Next Article in Journal
Modelling and Analysis of Vector and Vector Vortex Beams Reflection for Optical Sensing
Previous Article in Journal
Laser-Tracing Multi-Station Measurements in a Non-Uniform-Temperature Field
 
 
Font Type:
Arial Georgia Verdana
Font Size:
Aa Aa Aa
Line Spacing:
Column Width:
Background:
Article

Reducing Multiphoton Noise in Multiplexed Single-Photon Sources

1
Institute for Solid State Physics and Optics, HUN-REN Wigner Research Centre for Physics, P.O. Box 49, H-1525 Budapest, Hungary
2
Institute of Physics, University of Pécs, Ifjúság útja 6, H-7624 Pécs, Hungary
*
Author to whom correspondence should be addressed.
These authors contributed equally to this work.
Photonics 2024, 11(8), 728; https://doi.org/10.3390/photonics11080728
Submission received: 6 July 2024 / Revised: 29 July 2024 / Accepted: 2 August 2024 / Published: 4 August 2024
(This article belongs to the Section Quantum Photonics and Technologies)

Abstract

Multiplexed single-photon sources can produce indistinguishable single photons with high probability in near-perfect spatial modes. Such systems, realized with optical elements having losses, can be optimized—that is, both the optimal number of multiplexed units in the sources and the optimal mean number of photon pairs generated in a multiplexed unit, for which the output single-photon probability is maximal, can be determined. The accompanying multiphoton noise of the sources, arising from the probabilistic nature of the underlying physical processes in these systems, can be detrimental in certain applications. Inspired by this fact, we develop a procedure aimed at decreasing the multiphoton noise of multiplexed single-photon sources. The procedure is based on the reoptimization of the system for the chosen value of the normalized second-order autocorrelation function characterizing the multiphoton noise. The results of this reoptimization are shown for two types of spatially multiplexed single-photon sources. We find that by applying the proposed procedure, the multiphoton noise can be considerably decreased along with a relatively low decrease in the single-photon probability. Although the method presented here is for two spatially multiplexed single-photon sources, it can be applied straightforwardly for any type of multiplexed single-photon source.

1. Introduction

Single-photon sources (SPSs) are essential elements needed to realize various experiments and applications in the fields of photonic quantum technology and quantum information processing [1,2,3]. Heralded single-photon sources, based on photon pairs generated in nonlinear processes such as spontaneous parametric down-conversion or spontaneous four-wave mixing, can produce highly indistinguishable single photons in quasi-perfect spatial modes with predetermined polarization [4,5,6,7,8,9,10]. The word heralded refers to the method of photon generation: the detection of one of the photons, termed the idler photon, in the photon pair heralds the presence of the other photon, named the signal photon. Unfortunately, due to the probabilistic nature of the applied nonlinear processes, besides the generation of only a single photon pair at a time, the generation of multiple photon pairs has a non-zero probability that leads to the appearance of multiple photons in the heralded mode. Obviously, the presence of multiple photons in the signal of an SPS is undesirable in most of the related experiments.
The multiphoton noise can be reduced by using photon-number-resolving detectors that are capable of distinguishing single- and multiphoton detection events for the heralding [7,11,12,13,14,15,16,17,18]. Photon-number-resolving detectors with high efficiency are now available in various realizations [19,20,21,22,23,24] for this task. The other method of reducing the multiphoton contribution is by decreasing the mean number of the generated photon pairs. This can be easily accomplished by the appropriate reduction of the intensity of the pumping beam in the nonlinear process. Unfortunately, this method also leads to a reduction in the single-photon probability. Multiplexing several heralded sources can compensate for this reduction and can guarantee a high probability of successful heralding in the whole multiplexed system. Multiplexing can be achieved by a switching device that routes signal photons generated in any one of the particular heralded sources realized in space, in time, or in different spectral modes to a single output mode. Various schemes for SPSs based on spatial multiplexing [13,15,16,17,25,26,27,28,29,30], time multiplexing [28,31,32,33,34,35,36], combined multiplexing [29,37,38], and spectral multiplexing [39,40,41,42] have been proposed and analyzed in the literature. Some of the proposed schemes have been realized experimentally [14,38,43,44,45,46,47,48,49,50,51,52,53]. In these experiments, multiplexing has been realized by bulk electro-optic polarization rotating switches [14,43,44,45,49] and integrated opto-ceramic [46,47,52] or electro-optic switches [38,48]. Note that in optical communication, multiplexing is the method that combines two or more signals on a single fiber. A currently applied technology in that field is wavelength division multiplexing [54], which can rely on multiple multimode interference couplers [55,56,57,58,59]. These couplers can also be used for realizing photonic switches [60,61].
In an ideal, that is, a lossless multiplexed system, decreasing the mean number of photon pairs and simultaneously increasing the number of multiplexed units can, in principle, result in a perfect SPS where the single-photon probability asymptotically tends to one. In real multiplexed systems, however, the presence of various losses degrades the performance of the multiplexed SPSs [13,27]. In real systems, the maximization of the output single-photon probability can be accomplished by finding the optimal number of multiplexed units and the optimal mean number of the photon pairs generated in the units. The optimization can be realized by using the full statistical frameworks developed in the literature aimed at describing any kind of multiplexed SPS [15,16,17,28,29]. However, in an optimized SPS there still remains a certain amount of multiphoton contribution, which cannot be eliminated totally, even in the case of systems using photon-number-resolving detectors. The multiphoton contribution is generally characterized by the normalized second-order autocorrelation function.
In this paper, we develop a method for reducing the multiphoton noise, that is, the value of the normalized second-order autocorrelation function in multiplexed SPSs. The method is presented in detail for SPSs based on two of the multiplexer structures introduced in the literature: asymmetric multiplexers [16] and minimum-based, maximum-logic output-extended incomplete binary-tree multiplexers [30]. The procedure is based on the reoptimization of the system for the chosen value of the normalized second-order autocorrelation function, using the parametric connection between the output single-photon probability and the normalized second-order autocorrelation function. As this function can be created for every multiplexed SPS using the general statistical theory developed for their optimization, the proposed method can be applied to reduce the multiphoton noise of any multiplexed systems. We show that the multiphoton noise can be considerably decreased and the accompanying reduction in the single-photon probability can be kept low for the considered systems.

