Divergent Effects of Biochar Versus Straw Application on Soil Moisture and Temperature Dynamics During Maize Growth
Abstract
1. Introduction
2. Materials and Methods
2.1. Study Site Description
2.2. Experimental Design
2.3. Sampling and Analysis
2.3.1. Soil Moisture and Temperature Monitoring
2.3.2. Soil Evaporation Rate
2.3.3. Determination of Soil Physical Properties
2.3.4. Determination of Soil Nutrient Contents
2.3.5. Maize Dry Matter Accumulation and Yield
2.4. Data Processing and Statistical Analysis
3. Results
3.1. Effects of Different Treatments on Soil Moisture
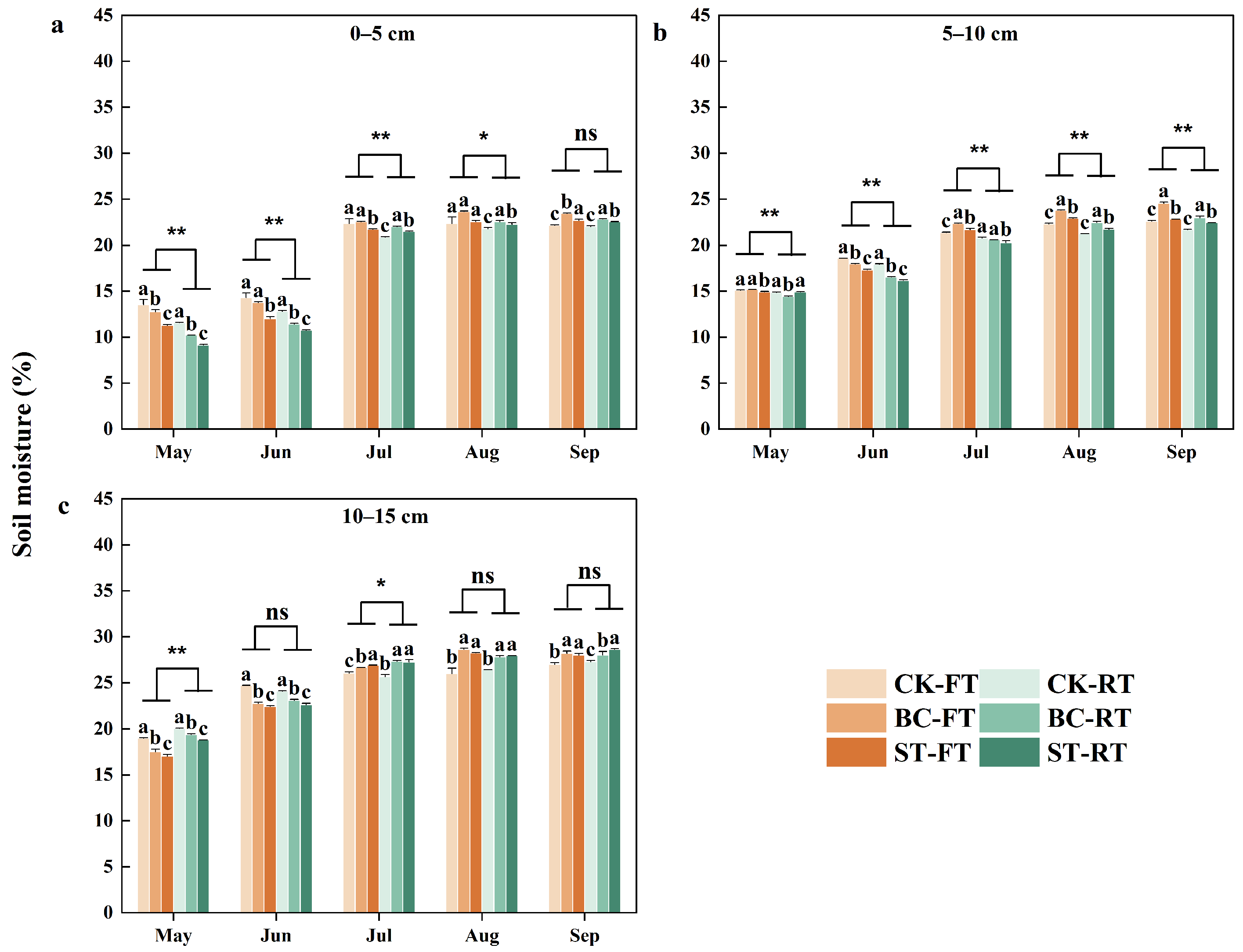
3.1.1. Temporal Variation in Soil Moisture
3.1.2. Soil Water Storage
3.1.3. Soil Evaporation
3.1.4. Temporal Changes in Soil Temperature
3.2. Effect of Different Treatments on Nutrient Content
3.2.1. Soil Total C and Total N
3.2.2. Soil NH4+-N and NO3−-N Content
3.3. The Impact of Different Treatments on Soil Bulk Density and Porosity Distribution
3.3.1. Soil Bulk Density
3.3.2. Soil Porosity Distribution
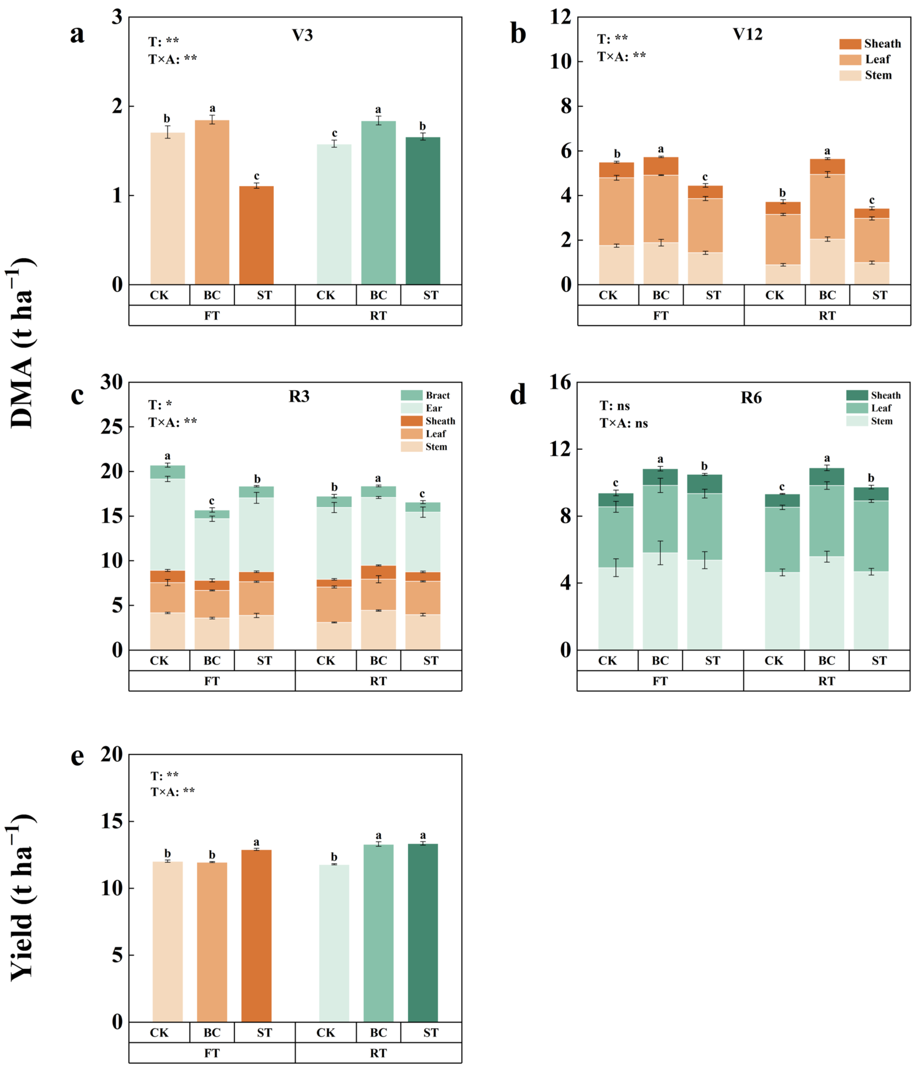
3.4. Effects of Different Treatments on Maize Dry Matter Accumulation and Maize Yield
4. Discussion
4.1. Effects of Straw and Biochar Application on Soil Moisture
4.2. Effects of Straw and Biochar Application on Soil Temperature
4.3. The Relationship Between Soil Structure, Soil Hydrothermal Characteristics, and Maize Dry Matter Accumulation
5. Conclusions
Supplementary Materials
Author Contributions
Funding
Data Availability Statement
Acknowledgments
Conflicts of Interest
References
- Han, X.; Li, N. Research progress of black soil in Northeast China. Sci. Geogr. Sin. 2018, 38, 1032–1041. [Google Scholar] [CrossRef]
- Li, R.; Hu, W.; Jia, Z.; Liu, H.; Zhang, C.; Huang, B.; Yang, S.; Zhao, Y.; Zhao, Y.; Shukla, M.K.; et al. Soil degradation: A global threat to sustainable use of black soils. Pedosphere 2025, 35, 264–279. [Google Scholar] [CrossRef]
- Xu, Y.; Pei, J.; Li, S.; Zou, H.; Wang, J.; Zhang, J. Main characteristics and utilization countermeasures for black soils in different regions of Northeast China. Chin. J. Soil Sci. 2023, 54, 495–504. [Google Scholar] [CrossRef]
- Wang, J.; Xu, X.; Pei, J.; Li, S. Current situations of black soil quality and facing opportunities and challenges in northeast China. Chin. J. Soil Sci. 2021, 52, 695–701. [Google Scholar] [CrossRef]
- Wang, K.; Xu, J.; Zhu, L.; Qian, Y.; Zhang, J.; Chen, P.; Liao, L.; Fan, J. Recycling Agricultural Residues as Straw and Hydrochar for Improved Soil Carbon Management Under Contrasting Irrigation Conditions. Agronomy 2025, 15, 2686. [Google Scholar] [CrossRef]
