, Chiang C-Y, Shih L-S, Wang C-C, Lin S-C. Temperature-Dependent Residual Stress and Optical Properties of Asymmetric W-Doped VO2-Based Trilayer Thin Films. Materials. 2026; 19(8):1585. https://doi.org/10.3390/ma19081585
Chicago/Turabian StyleTien, Chuen-Lin, Chun-Yu Chiang, Lung-Shun Shih, Ching-Chiun Wang, and Shih-Chin Lin. 2026. "Temperature-Dependent Residual Stress and Optical Properties of Asymmetric W-Doped VO2-Based Trilayer Thin Films" Materials 19, no. 8: 1585. https://doi.org/10.3390/ma19081585
APA StyleTien, C.-L., Chiang, C.-Y., Shih, L.-S., Wang, C.-C., & Lin, S.-C. (2026). Temperature-Dependent Residual Stress and Optical Properties of Asymmetric W-Doped VO2-Based Trilayer Thin Films. Materials, 19(8), 1585. https://doi.org/10.3390/ma19081585

