Sign in to use this feature.

Years

Between: -

Subjects

remove_circle_outline
remove_circle_outline
remove_circle_outline
remove_circle_outline
remove_circle_outline
remove_circle_outline
remove_circle_outline
remove_circle_outline

Journals

Article Types

Countries / Regions

Search Results (62)

Search Parameters:
Keywords = spatial mode multiplexing

Order results
Result details
Results per page
Select all
Export citation of selected articles as:
12 pages, 683 KB  
Article
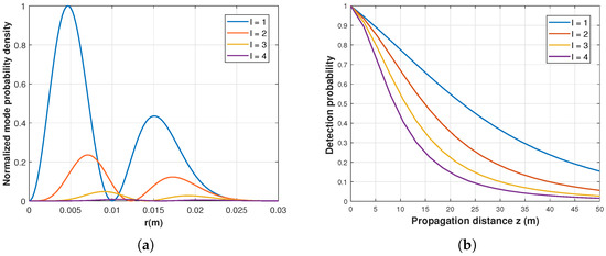
Seawater Continuous-Variable Quantum Key Distribution with Orbital Angular Momentum Multiplexing
by Lei Mao, Zhangtao Liang, Weihan Zhang, Hang Zhang and Yijun Wang
Mathematics 2026, 14(4), 660; https://doi.org/10.3390/math14040660 - 13 Feb 2026
Viewed by 218
Abstract
Continuous-Variable Quantum Key Distribution (CVQKD), based on quantum mechanical principles, offers theoretically unconditional security and represents a crucial direction for future secure communications. However, its application in marine environments faces challenges such as high attenuation, scattering, and turbulence in seawater, severely impacting quantum [...] Read more.
Continuous-Variable Quantum Key Distribution (CVQKD), based on quantum mechanical principles, offers theoretically unconditional security and represents a crucial direction for future secure communications. However, its application in marine environments faces challenges such as high attenuation, scattering, and turbulence in seawater, severely impacting quantum signal transmission and secure key generation efficiency. Orbital angular momentum (OAM) multiplexing technology leverages the orthogonality of photon OAM modes to transmit multiple independent quantum signals in parallel within a single spatial channel. In this scheme, each OAM mode serves as an independent sub-channel, enabling simultaneous key distribution across multiple modes, thereby significantly enhancing the system’s secure key rate and spectral efficiency. This paper proposes an OAM-multiplexed CVQKD scheme tailored for marine channels. Based on Yi’s power spectrum model for marine turbulence refractive index fluctuations, we derive expressions for OAM mode probability density and detection probability. Through system modeling and performance analysis, we investigate the impact of marine turbulence on OAM modes, as well as on the secure key rate and transmission distance of CVQKD systems. Results indicate that higher-order OAM modes exhibit more pronounced turbulence effects, leading to reduced key rates and limited transmission distances. The OAM multiplexing approach significantly enhances system key rates, providing theoretical and technical references for constructing high-rate seawater quantum communication networks. Full article
(This article belongs to the Topic Quantum Information and Quantum Computing, 2nd Volume)
Show Figures

Figure 1

19 pages, 6578 KB  
Article
High-Resolution Spatiotemporal-Coded Differential Eddy-Current Array Probe for Defect Detection in Metal Substrates
by Qi Ouyang, Yuke Meng, Lun Huang and Yun Li
Sensors 2026, 26(2), 537; https://doi.org/10.3390/s26020537 - 13 Jan 2026
Viewed by 255
Abstract
To address the problems of weak geometric features, low signal response amplitude, and insufficient spatial resolvability of near-surface defects in metal substrates, a high-resolution spatiotemporal-coded eddy-current array probe is proposed. The probe adopts an array topology with time-multiplexed excitation and adjacent differential reception, [...] Read more.
To address the problems of weak geometric features, low signal response amplitude, and insufficient spatial resolvability of near-surface defects in metal substrates, a high-resolution spatiotemporal-coded eddy-current array probe is proposed. The probe adopts an array topology with time-multiplexed excitation and adjacent differential reception, achieving a balance between high common-mode rejection ratio and high-density spatial sampling. First, a theoretical electromagnetic coupling model between the probe and the metal substrate is established, and finite-element simulations are conducted to investigate the evolution of the skin effect, eddy-current density distribution, and differential impedance response over an excitation frequency range of 1–10 MHz. Subsequently, a 64-channel M-DECA probe and an experimental testing platform are developed, and frequency-sweeping experiments are carried out under different excitation conditions. Experimental results indicate that, under a 50 kHz excitation frequency, the array eddy-current response achieves an optimal trade-off between signal amplitude and spatial geometric consistency. Furthermore, based on the pixel-to-physical coordinate mapping relationship, the lateral equivalent diameters of near-surface defects with different characteristic scales are quantitatively characterized, with relative errors of 6.35%, 4.29%, 3.98%, 3.50%, and 5.80%, respectively. Regression-based quantitative analysis reveals a power-law relationship between defect area and the amplitude of the differential eddy-current array response, with a coefficient of determination R2=0.9034 for the bipolar peak-to-peak feature. The proposed M-DECA probe enables high-resolution imaging and quantitative characterization of near-surface defects in metal substrates, providing an effective solution for electromagnetic detection of near-surface, low-contrast defects. Full article
Show Figures