2. Spatially Multiplexed Single-Photon Sources

In this section, we present the two types of spatially multiplexed single-photon sources used to show the operation of the proposed method.
Spatially multiplexed SPSs are essentially composed of two parts: a multiplexer and a number of multiplexed units connected to the inputs of the multiplexer. Multiplexed units, essentially being the actual photon sources of the multiplexed system, contain a nonlinear photon pair source, some type of photon detector, and an optional delay line. The operation of the nonlinear photon pair source is based on some kind of nonlinear process, such as spontaneous parametric down-conversion [14,45,48] or four-wave mixing [47,50]. Detecting one of the output photons (the idler or heralding photon) of the photon pairs heralds the presence of another photon (the signal or heralded photon) that can be directed into the multiplexer and eventually to the output of the whole SPS. If a heralding event occurs at any of the multiplexed units, then the multiplexer routes the signal photon to the output of the multiplexer. The adjustment of the optical elements in the multiplexer for proper routing is ensured by a control unit that receives signals from the heralding detectors. The above-mentioned delay lines are used to delay the arrival of the signal photon to the input of the multiplexer, thus guaranteeing the time required to realize the switching. Note that the periodic operation of multiplexed SPSs can be guaranteed by applying pulsed pumping in the multiplexed units.
Spatial multiplexers are binary trees composed of binary photon routers, which are devices with two inputs and a single output. A binary photon router routes any one of its inputs to its single output in a controlled way. This switching device can be realized in several ways [2,17]. A photon passing through a photon router experiences a certain amount of loss characterized by transmission coefficients generally denoted by V r and V t for the two inputs of the router. These notations were introduced in Refs. [17,29]. The photon routers comprising the multiplexer are assumed to be identical. The connections between the photon routers form the arms of the multiplexers, which are the routes from individual inputs to the single output of the multiplexer. Levels of the multiplexers are formed by the photon routers at the same distance from the output of the multiplexer. For a chosen arm (the nth arm) of any type of binary-tree multiplexer, it is possible to determine the total transmission coefficient denoted by V n that characterizes the loss experienced by the photon while propagating through the selected arm of the multiplexer. The literature describes several different types of multiplexers built by following a systematic logic, such as symmetric (log-tree) multiplexers [14,45,47,48,50], asymmetric multiplexers [13,16,27], input-extended incomplete binary-tree multiplexers [17], and output-extended incomplete binary-tree multiplexers with several subtypes [17,30,62].
The two types of spatial multiplexers considered in this paper are the asymmetric (ASYM) multiplexers and the minimum-based, maximum-logic output-extended incomplete binary-tree (OMAXV) multiplexers originally introduced in Refs. [27,30], respectively. SPSs based on these multiplexers have been shown to provide the best performance for experimentally feasible loss parameters using state-of-the-art optical devices [30]. Schematic representations of SPSs based on them are shown in Figure 1.
To construct these multiplexers, the relation between the two transmission coefficients of the individual routers must be known. Accordingly, in the figure, these coefficients are denoted by V max = max ( V r , V t ) and V min = min ( V r , V t ) , and they represent the larger and smaller transmission coefficients, respectively. In asymmetric multiplexers (see Figure 1a), the routers are arranged in a chain-like structure by connecting the output of the next router to the input of the previously added router characterized by the larger transmission coefficient V max . This also implies that every level contains a single router, and, naturally, any number of photon routers can be used in such multiplexers. Then, the total transmission coefficients V n asym characterizing the arms of these multiplexers can be expressed as [30]
V n asym = V b V min V max n 1 if n < N , V b V max n 1 if n = N ,
where V b is a general transmission coefficient assigned to each arm of the multiplexer and represents all other losses experienced by the photon while propagating through the multiplexer, and N is the total number of inputs in the multiplexer, that is, the number of multiplexed units. We note that the mathematical structure of the total transmission coefficients V n of time-multiplexed SPSs based on a switchable storage loop [15] is basically the same as that of spatially multiplexed SPSs based on asymmetric multiplexers; hence, the main characteristics of the two systems are essentially the same.
The other type of multiplexer chosen in this paper to illustrate the proposed method is the OMAXV multiplexer (see Figure 1b). It was shown that SPSs based on this type of multiplexer outperform those based on any other type of multiplexer, including asymmetric multiplexers, for some ranges of the loss parameters, as discussed in Ref. [30]. The building strategy applied for this type of multiplexer can be summarized as follows (a more detailed explanation can be found in [30]). Assume that a certain number of routers are arranged so that each level of the multiplexer is complete, that is, they form a symmetric multiplexer. This can be realized by N R = 2 m 1 photon routers, where m is the number of levels. In Figure 1b, routers 1 to 3 and routers 1 to 7 form a two- and three-level symmetric multiplexer, respectively. The output of this symmetric multiplexer is connected to one of the inputs of the N R + 1st router (PR8 in Figure 1b), specifically to the one characterized by V min . Novel routers are added to the incomplete branch of the multiplexer, that is, to the branch connected to the other input of the N R + 1st router such that (a) no novel router is added to the next level in the incomplete branch until the previous level is complete and (b) novel routers are added to the arm characterized by the highest total transmission coefficient V n . This implies that, similarly to asymmetric multiplexers, OMAXV multiplexers can contain any number of photon routers. Using this building strategy, an initially m-level symmetric multiplexer is gradually extended toward an m + 1 -level symmetric multiplexer.
The formulas describing the total transmission coefficients V n OMAXV of OMAXV multiplexers are [30,62]
V n OMAXV = V b C 1 V max m 1 k V min k if i = 1 k 1 m 1 i < n i = 0 k m 1 i , k = 0 , , m 1 , V n OMAXV = V b V max m 2 k + 1 V min k C 2 if i = 1 k 1 m 2 i < n N 1 2 min i = 0 k m 2 i , δ , k = 0 , , m 2 , V n OMAXV = V b V max m 2 k + 1 V min k if max i = 1 k 1 m 2 i , δ < n N 1 δ i = 0 k m 2 i , k = 0 , , m 2 ,
where
C 1 = 1 if log 2 ( N ) Z , V min otherwise ,
C 2 = V max if mod ( n , 2 ) = 1 , V min if mod ( n , 2 ) = 0 .
In these expressions, the binomial coefficients are interpreted so that M k = 0 for k < 0 and M > 0 . The number of levels, m 1 , in the initial symmetric multiplexer can be calculated as m 1 = log 2 ( N ) , with x denoting the floor function and N representing the total number of inputs in the whole multiplexer, that is, the number of multiplexed units. The number of inputs, N 1 , in the initial symmetric multiplexer can be calculated from the number of levels, m 1 , as N 1 = 2 m 1 . Obviously, all the other inputs belong to the incomplete branch, and their number is N 2 = N N 1 . Similarly to how the number of levels was calculated in the initial symmetric multiplexer, one can determine the number of complete levels, m 2 , in the incomplete branch as m 2 = log 2 ( N 2 ) . Finally, the quantity δ appearing in Equation (2) can be calculated as δ = N 2 2 m 2 ; that is, it is the number of inputs to which the remaining routers have been attached on the last complete level of the incomplete branch of the multiplexer. In other words, it is half the number of inputs on the incomplete level (level under construction) of the incomplete branch of the multiplexer.
In Figure 1b, the multiplexed units are numbered from left to right, while in Equation (2), the sequential numbers n follow a mathematical logic; therefore, the two numberings generally do not coincide. Note, however, that the statistical description in the literature introduced earlier and used in this paper expects the total transmission coefficients V n to be sorted in descending order; therefore, the numberings in Figure 1b and in Equation (2) have no effect on the physical results.

3. Statistical Theory

In this section, we summarize the main points of the theoretical framework originally introduced in Ref. [16], which is capable of describing spatially or time-multiplexed SPSs equipped with photon-number-resolving detectors. The present paper implements this framework in a simplified form for the case of single-photon detection, that is, when the photon-number-resolving detector selects only the single-photon detection events.
Consider an SPS based on a multiplexer containing N multiplexed units. Assuming that the nonlinear source in the nth multiplexed unit generates l photon pairs and the detectors in the multiplexed units open the corresponding input ports of the multiplexer for a single detected photon only, the probability that i signal photons reach the output of the multiplexer system of a single-photon source can be described by the formula
P i = 1 P 1 ( D ) N δ i , 0 + n = 1 N 1 P 1 ( D ) n 1 × l = i P ( D ) ( 1 | l ) P ( λ ) ( l ) V n ( i | l ) .
In this expression, the case when the detector detects a single photon out of l photons in a multiplexed unit is described by the conditional probability P ( D ) ( 1 | l ) , which is given by
P ( D ) ( 1 | l ) = l V D ( 1 V D ) l 1 ,
where V D denotes the detector efficiency. Then, the term P 1 ( D ) corresponding to the detection of a single photon in the nth multiplexed unit is given by
P 1 ( D ) = l = 1 P ( D ) ( 1 | l ) P ( λ ) ( l ) .
In the above formulas, the only detector imperfection taken into account is the finite detector efficiency V D . We note, however, that omitting other possible detector imperfections from our formulas should not lead to any significant limitation on the realistic nature of our model (a detailed justification can be found in Ref. [15]).
The quantity P ( λ ) ( l ) appearing in Equations (5) and (7) is the probability of generating l photon pairs in a multiplexed unit. In the case of single-mode nonlinear processes with stronger spectral filtering, the distribution of P ( λ ) ( l ) is thermal, that is,
P ( λ ) ( l ) = λ l ( 1 + λ ) 1 + l .
Here, λ denotes the input mean photon number, that is, the mean number of photon pairs generated in a multiplexed unit. We note that in this case, multiplexed SPSs can produce highly indistinguishable single photons that are required in many experiments and applications [14,47,63,64,65,66,67].
The last unidentified factor in Equation (5) is the conditional probability V n ( i | l ) of the event that the number of signal photons reaching the output of the multiplexer is i, given that the number of signal photons entering the multiplexer from the nth multiplexed unit is l. The corresponding formula can be written as
V n ( i | l ) = l i V n i ( 1 V n ) l i .
In the above expression, V n denotes the total transmission probability of the nth arm of the multiplexer. As described earlier, in the present paper, we analyze SPSs based on asymmetric multiplexers and those based on OMAXV multiplexers. The corresponding total transmission coefficients were introduced in Equations (1) and (2), respectively.
We note that in Equation (5), the preferred multiplexed unit is the one with the smallest sequential number n when heralding events occur in multiple units. This priority logic should be applied in the control unit governing the operation of the routers in the multiplexer. Accordingly, the coefficients V n must be sorted in descending order at a given set of loss parameters. This renumbering ensures that the multiplexer arm with the highest V n , corresponding to the smallest loss, is preferred by the priority logic when multiple heralding events occur in the system [15,17]. This approach can result in higher single-photon probabilities as it decreases the probability that the photon is lost in the multiplexer.
As the main objective of the present paper is to reduce the multiphoton noise in multiplexed SPSs, we introduce the normalized second-order autocorrelation function, which is generally used to quantify the multiphoton contribution, as follows:
g ( 2 ) ( 0 ) = i = 2 P i i ( i 1 ) i = 1 P i i 2 .
In this formula, P i denotes the output probabilities defined in Equation (5) for all photon numbers i.
Using the presented statistical theory, one can optimize multiplexed SPSs. This involves finding the optimal values for the number of multiplexed units N and the input mean photon number λ to maximize the output single-photon probability P 1 . Here, we summarize the main steps of this optimization. As Equation (5) shows, for a given set of loss parameters { V r , V t , V D , V b } , the single-photon probability depends on the input mean photon number λ and the number of multiplexed units N. Earlier work (see, e.g., [15]) demonstrated that for a given number of multiplexed units N, the function P 1 ( λ ) has a global maximum for any multiplexing structure. Therefore, after choosing an SPS based on a certain type of multiplexing structure, in the first step of the optimization, we fix the number of multiplexed units N and the set of loss parameters { V r , V t , V D , V b } , and we perform a single-variable optimization aimed at finding the highest single-photon probability P 1 , referred to as the achievable single-photon probability for the given N, using the input mean photon number λ as the optimization variable. Repeating this single-variable optimization for all reasonable values of the number of multiplexed units N, we obtain the discrete function P 1 ( N ) . It can be shown that spatially multiplexed SPSs, in general, can be sorted into two groups based on the behavior of the function P 1 ( N ) . For one group of spatially multiplexed SPSs, such as those based on input- or output-extended incomplete binary-tree multiplexers, including symmetric multiplexers as a special case, this function has a global maximum. This global maximum is called the maximal single-photon probability and is denoted by P 1 , max . The corresponding optimized variables are the optimal number of multiplexed units N opt and the optimal input mean photon number λ opt . We note that the function P 1 ( N ) can exhibit local maxima for SPSs based on certain types of multiplexers. SPSs based on OMAXV multiplexers belong to this group [30]. For the other group of spatially multiplexed SPSs, including those based on asymmetric multiplexers and stepwise-optimized binary-tree multiplexers [68], the function P 1 ( N ) shows asymptotic behavior, meaning that as the number of multiplexed units N increases, the probability P 1 ( N ) approaches a certain value. In this case, optimization involves finding a compromise between using a reasonably low number of multiplexed units N and still achieving a single-photon probability P 1 close to its saturated value. To this end, we pick a high value of the number of multiplexed units ( N = 100 in our calculations), for which the corresponding single-photon probability P 1 is considered close to the saturated value. Then, starting from N = 2 , we determine the value of P 1 ( N ) for consecutive values of the number of multiplexed units N until the difference Δ P 1 = P 1 ( 100 ) P 1 ( N ) between the single-photon probabilities P 1 ( 100 ) and P 1 ( N ) reaches a reasonably low value. The number of multiplexed units N for which the difference reaches this low value ( Δ P 1 5 × 10 4 in our calculations) is considered the optimal number of multiplexed units N opt , and the corresponding value P 1 ( N opt ) = P 1 , max is the maximal single-photon probability.
Finally, we remark that the theory described above is valid for SPSs based on any type of multiplexing. In the case of spatial multiplexing, the multiplexed units are the independent heralded sources, while in the case of time multiplexing, they are the time windows in which the heralding events can occur.

