Sign in to use this feature.

Years

Between: -

Subjects

remove_circle_outline
remove_circle_outline
remove_circle_outline
remove_circle_outline
remove_circle_outline
remove_circle_outline
remove_circle_outline
remove_circle_outline
remove_circle_outline

Journals

remove_circle_outline
remove_circle_outline
remove_circle_outline
remove_circle_outline
remove_circle_outline
remove_circle_outline
remove_circle_outline
remove_circle_outline
remove_circle_outline
remove_circle_outline
remove_circle_outline
remove_circle_outline
remove_circle_outline
remove_circle_outline
remove_circle_outline
remove_circle_outline
remove_circle_outline
remove_circle_outline
remove_circle_outline
remove_circle_outline
remove_circle_outline

Article Types

Countries / Regions

remove_circle_outline
remove_circle_outline
remove_circle_outline
remove_circle_outline
remove_circle_outline
remove_circle_outline
remove_circle_outline
remove_circle_outline
remove_circle_outline
remove_circle_outline

Search Results (7,268)

Search Parameters:
Keywords = spatiotemporal analysis

Order results
Result details
Results per page
Select all
Export citation of selected articles as:
12 pages, 3790 KB  
Article
Bioinformatics and Preliminary Functional Analysis of OsPP2C61
by Hao Wang, Enjie Xu, Yujiao Shi, Nuoyan Li, Jinyilin Leng, Yuan Luo, Jianyang Sun, Yaofang Zhang and Zhongyou Pei
Genes 2026, 17(4), 374; https://doi.org/10.3390/genes17040374 (registering DOI) - 25 Mar 2026
Abstract
Background: Protein phosphatase 2Cs (PP2Cs) constitutes the largest phosphatase family in plants, playing a pivotal role in signal transduction. Within this family, the PP2C.D subfamily exerts significant influence on cell elongation and stress adaptation by mediating the ‘SAUR-PP2C.D-H+-ATPase’ regulatory module in the auxin [...] Read more.
Background: Protein phosphatase 2Cs (PP2Cs) constitutes the largest phosphatase family in plants, playing a pivotal role in signal transduction. Within this family, the PP2C.D subfamily exerts significant influence on cell elongation and stress adaptation by mediating the ‘SAUR-PP2C.D-H+-ATPase’ regulatory module in the auxin signaling pathway. In rice, OsPP2C61 is a PP2C member whose molecular features and potential regulatory context remain unclear. Methods: Our study conducted a preliminary characterization of OsPP2C61 through integrated bioinformatics analysis, spatiotemporal expression profiling, and subcellular localization experiments in tobacco leaf cell. Results: OsPP2C61 encodes a 377-amino-acid protein predicted to be hydrophilic, basic, and structurally unstable. Secondary-structure prediction identified three major elements with random coils as the predominant component, whereas 3D modeling indicated alternating α-helices and β-sheets consistent with a canonical PP2C fold. Phylogenetic inference placed OsPP2C61 within the PP2C.D clade and revealed conserved motifs shared with OsPP2C25, OsPP2C28, and OsPP2C39. Promoter analysis showed enrichment of abscisic acid (ABA)- and methyl jasmonate (MeJA)-responsive elements along with multiple stress-related cis-regulatory motifs. Spatiotemporal expression analysis showed that OsPP2C61 is highly expressed in roots. Subcellular localization assays further demonstrated that the OsPP2C61-GFP fusion protein localizes to the nucleus and the plasma membrane when transiently expressed in epidermal cells of Nicotiana benthamiana. Conclusions: This work delivers the first comprehensive characterization of OsPP2C61, establishing a foundation for mechanistic studies and positioning OsPP2C61 as a candidate gene for rice improvement. Full article
(This article belongs to the Collection Feature Papers in Bioinformatics)
Show Figures