- Patel, M.R.; Panwar, N.L. Biochar from agricultural crop residues: Environmental, production, and life cycle assessment overview. Resour. Conserv. Recycl. Adv. 2023, 19, 200173. [Google Scholar] [CrossRef]
- Xie, N.; Fan, Y.; Duan, N.; Yang, L.; Radosevich, M.; Zhang, Y.; Wang, Y.; Wang, J.; Liang, X. Interactive effects of straw and biochar amendments on soil organic carbon stabilization and bacterial community dynamics. Biol. Fertil. Soils 2025, 61, 1423–1437. [Google Scholar] [CrossRef]
- Liu, Z.; He, T.; Cao, T.; Yang, T.; Meng, J.; Chen, W. Effects of biochar application on nitrogen leaching, ammonia volatilization and nitrogen use efficiency in two distinct soils. J. Soil Sci. Plant Nutr. 2017, 17, 515–528. [Google Scholar] [CrossRef]
- Li, R.; Luo, Y.; Sui, P.; Zheng, H.; Ming, B.; Li, S.; Wang, H.; Zheng, J. Short-term effect of different returning methods of maize straw on the temperature of black soil plough layer. Chin. J. Appl. Ecol. 2023, 34, 2693–2702. [Google Scholar] [CrossRef]
- Wang, N.; Zhang, T. Soil pore structure and its research methods: A review. Soil Water Res. 2024, 19, 1–24. [Google Scholar] [CrossRef]
- Yang, Q.; Gao, S.; Zhang, H.; Xu, J. Effects of straw mulching on soil, moisture and temperature. Chin. Agric. Sci. Bull. 2024, 40, 80–85. [Google Scholar] [CrossRef]
- Wang, J.; Sun, C.; Zhang, Y.; Xiao, J.; Ma, Y.; Jiang, J.; Jiang, Z.; Zhang, L. Straw return rearranges soil pore structure improving soil moisture memory in a maize field experiment under rainfed conditions. Agric. Water Manag. 2024, 306, 109164. [Google Scholar] [CrossRef]
- Liu, Y. The Effect of Straw Mulching and Tillage on Soil Water Heating Conditions and Soybean Products. Master’s Thesis, Northeast Agricultural University, Harbin, China, 2018. [Google Scholar] [CrossRef]
- Zhang, X.; Li, L.; Zhang, G.; Jiu, A.; Chen, C.; Zhou, J.; Li, F.-M. Straw burial increased wheat yield by decreasing soil moisture levels in a lower Yangtze River field. Field Crops Res. 2025, 331, 110006. [Google Scholar] [CrossRef]
- Xing, S.; Zhang, G.; Zhang, N.; Zhang, Y.; Zhang, Y. Effects of straw returning methods on seasonal variation in soil moisture and water storage in Mollisols with different degradation degrees. Agric. Water Manag. 2025, 319, 109796. [Google Scholar] [CrossRef]
- Fu, Q.; Chen, X.; Li, T.; Hou, R. Effects of biochar and straw on transport of water, heat and salt in freeze-thawed soil in farmland. Trans. Chin. Soc. Agric. Mach. 2025, 56, 501–511. [Google Scholar] [CrossRef]
