Sign in to use this feature.

Years

Between: -

Subjects

remove_circle_outline
remove_circle_outline
remove_circle_outline
remove_circle_outline
remove_circle_outline
remove_circle_outline
remove_circle_outline
remove_circle_outline
remove_circle_outline

Journals

Article Types

Countries / Regions

Search Results (47)

Search Parameters:
Keywords = sour environment

Order results
Result details
Results per page
Select all
Export citation of selected articles as:
22 pages, 3938 KB  
Article
Tree Species Overcome Edaphic Heterogeneity in Shaping the Urban Orchard Soil Microbiome and Metabolome
by Emoke Dalma Kovacs and Melinda Haydee Kovacs
Horticulturae 2025, 11(10), 1163; https://doi.org/10.3390/horticulturae11101163 - 30 Sep 2025
Viewed by 971
Abstract
Despite the increasing recognition of the role of urban orchard ecosystems in sustainable urban development, the mechanistic understanding of how tree species soil biochemical heterogeneity drives microbial community assembly, the spatial patterns governing microbe-environment interactions, and their collective contributions to ecosystem multifunctionality remain [...] Read more.
Despite the increasing recognition of the role of urban orchard ecosystems in sustainable urban development, the mechanistic understanding of how tree species soil biochemical heterogeneity drives microbial community assembly, the spatial patterns governing microbe-environment interactions, and their collective contributions to ecosystem multifunctionality remain poorly characterized. This study investigated how Prunus species and soil depth affect microbial biodiversity and metabolomic signatures in an urban orchard in Cluj-Napoca, Romania. Soil samples were collected from five fruit tree species (apricot, peach, plum, cherry, and sour cherry) across three depths (0–10, 10–20, and 20–30 cm), resulting in 225 samples. The microbial community structure was analyzed through phospholipid fatty acid (PLFA) profiling, whereas the soil metabolome was analyzed by mass spectrometry techniques, including gas chromatography–mass spectrometry (GC–MS/MS) and MALDI time-of-flight (TOF/TOF) MS, which identified 489 compounds across 18 chemical classes. The results revealed significant tree species-specific effects on soil microbial biodiversity, with bacterial biomarkers dominating and total microbial biomass varying among species. The soils related to apricot trees presented the highest microbial activity, particularly in the surface layers. Metabolomic analysis revealed 247 distinct KEGG-annotated metabolites, with sour cherry exhibiting unique organic acid profiles and cherry showing distinctive quinone accumulation. Depth stratification influenced both microbial communities and metabolite composition, reflecting oxygen gradients and substrate availability. These findings provide mechanistic insights into urban orchard soil biogeochemistry, suggesting that strategic species selection can harness tree species-soil microbe interactions to optimize urban soil ecosystem services and enhance urban biodiversity conservation. Full article
(This article belongs to the Section Fruit Production Systems)
Show Figures

Figure 1

14 pages, 8583 KB  
Article
Geospatial Metabolomics Unravel Regional Disparities in Sedative Compounds and Volatile Profiles of Ziziphi Spinosae Semen Across Chinese Production Areas
by Jia Tian, Shujuan Hou, Hanbing Zhu, Ruirui Dao, Junguang Ning, Peixing Ren, Fuxu Pan, Mengjun Liu and Zhihui Zhao
Plants 2025, 14(17), 2739; https://doi.org/10.3390/plants14172739 - 2 Sep 2025
Viewed by 1199
Abstract
Ziziphi Spinosae Semen (ZSS) has significant medicinal value, and its growing environment critically influences medicinal component accumulation. We analyzed 10 ZSS samples from six major Chinese production areas, identifying 2994 metabolites while exploring tranquilizing constituents and volatiles. Lipids and amino acids were the [...] Read more.
Ziziphi Spinosae Semen (ZSS) has significant medicinal value, and its growing environment critically influences medicinal component accumulation. We analyzed 10 ZSS samples from six major Chinese production areas, identifying 2994 metabolites while exploring tranquilizing constituents and volatiles. Lipids and amino acids were the primary nutrients, while terpenoids were the most abundant class of secondary metabolites. Volatile profiling revealed characteristic sour-fruity-herbaceous flavors, with GS-QY samples showing the highest volatile content. HB-XT and LN-CY samples accumulated the most sedative compounds (jujubosides A/B, spinosin). These findings demonstrate production regions significantly influence ZSS’s medicinal/aromatic profiles, supporting targeted product development. Full article
(This article belongs to the Special Issue Advances in Jujube Research, Second Edition)
Show Figures