Figure 1

22 pages, 4621 KB  
Article
Comparative Assessment of Supervised Machine Learning Models for Predicting Water Uptake in Sorption-Based Thermal Energy Storage
by Milad Tajik Jamalabad, Elham Abohamzeh, Daud Mustafa Minhas, Seongbhin Kim, Dohyun Kim, Aejung Yoon and Georg Frey
Energies 2026, 19(7), 1619; https://doi.org/10.3390/en19071619 - 25 Mar 2026
Abstract
In this study, supervised machine learning (ML) regression models are employed to predict water uptake during the sorption process in a sorption reactor for thermal energy storage applications. Two main methods are used to study sorption storage systems: experimental studies and numerical simulations. [...] Read more.
In this study, supervised machine learning (ML) regression models are employed to predict water uptake during the sorption process in a sorption reactor for thermal energy storage applications. Two main methods are used to study sorption storage systems: experimental studies and numerical simulations. Experimental studies involve physical testing and measurements but are often costly and time-consuming. Numerical simulations are more flexible and cost-effective, though they can require significant computational resources for large or complex systems. To address these challenges, researchers are increasingly employing various machine learning techniques, which offer strong potential for data analysis and predictive modeling. In this study, CFD-based sorption simulations are integrated with machine learning models to predict the spatiotemporal evolution of water uptake. Several ML techniques including support vector regression (SVR), Random Forest, XGBoost, CatBoost (gradient boosting decision trees), and multilayer perceptron neural networks (MLPs) are evaluated and compared. A fixed-bed reactor equipped with fins and tubes is considered within a closed adsorption thermal storage system. Numerical simulations are conducted for three different fin lengths (10 mm, 25 mm, and 35 mm) to generate a comprehensive dataset for training the ML models and capturing the complex temporal evolution of water uptake, thereby enabling predictions for unseen fin geometries. The results indicate that neural network-based models achieve superior predictive performance compared to the other methods. For water uptake training, the mean absolute error (MAE), root mean squared error (RMSE), and coefficient of determination (R2) are approximately 2.83, 4.37, and 0.91, respectively. The predicted water uptake shows close agreement with the numerical simulation results. For the prediction cases, the MAE, MSE, and R2 values are approximately 1.13, 1.2, and 0.8, respectively. Overall, the study demonstrates that machine learning models can accurately predict water uptake beyond the training dataset, indicating strong generalization capability and significant potential for improving thermal management system design. Additionally, the proposed approach reduces simulation time and computational cost while providing an efficient and reliable framework for modeling complex sorption processes in thermal energy storage systems. Full article
31 pages, 5566 KB  
Article
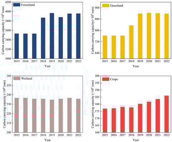
Spatiotemporal Characteristics and Driving Factors of the Energy Carbon Footprint and Vegetation Carbon Carrying Capacity in China
by Shiqi Du, Chao Gao, Yi He, Miaomiao Zhao, Wei Han, Yue Zhang, Jingang Huang, Huanxuan Li, Xiaobin Xu and Pingzhi Hou
Energies 2026, 19(7), 1618; https://doi.org/10.3390/en19071618 - 25 Mar 2026
Abstract
This study systematically quantified the carbon footprint generated by China’s consumption of eight major fossil energy sources (coal, coke, crude oil, petrol, kerosene, diesel, fuel oil, and natural gas), alongside the carbon carrying capacity of four vegetation ecosystems (forest, grassland, wetland, and crop), [...] Read more.
This study systematically quantified the carbon footprint generated by China’s consumption of eight major fossil energy sources (coal, coke, crude oil, petrol, kerosene, diesel, fuel oil, and natural gas), alongside the carbon carrying capacity of four vegetation ecosystems (forest, grassland, wetland, and crop), based on the IPCC inventory methodology. ArcGIS spatial analysis was employed to reveal the spatiotemporal distribution, while the STIRPAT model identified drivers of energy carbon footprint pressure (ECFP). Concurrently, the GM (1,1) model predicted evolution trends for both energy carbon footprint (ECF) and vegetation carbon carrying capacity. Results indicated that: (1) ECF increased from 12,039.89 million tons in 2015 to 13,896.41 million tons in 2022, representing a cumulative growth of 15.42%; (2) vegetation carbon carrying capacity increased from 4710.54 million tons in 2015 to 5300.76 million tons in 2022, representing a cumulative growth of 12.53%; (3) STIRPAT model analysis indicated that economic growth and technological progress were the dominant factors influencing ECFP; and (4) GM (1,1) predicted that the ECF would continue to grow at a slower pace by 2026, while vegetation carbon carrying capacity would steadily increase. It was concluded that optimizing the energy structure and strengthening vegetation conservation could effectively alleviate ECFP, providing crucial support for the carbon neutrality objectives of China. Full article
Show Figures