- He Peng Li, L.; Dai, S.; Guo, X.; Nie, M.; Yang, X.; Kuzyakov, Y. Straw addition and low soil moisture decreased temperature sensitivity and activation energy of soil organic matter. Geoderma 2024, 442, 116802. [Google Scholar] [CrossRef]
- Wang, F.; Zhou, R.; Gao, J.; Wang, Z.; Cheng, Z.; Hao, Q.; Zhang, R.; Wang, Z. Effects of straw returning methods on soil water and heat and seeding growth and yield of spring maize in eastern region of Inner Mongolia. Crops 2024, 40, 223–231. Available online: http://zwzz.chinacrops.org/EN/10.16035/j.issn.1001-7283.2024.04.029 (accessed on 15 September 2023).
- Zhang, Y.; Wang, J.; Feng, Y. The effects of biochar addition on soil physicochemical properties: A review. Catena 2021, 202, 105284. [Google Scholar] [CrossRef]
- Akhtar, K.; Wang, W.; Khan, A.; Ren, G.; Afridi, M.Z.; Feng, Y.; Yang, G. Wheat straw mulching offset soil moisture deficient for improving physiological and growth performance of summer sown soybean. Agric. Water Manag. 2019, 211, 16–25. [Google Scholar] [CrossRef]
- Li, S.; Zhang, Y.; Yan, W.; Shangguan, Z. Effect of biochar application method on nitrogen leaching and hydraulic conductivity in a silty clay soil. Soil Till. Res. 2018, 183, 100–108. [Google Scholar] [CrossRef]
- Liang, J.; Li, Y.; Si, B.; Wang, Y.; Chen, X.; Wang, X.; Chen, H.; Wang, H.; Zhang, F.; Bai, Y.; et al. Optimizing biochar application to improve soil physical and hydraulic properties in saline-alkali soils. Sci. Total Environ. 2021, 771, 144802. [Google Scholar] [CrossRef] [PubMed]
- Razzaghi, F.; Obour, P.B.; Arthur, E. Does biochar improve soil water retention? A systematic review and meta-analysis. Geoderma 2020, 361, 114055. [Google Scholar] [CrossRef]
- Feng, W.; Wang, T.; Yang, F.; Cen, R.; Liao, H.; Qu, Z. Effects of biochar on soil evaporation and moisture content and the associated mechanisms. Environ. Sci. Eur. 2023, 35, 66. [Google Scholar] [CrossRef]
- Usowicz, B.; Lipiec, J.; Łukowski, M.; Marczewski, W.; Usowicz, J. The effect of biochar application on thermal properties and albedo of loess soil under grassland and fallow. Soil Tillage Res. 2016, 164, 45–51. [Google Scholar] [CrossRef]
- Bozzi, E.; Genesio, L.; Toscano, P.; Pieri, M.; Miglietta, F. Mimicking biochar-albedo feedback in complex Mediterranean agricultural landscapes. Environ. Res. Lett. 2015, 10, 084014. [Google Scholar] [CrossRef]
- Zheng, J.; Sun, Q.; Shi, C.; Su, Z.; Wang, C. The Effect of Soil Mixed with Biochar on Brackish Water Evaporation Characteristics. J. Soil Water Conser. 2023, 37, 294–303. [Google Scholar] [CrossRef]