Figure 1

17 pages, 2123 KB  
Article
Challenges and Prospects of Enhanced Oil Recovery Using Acid Gas Injection Technology: Lessons from Case Studies
by Abbas Hashemizadeh, Amirreza Aliasgharzadeh Olyaei, Mehdi Sedighi and Ali Hashemizadeh
Processes 2025, 13(7), 2203; https://doi.org/10.3390/pr13072203 - 10 Jul 2025
Viewed by 2240
Abstract
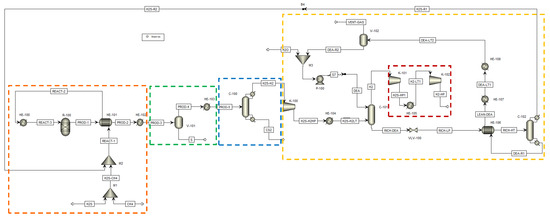
Acid gas injection (AGI), which primarily involves injecting hydrogen sulfide (H2S) and carbon dioxide (CO2), is recognized as a cost-efficient and environmentally sustainable method for controlling sour gas emissions in oil and gas operations. This review examines case studies [...] Read more.
Acid gas injection (AGI), which primarily involves injecting hydrogen sulfide (H2S) and carbon dioxide (CO2), is recognized as a cost-efficient and environmentally sustainable method for controlling sour gas emissions in oil and gas operations. This review examines case studies of twelve AGI projects conducted in Canada, Oman, and Kazakhstan, focusing on reservoir selection, leakage potential assessment, and geological suitability evaluation. Globally, several million tonnes of acid gases have already been sequestered, with Canada being a key contributor. The study provides a critical analysis of geochemical modeling data, monitoring activities, and injection performance to assess long-term gas containment potential. It also explores AGI’s role in Enhanced Oil Recovery (EOR), noting that oil production can increase by up to 20% in carbonate rock formations. By integrating technical and regulatory insights, this review offers valuable guidance for implementing AGI in geologically similar regions worldwide. The findings presented here support global efforts to reduce CO2 emissions, and provide practical direction for scaling-up acid gas storage in deep subsurface environments. Full article
(This article belongs to the Special Issue Recent Developments in Enhanced Oil Recovery (EOR) Processes)
Show Figures

Figure 1

27 pages, 4717 KB  
Article
Prediction of Failure Pressure of Sulfur-Corrosion-Defective Pipelines Based on GABP Neural Networks
by Li Zhu, Yi Xia, Bin Jia and Jingyang Ma
Materials 2025, 18(13), 3177; https://doi.org/10.3390/ma18133177 - 4 Jul 2025
Cited by 1 | Viewed by 814
Abstract
This study systematically investigates the degradation and failure prediction of pipeline materials in sulfur-containing environments, with a particular focus on X52 pipeline steel exposed to high-sulfur environments. Through uniaxial tensile tests to assess mechanical properties, it was found that despite surface corrosion and [...] Read more.
This study systematically investigates the degradation and failure prediction of pipeline materials in sulfur-containing environments, with a particular focus on X52 pipeline steel exposed to high-sulfur environments. Through uniaxial tensile tests to assess mechanical properties, it was found that despite surface corrosion and a reduction in overall structural load-bearing capacity, the intrinsic mechanical properties of X52 steel did not exhibit significant degradation and remained within standard ranges. The Johnson–Cook constitutive model was developed to accurately capture the material’s plastic behavior. Subsequently, a genetic algorithm-optimized backpropagation (GABP) neural network was employed to predict the failure pressure of defective pipelines and the corrosion rate in acidic environments, with prediction errors controlled within 5%. By integrating the GABP model with NACE standard methods, a framework for predicting the remaining service life for in-service pipelines operating in sour environments was established. This method provides a novel and reliable approach for pipeline integrity assessment, demonstrating significantly higher accuracy than traditional empirical models and finite element analysis. Full article
(This article belongs to the Section Materials Simulation and Design)
Show Figures