Figure 1

22 pages, 4366 KB  
Article
AI-Optimized High-Capacity Tri-Concentric-Core Fiber with Tailored Index Gradients for 5G and Beyond
by Rabiu Imam Sabitu, Aliyu Aliyu and Amin Malekmohammadi
Photonics 2025, 12(12), 1179; https://doi.org/10.3390/photonics12121179 - 29 Nov 2025
Viewed by 538
Abstract
The global expansion of 5G and the approaching 6G era are pushing conventional single-mode fibers toward their fundamental capacity limits, necessitating a paradigm shift in optical network infrastructure. This study introduces a novel, AI-optimized tri-concentric-core fiber with an optimized grading profile (TCC-OGP) to [...] Read more.
The global expansion of 5G and the approaching 6G era are pushing conventional single-mode fibers toward their fundamental capacity limits, necessitating a paradigm shift in optical network infrastructure. This study introduces a novel, AI-optimized tri-concentric-core fiber with an optimized grading profile (TCC-OGP) to overcome this capacity crunch through spatial-division multiplexing (SDM). The fiber design was realized through an integrated artificial intelligence framework, combining a neural network surrogate model with particle swarm optimization to efficiently navigate a complex multi-objective design space. The resultant TCC-OGP fiber supports six spatial-division-multiplexed LP modes, achieving a breakthrough in the traditional capacity–nonlinearity trade-off. A comprehensive numerical analysis demonstrates that the proposed structure achieves 92% of the theoretical Shannon capacity while simultaneously suppressing nonlinear impairments by 65% compared to the standard single-core fiber. Furthermore, the fiber exhibits low differential mode delay, a flattened dispersion of approximately 16 ps/(nm·km) at 1550 nm, strong bend tolerance (<0.01 dB/m at a 30 mm radius), and excellent inter-modal crosstalk below −25 dB over 20 km. These performance metrics confirm the TCC-OGP fiber’s suitability for terabit-scale transmission in metro networks, dense 5G back-haul, and future 6G infrastructures, establishing a scalable and intelligent platform for next-generation optical networks. Full article
(This article belongs to the Special Issue Emerging Trends in Optical Fiber Technology)
Show Figures

Figure 1

17 pages, 3671 KB  
Review
A Review of Transverse Mode Adaptive Control Based on Photonic Lanterns
by Yao Lu, Zongfu Jiang, Zilun Chen, Zhuruixiang Sun and Tong Liu
Micromachines 2025, 16(12), 1347; https://doi.org/10.3390/mi16121347 - 28 Nov 2025
Viewed by 556
Abstract
With the widespread application of fiber laser technology in industries, communications, medical fields, and beyond, the demand for controlling the spatial modes of their output beams has been increasingly growing. Traditional mode control methods are constrained by factors such as device power thresholds, [...] Read more.
With the widespread application of fiber laser technology in industries, communications, medical fields, and beyond, the demand for controlling the spatial modes of their output beams has been increasingly growing. Traditional mode control methods are constrained by factors such as device power thresholds, system complexity, and cost, making it difficult to meet the requirements for high-power, high-purity, and rapidly switchable multimode regulation. This paper reviews adaptive mode control technology based on photonic lanterns (PLs). By integrating ideas from adaptive optics and photonics, this technology utilizes photonic lanterns to achieve efficient mode evolution from single-mode to multimode fibers. Combined with optimization algorithms, it enables real-time regulation of input phases, thereby producing stable, high-purity target modes or mode superposition fields at the multimode output end. The paper systematically introduces the structural classifications, propagation characteristics, and fabrication processes of photonic lanterns, as well as the mode evolution mechanisms in different types of photonic lanterns. It elaborates in detail on the structural design, algorithm implementation, and experimental validation of the adaptive control system based on photonic lanterns. Furthermore, it explores the application prospects of this technology in areas such as suppressing transverse mode instability, mode-division multiplexing communications, particle manipulation, and high-resolution spectral measurements. The results demonstrate that the all-fiber adaptive mode control system based on photonic lanterns offers advantages such as compact structure, low loss, fast response, and strong scalability. Full article
(This article belongs to the Special Issue Photonic and Optoelectronic Devices and Systems, Third Edition)
Show Figures