- National Agricultural Technology Extension Service Center. Specification for Soil Analysis Techniques; China Agricultural Press: Beijing, China, 2006. [Google Scholar]
- Hao, Y.; Mao, J.; Bachmann, C.M.; Hoffman, F.M.; Koren, G.; Chen, H.; Tian, H.; Liu, J.; Tao, J.; Tang, J.; et al. Soil moisture controls over carbon sequestration and greenhouse gas emissions: A review. npj Clim. Atmos. Sci. 2025, 8, 16. [Google Scholar] [CrossRef]
- Yang, Y.; Ding, J.; Zhang, Y.; Wu, J.; Zhang, J.; Pan, X.; Gao, C.; Wang, Y.; He, F. Effects of tillage and mulching measures on soil moisture and temperature, photosynthetic characteristics and yield of winter wheat. Agric. Water Manag. 2018, 201, 299–308. [Google Scholar] [CrossRef]
- Licht, M.A.; Al-Kaisi, M. Strip-tillage effect on seedbed soil temperature and other soil physical properties. Soil Tillage Res. 2005, 80, 233–249. [Google Scholar] [CrossRef]
- Pittelkow, C.M.; Liang, X.; Linquist, B.A.; van Groenigen, K.J.; Lee, J.; Lundy, M.E.; van Gestel, N.; Six, J.; Venterea, R.T.; van Kessel, C. Productivity limits and potentials of the principles of conservation agriculture. Nature 2015, 517, 365–368. [Google Scholar] [CrossRef]
- Jiang, F.; Qian, Y.; Guo, Z.; Gao, L.; Zhang, Z.; Cao, Z.; Guo, J.; Liu, F.; Peng, X. Evaluating the regional suitability of conservation tillage and deep tillage based on crop yield in the black soil of Northeast China: A meta-analysis. Acta. Pedol. Sin. 2022, 59, 935–952. Available online: http://pedologica.issas.ac.cn/trxben/article/abstract/trxb202202220070 (accessed on 27 March 2026).
- Skaalsveen, K.; Ingram, J.; Clarke, L.E. The effect of no-till farming on the soil functions of water purification and retention in north-western Europe: A literature review. Soil Tillage Res. 2019, 189, 98–109. [Google Scholar] [CrossRef]
- Dhanalakshmi, T.D.; Rajichellam, J. Sustainable Soil Management—Principles and Importance. In Soil and Land Use Change; Sustainable Landscape Planning and Natural Resources Management; Parray, J.A., Ed.; Springer: Cham, Switzerland, 2025. [Google Scholar] [CrossRef]
- Bogunović, I.; Hrelja, I.; Kisić, I.; Dugan, I.; Krevh, V.; Defterdarović, J.; Filipović, V.; Filipović, L.; Pereira, P. Straw Mulch Effect on Soil and Water Loss in Different Growth Phases of Maize Sown on Stagnosols in Croatia. Land 2023, 12, 765. [Google Scholar] [CrossRef]
- Wang, X.; Yang, Z.; Liu, X.; Huang, G.; Xiao, W.; Han, L. The composition characteristics of different crop straw types and their multivariate analysis and comparison. Waste Manag. 2020, 110, 87–97. [Google Scholar] [CrossRef] [PubMed]