Figure 1

11 pages, 2851 KB  
Article
Measurement of Oxygen Transfer Rate and Specific Oxygen Uptake Rate of h-iPSC Aggregates in Vertical Wheel Bioreactors to Predict Maximum Cell Density Before Oxygen Limitation
by James Kim, Omokhowa Agbojo, Sunghoon Jung and Matt Croughan
Bioengineering 2025, 12(4), 332; https://doi.org/10.3390/bioengineering12040332 - 22 Mar 2025
Cited by 1 | Viewed by 4048
Abstract
The prediction of the cell yield in large-scale bioreactor culture is an important factor for various cell therapy bioprocess operations to ensure consistency in cell quality and efficient use of resources. However, the shear sensitivity of cells used in cell therapy manufacturing can [...] Read more.
The prediction of the cell yield in large-scale bioreactor culture is an important factor for various cell therapy bioprocess operations to ensure consistency in cell quality and efficient use of resources. However, the shear sensitivity of cells used in cell therapy manufacturing can make such predictions difficult, particularly in large-scale suspension cultures that have significant stresses without representative scale down models. The PBS Vertical-Wheel (VW) bioreactors have been demonstrated to provide a homogeneous hydrodynamic environment with low shear for cell culture at various scales (0.1–80 L) and is thereby employed for various shear-sensitive cells. In this study, the oxygen transfer rate for surface aeration for three large-scale VW bioreactors was measured along with the specific oxygen uptake rate (sOUR) of iPSCs cultured in the bioreactors. The oxygen mass transfer coefficient was measured in PBS-3/15/80 L bioreactors at different agitation rates, headspace gas flowrates, and working volumes using the static gassing-out method. The sOUR of iPSCs was measured using the dynamic method in the PBS-0.1 L Mini with a custom DO probe configuration. The results from both experiments were combined to calculate the theoretical maximum cell density before oxygen limitation across VW bioreactors at 2 L/3 L/10 L/15 L/50 L/80 L working volumes at a different agitation speed and aeration rate. Full article
(This article belongs to the Special Issue Cell Bioprocess Engineering: Basic Fundamentals and Applications)
Show Figures

Graphical abstract

25 pages, 21681 KB  
Article
Corrosion Cracking Causes in 13Cr-110 Tubing in Oil and Gas Extraction and Transportation
by Kangkai Xu, Shuyi Xie, Jinheng Luo and Bohong Wang
Energies 2025, 18(4), 910; https://doi.org/10.3390/en18040910 - 13 Feb 2025
Cited by 2 | Viewed by 1444
Abstract
With the continuous development of oil and gas fields, the demand for corrosion-resistant tubing is increasing, which is important for the safe exploitation of oil and gas energy. Due to its excellent CO2 corrosion resistance, 13Cr-110 martensitic stainless steel is widely used [...] Read more.
With the continuous development of oil and gas fields, the demand for corrosion-resistant tubing is increasing, which is important for the safe exploitation of oil and gas energy. Due to its excellent CO2 corrosion resistance, 13Cr-110 martensitic stainless steel is widely used in sour gas-containing oil fields in western China. This paper describes a case of stress corrosion cracking (SCC) in a 13Cr-110 serviced in an ultra-deep gas well. The failure mode of the tubing is brittle along the lattice fracture, and the cracks are generated because of nitrogen gas-lift production-enhancement activities during the service of the tubing, leading to corrosion damage zones and cracks in the 13Cr-110 material under the synergistic effect of oxygen and chloric acid-containing environments. During subsequent production, the tubing is subjected to tensile stresses and cracks expanded at the 13Cr-110 lattice boundaries due to reduced structural strength in the corrosion region. To address the corrosion sensitivity of 13Cr-110 in an oxygen environment, it is recommended that the oxygen content in the wellbore be strictly controlled and that antioxidant corrosion inhibitors be added. Full article
(This article belongs to the Special Issue Advances in the Development of Geoenergy: 2nd Edition)
Show Figures