4. Results

In this section, we present the procedure that can be used to decrease the multiphoton noise of multiplexed single-photon sources. As examples, we show the operation of this procedure using the two types of spatially multiplexed SPSs described in Section 2.
Multiplexed SPSs can be optimized using the statistical theory and method discussed in the previous section. Specifically, it is possible to find the optimal number of multiplexed units N opt and the optimal input mean photon number λ opt for which the single-photon probability P 1 is maximal. In this case, the source still exhibits finite multiphoton noise, that is, the probability of obtaining two or more photons at the output is finite (see Equation (5)). This noise is characterized by the normalized second-order autocorrelation function g ( 2 ) defined in Equation (10). To show how the multiphoton noise and this function can be reduced, we first analyze the dependence of the single-photon probability P 1 and the normalized second-order autocorrelation function g ( 2 ) on the input mean photon number λ and the number of multiplexed units N.
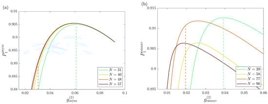
Figure 2 presents the single-photon probabilities P 1 asym (a) and P 1 omaxv (c), as well as the normalized second-order autocorrelation functions g asym ( 2 ) (b) and g omaxv ( 2 ) (d) for SPSs based on asymmetric and OMAXV multiplexers as functions of the input mean photon number λ for the router transmission coefficients V r = 0.99 and V t = 0.985 , the detector efficiency V D = 0.95 , the general transmission coefficient V b = 0.98 , and for various values of the number of multiplexed units N. Note that the chosen values of the router transmission coefficients V r and V t are the best ones that can be realized experimentally using state-of-the-art devices [53,69]. Regarding the detector efficiency V D , even higher values have been reported in the literature [20,70]. From Figure 2a,c, one can deduce that the function P 1 ( λ ) has a single maximum for any number of multiplexed units N for both multiplexers. This is due to the fact that for low values of the input mean photon number λ , the probability of no photon leaving the source is high, while for high values of λ , the multiphoton contribution increases. The maxima shift toward lower values of the input mean photon number λ for higher values of the number of multiplexed units N, that is, by using more multiplexed units, a lower input mean photon number is required to achieve the highest single-photon probability. The physical reason behind this observation is that for higher values of N, it is sufficient to use lower values of λ to retain the heralding efficiency at a high level in the whole system. In the case of SPSs based on asymmetric multiplexers (Figure 2a), it can also be seen that increasing the value of N leads to a monotonic increase in the highest single-photon probability P 1 , which eventually saturates, as discussed in the previous section. Therefore, the optimal value of the number of multiplexed units N opt can be selected using the procedure described there. The final result of the bivariate optimization for the set of transmission coefficients displayed in the caption is P 1 , max asym = 0.905 , which can be achieved with the optimal parameters N opt = 31 and λ opt = 0.4508 . For SPSs based on OMAXV multiplexers (Figure 2c), increasing the value of N above its optimal value ( N opt = 39 in Figure 2c) leads to a non-monotonic decrease in the maxima of the P 1 ( λ ) functions, that is, in the achievable single-photon probabilities P 1 for fixed values of N. The non-monotonic behavior of the P 1 ( N ) function and the appearance of local maxima are analyzed thoroughly in Ref. [30], with explanations provided by the building strategy of OMAXV multiplexers. By using the P 1 ( λ ) functions for all reasonable values of N, we find that P 1 , max omaxv = 0.913 can be achieved with the optimal number of multiplexed units N opt = 39 and the optimal input mean photon number λ opt = 0.248 . The optimal values are indicated by green dashed lines in Figure 2a,c. Figure 2b,d show that, as expected, increasing the input mean photon number λ leads to higher values of the second-order autocorrelation function g asym ( 2 ) , that is, a higher input mean photon number induces higher multiphoton contribution at the output of the multiplexer. The figures also show that the dependence of the function g ( 2 ) ( λ ) on the number of multiplexed units N is moderate for the chosen set of loss parameters, except for low values of the input mean photon number λ , where higher values of the number of multiplexed units N result in a lower multiphoton contribution. Similarly to Figure 2a,c, the green dashed lines indicate the values of the normalized second-order autocorrelation function g asym ( 2 ) = 0.0609 and g omaxv ( 2 ) = 0.039 , derived using the optimized values of the input mean photon number λ opt and the number of multiplexed units N opt . Note that for the considered set of loss parameters { V b , V D , V r , V t } , SPSs based on OMAXV multiplexers outperform SPSs based on asymmetric multiplexers in both the maximal single-photon probability P 1 , max and the second-order autocorrelation function g ( 2 ) , as pointed out in Ref. [30].
Figure 2b,d suggest that to decrease the multiphoton noise characterized by the second-order autocorrelation function g ( 2 ) , the input mean photon number λ must be decreased. Unfortunately, this leads to a decrease in the single-photon probability P 1 , assuming that the number of multiplexed units is kept to its optimal value N opt , as can be seen in Figure 2a,c. However, by using more multiplexed units for a lower value of the input mean photon number, the decrease in the single-photon probability can be reduced. In support of this claim, we show the relation between the single-photon probability P 1 and the normalized second-order autocorrelation function g ( 2 ) . These quantities both depend on the input mean photon number λ , so it is possible to create a parametric plot from them. Figure 3 presents the single-photon probability P 1 against the normalized second-order autocorrelation function g ( 2 ) for SPSs based on asymmetric multiplexers (a) and those based on OMAXV multiplexers (b), using the same loss parameters and values of the number of multiplexed units N N opt as in Figure 2. The green continuous curves correspond to the optimal values of the number of multiplexed units N opt . The green dashed lines show the results of the original optimization, that is, the values of P 1 , max and the corresponding values of g ( 2 ) . Due to the nearly linear relationship between the second-order autocorrelation function g ( 2 ) and the input mean photon number λ in the considered range (c.f. Figure 2b,d), the characteristics of Figure 3a,b are similar to those of Figure 2a,c, respectively. Specifically, each curve corresponding to a given number of multiplexed units N in Figure 3 has one maximum that shifts toward lower values of the normalized second-order autocorrelation function g asym ( 2 ) as the number of multiplexed units N increases. The figures show that for N > N opt , one can always find values of P 1 in the P 1 g ( 2 ) curves that are higher than those on the curve corresponding to N opt for values of g ( 2 ) smaller than the one corresponding to P 1 , max .
These findings lead to the main result of this paper: the method of reoptimization for multiplexed single-photon sources to reduce multiphoton noise. Figure 3 shows that by choosing a certain value of the second-order autocorrelation function lower than that obtained from the optimization procedure for the maximal single-photon probability, that is, g ( 2 ) < g ( 2 ) , and using the relationship between the single-photon probability P 1 and g ( 2 ) for a corresponding set of N, one can find the reoptimized number of multiplexed units N opt for which P 1 is maximal for the chosen g ( 2 ) . We note that in the case of SPSs based on asymmetric multiplexers, the function P 1 increases asymptotically with increasing values of N (see Figure 3a). Therefore, one can find the reoptimized number of multiplexed units N opt using the procedure described in Section 2. Then, for the fixed value of N opt , one can find the reoptimized input mean photon number λ opt from the relationship connecting g ( 2 ) and λ . Finally, substituting the reoptimized values of N opt and λ opt into the formula for the single-photon probability, a new maximum P 1 , max can be found for the chosen value of the second-order autocorrelation function g ( 2 ) . Note that the reoptimized values N opt and λ opt are the optimal values of N and λ at which the highest single-photon probability P 1 , max can be obtained for the chosen value of the second-order autocorrelation function g ( 2 ) .
Figure 3 demonstrates this procedure for g ( 2 ) = g ( 2 ) / 2 . In the figure, the green dashed lines indicate the values of the second-order autocorrelation function g ( 2 ) corresponding to the maximum value of the single-photon probability P 1 , max obtained from the optimization procedure. The orange dashed lines represent the chosen values g ( 2 ) = g ( 2 ) / 2 and are drawn to intersect with the continuous lines corresponding to the reoptimized values of the number of multiplexed units: N opt asym = 48 (Figure 3a) and N opt omaxv = 77 (Figure 3b). The corresponding reoptimized values of the input mean photon number are λ opt asym = 0.181 and λ opt omaxv = 0.110 , respectively. The new maximal single-photon probabilities are (a) P 1 , max asym = 0.890 , and (b) P 1 , max omaxv = 0.911 . Comparing these new maximal values P 1 , max with those obtained from the original optimization procedure P 1 , max , it can be concluded that the decrease in the maximal single-photon probability is moderate, and it is smaller for SPSs based on OMAXV multiplexers.
We note that the second-order autocorrelation function g ( 2 ) as a function of the input mean photon number λ is always nearly linear, and the single-photon probability P 1 as a function of the input mean photon number λ always exhibits a single maximum for any type of multiplexed single-photon source for a given number of multiplexed units. The function connecting the single-photon probability P 1 and the second-order autocorrelation function g ( 2 ) can also be derived for any multiplexed system. Note, however, that this function can have different characteristics for different multiplexing realizations; an example of such a difference can be seen in Figure 3. Based on the functions P 1 ( g ( 2 ) ) , the proposed reoptimization procedure can be applied to any type of multiplexed single-photon source.