- Rani, R.; Garg, N. Role of Biochar in Modulating Soil Properties, Plant Productivity and Abiotic Stresses: A Review. J. Soil Sci. Plant Nutr. 2025, 25, 3285–3305. [Google Scholar] [CrossRef]
- Zhang, J.; Chen, Q.; You, C. Biochar effect on water evaporation and hydraulic conductivity in sandy soil. Pedosphere 2016, 26, 265–272. [Google Scholar] [CrossRef]
- Singh, H.; Northup, B.K.; Rice, C.W.; Prasad, P.V.V. Biochar applications influence soil physical and chemical properties, microbial diversity, and crop productivity: A meta-analysis. Biochar 2022, 4, 8. [Google Scholar] [CrossRef]
- Adhikari, S.; Mahmud, M.P.; Nguyen, M.D.; Timms, W. Evaluating fundamental biochar properties in relation to water holding capacity. Chemosphere 2023, 328, 138620. [Google Scholar] [CrossRef]
- Huang, H.; Reddy, N.G.; Huang, X.; Chen, P.; Wang, P.; Zhang, Y.; Huang, Y.; Lin, P.; Garg, A. Effects of pyrolysis temperature, feedstock type and compaction on water retention of biochar amended soil. Sci. Rep. 2021, 11, 7419. [Google Scholar] [CrossRef]
- Ajayi, A.E.; Holthusen, D.; Horn, R. Changes in microstructural behaviour and hydraulic functions of biochar amended soils. Soil Tillage Res. 2016, 155, 166–175. [Google Scholar] [CrossRef]
- Fei, Y.; Liu, Z.; Yi, J.; She, D.; Qiu, W.; Jiang, L.; Liu, M.; Li, S.; Nie, H.; Li, Q.; et al. Biochar application enhances soil water storage in wet periods but intensifies drought conditions during dry periods in red soils. Soil Tillage Res. 2026, 256, 106902. [Google Scholar] [CrossRef]
- Gong, Y.; Gao, Z.; Fu, Q.; Li, J.; Li, T.; Hou, R. Promoting soybean emergence and growth in seasonally frozen soil regions: The regulatory role of biochars on water-soil environment during freeze-thaw cycles. Soil Tillage Res. 2026, 257, 106930. [Google Scholar] [CrossRef]
- Aller, D.; Rathke, S.; Laird, D.; Cruse, R.; Hatfield, J. Impacts of fresh and aged biochars on plant available water and water use efficiency. Geoderma 2017, 307, 114–121. [Google Scholar] [CrossRef]
- Singh, N.; Kumar, S.; Udawatta, R.P.; Anderson, S.H.; de Jonge, L.W.; Katuwal, S. Grassland conversion to croplands impacted soil pore parameters measured via X-ray computed tomography. Soil Sc. Soc. Am. J. 2021, 85, 73–84. [Google Scholar] [CrossRef]
- Zhu, P.; Zhang, G.; Wang, H.; Zhang, B.; Liu, Y. Soil moisture variations in response to precipitation properties and plant communities on steep gully slope on the Loess Plateau. Agric. Water Manag. 2021, 256, 107086. [Google Scholar] [CrossRef]