Figure 1

20 pages, 2006 KB  
Article
Biological and Chemical Management of Aspergillus carbonarius and Ochratoxin A in Vineyards
by Maria K. Iliadi, Maria Varveri and Dimitrios I. Tsitsigiannis
Toxins 2024, 16(12), 527; https://doi.org/10.3390/toxins16120527 - 6 Dec 2024
Cited by 1 | Viewed by 1823
Abstract
Ochratoxin A (OTA) is a widely distributed mycotoxin and potent carcinogen produced by several fungal genera, but mainly by Aspergillus carbonarius. Grape contamination occurs in vineyards during the period between veraison and pre-harvest, and it is the main cause of OTA’s presence [...] Read more.
Ochratoxin A (OTA) is a widely distributed mycotoxin and potent carcinogen produced by several fungal genera, but mainly by Aspergillus carbonarius. Grape contamination occurs in vineyards during the period between veraison and pre-harvest, and it is the main cause of OTA’s presence in wine. The aim of the current study was the evaluation of 6 chemical and 11 biological plant protection products (PPPs) and biocontrol agents in commercial vineyards of the two important Greek white wine varieties cv. Malagousia and cv. Savatiano. The PPPs were applied in a 4-year vineyard study as single treatments or/and in combinations as part of IPM systems. Subsequently, nine strains of Aspergillus carbonarius were investigated for their sensitivity against seven active compounds of synthetic fungicides. During the multi-year field trials, various novel management systems, including consortia of biocontrol agents, were revealed to be effective against Aspergillus sour rot and OTA production. However, expected variability was observed in the experimental results, indicating the dynamic character of biological systems and highlighting the possible inconsistency of PPPs’ efficacy in a changing environment. Furthermore, the IPM systems developed effectuated an optimized control of A. carbonarius, leading to 100% inhibition of OTA contamination, showing the importance of using both chemical and biological PPPs for disease management and prevention of fungal fungicide resistance. Finally, the majority of A. carbonarius tested strains were found to be sensitive against the pure active compounds used (fludioxonil, azoxystrobin, chlorothalonil, tebuconazole, cyprodinil, pyrimethanil and boscalid), with only a few exceptions of developed resistance towards boscalid. Full article
(This article belongs to the Special Issue Toxins: 15th Anniversary)
Show Figures