The results presented in Figure 2 and Figure 3 show that for a certain set of loss parameters { V r , V t , V b , V D } , decreasing the input mean photon number and simultaneously increasing the number of multiplexed units can considerably reduce the value of the second-order autocorrelation function g ( 2 ) while keeping the single-photon probability P 1 high. Below, we present the results for wider but experimentally feasible ranges of the loss parameters. These ranges and parameter values are chosen so that the optimal detection strategy in the multiplexed units is still single-photon detection [15,16]. In Figure 2 and Figure 3, we indicate the type of multiplexer assumed in the corresponding calculation as sub- or superscripts of the quantities. In what follows, we omit such indices to avoid excessively complicated notation; the type of the multiplexer used is indicated in the captions. Figure 4 presents the maximal single-photon probability P 1 , max (a), the second-order autocorrelation function g ( 2 ) (b), the optimal number of multiplexed units N opt (c), and the optimal input mean photon number λ opt (d) for SPSs based on asymmetric multiplexers as functions of the transmission coefficients V t and V r for the detector efficiency V D = 0.95 and the general transmission coefficient V b = 0.98 . Figure 4a shows that the maximal single-photon probability is highest for the highest values of the router transmission coefficients V r and V t , as expected. From Figure 4c,d one can see that for these high values of the transmission coefficients V r and V t , the optimal input mean photon number λ opt is the lowest, while the optimal number of multiplexed units N opt is the highest. To understand the physics behind this observation, recall the idea of multiplexing: multiphoton noise is decreased by decreasing the input mean photon number while the number of multiplexed units, that is, the system size, is increased to guarantee the high probability of successful heralding. This can best be accomplished by applying routers characterized by high transmission coefficients. On the other hand, for lower values of the router transmission coefficients, the probability that a photon vanishes while traveling through the multiplexer significantly increases if the system size is increased. This explains the lower optimal numbers of multiplexed units and also the higher optimal values of the input mean photon numbers for such values of the router transmission coefficients. Finally, as a consequence of the nearly linear relationship between the input mean photon number and the second-order autocorrelation function (see, e.g., Figure 2b), one can see that the characteristics of Figure 4b, which presents the second-order autocorrelation function g ( 2 ) , are similar to those of Figure 4d, which shows the optimal input mean photon number. In Figure 5, we present the same quantities as shown in Figure 4 as functions of the transmission coefficients V t and V r for the detector efficiency V D = 0.95 and the general transmission coefficient V b = 0.98 for SPSs based on OMAXV multiplexers. The characteristics of the corresponding subfigures in Figure 4 and Figure 5 are similar and only their fine structures differ. Consequently, the properties of the quantities discussed in the case of SPSs based on asymmetric multiplexers are valid for the quantities of SPSs based on OMAXV multiplexers.
Below, we compare the results of the reoptimization procedure with those obtained from the optimization presented in the previous paragraph as functions of the loss parameters. Figure 6 shows the difference Δ λ = λ opt λ opt between the reoptimized and the optimal input mean photon numbers λ opt and λ opt (a), the relative difference Δ λ / λ opt comparing the reoptimized and the optimal input mean photon numbers λ opt and λ opt (b), the difference Δ N = N opt N opt between the reoptimized and the optimal numbers of multiplexed units N opt and N opt (c), and the difference Δ P = P 1 , max P 1 , max between the corresponding maximal single-photon probabilities P 1 , max and P 1 , max (d) for SPSs based on asymmetric multiplexers as functions of the transmission coefficients V t and V r for the detector efficiency V D = 0.95 and the general transmission coefficient V b = 0.98 . The reoptimization was performed for a 50% reduced normalized second-order autocorrelation function g ( 2 ) compared to the value g ( 2 ) obtained from the original optimization. Figure 6a shows that the decrease in the input mean photon number λ required for decreasing the value of the second-order autocorrelation function g ( 2 ) is lower for high transmission coefficients V r and V t than for lower ones. The relative difference presented in Figure 6b shows that λ is reduced by approximately 60–70%. However, as can be seen in Figure 6c, to obtain a sufficiently high single-photon probability P 1 , max together with such a reduced value of the second-order autocorrelation function g ( 2 ) , the number of multiplexed units must be increased. This increase Δ N is the highest for the best values of the transmission coefficients V r and V t , and it is smaller for lower values of these coefficients. Figure 6d shows that the reduction in the single-photon probability due to the reoptimization of the system is moderate. The smallest changes can be observed for the highest values of the transmission coefficients, and the lowest reduction is |ΔP| < 0.02.
Figure 7 shows the same functions for SPSs based on OMAXV multiplexers as those presented in Figure 6 for the same set of parameters. In this case, the lowest difference between the input mean photon numbers presented in Figure 7a also appears for simultaneously high values of the router transmission coefficients V r and V t . The magnitude of the decrease for SPSs based on OMAXV multiplexers is similar to that of SPSs based on asymmetric multiplexers. However, the corresponding increase in the number of multiplexed units is higher. This observation is due to the fact that in the case of SPSs based on OMAXV multiplexers, the function P 1 ( N ) connecting the single-photon probability and the number of multiplexed units contains local maxima for values of the number of multiplexed units N between power-of-two numbers of the multiplexed units characterizing the symmetric multiplexers [17]. The differences Δ N that can be observed in Figure 7c correspond to the gaps between such numbers. Figure 7d shows that the reduction in the single-photon probability due to the reoptimization of the system is also moderate and even lower than that for SPSs based on asymmetric multiplexers (c.f. Figure 6d). The smallest changes can be observed for the highest values of the transmission coefficients, and the lowest reduction is | Δ P | < 0.005 . The main difference between the results presented in Figure 6 and Figure 7 is that for SPSs based on asymmetric multiplexers, the smallest changes in the displayed quantities can be achieved by choosing high values for either or both of the transmission coefficients V r or V t , while in the case of SPSs based on OMAXV multiplexers, these smallest changes are limited for simultaneously high values of V r or V t . This can be explained by the fact that the performance of SPSs based on asymmetric multiplexers essentially scales with the larger transmission coefficient V max due to the building strategy of such systems, while for SPSs based on OMAXV multiplexers, both coefficients play essential roles in performance (see Equations (1) and (2)).
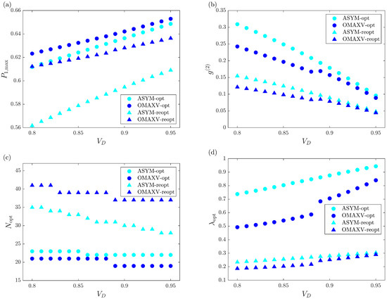
Next, we discuss the effect of changing the detector efficiency V D on the optimization and reoptimization of the two spatially multiplexed SPSs under consideration. Figure 8 shows the maximal single-photon probability P 1 , max (a), the normalized second-order autocorrelation function g ( 2 ) (b), the optimal number of multiplexed units N opt (c) and the optimal input mean photon number λ opt (d) of SPSs based on asymmetric and OMAXV multiplexers after the optimization and reoptimization against the detector efficiency V D for the general transmission coefficient V b = 0.8 and the router transmission coefficients V r = 0.95 and V t = 0.95 . These parameters can be considered experimentally realizable. In accordance with expectations, Figure 8a shows that decreasing the detector efficiency V D leads to a decrease in the maximal single-photon probability P 1 , max . The figure also shows that the reoptimized values are closer to the optimized values for SPSs based on OMAXV multiplexers than for those based on asymmetric multiplexers, and while the difference between the optimized and reoptimized values decreases in the former case, for SPSs based on asymmetric multiplexers, this difference increases with decreasing values of V D . The general behavior of the normalized second-order autocorrelation function presented in Figure 8b can also be anticipated: lower detector efficiencies lead to higher values of the normalized second-order autocorrelation function, that is, to a higher multiphoton contribution. In this figure, the data corresponding to SPSs based on OMAXV multiplexers contain breakpoints coinciding with those that can be observed in Figure 8c, which presents the optimal number of multiplexed units N opt against V D . Figure 8c,d show that by decreasing the detector efficiency V D , the optimal input mean photon number λ opt also decreases, while the optimal number of multiplexer units N opt increases. This is due to the fact that a detector characterized by lower efficiency is less capable of distinguishing between single-photon and multiphoton events, and the resulting larger multiphoton noise is reduced by decreasing the mean number of photon pairs and, in parallel, increasing the number of multiplexed units, which increases the probability of single-photon output. As N opt can take only integer values, the functions presented in Figure 8c are piecewise functions. Note that the optimal values of the number of multiplexed units N opt in the reoptimized system for SPSs based on OMAXV multiplexers are higher than those for the optimized OMAXV multiplexer-based SPSs or either optimized or reoptimized asymmetric multiplexer-based SPSs, although for optimized SPSs based on OMAXV multiplexers, the values of N opt are lower than those for any other system. Recall that the optimal numbers of multiplexed units for SPSs based on OMAXV multiplexers were found to be above but close to certain power-of-two numbers [30]; in this case, these numbers are N opt = { 19 , 21 } for the optimized SPSs and N opt = { 37 , 39 , 41 } for the reoptimized SPSs.
Finally, in Table 1 we compare the performance of the proposed reoptimized spatially multiplexed SPS design against other state-of-the-art single-photon sources in terms of the single-photon probability P 1 , the multiphoton noise characterized by the normalized second-order autocorrelation function g ( 2 ) , and system complexity represented by the number of multiplexed units N (where applicable). The first three rows of the table show relevant examples achieved experimentally by quantum-dot SPSs. Rows 4–5 contain examples of the experimental results for temporally multiplexed SPSs. Rows 6–9 show the results of our reoptimization procedure for SPSs based on asymmetric and OMAXV multiplexers for the router transmission coefficients V r = V t = 0.95 , the general transmission coefficient V b = 0.8 , and the detector efficiency V D = 0.9 . These parameters are considered experimentally realizable. The parameters used in our reoptimization procedure for SPSs based on OMAXV multiplexers in row 10 are V r = V t = V b = V D = 0.95 . Finally, row 11 contains the results for reoptimized SPSs based on OMAXV multiplexers for state-of-the-art loss parameters applied previously in this paper: V r = 0.99 , V t = 0.985 , V b = 0.98 , and V D = 0.95 . During the reoptimization procedure, the values of the normalized second-order autocorrelation function g ( 2 ) are reduced to 50% in rows 6–7, 12.5% in rows 8-9, and 25% in rows 10–11 compared to the values obtained from the optimization procedure.
The highest single-photon probability reported for temporally multiplexed single-photon sources is P 1 = 0.667 , as presented in row 5. In this experiment, the resulting multiphoton contribution was considerably high ( g ( 2 ) = 0.269 ). Assuming such multiplexers, a fairly low value of the second-order autocorrelation function is presented in row 4, which is comparable with our results shown in rows 6–7. Note that in these cases, the single-photon probabilities achieved with our reoptimized systems are noticeably higher. The highest single-photon probability achieved with quantum-dot SPSs is shown in row 3. The value of the normalized second-order autocorrelation function in quantum-dot SPSs is g ( 2 ) 0.02 (see rows 1–3) because the multiphoton noise in such experiments is low. Such values of the g ( 2 ) function can also be achieved with reoptimized spatially multiplexed SPSs (c.f. rows 8–11). Note that the single-photon probability depends on the actual values of the loss parameters. For low losses, that is, for high values of the system parameters, the resulting single-photon probabilities for reoptimized spatially multiplexed SPSs can be higher than those for the best-reported quantum-dot SPSs, as presented in rows 10–11. Rows 8–11 also show that to achieve low multiphoton contributions, the input mean photon number λ must be reduced to the range [ 0.03 , 0.11 ] . The system complexity, that is, the reoptimized number of multiplexed units, is generally comparable with the complexity of temporally multiplexed SPSs, except for SPSs based on OMAXV multiplexers characterized by the lowest losses and those based on asymmetric multiplexers shown in row 8.