- Saglam, M.; Sintim, H.Y.; Bary, A.I.; Miles, C.A.; Ghimire, S.; Inglis, D.A.; Flury, M. Modeling the effect of biodegradable paper and plastic mulch on soil moisture dynamics. Agric. Water Manag. 2017, 193, 240–250. [Google Scholar] [CrossRef]
- Saxton, K.E.; Rawls, W.J. Soil water characteristic estimates by texture and organic matter for hydrologic solutions. Soil Sci. Soc. Am. J. 2006, 70, 1569–1578. [Google Scholar] [CrossRef]
- Blanco-Canqui, H. Biochar and soil physical properties. Soil Sci. Soc. Am. J. 2017, 81, 687–711. [Google Scholar] [CrossRef]
- Panda, S. Soil and Water Conservation for Sustainable Resources and Ecosystem Resilience. In The Palgrave Encyclopedia of Sustainable Resources and Ecosystem Resilience; Brears, R., Ed.; Palgrave Macmillan: Cham, Switzerland, 2025. [Google Scholar] [CrossRef]
- Gao, Y. Study on the Regulatory Mechanism of Biochar on Soil Water-Heat, Carbon, and Nitrogen Processes in Seasonal Frozen Soil Regions. Doctoral Dissertation, Northeast Agricultural University, Harbin, China, 2021. [Google Scholar] [CrossRef]
- Zhang, Q.; Wang, Y.; Wu, Y.; Wang, X.; Du, Z.; Liu, X.; Song, J. Effects of biochar amendment on soil thermal conductivity, reflectance, and temperature. Soil Sci. Soc. Am. J. 2013, 77, 1478–1487. [Google Scholar] [CrossRef]
- Chen, J.; Zhang, Y.; Chen, J.; Cheng, F.; Zhang, H. Characteristics of soil temperature and its response to air temperature under different tillage systems—Characteristics of soil temperature and thermal properties. Sci. Agric. Sin. 2009, 42, 2747–2753. [Google Scholar] [CrossRef]
- Kabato, W.; Hailegnaw, N.; Mutum, L.; Molnar, Z. Managing soil health for climate resilience and crop productivity in a changing environment. Sci. Total Environ. 2025, 1000, 180460. [Google Scholar] [CrossRef]
- Lesk, C.; Anderson, W.; Rigden, A.; Coast, O.; Jagermeyr, J.; McDermid, S.; Davis, K.F.; Konar, M. Compound heat and moisture extreme impacts on global crop yields under climate change. Nat. Rev. Earth Environ. 2022, 3, 872–889. [Google Scholar] [CrossRef]
- Li, Q.; Li, H.; Fu, Q.; Li, T.; Liu, D.; Hou, R.; Cui, S.; Ji, Y.; Cai, Y. Effects of different biochar application methods on soybean growth indicator variability in a seasonally frozen soil area. Catena 2020, 185, 104307. [Google Scholar] [CrossRef]
- Geng, S.; Li, L.; Miao, Y.; Zhang, D.; Yang, Q.; Wang, Y. Responses of soil aggregation and aggregate-associated nitrogen to straw return in China: Evidence from a meta-analysis and a pot experiment. Land Degrad. Dev. 2024, 35, 3593–3605. [Google Scholar] [CrossRef]