Figure 1

21 pages, 11497 KB  
Article
Spatiotemporal Characteristics of Meteorological Drought in Henan Province, Central China, Using the Standardized Precipitation Evapotranspiration Index
by Junhui Yan, Sai Zhao, Xinxin Liu, Zhijia Gu, Gaohan Xu, Maidinamu Reheman and Tong Zhu
Sustainability 2026, 18(7), 3220; https://doi.org/10.3390/su18073220 - 25 Mar 2026
Abstract
Drought is a complex natural hazard with severe impacts on ecosystems, agriculture, water resources, and socio-economic stability. Understanding its spatiotemporal evolution is critical for effective drought monitoring and prevention. This study analyzed drought characteristics in Henan province from 1961 to 2023 using the [...] Read more.
Drought is a complex natural hazard with severe impacts on ecosystems, agriculture, water resources, and socio-economic stability. Understanding its spatiotemporal evolution is critical for effective drought monitoring and prevention. This study analyzed drought characteristics in Henan province from 1961 to 2023 using the Standardized Precipitation Evapotranspiration Index (SPEI), calculated from daily meteorological data at 111 meteorological stations. Drought was examined at annual and seasonal scales across multiple time scales, including the 1-month time scale (SPEI1), 3-month time scale (SPEI3), and 12-month time scale (SPEI12), and future trends were assessed using Theil–Sen Median and Hurst exponent analyses. Key findings revealed the following: (1) Drought frequency showed a non-significant increasing trend overall, but drought intensity increased significantly, with severe and extreme droughts becoming more frequent. Most areas are projected to continue aridification. (2) Winter recorded the highest frequency and occurrence of droughts, followed by autumn and summer. Except for summer, moderate and severe droughts increased across all seasons. Extreme droughts increased significantly across all seasons, especially in spring and autumn. (3) High annual drought frequency was concentrated in the northwest, north, and east. Spatial patterns varied by drought severity: slight droughts were more common in the north, moderate droughts in the central–east, severe droughts in the west and south, and extreme droughts in the southwest and north. (4) Empirical Orthogonal Function (EOF) analysis revealed three main spatial modes: a uniform regional pattern, a southeast–northwest contrast, and a central–eastern opposition. Shorter time scales provided more detailed spatial patterns, while longer scales better reflected interannual characteristics of drought and flood variations. This study offers valuable insights for improving drought assessment and supporting risk management and policy decisions. Full article
Show Figures

Figure 1

25 pages, 3673 KB  
Review
Recent Advances in Multi-Camera Computer Vision for Industry 4.0 and Smart Cities: A Systematic Review
by Carlos Julio Fierro-Silva, Carolina Del-Valle-Soto, Samih M. Mostafa and José Varela-Aldás
Algorithms 2026, 19(4), 249; https://doi.org/10.3390/a19040249 (registering DOI) - 25 Mar 2026
Abstract
The rapid deployment of surveillance cameras in urban, industrial, and domestic environments has intensified the need for intelligent systems capable of analyzing video streams beyond the limitations of single-camera setups. Unlike traditional single-camera approaches, multi-camera systems expand spatial coverage, reduce blind spots, and [...] Read more.
The rapid deployment of surveillance cameras in urban, industrial, and domestic environments has intensified the need for intelligent systems capable of analyzing video streams beyond the limitations of single-camera setups. Unlike traditional single-camera approaches, multi-camera systems expand spatial coverage, reduce blind spots, and enable consistent tracking of people and objects across non-overlapping views, thereby improving robustness against occlusions and viewpoint changes. This article presents a comprehensive review of multi-camera vision systems published between 2020 and 2025, covering application domains including public security and biometrics, intelligent transportation, smart cities and IoT, healthcare monitoring, precision agriculture, industry and robotics, pan–tilt–zoom (PTZ) camera networks, and emerging areas such as retail and forensic analysis. The review synthesizes predominant technical approaches, including deep-learning-based detection, multi-target multi-camera tracking (MTMCT), re-identification (Re-ID), spatiotemporal fusion, and edge computing architectures. Persistent challenges are identified, particularly in inter-camera data association, scalability, computational efficiency, privacy preservation, and dataset availability. Emerging trends such as distributed edge AI, cooperative camera networks, and active perception are discussed to outline future research directions toward scalable, privacy-aware, and intelligent multi-camera infrastructures. Full article
Show Figures