Figure 1

14 pages, 912 KB  
Review
Current Updates on Lactic Acid Production and Control during Baijiu Brewing
by Yabin Zhou and Jin Hua
Fermentation 2024, 10(10), 505; https://doi.org/10.3390/fermentation10100505 - 1 Oct 2024
Cited by 5 | Viewed by 2951
Abstract
Lactic acid is closely linked to the safety and quality of baijiu, the traditional Chinese fermented alcoholic beverage. Produced by lactic acid bacteria during fermentation, it creates an acidic environment that inhibits the growth of spoilage organisms and harmful microbes, thereby enhancing the [...] Read more.
Lactic acid is closely linked to the safety and quality of baijiu, the traditional Chinese fermented alcoholic beverage. Produced by lactic acid bacteria during fermentation, it creates an acidic environment that inhibits the growth of spoilage organisms and harmful microbes, thereby enhancing the safety and stability of the final product. Additionally, lactic acid is a key contributor to baijiu’s flavor profile, providing a smooth and rounded taste. Its levels can significantly impact consumer experience. An excess of lactic acid can result in a sour, undesirable flavor, while insufficient levels may lead to a flat and less appealing taste. Maintaining balanced lactic acid levels is crucial for ensuring that baijiu is both safe and enjoyable to drink, ultimately contributing to the product’s success and marketability. This paper reviews the mechanisms of lactic acid production in baijiu, examines its effects on flavor and the potential causes of imbalances, explores regulatory measures for controlling lactic acid during brewing, and discusses the impact of these measures on baijiu’s quality, taste, and yield, along with practical applications by various distilleries. The goal of this paper is to provide a reference for regulating lactic acid in the baijiu production processes. Full article
(This article belongs to the Special Issue Safety and Quality in Fermented Beverages)
Show Figures

Figure 1

23 pages, 4400 KB  
Article
Assessing Different Fruit Formulations for the Supplementation of Bakery Products with Bioactive Micro-Constituents from Sweet Cherry (Prunus avium L.) and Sour Cherry (Prunus cerasus L.): A Physicochemical and Rheological Approach
by Evangelia D. Karvela, Evgenia N. Nikolaou, Dimitra Tagkouli, Antonia Chiou and Vaios T. Karathanos
Foods 2024, 13(17), 2794; https://doi.org/10.3390/foods13172794 - 2 Sep 2024
Cited by 2 | Viewed by 1812
Abstract
Sour and sweet cherries were evaluated as functional components in bread-making because of their bioactive microconstituent content. Five forms of enrichment for each fruit, including the hydroalcoholic extract, lyophilized pulverized fruit, lyophilized extract, and their combinations, were used for supplementation. The physicochemical (pH, [...] Read more.
Sour and sweet cherries were evaluated as functional components in bread-making because of their bioactive microconstituent content. Five forms of enrichment for each fruit, including the hydroalcoholic extract, lyophilized pulverized fruit, lyophilized extract, and their combinations, were used for supplementation. The physicochemical (pH, color, moisture, rheology, and texture) and sensory properties of dough and bread were assessed in different environments (biological and chemical leavening). Sour cherry in pulverized and extract forms showed higher phenolic content than sweet cherry, especially in the pulverized form. The viscoelasticity of the doughs varied based on the proofing environment and the fortification form. Chemically leavened doughs exhibited higher moduli (G′, G″), complex viscosity (η*), and hardness. Biologically leavened doughs had a lower pH, influencing color, and swelling percentage, which is linked to the enrichment form and phenolic content. Extract-fortified doughs displayed increased G′, η*, and hardness compared to the control, whereas yeast-leavened doughs showed reduced swelling ability. Physicochemical changes were more significant in the yeast-leavened systems, which also scored higher on the sensory evaluations. Supplementing bakery products with bioactive fruit components enhances antioxidant status, but the enrichment form and proofing conditions significantly affect the physicochemical and sensory properties of the product. Full article
Show Figures