Figure 1

20 pages, 4201 KB  
Article
Design and Experimental Research of Vortex Beam Mixer
by Chenghu Ke, Xinwen Zhang, Xizheng Ke and Peng Li
Photonics 2025, 12(12), 1164; https://doi.org/10.3390/photonics12121164 - 26 Nov 2025
Viewed by 323
Abstract
Based on the birefringence phenomenon of vortex beam in uniaxial crystals for optical path design, yttrium vanadate crystals and waveplates are used to realize coherent mixing of vortex beam. A crystal-type spatial light mixer applied to a vortex beam communication system is designed. [...] Read more.
Based on the birefringence phenomenon of vortex beam in uniaxial crystals for optical path design, yttrium vanadate crystals and waveplates are used to realize coherent mixing of vortex beam. A crystal-type spatial light mixer applied to a vortex beam communication system is designed. The effects of beam polarization, waveplate optical axis, crystal transmittance, and other factors on the performance of the mixer are explored. Simulations show that the mixer output phase error is extremely small, the insertion loss is about 1.9 dB , and the overall loss is close to 36.6%. Finally, it is applied in the vortex optical coherent communication system, and the effectiveness of the optical mixer is experimentally verified with a phase deviation of 3°, a splitting ratio close to 1, and a mixing efficiency of 78.5%. Vortex beam mixer extracts information such as phase, amplitude, and polarization of the signal light by combining optical beams with orbital angular momentum modes. It enables mode multiplexing, topologically protected transmission, and high-order modulation. This technology is widely applied in space optical communication, high-speed fiber-optic systems, and quantum communication. Full article
(This article belongs to the Section Optical Communication and Network)
Show Figures

Figure 1

16 pages, 4465 KB  
Article
Genetic Algorithm Optimization for Designing Polarization-Maintaining Few-Mode Fibers with Uniform Doping Profiles
by Hao Gu, Jian Wang, Zhiyu Chang, Kun Li, Xingcheng Han and Bin Liu
Photonics 2025, 12(11), 1063; https://doi.org/10.3390/photonics12111063 - 28 Oct 2025
Viewed by 444
Abstract
To support mode-division multiplexing with reduced inter-modal crosstalk, we propose a novel polarization-maintaining few-mode fiber design with a uniform doping profile and no air holes. The fiber employs two placed low-index inclusions to lift modal degeneracy and achieve strong birefringence while maintaining compatibility [...] Read more.
To support mode-division multiplexing with reduced inter-modal crosstalk, we propose a novel polarization-maintaining few-mode fiber design with a uniform doping profile and no air holes. The fiber employs two placed low-index inclusions to lift modal degeneracy and achieve strong birefringence while maintaining compatibility with standard MCVD and OVD fabrication processes. A genetic algorithm is used to optimize the geometrical and refractive index parameters. Finite element simulations show that the optimized design supports ten guided modes with a minimum effective index difference exceeding 3.8×104 across the C+L band. The fiber exhibits moderate dispersion and strong modal isolation. Tolerance analysis confirms good robustness against index fluctuations and moderate sensitivity to dimensional variations. These features suggest that the proposed PM-FMF is a promising candidate for short-reach spatial-division multiplexing applications where intrinsic polarization and mode separation are desired. Full article
Show Figures