Figure 1

21 pages, 5693 KB  
Article
Cross-Period Inference of Cropland Soil Organic Carbon Based on Its Relationship Patterns with Environmental Factors Incorporating the Seasonal Crop Rotation System
by Baocheng Yu, Zhongfang Yang, Yong Huang and Wei Fang
Environments 2026, 13(4), 181; https://doi.org/10.3390/environments13040181 - 25 Mar 2026
Abstract
Soil organic carbon (SOC) is a key indicator reflecting soil quality and management level. Understanding its spatiotemporal dynamics in cropland is necessary for sustainable land management. Revealing the relationship patterns between SOC (Sampling resolution: 1 km2; analysis resolution: 4 km2 [...] Read more.
Soil organic carbon (SOC) is a key indicator reflecting soil quality and management level. Understanding its spatiotemporal dynamics in cropland is necessary for sustainable land management. Revealing the relationship patterns between SOC (Sampling resolution: 1 km2; analysis resolution: 4 km2) and environmental factors in one period allows inferring SOC distribution in unsampled years, partly compensating for temporal data gaps. This study introduces a season-based crop rotation system (Winter wheat in the first season and summer corn in the next) as independent variables in a machine learning model innovatively, enriching variable selection in SOC inference and improving understanding of SOC accumulation. The Beijing–Tianjin–Hebei (BTH) region, characterized by a typical winter wheat–summer corn rotation system, was selected for analysis. The results show that in 2000, the average SOC was relatively low compared with global levels. Climatic variables were negatively correlated with SOC below the 0.8 quantile but positive above it, which corresponds to the upper 20% of the observed range of each climatic variable. Winter-wheat growth is more important on SOC distribution than summer-corn growth (two annual peaks of NDVI and EVI), showing a positive correlation with SOC, while corn showed a weak correlation and became negative above the 0.8 quantile. In the inferred results, the differences between observed and inferred mean values and their confidence intervals were approximately 0.1. This research provides a reference method for evaluating regional-scale SOC distribution patterns under data-limited conditions by integrating environmental factors and crop rotation characteristics. Full article
Show Figures

Figure 1

21 pages, 1959 KB  
Article
Understanding Trends in Near-Surface Air Temperature Lapse Rates in a Southern Mediterranean Region
by Gaetano Pellicone, Tommaso Caloiero and Ilaria Guagliardi
Climate 2026, 14(4), 76; https://doi.org/10.3390/cli14040076 - 25 Mar 2026
Abstract
This study investigates the spatiotemporal variability of the near-surface air temperature lapse rate (NSATLR) in Calabria, a region representative of typical Mediterranean environmental and climatic conditions. Through the integration of observational datasets and model simulations, a global sensitivity analysis using the Sobol method, [...] Read more.
This study investigates the spatiotemporal variability of the near-surface air temperature lapse rate (NSATLR) in Calabria, a region representative of typical Mediterranean environmental and climatic conditions. Through the integration of observational datasets and model simulations, a global sensitivity analysis using the Sobol method, and Bayesian linear regression modelling across annual, seasonal, and monthly scales, the primary drivers of near-surface air temperature (NSAT) variability were identified. Results demonstrate that altitude is the dominant factor influencing temperature distribution, with minimal contributions from other geographical parameters such as latitude, longitude, and proximity to the sea. The Bayesian models yielded robust performance for mean and maximum temperatures, while minimum temperature proved more challenging to predict. Lapse rate analyses confirmed a consistent inverse relationship between temperature and elevation, with the steepest gradients observed for Tmin. In particular, a significant long-term decline in lapse rates over the past 70 years, especially during winter and autumn, points to accelerated warming at higher elevations, primarily driven by rising Tmin values. This trend suggests a gradual homogenization of temperature across altitudes, with important implications for ecosystem dynamics, snowpack stability, and climate-sensitive sectors such as agriculture and urban planning. Full article
(This article belongs to the Special Issue Climate Variability in the Mediterranean Region (Second Edition))
Show Figures