5. Discussion

Multiplexed single-photon sources realized with optical elements having losses or other imperfections can be optimized by applying the statistical theory introduced in Ref. [15]. This optimization is usually performed to maximize the output single-photon probability and provides the optimal values for the number of multiplexed units in the sources and the input mean photon number, that is, the mean number of photon pairs generated in a multiplexed unit. An optimized source still has finite multiphoton noise; that is, the probability of obtaining two or more photons at the output is non-zero. The multiphoton contribution can be characterized by the normalized second-order autocorrelation function g ( 2 ) . The multiphoton noise originates from the probabilistic nature of the multiplexed heralded sources. In this paper, we have developed a method for decreasing the multiphoton noise, that is, the value of the second-order autocorrelation function. The details of the method have been shown for spatially multiplexed single-photon sources based on minimum-based, maximum-logic output-extended incomplete binary-tree multiplexers and for those based on asymmetric multiplexers. First, we have determined the relations between the single-photon probability and the second-order autocorrelation function for these two systems. Analyzing these relations, we have found that decreasing the autocorrelation function from the value corresponding to the maximal value of the single-photon probability also leads to a decrease in this quantity. However, by fixing the second-order autocorrelation function at a chosen lower value, we have shown that the system can be reoptimized. This means that a constrained optimization can be performed with the aim of finding the optimal values of the input mean photon number and the number of multiplexed units that give the highest achievable single-photon probability. Applying this method, we have demonstrated that the value of the second-order autocorrelation function, that is, the multiphoton contribution, can be considerably reduced, and the accompanying reduction in the single-photon probability can be kept low, especially for multiplexing single-photon sources exhibiting the highest performance. As the function connecting the single-photon probability and the second-order autocorrelation function can be derived for any type of multiplexed system, the proposed method can be applied to every multiplexed single-photon source. We have analyzed the performance of the considered reoptimized systems for certain ranges of the loss parameters and concluded that the reoptimization method can be efficiently applied in all the considered cases. We have also compared the performance of the proposed reoptimized systems to that of quantum-dot SPSs and temporally multiplexed SPSs realized experimentally recently. We have found that the proposed reoptimized spatially multiplexed SPSs can outperform these SPSs for experimentally realizable parameters.

Author Contributions

Conceptualization, P.A. and M.M.; methodology and validation, P.A. and M.M.; investigation and writing—original draft preparation, P.A. and M.M.; writing—review and editing, P.A. and M.M. All authors have read and agreed to the published version of the manuscript.

Funding

This research was supported by the National Research, Development, and Innovation Office, Hungary (“Frontline” Research Excellence Programme Grant No. KKP133827, and Grant Nos. TKP2021-NVA-04 and TKP2021-EGA-17).

Institutional Review Board Statement

Not applicable.

Informed Consent Statement

Not applicable.

Data Availability Statement

Data underlying the results presented in this paper are not publicly available at this time but may be obtained from the authors upon reasonable request.

Conflicts of Interest

The authors declare no conflicts of interest.