Figure 1

30 pages, 8197 KB  
Article
Numerical and Experimental Study of Mode Coupling Due to Localised Few-Mode Fibre Bragg Gratings and a Spatial Mode Multiplexer
by James Hainsworth, Adriana Morana, Lucas Lescure, Philippe Veyssiere, Sylvain Girard and Emmanuel Marin
Sensors 2025, 25(19), 6087; https://doi.org/10.3390/s25196087 - 2 Oct 2025
Viewed by 1041
Abstract
Mode conversion effects in Fibre Bragg Gratings (FBGs) are widely exploited in applications such as sensing and fibre lasers. However, when FBGs are inscribed into Few-mode optical Fibres (FMFs), the mode interactions become highly complex due to the increased number of guided modes, [...] Read more.
Mode conversion effects in Fibre Bragg Gratings (FBGs) are widely exploited in applications such as sensing and fibre lasers. However, when FBGs are inscribed into Few-mode optical Fibres (FMFs), the mode interactions become highly complex due to the increased number of guided modes, rendering their practical use difficult. In this study, we investigate whether the addition of a spatial mode multiplexer, used to selectively excite specific fibre modes, can simplify the interpretation and utility of few-mode FBGs (FM-FBGs). We focus on point-by-point (PbP)-inscribed FBGs, localised with respect to the transverse cross-section of the fibre core, and study their interaction with a range of Hermitian Gauss input modes. We present a comprehensive numerical study supported by experimental validation, examining the mechanisms of mode coupling induced by localised FBGs and its implications, with a focus on sensing applications. Our results show that the introduction of a spatial mode multiplexer leads to slight simplification of the FBG transmission spectrum. Nevertheless, significant simplification of the reflection spectrum is achievable after modal filtering occurs as the reflected light re-traverses the spatial mode multiplexer, potentially enabling WDM monitoring of FM-FBGs. Notably, we report a novel approach to multiplexing FBGs based on their transverse location within the fibre core and the modal content initially coupled into the fibre. To the best of our knowledge, this multiplexing technique is yet to be reported. Full article
(This article belongs to the Special Issue Feature Papers in Sensing and Imaging 2025&2026)
Show Figures

Figure 1

11 pages, 5569 KB  
Article
A Multiple-Input Multiple-Output Transmission System Employing Orbital Angular Momentum Multiplexing for Wireless Backhaul Applications
by Afkar Mohamed Ismail, Yufei Zhao and Gaohua Ju
Network 2025, 5(3), 33; https://doi.org/10.3390/network5030033 - 25 Aug 2025
Viewed by 1392
Abstract
This paper presents a long-range experimental demonstration of multi-mode multiple-input multiple-output (MIMO) transmission using orbital angular momentum (OAM) waves for Line-of-Sight (LoS) wireless backhaul applications. A 4 × 4 MIMO system employing distinct OAM modes is implemented and shown to support multiplexing data [...] Read more.
This paper presents a long-range experimental demonstration of multi-mode multiple-input multiple-output (MIMO) transmission using orbital angular momentum (OAM) waves for Line-of-Sight (LoS) wireless backhaul applications. A 4 × 4 MIMO system employing distinct OAM modes is implemented and shown to support multiplexing data transmission over a single frequency band without inter-channel interference. In contrast, a 2 × 2 plane wave MIMO configuration fails to achieve reliable demodulation due to mutual interference, underscoring the spatial limitations of conventional waveforms. The results confirm that OAM provides spatial orthogonality suitable for high-capacity, frequency-efficient wireless backhaul links. Experimental validation is conducted over an 100 m outdoor path, demonstrating the feasibility of OAM-based MIMO in practical wireless backhaul scenarios. Full article
(This article belongs to the Special Issue Advances in Wireless Communications and Networks)
Show Figures