Graphical abstract

26 pages, 18341 KB  
Article
Underload or Overload? Unveiling the Contradiction Between the Distribution of Urban Green Spaces and Their Carrying Capacity During Summer Heat Periods
by Guicheng Liu, Zifan Gui and Jie Ding
Land 2026, 15(4), 524; https://doi.org/10.3390/land15040524 - 24 Mar 2026
Abstract
Rapid urbanization has intensified the mismatch between urban green space (UGS) and urban spatial vitality (USV), hindering sustainable development. To address this, we developed the Urban Green Space Vitality Adaptation Model (UGSVAM) and analyzed 64 subdistricts in central Nanjing. Specifically, this study asks: [...] Read more.
Rapid urbanization has intensified the mismatch between urban green space (UGS) and urban spatial vitality (USV), hindering sustainable development. To address this, we developed the Urban Green Space Vitality Adaptation Model (UGSVAM) and analyzed 64 subdistricts in central Nanjing. Specifically, this study asks: Does the mismatch exist? What are its spatiotemporal patterns? What factors drive it? Methodologically, we use the Gini coefficient and Lorenz curve to assess overall UGS-USV adaptation, then construct the Urban Green Space Vitality Density (UGVD) indicator to quantify the match level, classifying units as overloaded, underloaded, or balanced. OLS and GWR reveal global and local influencing mechanisms, while quadrant analysis supports differentiated planning. Results show: (1) UGS-USV adaptation in Nanjing is weak, with Gini coefficients of 0.466 (weekday) and 0.456 (weekend). UGVD exhibits a spatial pattern of a primary overload core in the central city, a secondary core in the southwest, and peripheral decline, with the southeast underloaded. Overloaded units also show notable temporal variation. (2) Globally POI density and intersection density promote UGVD, while excessive transport facilities, air pollution, and high temperatures inhibit it—ecological factors have stronger weekend effects. (3) Locally, the northeast is more sensitive to POI density, the southwest to transport and heat, and the Jiangbei New Area could enhance green space carrying capacity through transport optimization and spatial integration. The UGSVAM integrates spatial diagnosis, mechanism analysis, and planning response, offering a transferable framework for refining green space governance in high-density cities. Full article
Show Figures

Figure 1

26 pages, 6235 KB  
Article
Investigating the Dry–Wet Differentiation of the Yellow River Basin Driven by Climate Change and Anthropogenic Activities
by Qiuli Yu, Siwei Chen, Yue-Ping Xu, Yuxue Guo, Haiting Gu, Hao Chen and Xin Tian
Remote Sens. 2026, 18(7), 974; https://doi.org/10.3390/rs18070974 - 24 Mar 2026
Abstract
Under the combined effects of climate change and anthropogenic activities, the dry–wet pattern of the Yellow River Basin is undergoing substantial reconfiguration, yet its long-term evolution and driving mechanisms remain unclear. This study constructs a Terrestrial Water Storage Anomaly-based Drought Severity Index (TWSA-DSI) [...] Read more.
Under the combined effects of climate change and anthropogenic activities, the dry–wet pattern of the Yellow River Basin is undergoing substantial reconfiguration, yet its long-term evolution and driving mechanisms remain unclear. This study constructs a Terrestrial Water Storage Anomaly-based Drought Severity Index (TWSA-DSI) using 1995–2014 as the historical period to characterize spatiotemporal dry–wet heterogeneity. Future changes during 2026–2100 are projected for the near future (2026–2060) and far future (2061–2100) under the SSP126, SSP245, and SSP585 scenarios. A comprehensive driving factor system incorporating vegetation cover, land use, meteorological conditions, and socio-economic factors is established, and dominance analysis is applied to quantify the controlling mechanisms of terrestrial water storage change (TWSC). Results indicate that the basin experienced a historical transition from aridification to humidification. Future dry–wet conditions differ markedly from the historical period, with the basin shifting toward overall humidification as emissions increase. The driving mechanisms of aridification and humidification are significantly different and precipitation is the decisive driving factor influencing the dry–wet evolution of the Yellow River Basin. Especially in the far future under the SSP585 scenario, the proportion of precipitation is as high as 54.9%. These findings provide scientific support for sustainable water-resource management under climate change. Full article
Show Figures