References

  1. Eisaman, M.D.; Fan, J.; Migdall, A.; Polyakov, S.V. Invited Review Article: Single-photon sources and detectors. Rev. Sci. Instrum. 2011, 82, 071101. [Google Scholar] [CrossRef] [PubMed]
  2. Meyer-Scott, E.; Silberhorn, C.; Migdall, A. Single-photon sources: Approaching the ideal through multiplexing. Rev. Sci. Instrum. 2020, 91, 041101. [Google Scholar] [CrossRef] [PubMed]
  3. Couteau, C.; Barz, S.; Durt, T.; Gerrits, T.; Huwer, J.; Prevedel, R.; Rarity, J.; Shields, A.; Weihs, G. Applications of single photons to quantum communication and computing. Nat. Rev. Phys. 2023, 5, 326–338. [Google Scholar] [CrossRef]
  4. Pittman, T.B.; Jacobs, B.C.; Franson, J.D. Heralding single photons from pulsed parametric down-conversion. Opt. Commun. 2005, 246, 545–550. [Google Scholar] [CrossRef]
  5. Mosley, P.J.; Lundeen, J.S.; Smith, B.J.; Wasylczyk, P.; U’Ren, A.B.; Silberhorn, C.; Walmsley, I.A. Heralded Generation of Ultrafast Single Photons in Pure Quantum States. Phys. Rev. Lett. 2008, 100, 133601. [Google Scholar] [CrossRef]
  6. Brida, G.; Degiovanni, I.P.; Genovese, M.; Migdall, A.; Piacentini, F.; Polyakov, S.V.; Berchera, I.R. Experimental realization of a low-noise heralded single-photon source. Opt. Express 2011, 19, 1484–1492. [Google Scholar] [CrossRef] [PubMed]
  7. Ramelow, S.; Mech, A.; Giustina, M.; Gröblacher, S.; Wieczorek, W.; Beyer, J.; Lita, A.; Calkins, B.; Gerrits, T.; Nam, S.W.; et al. Highly efficient heralding of entangled single photons. Opt. Express 2013, 21, 6707–6717. [Google Scholar] [CrossRef] [PubMed]
  8. Massaro, M.; Meyer-Scott, E.; Montaut, N.; Herrmann, H.; Silberhorn, C. Improving SPDC single-photon sources via extended heralding and feed-forward control. New J. Phys. 2019, 21, 053038. [Google Scholar] [CrossRef]
  9. Lugani, J.; Francis-Jones, R.J.A.; Boutari, J.; Walmsley, I.A. Spectrally pure single photons at telecommunications wavelengths using commercial birefringent optical fiber. Opt. Express 2020, 28, 5147–5163. [Google Scholar] [CrossRef]
  10. Shukhin, A.A.; Keloth, J.; Hakuta, K.; Kalachev, A.A. Heralded single-photon and correlated-photon-pair generation via spontaneous four-wave mixing in tapered optical fibers. Phys. Rev. A 2020, 101, 053822. [Google Scholar] [CrossRef]
  11. Divochiy, A.; Marsili, F.; Bitauld, D.; Gaggero, A.; Leoni, R.; Mattioli, F.; Korneev, A.; Seleznev, V.; Kaurova, N.; Minaeva, O.; et al. Superconducting nanowire photon-number-resolving detector at telecommunication wavelengths. Nat. Photonics 2008, 2, 302. [Google Scholar] [CrossRef]
  12. Jahanmirinejad, S.; Frucci, G.; Mattioli, F.; Sahin, D.; Gaggero, A.; Leoni, R.; Fiore, A. Photon-number resolving detector based on a series array of superconducting nanowires. Appl. Phys. Lett. 2012, 101, 072602. [Google Scholar] [CrossRef]
  13. Bonneau, D.; Mendoza, G.J.; O’Brien, J.L.; Thompson, M.G. Effect of loss on multiplexed single-photon sources. New J. Phys. 2015, 17, 043057. [Google Scholar] [CrossRef]
  14. Kiyohara, T.; Okamoto, R.; Takeuchi, S. Realization of multiplexing of heralded single photon sources using photon number resolving detectors. Opt. Express 2016, 24, 27288–27297. [Google Scholar] [CrossRef] [PubMed]
  15. Bodog, F.; Mechler, M.; Koniorczyk, M.; Adam, P. Optimization of multiplexed single-photon sources operated with photon-number-resolving detectors. Phys. Rev. A 2020, 102, 013513. [Google Scholar] [CrossRef]
  16. Adam, P.; Bodog, F.; Koniorczyk, M.; Mechler, M. Single-photon sources based on asymmetric spatial multiplexing with optimized inputs. Phys. Rev. A 2022, 105, 063721. [Google Scholar] [CrossRef]
  17. Adam, P.; Bodog, F.; Mechler, M. Spatially multiplexed single-photon sources based on incomplete binary-tree multiplexers. Opt. Express 2022, 30, 6999–7016. [Google Scholar] [CrossRef] [PubMed]
  18. Davis, S.I.; Mueller, A.; Valivarthi, R.; Lauk, N.; Narvaez, L.; Korzh, B.; Beyer, A.D.; Cerri, O.; Colangelo, M.; Berggren, K.K.; et al. Improved Heralded Single-Photon Source with a Photon-Number-Resolving Superconducting Nanowire Detector. Phys. Rev. Appl. 2022, 18, 064007. [Google Scholar] [CrossRef]
  19. Lita, A.E.; Miller, A.J.; Nam, S.W. Counting near-infrared single-photons with 95% efficiency. Opt. Express 2008, 16, 3032–3040. [Google Scholar] [CrossRef]
  20. Fukuda, D.; Fujii, G.; Numata, T.; Amemiya, K.; Yoshizawa, A.; Tsuchida, H.; Fujino, H.; Ishii, H.; Itatani, T.; Inoue, S.; et al. Titanium-based transition-edge photon number resolving detector with 98% detection efficiency with index-matched small-gap fiber coupling. Opt. Express 2011, 19, 870–875. [Google Scholar] [CrossRef]
  21. Cahall, C.; Nicolich, K.L.; Islam, N.T.; Lafyatis, G.P.; Miller, A.J.; Gauthier, D.J.; Kim, J. Multi-photon detection using a conventional superconducting nanowire single-photon detector. Optica 2017, 4, 1534–1535. [Google Scholar] [CrossRef]
  22. Schmidt, M.; von Helversen, M.; López, M.; Gericke, F.; Schlottmann, E.; Heindel, T.; Kück, S.; Reitzenstein, S.; Beyer, J. Photon-Number-Resolving Transition-Edge Sensors for the Metrology of Quantum Light Sources. J. Low Temp. Phys. 2018, 193, 1243–1250. [Google Scholar] [CrossRef]
  23. Fukuda, D. Single-Photon Measurement Techniques with a Superconducting Transition Edge Sensor. IEICE Trans. Electron. 2019, 102, 230–234. [Google Scholar] [CrossRef]
  24. Stasi, L.; Caspar, P.; Brydges, T.; Zbinden, H.; Bussières, F.; Thew, R. High-efficiency photon-number-resolving detector for improving heralded single-photon sources. Quantum Sci. Technol. 2023, 8, 045006. [Google Scholar] [CrossRef]
  25. Migdall, A.L.; Branning, D.; Castelletto, S. Tailoring single-photon and multiphoton probabilities of a single-photon on-demand source. Phys. Rev. A 2002, 66, 053805. [Google Scholar] [CrossRef]
  26. Shapiro, J.H.; Wong, F.N. On-demand single-photon generation using a modular array of parametric downconverters with electro-optic polarization controls. Opt. Lett. 2007, 32, 2698–2700. [Google Scholar] [CrossRef] [PubMed]
  27. Mazzarella, L.; Ticozzi, F.; Sergienko, A.V.; Vallone, G.; Villoresi, P. Asymmetric architecture for heralded single-photon sources. Phys. Rev. A 2013, 88, 023848. [Google Scholar] [CrossRef]
  28. Adam, P.; Mechler, M.; Santa, I.; Koniorczyk, M. Optimization of periodic single-photon sources. Phys. Rev. A 2014, 90, 053834. [Google Scholar] [CrossRef]
  29. Bodog, F.; Adam, P.; Mechler, M.; Santa, I.; Koniorczyk, M. Optimization of periodic single-photon sources based on combined multiplexing. Phys. Rev. A 2016, 94, 033853. [Google Scholar] [CrossRef]
  30. Adam, P.; Mechler, M. Single-photon sources based on incomplete binary-tree multiplexers with optimal structure. Opt. Express 2023, 31, 30194–30211. [Google Scholar] [CrossRef]
  31. Mower, J.; Englund, D. Efficient generation of single and entangled photons on a silicon photonic integrated chip. Phys. Rev. A 2011, 84, 052326. [Google Scholar] [CrossRef]
  32. Schmiegelow, C.T.; Larotonda, M.A. Multiplexing photons with a binary division strategy. Appl. Phys. B 2014, 116, 447–454. [Google Scholar] [CrossRef]
  33. Rohde, P.P.; Helt, L.G.; Steel, M.J.; Gilchrist, A. Multiplexed single-photon-state preparation using a fiber-loop architecture. Phys. Rev. A 2015, 92, 053829. [Google Scholar] [CrossRef]
  34. Heuck, M.; Pant, M.; Englund, D.R. Temporally and spectrally multiplexed single photon source using quantum feedback control for scalable photonic quantum technologies. New J. Phys. 2018, 20, 063046. [Google Scholar] [CrossRef]
  35. Lee, E.; Lee, S.M.; Park, H.S. Relative time multiplexing of heralded telecom-band single-photon sources using switchable optical fiber delays. Opt. Express 2019, 27, 24545–24555. [Google Scholar] [CrossRef] [PubMed]
  36. Magnoni, A.G.; López Grande, I.H.; Knoll, L.T.; Larotonda, M.A. Performance of a temporally multiplexed single-photon source with imperfect devices. Quantum Inf. Process. 2019, 18, 311. [Google Scholar] [CrossRef]
  37. Glebov, B.L.; Fan, J.; Migdall, A. Deterministic generation of single photons via multiplexing repetitive parametric downconversions. Appl. Phys. Lett. 2013, 103, 031115. [Google Scholar] [CrossRef]
  38. Mendoza, G.J.; Santagati, R.; Munns, J.; Hemsley, E.; Piekarek, M.; Martín-López, E.; Marshall, G.D.; Bonneau, D.; Thompson, M.G.; O’Brien, J.L. Active temporal and spatial multiplexing of photons. Optica 2016, 3, 127–132. [Google Scholar] [CrossRef]
  39. Joshi, C.; Farsi, A.; Clemmen, S.; Ramelow, S.; Gaeta, A.L. Frequency multiplexing for quasi-deterministic heralded single-photon sources. Nat. Commun. 2018, 9, 847. [Google Scholar] [CrossRef]
  40. Heuck, M.; Koefoed, J.G.; Christensen, J.B.; Ding, Y.; Frandsen, L.H.; Rottwitt, K.; Oxenløwe, L.K. Unidirectional frequency conversion in microring resonators for on-chip frequency-multiplexed single-photon sources. New J. Phys. 2019, 21, 033037. [Google Scholar] [CrossRef]
  41. Hiemstra, T.; Parker, T.; Humphreys, P.; Tiedau, J.; Beck, M.; Karpiński, M.; Smith, B.; Eckstein, A.; Kolthammer, W.; Walmsley, I. Pure single photons from scalable frequency multiplexing. Phys. Rev. Appl. 2020, 14, 014052. [Google Scholar] [CrossRef]
  42. Yu, H.; Yuan, C.; Zhang, R.; Zhang, Z.; Li, H.; Wang, Y.; Deng, G.; You, L.; Song, H.; Wang, Z.; et al. Spectrally multiplexed indistinguishable single-photon generation at telecom-band. Photon. Res. 2022, 10, 1417–1429. [Google Scholar] [CrossRef]
  43. Pittman, T.B.; Jacobs, B.C.; Franson, J.D. Single photons on pseudodemand from stored parametric down-conversion. Phys. Rev. A 2002, 66, 042303. [Google Scholar] [CrossRef]
  44. Jeffrey, E.; Peters, N.A.; Kwiat, P.G. Towards a periodic deterministic source of arbitrary single-photon states. New J. Phys. 2004, 6, 100. [Google Scholar] [CrossRef]
  45. Ma, X.s.; Zotter, S.; Kofler, J.; Jennewein, T.; Zeilinger, A. Experimental generation of single photons via active multiplexing. Phys. Rev. A 2011, 83, 043814. [Google Scholar] [CrossRef]