Figure 1

13 pages, 2592 KB  
Article
Taste Preferences at Different Ambient Temperatures and Associated Changes in Gut Microbiota and Body Weight in Mice
by Xing Zhang, Hui He and Tao Hou
Foods 2024, 13(13), 2121; https://doi.org/10.3390/foods13132121 - 3 Jul 2024
Cited by 1 | Viewed by 2784
Abstract
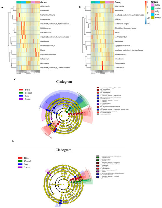
Taste, dietary choices, and gut microbiota are often analyzed as major factors of metabolic health. Populations living in cold or hot regions have different dietary habits. This study aims to investigate the potential association among ambient temperature, food taste preferences, and cecal microbiota [...] Read more.
Taste, dietary choices, and gut microbiota are often analyzed as major factors of metabolic health. Populations living in cold or hot regions have different dietary habits. This study aims to investigate the potential association among ambient temperature, food taste preferences, and cecal microbiota community profiles in mice. By exposing mice to mixed diets containing sweet, sour, salty, and bitter flavors at low (4 °C) and high (37 °C) ambient temperatures, the taste preferences of mice at both ambient temperatures were in the order of saltiness > sweetness > bitterness > sourness. Exposing mice to sweet, sour, salty, and bitter diets, respectively, revealed that in a low-temperature environment, mice consuming salty (5.00 ± 1.49 g), sweet (4.99 ± 0.35 g), and sour (3.90 ± 0.61 g) diets had significantly higher weight gain compared to those consuming normal feeds (2.34 ± 0.43 g, p < 0.05). Conversely, in a high-temperature environment, no significant changes in body weight were observed among mice consuming different flavored diets (p > 0.05). In a low-temperature environment, mice fed sour and sweet diets showed a significant difference in the gut microbiota composition when compared to those fed a normal diet. A higher abundance of Lachnospiraceae, UBA1819, and Clostridiales was identified as the most significant taxa in the sour group, and a higher abundance of Ruminiclostridium was identified in the sweet group. These differences were associated with microbial pathways involved in carbohydrate metabolism, amino acid metabolism, and energy metabolism. A high-temperature environment exhibited only minor effects on the gut microbiota profile. Overall, our findings provide evidence for temperature-modulated responses to the taste, gut microbiota functions, and body weight changes in mice. Full article
(This article belongs to the Section Sensory and Consumer Sciences)
Show Figures

Figure 1

10 pages, 4864 KB  
Article
Simultaneous Enhancement of Strength and Sulfide Stress Cracking Resistance of Hot-Rolled Pressure Vessel Steel Q345 via a Quenching and Tempering Treatment
by Jing Zhang, Ming-Chun Zhao, Yan Tian, Jimou Zhang, Zhen Wang, Ying-Chao Zhao and Longsheng Peng
Materials 2024, 17(7), 1636; https://doi.org/10.3390/ma17071636 - 3 Apr 2024
Cited by 8 | Viewed by 1416
Abstract
Sulfide stress cracking (SSC) failure is a main concern for the pressure vessel steel Q345 used in harsh sour oil and gas environments containing hydrogen sulfide (H2S). Methods used to improve the strength of steel usually decrease their SSC resistance. In [...] Read more.
Sulfide stress cracking (SSC) failure is a main concern for the pressure vessel steel Q345 used in harsh sour oil and gas environments containing hydrogen sulfide (H2S). Methods used to improve the strength of steel usually decrease their SSC resistance. In this work, a quenching and tempering (Q&T) processing method is proposed to provide higher strength combined with better SSC resistance for hot-rolled Q345 pressure vessel steel. Compared to the initial hot-rolled plates having a yield strength (YS) of ~372 MPa, the Q&T counterparts had a YS of ~463 MPa, achieving a remarkable improvement in the strength level. Meanwhile, there was a resulting SSC failure in the initial hot-rolled plates, which was not present in the Q&T counterparts. The SSC failure was not only determined by the strength. The carbon-rich zone, residual stress, and sensitive hardness in the banded structure largely determined the susceptibility to SSC failure. The mechanism of the property amelioration might be ascribed to microstructural modification by the Q&T processing. This work provides an approach to develop improved strength grades of SSC-resistant pressure vessel steels. Full article
Show Figures