Figure 1

30 pages, 7541 KB  
Article
Spatiotemporal Ergonomic Fatigue Analysis in Seated Postures Using a Multimodal Smart-Skin System: A Comparative Study Between Mannequin and Human Measurements
by Giva Andriana Mutiara, Muhammad Rizqy Alfarisi, Paramita Mayadewi, Lisda Meisaroh and Periyadi
Appl. Syst. Innov. 2026, 9(4), 67; https://doi.org/10.3390/asi9040067 - 24 Mar 2026
Abstract
Continuous monitoring of sitting posture is crucial for ergonomic assessment and fatigue prevention, yet many existing approaches rely on vision-based systems or single-modality sensing that are limited in capturing spatial and temporal biomechanical dynamics. This paper presents a multimodal smart-skin sensing system for [...] Read more.
Continuous monitoring of sitting posture is crucial for ergonomic assessment and fatigue prevention, yet many existing approaches rely on vision-based systems or single-modality sensing that are limited in capturing spatial and temporal biomechanical dynamics. This paper presents a multimodal smart-skin sensing system for spatial and temporal ergonomic fatigue analysis in sitting postures. The proposed platform integrates 42 distributed pressure, temperature, and vibration sensors arranged in 14 trimodal sensing nodes embedded across anatomical seating and back regions to enable real-time multimodal acquisition of human–chair interaction patterns. The study introduces an analytical framework combining anatomical heatmap visualization, temporal evolution analysis, delta pressure mapping, fatigue intensity estimation, and hotspot detection to characterize dynamic pressure redistribution during prolonged sitting. Experimental evaluations were conducted using a biomechanical mannequin and a single human participant with identical anthropometric characteristics (165 cm height and 62 kg body mass) across nine seated conditions, including neutral sitting, reclining, leaning, periodic shifting, and vibration-induced motion. Each posture condition was recorded as a time-series session and segmented into temporal phases to analyze fatigue evolution during prolonged sitting. Statistical analysis of pressure redistribution dynamics indicates significantly higher pressure drift in human measurements compared with the mechanically stable mannequin baseline (p < 0.001). The proposed framework provides a scalable sensing approach for ergonomic monitoring, intelligent seating systems, and human–machine interface applications. Full article
(This article belongs to the Section Human-Computer Interaction)
Show Figures

Figure 1

28 pages, 25057 KB  
Article
A Cross-Institutional Financial Fraud Collaborative Detection Algorithm Based on FedGAT Federated Graph Attention Network
by Qichun Wu, Muhammad Shahbaz, Samariddin Makhmudov, Weijian Huang, Ziyang Liu and Yuan Lei
Symmetry 2026, 18(3), 546; https://doi.org/10.3390/sym18030546 - 23 Mar 2026
Abstract
Cross-institutional collaborative fraud detection is essential for combating increasingly sophisticated financial fraud, yet privacy regulations and data silos severely constrain knowledge sharing among institutions. This study aims to develop a privacy-preserving framework that enables effective collaborative fraud detection while protecting raw data, with [...] Read more.
Cross-institutional collaborative fraud detection is essential for combating increasingly sophisticated financial fraud, yet privacy regulations and data silos severely constrain knowledge sharing among institutions. This study aims to develop a privacy-preserving framework that enables effective collaborative fraud detection while protecting raw data, with particular emphasis on exploiting symmetry properties in federated architectures and graph topology analysis. We propose an Adaptive Federated Graph Attention Network (FedGAT), which employs spatio-temporal graph attention mechanisms to capture topological structures and dynamic fraud patterns within institutional transaction networks. The framework introduces a symmetric similarity matrix derived from graph topological features, where the symmetry property (sij=sji) ensures consistent and unbiased measurement of structural relationships between any pair of institutions. Based on this symmetric similarity metric, an adaptive weighted aggregation mechanism is designed for cross-institutional parameter fusion, enabling balanced knowledge transfer that respects the symmetric collaborative relationship among participating institutions. The symmetric information exchange protocol between local institutions and the central server further guarantees equitable contribution and benefit distribution throughout the federated learning process. The framework is evaluated on the Elliptic Bitcoin transaction dataset and the IEEE-CIS fraud detection dataset, with recall rate and false positive rate as primary performance metrics. Results show that FedGAT achieves a recall of 0.85 and a false-positive rate of 0.038 in single-institution detection, representing approximately 40% and 70% improvements over existing methods, respectively. In collaborative detection across five virtual institutions, the symmetry-aware adaptive aggregation mechanism enables all participants to achieve performance gains exceeding 15% while completely eliminating negative transfer effects observed in simple averaging approaches. This work contributes a novel symmetry-based federated learning framework that balances privacy protection with detection performance, advancing the literature on cross-institutional financial risk management. Full article
Show Figures