  46. Xiong, C.; Vo, T.D.; Collins, M.J.; Li, J.; Krauss, T.F.; Steel, M.J.; Clark, A.S.; Eggleton, B.J. Bidirectional multiplexing of heralded single photons from a silicon chip. Opt. Lett. 2013, 38, 5176–5179. [Google Scholar] [CrossRef] [PubMed]
  47. Collins, M.J.; Xiong, C.; Rey, I.H.; Vo, T.D.; He, J.; Shahnia, S.; Reardon, C.; Krauss, T.F.; Steel, M.J.; Clark, A.S.; et al. Integrated spatial multiplexing of heralded single-photon sources. Nat. Commun. 2013, 4, 2582. [Google Scholar] [CrossRef] [PubMed]
  48. Meany, T.; Ngah, L.A.; Collins, M.J.; Clark, A.S.; Williams, R.J.; Eggleton, B.J.; Steel, M.J.; Withford, M.J.; Alibart, O.; Tanzilli, S. Hybrid photonic circuit for multiplexed heralded single photons. Laser Photonics Rev. 2014, 8, L42–L46. [Google Scholar] [CrossRef]
  49. Kaneda, F.; Christensen, B.G.; Wong, J.J.; Park, H.S.; McCusker, K.T.; Kwiat, P.G. Time-multiplexed heralded single-photon source. Optica 2015, 2, 1010–1013. [Google Scholar] [CrossRef]
  50. Francis-Jones, R.J.A.; Hoggarth, R.A.; Mosley, P.J. All-fiber multiplexed source of high-purity single photons. Optica 2016, 3, 1270–1273. [Google Scholar] [CrossRef]
  51. Xiong, C.; Zhang, X.; Liu, Z.; Collins, M.J.; Mahendra, A.; Helt, L.G.; Steel, M.J.; Choi, D.Y.; Chae, C.J.; Leong, P.H.W.; et al. Active temporal multiplexing of indistinguishable heralded single photons. Nat. Commun. 2016, 7, 10853. [Google Scholar] [CrossRef] [PubMed]
  52. Hoggarth, R.A.; Francis-Jones, R.J.A.; Mosley, P.J. Resource-efficient fibre-integrated temporal multiplexing of heralded single photons. J. Opt. 2017, 19, 125503. [Google Scholar] [CrossRef]
  53. Kaneda, F.; Kwiat, P.G. High-efficiency single-photon generation via large-scale active time multiplexing. Sci. Adv. 2019, 5, eaaw8586. [Google Scholar] [CrossRef]
  54. Keiser, G.E. A Review of WDM Technology and Applications. Opt. Fiber Technol. 1999, 5, 3–39. [Google Scholar] [CrossRef]
  55. Menahem, J.; Malka, D. A Two-Channel Silicon Nitride Multimode Interference Coupler with Low Back Reflection. Appl. Sci. 2022, 12, 11812. [Google Scholar] [CrossRef]
  56. Moskalev, D.; Kozlov, A.; Salgaeva, U.; Krishtop, V.; Perminov, A.V.; Venediktov, V. A Semi-Analytical Method for the S-Parameter Calculations of an N × M Multimode Interference Coupler. Photonics 2023, 10, 1260. [Google Scholar] [CrossRef]
  57. Isakov, O.; Frishman, A.; Malka, D. Data Center Four-Channel Multimode Interference Multiplexer Using Silicon Nitride Technology. Nanomaterials 2024, 14, 486. [Google Scholar] [CrossRef] [PubMed]
  58. Ai, X.; Zhang, Y.; Hsu, W.L.; Veilleux, S.; Dagenais, M. Broadband 2 × 2 multimode-interference coupler on the silicon-nitride platform. Opt. Express 2024, 32, 9405–9419. [Google Scholar] [CrossRef] [PubMed]
  59. Sahu, P.P. Multimode interference coupler based on general interference for integrated optical and quantum optic devices: A review. Phys. Scr. 2024, 99, 085106. [Google Scholar] [CrossRef]
  60. Nagai, S.; Morishima, G.; Inayoshi, H.; Utaka, K. Multimode interference photonic switches (MIPS). J. Light. Technol. 2002, 20, 675–681. [Google Scholar] [CrossRef]
  61. Xiao, H.; Deng, L.; Zhao, G.; Liu, Z.; Meng, Y.; Guo, X.; Liu, G.; Liu, S.; Ding, J.; Tian, Y. Optical mode switch based on multimode interference couplers. J. Opt. 2016, 19, 025802. [Google Scholar] [CrossRef]
  62. Adam, P.; Mechler, M. Single-photon sources based on incomplete binary-tree multiplexers with optimized inputs. Phys. Lett. A 2024, 503, 129416. [Google Scholar] [CrossRef]
  63. Avenhaus, M.; Coldenstrodt-Ronge, H.B.; Laiho, K.; Mauerer, W.; Walmsley, I.A.; Silberhorn, C. Photon Number Statistics of Multimode Parametric Down-Conversion. Phys. Rev. Lett. 2008, 101, 053601. [Google Scholar] [CrossRef] [PubMed]
  64. Mauerer, W.; Avenhaus, M.; Helwig, W.; Silberhorn, C. How colors influence numbers: Photon statistics of parametric down-conversion. Phys. Rev. A 2009, 80, 053815. [Google Scholar] [CrossRef]
  65. Takesue, H.; Shimizu, K. Effects of multiple pairs on visibility measurements of entangled photons generated by spontaneous parametric processes. Opt. Commun. 2010, 283, 276–287. [Google Scholar] [CrossRef]
  66. Almeida, Á.J.; Silva, N.A.; André, P.S.; Pinto, A.N. Four-wave mixing: Photon statistics and the impact on a co-propagating quantum signal. Opt. Commun. 2012, 285, 2956–2960. [Google Scholar] [CrossRef]
  67. Harder, G.; Bartley, T.J.; Lita, A.E.; Nam, S.W.; Gerrits, T.; Silberhorn, C. Single-mode parametric-down-conversion states with 50 photons as a source for mesoscopic quantum optics. Phys. Rev. Lett. 2016, 116, 143601. [Google Scholar] [CrossRef] [PubMed]
  68. Adam, P.; Mechler, M. Single-photon sources based on stepwise optimized binary-tree multiplexers. Opt. Express 2024, 32, 17173–17188. [Google Scholar] [CrossRef]
  69. Peters, N.A.; Arnold, K.J.; VanDevender, A.P.; Jeffrey, E.R.; Rangarajan, R.; Hosten, O.; Barreiro, J.T.; Altepeter, J.B.; Kwiat, P.G. Toward a quasi-deterministic single-photon source. In Proceedings of the Quantum Communications and Quantum Imaging IV, San Diego, CA, USA, 13–17 August 2006; Meyers, R.E., Shih, Y., Deacon, K.S., Eds.; International Society for Optics and Photonics, SPIE: Bellingham, WA, USA, 2006; Volume 6305, pp. 35–43. [Google Scholar]
  70. Chang, J.; Los, J.W.N.; Tenorio-Pearl, J.O.; Noordzij, N.; Gourgues, R.; Guardiani, A.; Zichi, J.R.; Pereira, S.F.; Urbach, H.P.; Zwiller, V.; et al. Detecting telecom single photons with ( 99.5 2.07 + 0.5 )% system detection efficiency and high time resolution. APL Photonics 2021, 6, 036114. [Google Scholar] [CrossRef]
  71. Loredo, J.C.; Zakaria, N.A.; Somaschi, N.; Anton, C.; de Santis, L.; Giesz, V.; Grange, T.; Broome, M.A.; Gazzano, O.; Coppola, G.; et al. Scalable performance in solid-state single-photon sources. Optica 2016, 3, 433–440. [Google Scholar] [CrossRef]
  72. Wang, H.; He, Y.; Li, Y.H.; Su, Z.E.; Li, B.; Huang, H.L.; Ding, X.; Chen, M.C.; Liu, C.; Qin, J.; et al. High-efficiency multiphoton boson sampling. Nat. Photonics 2017, 11, 361–365. [Google Scholar] [CrossRef]
  73. Tomm, N.; Javadi, A.; Antoniadis, N.O.; Najer, D.; Löbl, M.C.; Korsch, A.R.; Schott, R.; Valentin, S.R.; Wieck, A.D.; Ludwig, A.; et al. A bright and fast source of coherent single photons. Nat. Nanotechnol. 2021, 16, 399–403. [Google Scholar] [CrossRef] [PubMed]
Figure 1. Schematic figures of SPSs based on (a) asymmetric multiplexers and (b) OMAXV multiplexers. MUis denote multiplexed units and PRis denote 2-to-1 photon routers. The numbering of the PRs reflects the order in which they are added to the multiplexer.
Figure 1. Schematic figures of SPSs based on (a) asymmetric multiplexers and (b) OMAXV multiplexers. MUis denote multiplexed units and PRis denote 2-to-1 photon routers. The numbering of the PRs reflects the order in which they are added to the multiplexer.
Photonics 11 00728 g001
Figure 2. The single-photon probabilities (a) P 1 asym and (c) P 1 omaxv , as well as the normalized second-order autocorrelation functions (b) g asym ( 2 ) and (d) g omaxv ( 2 ) , for SPSs based on asymmetric and OMAXV multiplexers as functions of the input mean photon number λ for the router transmission coefficients V r = 0.99 and V t = 0.985 , the detector efficiency V D = 0.95 , the general transmission coefficient V b = 0.98 , and for various values of the number of multiplexed units N. The green dashed lines indicate the results of the original optimization.
Figure 2. The single-photon probabilities (a) P 1 asym and (c) P 1 omaxv , as well as the normalized second-order autocorrelation functions (b) g asym ( 2 ) and (d) g omaxv ( 2 ) , for SPSs based on asymmetric and OMAXV multiplexers as functions of the input mean photon number λ for the router transmission coefficients V r = 0.99 and V t = 0.985 , the detector efficiency V D = 0.95 , the general transmission coefficient V b = 0.98 , and for various values of the number of multiplexed units N. The green dashed lines indicate the results of the original optimization.
Photonics 11 00728 g002
Figure 3. (a) The single-photon probability P 1 asym against the normalized second-order autocorrelation function g asym ( 2 ) for SPSs based on asymmetric multiplexers, and (b) the single-photon probability P 1 omaxv against the normalized second-order autocorrelation function g omaxv ( 2 ) for SPSs based on OMAXV multiplexers for the router transmission coefficients V r = 0.99 and V t = 0.985 , the detector efficiency V D = 0.95 , the general transmission coefficient V b = 0.98 , and for various values of the number of multiplexed units N. The green continuous curves correspond to the optimal values of the number of multiplexed units N opt . The green dashed lines show the values of the second-order autocorrelation function g asym ( 2 ) = 0.0609 and g omaxv ( 2 ) = 0.039 corresponding to the maximum value of the single-photon probability P 1 , max obtained from the optimization procedure. The orange dashed lines represent the chosen values g ( 2 ) = g ( 2 ) / 2 . The corresponding new maximal single-photon probabilities are (a) P 1 , max asym = 0.890 , and (b) P 1 , max omaxv = 0.911 .
Figure 3. (a) The single-photon probability P 1 asym against the normalized second-order autocorrelation function g asym ( 2 ) for SPSs based on asymmetric multiplexers, and (b) the single-photon probability P 1 omaxv against the normalized second-order autocorrelation function g omaxv ( 2 ) for SPSs based on OMAXV multiplexers for the router transmission coefficients V r = 0.99 and V t = 0.985 , the detector efficiency V D = 0.95 , the general transmission coefficient V b = 0.98 , and for various values of the number of multiplexed units N. The green continuous curves correspond to the optimal values of the number of multiplexed units N opt . The green dashed lines show the values of the second-order autocorrelation function g asym ( 2 ) = 0.0609 and g omaxv ( 2 ) = 0.039 corresponding to the maximum value of the single-photon probability P 1 , max obtained from the optimization procedure. The orange dashed lines represent the chosen values g ( 2 ) = g ( 2 ) / 2 . The corresponding new maximal single-photon probabilities are (a) P 1 , max asym = 0.890 , and (b) P 1 , max omaxv = 0.911 .