Figure 1

13 pages, 2078 KB  
Article
Concentric Intensity-Based Adjacent OAM Mode Separation for High-Efficiency Free-Space Optical Spatial Multiplexing
by Ji-Yung Lee, Jiyeon Baek, Junsu Kim, Sujan Rajbhandari, Seung Ryong Park and Hyunchae Chun
Appl. Sci. 2025, 15(16), 8949; https://doi.org/10.3390/app15168949 - 13 Aug 2025
Viewed by 1019
Abstract
The rapid growth of data traffic in modern communication networks has led to the development of advanced high-capacity multiplexing methods. Orbital angular momentum (OAM)–based mode division multiplexing (MDM) offers a promising scheme by utilizing the orthogonality of helical phase modes to transmit independent [...] Read more.
The rapid growth of data traffic in modern communication networks has led to the development of advanced high-capacity multiplexing methods. Orbital angular momentum (OAM)–based mode division multiplexing (MDM) offers a promising scheme by utilizing the orthogonality of helical phase modes to transmit independent data streams simultaneously. In this work, we introduce a novel adjacent mode separation method exploiting OAM’s concentric intensity characteristics for free-space optical (FSO) spatial multiplexing. This method enables the detection of each OAM channel based on its distinctive ring-shaped intensity distribution, contrary to the conventional on-axis phase flattening approach. Two spatially multiplexed signals with different modes are separated by aligning its concentric intensity ring with the active area of an avalanche photodiode (APD), effectively suppressing crosstalk from adjacent modes. Experimental measurements demonstrate that our method achieves a bit-error-rate (BER) performance not exceeding the forward error correction (FEC) threshold, 3.8×103, at up to 160 Mbps of data rate, while the conventional detection scheme fails beyond 5 Mbps. The analysis of the eye diagram confirms that our concentric-ring demultiplexing system achieves a high signal-to-noise ratio (SNR) and mode selectivity. These results support the feasibility of the proposed concentric intensity-based mode separation methodology for constructing compact, high-throughput OAM-multiplexed FSO links. Full article
(This article belongs to the Section Electrical, Electronics and Communications Engineering)
Show Figures

Figure 1

11 pages, 2025 KB  
Article
Complete Dispersion Measurement for Few-Mode Fibers with Large Mode Numbers Enabled by Multiplexer-Assisted S2
by Bingyi Zhao, Zhiqun Yang, Zhongze Lv, Huihui Wang, Yaping Liu, Zhanhua Huang and Lin Zhang
Photonics 2025, 12(6), 561; https://doi.org/10.3390/photonics12060561 - 3 Jun 2025
Viewed by 815
Abstract
With the widespread use and increasing importance of few-mode fibers (FMFs), comprehensive dispersion measurement for FMFs with large mode numbers is in urgent demand. Among existing methods, spatially and spectrally resolved (S2) imaging technique offers distinct advantages for measuring differential mode [...] Read more.
With the widespread use and increasing importance of few-mode fibers (FMFs), comprehensive dispersion measurement for FMFs with large mode numbers is in urgent demand. Among existing methods, spatially and spectrally resolved (S2) imaging technique offers distinct advantages for measuring differential mode group delay (DMGD) and chromatic dispersion (CD) parameters. However, it suffers from several limitations such as uncontrollable mode excitation and an inability to measure absolute CD. In this study, we enhance the traditional S2 method, making it possible to effectively measure the complete dispersion for high-mode-count FMFs. By introducing a mode multiplexer (MMUX), selectively and proportionally mode excitation can be realized. Combined with a tunable delay line array, the misalignment of the MMUX’s fiber pigtail lengths is canceled. Additionally, with the help of a reference path capable of generating planar light, the measurement of the absolute CD is enabled. Based on the enhanced MMUX-assisted S2, a simultaneous DMGD and absolute CD measurement for an FMF supporting up to six LP modes is conducted, which has not been previously demonstrated with a single S2-based system. The proposed paradigm significantly expands the mode number of FMF measurable by S2, enriches the parameters that S2 can cover, and even has great inspiration for other measurement methods. Full article
Show Figures

Figure 1

18 pages, 4345 KB  
Article
Performance Optimization of 120 Gbps–120 GHz Hybrid MDM-FSO Utilizing Non-Coherent Modified Duobinary Modulations for Optical Wireless Distributed Networks
by Rabiu I. Sabitu and Amin Malek
Appl. Sci. 2025, 15(7), 3659; https://doi.org/10.3390/app15073659 - 26 Mar 2025
Viewed by 2405
Abstract
This study proposes optimizing the performance of free space optic signal transmission using spatial division multiplexing. The research uses different modified duobinary modulation schemes to model and optimize three hybrid mode division multiplexing-free-space optical (MDM-FSO) channels, each operating at 40 Gb/s–40 GHz. The [...] Read more.
This study proposes optimizing the performance of free space optic signal transmission using spatial division multiplexing. The research uses different modified duobinary modulation schemes to model and optimize three hybrid mode division multiplexing-free-space optical (MDM-FSO) channels, each operating at 40 Gb/s–40 GHz. The study also includes the parametric optimization of various components to enhance system performance. The findings are significant for achieving high data rate links for backhaul solutions and improving bandwidth for future MDM-based wireless distributed networks. The research shows that employing three linearly polarized modes as data transmission channels with direct detection can be effective. Additionally, it is discovered that adjusting the bias voltages of the two LiNbO3 modulators can improve power sharing between the modes, thereby mitigating the power penalty. Full article
(This article belongs to the Special Issue Novel Approaches for High Speed Optical Communication)
Show Figures