Figure 1

27 pages, 18731 KB  
Article
Intelligent Analysis of Data Flows for Real-Time Classification of Traffic Incidents
by Gary Reyes, Roberto Tolozano-Benites, Cristhina Ortega-Jaramillo, Christian Albia-Bazurto, Laura Lanzarini, Waldo Hasperué, Dayron Rumbaut and Julio Barzola-Monteses
Information 2026, 17(3), 310; https://doi.org/10.3390/info17030310 - 23 Mar 2026
Viewed by 43
Abstract
Social media platforms have been established as relevant sources of real-time information for urban traffic analysis. This study proposes an intelligent framework for the classification and spatiotemporal analysis of traffic incidents based on semi-synthetic data streams constructed from historical geolocated seeds for controlled [...] Read more.
Social media platforms have been established as relevant sources of real-time information for urban traffic analysis. This study proposes an intelligent framework for the classification and spatiotemporal analysis of traffic incidents based on semi-synthetic data streams constructed from historical geolocated seeds for controlled validation, utilizing real reports from platforms such as X and Telegram. The approach integrates adaptive machine learning and incremental density-based clustering. An Adaptive Random Forest (ARF) incremental classifier is used to identify the type of incident, allowing for continuous updating of the model in response to changes in traffic flow and concept drift. The classified events are then processed using DenStream, a clustering algorithm that incorporates a temporal decay mechanism designed to identify dynamic spatial patterns and discard older information. The evaluation is performed in a controlled streaming simulation environment that replicates the dynamics of cities such as Panama and Guayaquil. The proposed framework demonstrated robust quantitative performance, achieving a prequential accuracy of up to 86.4% and a weighted F1-score of 0.864 in the Panama scenario, maintaining high stability against semantic noise. The results suggest that this hybrid architecture is a highly viable approach for urban traffic monitoring, providing useful information for Intelligent Transportation Systems (ITS) by processing authentic social signals. Full article
(This article belongs to the Section Artificial Intelligence)
Show Figures

Figure 1

30 pages, 4192 KB  
Article
Spatio-Temporal Evolution of NPP, Vegetation Characteristics, and Multi-Model, Multi-Scenario Predictions in the Shaanxi Section of the Qinling Mountains, China
by Zhe Li, Xia Li, Guozhuang Zhang and Leyi Zhang
Sustainability 2026, 18(6), 3136; https://doi.org/10.3390/su18063136 - 23 Mar 2026
Viewed by 55
Abstract
The Shaanxi section of the Qinling Mountains serves as a critical ecological transition zone and security barrier between northern and southern China. Monitoring the dynamics of its vegetation Net Primary Productivity (NPP) is essential for understanding regional carbon cycling and informing ecological management [...] Read more.
The Shaanxi section of the Qinling Mountains serves as a critical ecological transition zone and security barrier between northern and southern China. Monitoring the dynamics of its vegetation Net Primary Productivity (NPP) is essential for understanding regional carbon cycling and informing ecological management strategies. This study integrates three complementary analytical frameworks: the Mann–Kendall test combined with the Theil–Sen slope for linear trend extrapolation (MK-Theil-Sen), mechanistic simulation (CASA model), and machine learning (random forest). First, we analyzed the spatiotemporal evolution of NPP from 2000 to 2023. Then, based on three CMIP6 scenarios (SSP119, SSP245, SSP585), we projected NPP changes for 2030–2050 and compared results across different models and scenarios. The key findings are as follows: ① From 2000 to 2023, NPP in the Shaanxi section of the Qinling Mountains exhibited a fluctuating upward trend with a cumulative increase of 16.7%. Spatially, it showed a pattern of “higher in the south, lower in the north; higher in the west, lower in the east”. ② Multiple models predict continued NPP growth, though the magnitude remains uncertain. Mechanistic models, incorporating climate stress factors, yield relatively conservative projections. ③ Emission scenarios significantly influence future trends, with low-emission pathways (SSP119) favoring NPP enhancement and extended growing seasons. ④ Different vegetation types exhibit varying responses to scenario changes: broadleaf forests show the highest sensitivity, while grasslands and meadows demonstrate strong climate stability across models, with cultivated vegetation exhibiting intermediate sensitivity. This study provides comprehensive scientific references for regional ecological security assessment and adaptive management through historical analysis and multi-model, multi-scenario projections of NPP in the Shaanxi section of the Qinling Mountains. Full article
Show Figures