Figure 1

37 pages, 4952 KB  
Review
Waste to H2 Sustainable Processes: A Review on H2S Valorization Technologies
by Elvira Spatolisano, Federica Restelli, Laura A. Pellegrini and Alberto R. de Angelis
Energies 2024, 17(3), 620; https://doi.org/10.3390/en17030620 - 27 Jan 2024
Cited by 8 | Viewed by 3472
Abstract
In the energy transition from fossil fuels to renewables, the tendency is to benefit from ultra-sour natural gas reserves, whose monetization was previously considered unviable. The increasing H2S content together with the growing concern about emissions that are harmful to the [...] Read more.
In the energy transition from fossil fuels to renewables, the tendency is to benefit from ultra-sour natural gas reserves, whose monetization was previously considered unviable. The increasing H2S content together with the growing concern about emissions that are harmful to the environment, make necessary the development of efficient strategies for pollutants management. Although large-scale H2S conversion is well-established through the Claus process, novel technologies for H2S valorization could be a reliable alternative for waste-to-valuable chemicals, following the circular economy. In this perspective, technologies such as Hydrogen Sulfide Methane Reformation (H2SMR), non-thermal plasma, photocatalytic decomposition, decomposition through cycles and electrolysis are analyzed for the H2 production from H2S. They represent promising alternatives for the simultaneous H2S valorization and H2 production, without direct CO2 emissions, as opposite to the traditional methane steam reforming. The various H2S conversion routes to H2 are examined, highlighting the advantages and disadvantages of each of them. This review focuses in particular on the most promising technologies, the H2SMR and the non-thermal plasma, for which preliminary process scheme and techno-economic analysis are also reported. Finally, the major research gaps and future developments necessary to unlock the full potential of hydrogen sulfide valorization as a sustainable pathway for hydrogen production are discussed. Full article
(This article belongs to the Section A5: Hydrogen Energy)
Show Figures

Figure 1

11 pages, 303 KB  
Article
Conventional vs. Organic: Evaluation of Nutritional, Functional and Sensory Quality of Citrus limon
by Paola Sánchez-Bravo, Juan Martínez-Tomé, Francisca Hernández, Esther Sendra and Luis Noguera-Artiaga
Foods 2023, 12(23), 4304; https://doi.org/10.3390/foods12234304 - 28 Nov 2023
Cited by 6 | Viewed by 3104
Abstract
Organic farming is growing rapidly worldwide since it is perceived as more respectful of the environment than conventional farming. In this sense, organic agriculture is highly appreciated by consumers since consumers around the world believe that organic food has a higher content of [...] Read more.
Organic farming is growing rapidly worldwide since it is perceived as more respectful of the environment than conventional farming. In this sense, organic agriculture is highly appreciated by consumers since consumers around the world believe that organic food has a higher content of beneficial compounds for health and consider it of higher quality. For that reason, the objective of this research was to evaluate the nutritional, sensorial, and functional quality of the ‘Fino 49’ lemon grafted on Citrus macrophylla in conventional and organic cultivation. Fatty acids, amino acids, total phenol, and polyphenols were quantified, antioxidant activity was measured, and sensory descriptive analysis was performed. Conventional farming led to an increase in amino acid content (641 mg L−1) and an increase in polyunsaturated fatty acids (254 mg 100 g−1) and monounsaturated fatty acids (37.61 mg 100 g−1). On the other hand, organically produced lemon fruits had better sensory profile (highlighting overall aroma (6.5), lemon odor (6.8), sourness (5.8), floral (0.6), and fresh lemon flavor (9.8)), and lower thrombogenicity index (0.15). The type of cultivation (organic and conventional) had no influence on the antioxidant activity (~1.60, ~3.08, and ~4.16 mmol Trolox L−1 for ABTS+, DPPH•, and FRAP, respectively) and polyphenols content (85.51 and 86.69 conventional and organic, respectively). However, to establish the advantages and disadvantages of different types of cultivation on lemon quality more studies are needed. Full article
(This article belongs to the Section Plant Foods)
21 pages, 1812 KB  
Review
Applications of Prolamin-Based Edible Coatings in Food Preservation: A Review
by Shuning Zhang, Yongyan Kuang, Panpan Xu, Xiaowei Chen, Yanlan Bi, Dan Peng and Jun Li
Molecules 2023, 28(23), 7800; https://doi.org/10.3390/molecules28237800 - 27 Nov 2023
Cited by 7 | Viewed by 3693
Abstract
Foods are susceptible to deterioration and sour due to external environmental influences during production and storage. Coating can form a layer of physical barrier on the surface of foods to achieve the purpose of food preservation. Because of its good barrier properties and [...] Read more.
Foods are susceptible to deterioration and sour due to external environmental influences during production and storage. Coating can form a layer of physical barrier on the surface of foods to achieve the purpose of food preservation. Because of its good barrier properties and biocompatibility, prolamin-based film has been valued as a new green and environment-friendly material in the application of food preservation. Single prolamin-based film has weaknesses of poor toughness and stability, and it is necessary to select appropriate modification methods to improve the performance of film according to the application requirements. The practical application effect of film is not only affected by the raw materials and the properties of the film itself, but also affected by the selection of preparation methods and processing techniques of film-forming liquid. In this review, the properties and selection of prolamins, the forming mechanisms and processes of prolamin-based coatings, the coating techniques, and the modifications of prolamin-based coatings were systematically introduced from the perspective of food coating applications. Moreover, the defects and deficiencies in the research and development of prolamin-based coatings were also reviewed in order to provide a reference for the follow-up research on the application of prolamin-based coatings in food preservation. Full article
(This article belongs to the Section Applied Chemistry)
Show Figures