Figure 1

18 pages, 2474 KB  
Article
A MFR Work Modes Recognition Method Based on Dual-Scale Feature Extraction
by Zhiyuan Li, Xuan Fu, Chengjian Mo, Jianlong Tang, Ronghua Guo and Wenbo Li
Remote Sens. 2025, 17(6), 1054; https://doi.org/10.3390/rs17061054 - 17 Mar 2025
Cited by 1 | Viewed by 1158
Abstract
Multi-function radar (MFR) work modes recognition is an important research component of the electronic reconnaissance field. When facing MFR systems equipped with complex mode-waveform mapping relationships and flexible beam scanning techniques, the intercepted work mode pulse sequences have a wide temporal range of [...] Read more.
Multi-function radar (MFR) work modes recognition is an important research component of the electronic reconnaissance field. When facing MFR systems equipped with complex mode-waveform mapping relationships and flexible beam scanning techniques, the intercepted work mode pulse sequences have a wide temporal range of feature distributions and variable durations, which bring significant challenges for accurate recognition. To address this issue, this study constructs a novel hierarchical MFR signal model with waveform multiplexing and waveform scheduling laws with spatial beam arrangement and proposes a work mode recognition method based on dual-scale feature extraction. The recognition method first obtains the variable-length sequence processing capability through pulse sequence segmentation. Then, a structure composed of convolutional neural network (CNN) and long short-term memory (LSTM) is followed to extract the deep time-series features at the internal-segment scale of segments, and the features of each segment are concatenated in the time dimension. Subsequently, an LSTM-Attention network is used to extract the external-segment-scale features while adaptively assigning a higher weight to important waveform segments. Ultimately, the work mode recognition results are obtained. The experimental results show that the proposed method’s performance is advantageous in recognizing work modes under the comprehensive MFR signal model. Full article
(This article belongs to the Section Engineering Remote Sensing)
Show Figures

Figure 1

46 pages, 3730 KB  
Article
Performance Evaluation of CF-MMIMO Wireless Systems Using Dynamic Mode Decomposition
by Freddy Pesantez Diaz and Claudio Estevez
Telecom 2024, 5(3), 846-891; https://doi.org/10.3390/telecom5030043 - 2 Sep 2024
Viewed by 2593
Abstract
Cell-Free Massive Multiple-Input–Multiple-Output (CF-MIMO) systems have transformed the landscape of wireless communication, offering unparalleled enhancements in Spectral Efficiency and interference mitigation. Nevertheless, the large-scale deployment of CF-MIMO presents significant challenges in processing signals in a scalable manner. This study introduces an innovative methodology [...] Read more.
Cell-Free Massive Multiple-Input–Multiple-Output (CF-MIMO) systems have transformed the landscape of wireless communication, offering unparalleled enhancements in Spectral Efficiency and interference mitigation. Nevertheless, the large-scale deployment of CF-MIMO presents significant challenges in processing signals in a scalable manner. This study introduces an innovative methodology that leverages the capabilities of Dynamic Mode Decomposition (DMD) to tackle the complexities of Channel Estimation in CF-MIMO wireless systems. By extracting dynamic modes from a vast array of received signal snapshots, DMD reveals the evolving characteristics of the wireless channel across both time and space, thereby promising substantial improvements in the accuracy and adaptability of channel state information (CSI). The efficacy of the proposed methodology is demonstrated through comprehensive simulations, which emphasize its superior performance in highly mobile environments. For performance evaluation, the most common techniques have been employed, comparing the proposed algorithms with traditional methods such as MMSE (Minimum Mean Squared Error), MRC (Maximum Ration Combining), and ZF (Zero Forcing). The evaluation metrics used are standard in the field, namely the Cumulative Distribution Function (CDF) and the average UL/DL Spectral Efficiency. Furthermore, the study investigates the impact of DMD-enabled Channel Estimation on system performance, including beamforming strategies, spatial multiplexing within realistic time- and delay-correlated channels, and overall system capacity. This work underscores the transformative potential of incorporating DMD into massive MIMO wireless systems, advancing communication reliability and capacity in increasingly dynamic and dense wireless environments. Full article
Show Figures