Photonics 11 00728 g003
Figure 4. (a) The maximal single-photon probability P 1 , max , (b) the normalized second-order autocorrelation function g ( 2 ) , (c) the optimal number of multiplexed units N opt , and (d) the optimal input mean photon number λ opt for SPSs based on asymmetric multiplexers as functions of the transmission coefficients V t and V r for the detector efficiency V D = 0.95 and the general transmission coefficient V b = 0.98 .
Figure 4. (a) The maximal single-photon probability P 1 , max , (b) the normalized second-order autocorrelation function g ( 2 ) , (c) the optimal number of multiplexed units N opt , and (d) the optimal input mean photon number λ opt for SPSs based on asymmetric multiplexers as functions of the transmission coefficients V t and V r for the detector efficiency V D = 0.95 and the general transmission coefficient V b = 0.98 .
Photonics 11 00728 g004
Figure 5. (a) The maximal single-photon probability P 1 , max , (b) the second-order autocorrelation function g ( 2 ) , (c) the optimal number of multiplexed units N opt , and (d) the optimal input mean photon number λ opt for SPSs based on OMAXV multiplexers as functions of the transmission coefficients V t and V r for the detector efficiency V D = 0.95 and the general transmission coefficient V b = 0.98 .
Figure 5. (a) The maximal single-photon probability P 1 , max , (b) the second-order autocorrelation function g ( 2 ) , (c) the optimal number of multiplexed units N opt , and (d) the optimal input mean photon number λ opt for SPSs based on OMAXV multiplexers as functions of the transmission coefficients V t and V r for the detector efficiency V D = 0.95 and the general transmission coefficient V b = 0.98 .
Photonics 11 00728 g005
Figure 6. (a) The difference Δ λ = λ opt λ opt between the reoptimized and the optimal input mean photon numbers λ opt and λ opt , (b) the relative difference Δ λ / λ opt comparing the reoptimized and the optimal input mean photon numbers λ opt and λ opt , (c) the difference Δ N = N opt N opt between the reoptimized and the optimal numbers of multiplexed units N opt and N opt , and (d) the difference Δ P = P 1 , max P 1 , max between the corresponding maximal single-photon probabilities P 1 , max and P 1 , max for SPSs based on asymmetric multiplexers as functions of the transmission coefficients V t and V r for the detector efficiency V D = 0.95 and the general transmission coefficient V b = 0.98 . The reoptimization was performed for a 50% reduced normalized second-order autocorrelation function g ( 2 ) compared to the value g ( 2 ) obtained from the original optimization.
Figure 6. (a) The difference Δ λ = λ opt λ opt between the reoptimized and the optimal input mean photon numbers λ opt and λ opt , (b) the relative difference Δ λ / λ opt comparing the reoptimized and the optimal input mean photon numbers λ opt and λ opt , (c) the difference Δ N = N opt N opt between the reoptimized and the optimal numbers of multiplexed units N opt and N opt , and (d) the difference Δ P = P 1 , max P 1 , max between the corresponding maximal single-photon probabilities P 1 , max and P 1 , max for SPSs based on asymmetric multiplexers as functions of the transmission coefficients V t and V r for the detector efficiency V D = 0.95 and the general transmission coefficient V b = 0.98 . The reoptimization was performed for a 50% reduced normalized second-order autocorrelation function g ( 2 ) compared to the value g ( 2 ) obtained from the original optimization.
Photonics 11 00728 g006
Figure 7. (a) The difference Δ λ = λ opt λ opt between the reoptimized and the optimal input mean photon numbers λ opt and λ opt , (b) the relative difference Δ λ / λ opt comparing the reoptimized and optimal input mean photon numbers λ opt and λ opt , (c) the difference Δ N = N opt N opt between the reoptimized and the optimal numbers of multiplexed units N opt and N opt , and (d) the difference Δ P = P 1 , max P 1 , max between the corresponding maximal single-photon probabilities P 1 , max and P 1 , max for SPSs based on OMAXV multiplexers as functions of the transmission coefficients V t and V r for the detector efficiency V D = 0.95 and the general transmission coefficient V b = 0.98 . The reoptimization was performed for a 50% reduced normalized second-order autocorrelation function g ( 2 ) compared to the value g ( 2 ) obtained from the original optimization.
Figure 7. (a) The difference Δ λ = λ opt λ opt between the reoptimized and the optimal input mean photon numbers λ opt and λ opt , (b) the relative difference Δ λ / λ opt comparing the reoptimized and optimal input mean photon numbers λ opt and λ opt , (c) the difference Δ N = N opt N opt between the reoptimized and the optimal numbers of multiplexed units N opt and N opt , and (d) the difference Δ P = P 1 , max P 1 , max between the corresponding maximal single-photon probabilities P 1 , max and P 1 , max for SPSs based on OMAXV multiplexers as functions of the transmission coefficients V t and V r for the detector efficiency V D = 0.95 and the general transmission coefficient V b = 0.98 . The reoptimization was performed for a 50% reduced normalized second-order autocorrelation function g ( 2 ) compared to the value g ( 2 ) obtained from the original optimization.
Photonics 11 00728 g007
Figure 8. (a) The maximal single-photon probability P 1 , max , (b) the normalized second-order autocorrelation function g ( 2 ) , (c) the optimal number of multiplexed units N opt , and (d) the optimal input mean photon number λ opt of SPSs based on asymmetric and OMAXV multiplexers after the optimization and reoptimization as functions of the detector efficiency V D for the general transmission coefficient V b = 0.8 and the router transmission coefficients V r = 0.95 and V t = 0.95 .
Figure 8. (a) The maximal single-photon probability P 1 , max , (b) the normalized second-order autocorrelation function g ( 2 ) , (c) the optimal number of multiplexed units N opt , and (d) the optimal input mean photon number λ opt of SPSs based on asymmetric and OMAXV multiplexers after the optimization and reoptimization as functions of the detector efficiency V D for the general transmission coefficient V b = 0.8 and the router transmission coefficients V r = 0.95 and V t = 0.95 .
Photonics 11 00728 g008
Table 1. Comparison of the performances of different realizations of single-photon sources. Data are presented on the output single-photon probability P 1 , the normalized second-order autocorrelation function g ( 2 ) , the number of multiplexed units N, and the input mean photon number λ . In rows 6-9, the results were obtained for the router transmission coefficients V r = V t = 0.95 , the general transmission coefficient V b = 0.8 , and the detector efficiency V D = 0.9 . In row 10, these parameters are V r = 0.95 , V t = 0.95 , V b = 0.95 , and V D = 0.95 , while in row 11, they are V r = 0.99 , V t = 0.985 , V b = 0.98 , and V D = 0.95 . During the reoptimization procedure, the value of the normalized second-order autocorrelation function g ( 2 ) was reduced to 50% in rows 6–7, 12.5% in rows 8–9, and 25% in rows 10 and 11.
Table 1. Comparison of the performances of different realizations of single-photon sources. Data are presented on the output single-photon probability P 1 , the normalized second-order autocorrelation function g ( 2 ) , the number of multiplexed units N, and the input mean photon number λ . In rows 6-9, the results were obtained for the router transmission coefficients V r = V t = 0.95 , the general transmission coefficient V b = 0.8 , and the detector efficiency V D = 0.9 . In row 10, these parameters are V r = 0.95 , V t = 0.95 , V b = 0.95 , and V D = 0.95 , while in row 11, they are V r = 0.99 , V t = 0.985 , V b = 0.98 , and V D = 0.95 . During the reoptimization procedure, the value of the normalized second-order autocorrelation function g ( 2 ) was reduced to 50% in rows 6–7, 12.5% in rows 8–9, and 25% in rows 10 and 11.
System P 1 g ( 2 ) N λ
1Quantum dot [71]0.140.013N.A.N.A.
2Quantum dot [72]0.3370.027N.A.N.A.
3Quantum dot [73]0.570.021N.A.N.A.
4Temporal [53]0.4120.089400.05
5Temporal [53]0.6670.269400.18
6ASYM0.6580.085320.261
7OMAXV0.6980.067390.205
8ASYM0.3030.021850.031
9OMAXV0.4080.017410.026
10OMAXV0.7070.021370.111
11OMAXV0.8780.01770.05
Disclaimer/Publisher’s Note: The statements, opinions and data contained in all publications are solely those of the individual author(s) and contributor(s) and not of MDPI and/or the editor(s). MDPI and/or the editor(s) disclaim responsibility for any injury to people or property resulting from any ideas, methods, instructions or products referred to in the content.

Share and Cite

MDPI and ACS Style

Adam, P.; Mechler, M. Reducing Multiphoton Noise in Multiplexed Single-Photon Sources. Photonics 2024, 11, 728. https://doi.org/10.3390/photonics11080728

AMA Style

Adam P, Mechler M. Reducing Multiphoton Noise in Multiplexed Single-Photon Sources. Photonics. 2024; 11(8):728. https://doi.org/10.3390/photonics11080728

Chicago/Turabian Style

Adam, Peter, and Matyas Mechler. 2024. "Reducing Multiphoton Noise in Multiplexed Single-Photon Sources" Photonics 11, no. 8: 728. https://doi.org/10.3390/photonics11080728

APA Style

Adam, P., & Mechler, M. (2024). Reducing Multiphoton Noise in Multiplexed Single-Photon Sources. Photonics, 11(8), 728. https://doi.org/10.3390/photonics11080728

Note that from the first issue of 2016, this journal uses article numbers instead of page numbers. See further details here.

Article Metrics

Back to TopTop