- Siedt, M.; Schäffer, A.; Smith, K.E.; Nabel, M.; Roß-Nickoll, M.; Van Dongen, J.T. Comparing straw, compost, and biochar regarding their suitability as agricultural soil amendments to affect soil structure, nutrient leaching, microbial communities, and the fate of pesticides. Sci. Total Environ. 2021, 751, 141607. [Google Scholar] [CrossRef]
- Grafmüller, J.; Schmidt, H.P.; Kray, D.; Bucheli, T.D.; Mäurer, H.; Möllmer, J.; Peisert, H.; Hagemann, N. Biochar acidification increased sorption and reduced leaching of nitrate. J. Environ. Manag. 2025, 393, 127224. [Google Scholar] [CrossRef] [PubMed]
- Yao, Y.; Gao, B.; Zhang, M.; Inyang, M.; Zimmerman, A.R. Effect of biochar amendment on sorption and leaching of nitrate, ammonium, and phosphate in a sandy soil. Chemosphere 2012, 89, 1467–1471. [Google Scholar] [CrossRef]










Disclaimer/Publisher’s Note: The statements, opinions and data contained in all publications are solely those of the individual author(s) and contributor(s) and not of MDPI and/or the editor(s). MDPI and/or the editor(s) disclaim responsibility for any injury to people or property resulting from any ideas, methods, instructions or products referred to in the content. |
© 2026 by the authors. Licensee MDPI, Basel, Switzerland. This article is an open access article distributed under the terms and conditions of the Creative Commons Attribution (CC BY) license.
Share and Cite
Liu, Z.; Zhang, Y.; Yang, N.; Dai, X.; Gao, Q.; Zhang, Y.; Juan, Y. Divergent Effects of Biochar Versus Straw Application on Soil Moisture and Temperature Dynamics During Maize Growth. Agronomy 2026, 16, 805. https://doi.org/10.3390/agronomy16080805
Liu Z, Zhang Y, Yang N, Dai X, Gao Q, Zhang Y, Juan Y. Divergent Effects of Biochar Versus Straw Application on Soil Moisture and Temperature Dynamics During Maize Growth. Agronomy. 2026; 16(8):805. https://doi.org/10.3390/agronomy16080805
Chicago/Turabian StyleLiu, Zunqi, Yuanyang Zhang, Ning Yang, Xuedong Dai, Qi Gao, Yi Zhang, and Yinghua Juan. 2026. "Divergent Effects of Biochar Versus Straw Application on Soil Moisture and Temperature Dynamics During Maize Growth" Agronomy 16, no. 8: 805. https://doi.org/10.3390/agronomy16080805
APA StyleLiu, Z., Zhang, Y., Yang, N., Dai, X., Gao, Q., Zhang, Y., & Juan, Y. (2026). Divergent Effects of Biochar Versus Straw Application on Soil Moisture and Temperature Dynamics During Maize Growth. Agronomy, 16(8), 805. https://doi.org/10.3390/agronomy16080805