Figure 1

20 pages, 9512 KB  
Article
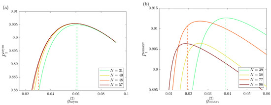
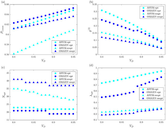
Reducing Multiphoton Noise in Multiplexed Single-Photon Sources
by Peter Adam and Matyas Mechler
Photonics 2024, 11(8), 728; https://doi.org/10.3390/photonics11080728 - 4 Aug 2024
Cited by 1 | Viewed by 1749
Abstract
Multiplexed single-photon sources can produce indistinguishable single photons with high probability in near-perfect spatial modes. Such systems, realized with optical elements having losses, can be optimized—that is, both the optimal number of multiplexed units in the sources and the optimal mean number of [...] Read more.
Multiplexed single-photon sources can produce indistinguishable single photons with high probability in near-perfect spatial modes. Such systems, realized with optical elements having losses, can be optimized—that is, both the optimal number of multiplexed units in the sources and the optimal mean number of photon pairs generated in a multiplexed unit, for which the output single-photon probability is maximal, can be determined. The accompanying multiphoton noise of the sources, arising from the probabilistic nature of the underlying physical processes in these systems, can be detrimental in certain applications. Inspired by this fact, we develop a procedure aimed at decreasing the multiphoton noise of multiplexed single-photon sources. The procedure is based on the reoptimization of the system for the chosen value of the normalized second-order autocorrelation function characterizing the multiphoton noise. The results of this reoptimization are shown for two types of spatially multiplexed single-photon sources. We find that by applying the proposed procedure, the multiphoton noise can be considerably decreased along with a relatively low decrease in the single-photon probability. Although the method presented here is for two spatially multiplexed single-photon sources, it can be applied straightforwardly for any type of multiplexed single-photon source. Full article
(This article belongs to the Section Quantum Photonics and Technologies)
Show Figures

Figure 1

16 pages, 6713 KB  
Article
Advanced Various Fault Detection Scheme for Long-Reach Mode Division Multiplexing Transmission
by Feng Liu, Zicheng Huang and Tianle Gu
Photonics 2024, 11(6), 523; https://doi.org/10.3390/photonics11060523 - 30 May 2024
Viewed by 1080
Abstract
This paper presents a few-mode fiber (FMF) various fault-detection method for long-reach mode division multiplexing (MDM) based on multi-mode transmission reflection analysis (MM-TRA). By injecting unmodulated continuous light into the FMF, and measuring and quantitatively analyzing the transmitted and reflected or Rayleigh backscattering [...] Read more.
This paper presents a few-mode fiber (FMF) various fault-detection method for long-reach mode division multiplexing (MDM) based on multi-mode transmission reflection analysis (MM-TRA). By injecting unmodulated continuous light into the FMF, and measuring and quantitatively analyzing the transmitted and reflected or Rayleigh backscattering power of different spatial modes, it is possible to accurately detect and locate reflective and non-reflective fault events. This paper discusses the localization accuracy of fault types such as FMF break, FMF link connector mismatch, and FMF bending. Theoretical analysis and simulation experimental results demonstrate that the proposed MM-TRA can provide an effective characterization of various faults and can achieve high fault localization accuracy. In addition, the influence of mode crosstalk of mode multiplexer/demultiplexer and mode coupling in FMF on the localization accuracy of various faults are considered. The results indicate that when using the combination of LP01 and LP21 modes, the localization errors for the FMF break, connector mismatch, and bending are 3.42 m, 1.97 m, and 3.29 m, respectively, demonstrating good fault localization performance. Full article
(This article belongs to the Section Lasers, Light Sources and Sensors)
Show Figures

Figure 1

Back to TopTop