Figure 1

25 pages, 5491 KB  
Article
Assessing Spatiotemporal Accessibility of Fire Services to Key Units of Fire Safety in Shanghai: Dynamics, Disparities, and Policy Implications
by Yiqi Zhang, Xiao Wang, Shizhen Cao, Yuheng He and Xiang Li
Buildings 2026, 16(6), 1262; https://doi.org/10.3390/buildings16061262 - 23 Mar 2026
Viewed by 35
Abstract
Accurately assessing the accessibility of fire services is critical for enhancing urban safety and the resilience of the built environment. However, existing studies often lack a systematic analysis of spatiotemporal dynamics across an entire municipality. To address this gap, this study develops a [...] Read more.
Accurately assessing the accessibility of fire services is critical for enhancing urban safety and the resilience of the built environment. However, existing studies often lack a systematic analysis of spatiotemporal dynamics across an entire municipality. To address this gap, this study develops a citywide dynamic assessment framework for Shanghai, integrating GIS with real-time traffic data across 240 consecutive intervals to assess the service accessibility of 195 fire stations in relation to 7973 key units of fire safety. The principal findings are threefold. First, the results reveal significant urban–suburban heterogeneity in emergency response times. Notably, the proximity advantage of fire stations in central urban areas is offset by traffic congestion, and the marginal benefit of traffic speed improvement exhibits a sharp decline once the average speed exceeds a critical threshold of 13.7–21.0 km/h. Second, the accessibility ratio demonstrates a clear temporal pattern, being highest on holidays and lowest during weekday peak hours, and follows a nonlinear spatial decline from the urban centre to the periphery. This pattern is influenced more critically by the matching of supply and demand than by fire station density alone. Third, the analysis identifies dynamic vulnerability hotspots, which display a ‘bimodal (M-shaped)’ pattern on weekdays and a ‘unimodal (A-shaped)’ pattern on weekends and holidays. This spatiotemporal mismatch shows that central urban areas, despite higher station density, can suffer from both high fire risk and low accessibility, revealing structural patterns consistent with the ‘Inverse Care Law’ in emergency service provision. This study concludes that merely improving traffic conditions is insufficient; optimising the spatial matching of resources is paramount for effective urban disaster prevention. By developing a refined dynamic assessment framework, this study advances current knowledge by focusing on demand locations consistent with actual fire regulatory priorities and examining spatiotemporal patterns across both urban and suburban areas, thereby providing quantitative, evidence-based support for the strategic planning of fire stations and the enhancement of infrastructure resilience. Full article
(This article belongs to the Topic Advances in Urban Resilience for Sustainable Futures)
Show Figures

Figure 1

27 pages, 8701 KB  
Article
Sustainable Energy Resilience Under Climate Change: Spatiotemporal Disentangling of Structural and Magnitude Drivers of Compound Risk
by Saman Maroufpoor and Xiaosheng Qin
Sustainability 2026, 18(6), 3123; https://doi.org/10.3390/su18063123 - 22 Mar 2026
Viewed by 158
Abstract
The stability of solar-dependent energy systems is vital for urban sustainability, but it is increasingly threatened by compound energy risks (CERs), events where low photovoltaic generation coincides with high electricity demand. This study addresses a critical knowledge gap by disentangling the co-evolving structural [...] Read more.
The stability of solar-dependent energy systems is vital for urban sustainability, but it is increasingly threatened by compound energy risks (CERs), events where low photovoltaic generation coincides with high electricity demand. This study addresses a critical knowledge gap by disentangling the co-evolving structural and magnitude drivers of these events to identify their propagation pathways and the most vulnerable districts. To achieve this, a novel hybrid framework was developed to provide a high-resolution, spatiotemporal assessment of both risk dimensions across Singapore’s 41 districts. Structural risk was mapped by integrating an undirected co-occurrence network, quantified using Mutual Information (MI), with a directed influence network derived from Bayesian Network Theory (BNT). Concurrently, magnitude risk was assessed through a copula-based analysis of joint probabilities for historical and future climate conditions, using Singapore’s new V3 dataset under multiple Shared Socioeconomic Pathways (SSPs). The results reveal a significant shift in the compound energy risk landscape. Structurally, the network of risk propagation evolves from a historically diffuse configuration to a consolidated system dominated by clusters of 8 to 9 highly interconnected districts under the SSP245 scenario. Under the high-diffusion SSP585 scenario, this evolution is expanded by the addition of 4 more districts. At the same time, the magnitude of risk intensifies across identified hotspot districts. This synthesis uncovers a critical feedback dynamic: districts such as 29, 36, and 40 not only serve as key structural hubs but also experience sharp increases in event probability, with their return periods for extreme compound events collapsing from over 50 years historically to the 10–20-year range. This forms a self-reinforcing loop of systemic vulnerability. These findings indicate that Singapore’s energy security will become increasingly exposed to climate-driven risks that propagate through this consolidated network, requiring targeted spatial adaptation to ensure long-term grid sustainability. Full article
(This article belongs to the Special Issue Energy Transition Amidst Climate Change and Sustainability)
Show Figures

Figure 1

Back to TopTop