Figure 1

16 pages, 20573 KB  
Article
Iron Competition as an Important Mechanism of Pulcherrimin-Producing Metschnikowia sp. Strains for Controlling Postharvest Fungal Decays on Citrus Fruit
by Shupei Wang, Zhimei Tan, Chenshu Wang, Wenqing Liu, Fangxue Hang, Xuemei He, Dongqing Ye, Li Li and Jian Sun
Foods 2023, 12(23), 4249; https://doi.org/10.3390/foods12234249 - 24 Nov 2023
Cited by 11 | Viewed by 3101
Abstract
This study identified and tested fruit-isolated Metschnikowia yeasts against three major postharvest citrus pathogens, namely, Penicillium digitatum, Penicillium italicum, and Geotrichum citri-aurantii, and further evaluated the impact of FeCl3 on the biocontrol efficiency of pulcherrimin-producing M. pulcherrima strains. Based [...] Read more.
This study identified and tested fruit-isolated Metschnikowia yeasts against three major postharvest citrus pathogens, namely, Penicillium digitatum, Penicillium italicum, and Geotrichum citri-aurantii, and further evaluated the impact of FeCl3 on the biocontrol efficiency of pulcherrimin-producing M. pulcherrima strains. Based on the characterization of the pigmented halo surrounding the colonies and the analysis of the D1/D2 domain of 26S rDNA, a total of 46 Metschnikowia sp. were screened and identified. All 46 Metschnikowia strains significantly inhibited the hyphal growth of Penicillium digitatum, Penicillium italicum, and Geotrichum citri-aurantii, and effectively controlled the development of green mold, blue mold and sour rot of citrus fruit. The introduction of exogenous FeCl3 at certain concentrations did not significantly impact the pulcherriminic acid (PA) production of pigmented M. pulcherrima strains, but notably diminished the size of pigmented zones and the biocontrol efficacy against the three pathogens. Iron deficiency sensitivity experiments revealed that P. digitatum and P. italicum exhibited higher sensitivity compared to G. citri-aurantii, indicating that iron dependence varied among the three pathogens. These results suggested that M. pulcherrima strains, capable of producing high yields of PA, possessed great potential for use as biocontrol agents against postharvest citrus diseases. The biocontrol efficacy of these yeasts is mainly attributed to their ability to competitively deplete iron ions in a shared environment, with the magnitude of their pigmented halo directly correlating to their antagonistic capability. It is worth noting that the level of sensitivity of pathogens to iron deficiency might also affect the biocontrol effect of pulcherrimin-producing M. pulcherrima. Full article
Show Figures

Figure 1

Back to TopTop