Assessing Different Fruit Formulations for the Supplementation of Bakery Products with Bioactive Micro-Constituents from Sweet Cherry (Prunus avium L.) and Sour Cherry (Prunus cerasus L.): A Physicochemical and Rheological Approach
Abstract
1. Introduction
2. Materials and Methods
2.1. Chemicals
2.2. Total Phenolic Content
2.3. GC-MS Analysis of Phenolic Compounds
2.4. Preparation of Enrichment Formulations and Making the Bread
2.5. Swelling Capacity (%) of Dough
2.6. Physicochemical Properties
2.7. Color Analysis
- ,
- ,
- and .
2.8. Viscoelastic Properties of Dough
2.9. Texture Analysis of Dough and Baked Bread
2.10. Sensory Analysis
2.11. Statistical Analyses
3. Results
3.1. Impact of Enrichment on the Dough’s Physicochemical Properties
3.1.1. Dough Water Activity
3.1.2. Swelling Capacity
3.2. Individual Phenolic Compounds
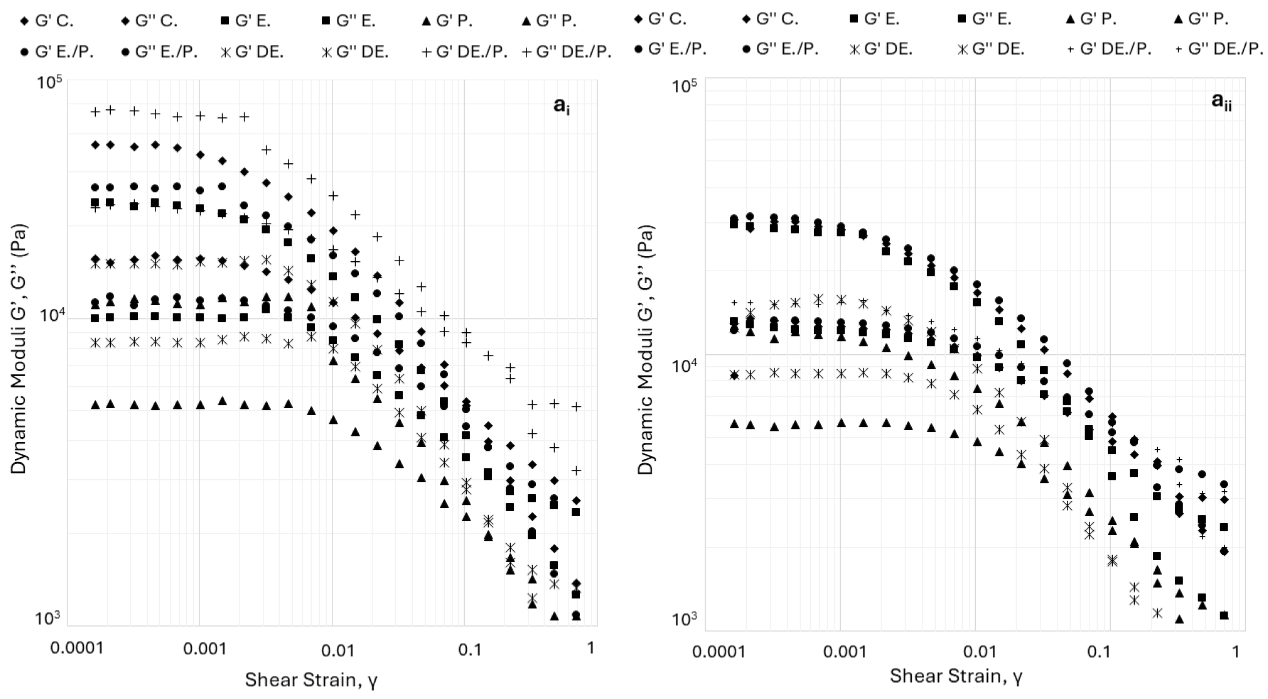
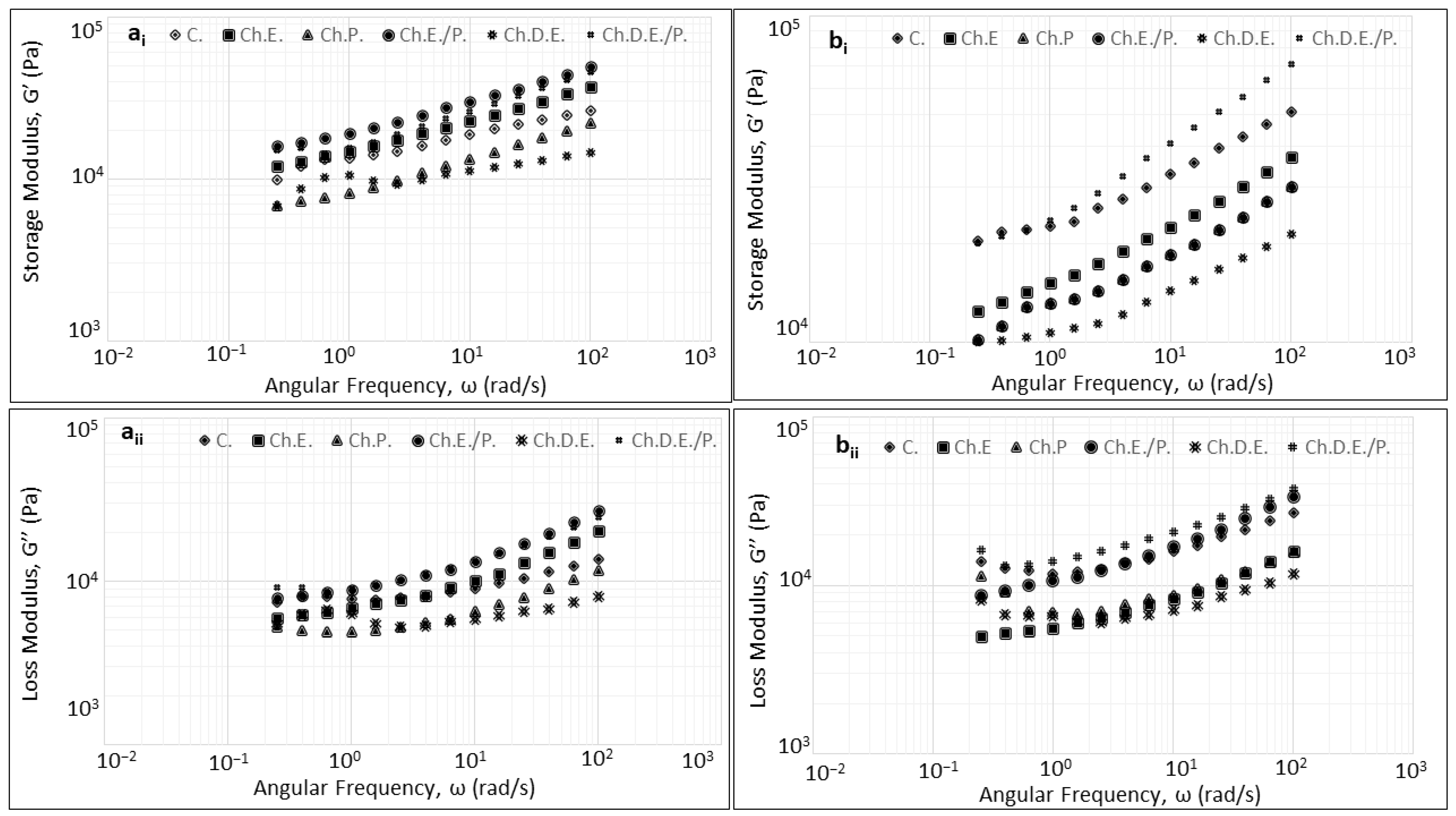
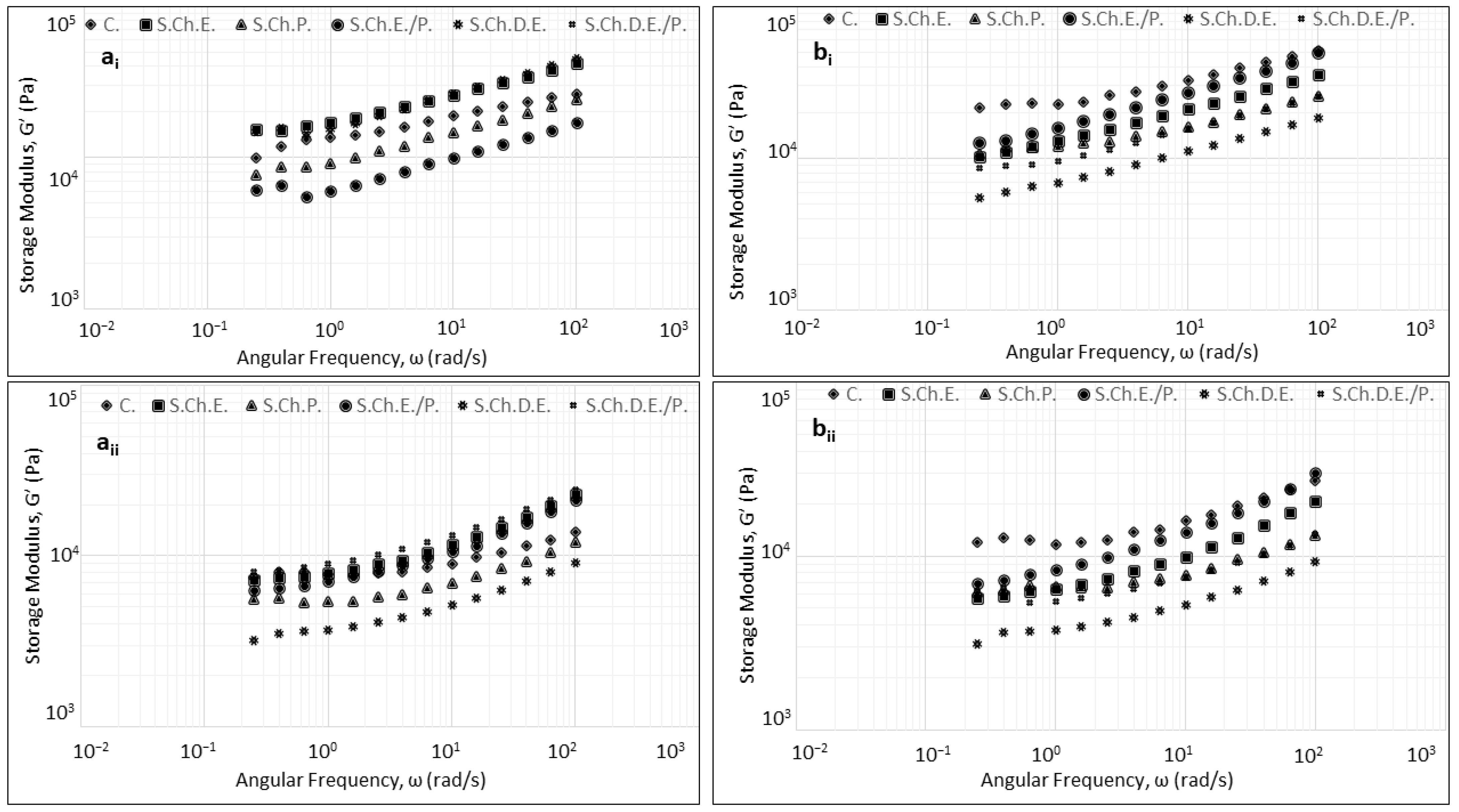
3.3. Rheology
3.4. Texture
3.5. Organoleptic Evaluation
4. Discussion
5. Conclusions
Author Contributions
Funding
Institutional Review Board Statement
Informed Consent Statement
Data Availability Statement
Acknowledgments
Conflicts of Interest
Appendix A
| Ingredients (%) | C. | E. | D.E. | P. | E./P. | D.E./P. | C. | E. | D.E. | P. | E./P. | D.E./P. |
|---|---|---|---|---|---|---|---|---|---|---|---|---|
| Biological Leavening | Chemical Leavening | |||||||||||
| Wheat Flour | 54.2 | 54.2 | 52.3 | 51.3 | 52.3 | 50.3 | 53.5 | 53.5 | 51.2 | 51.2 | 51.2 | 49.2 |
| Sugar | 7 | 7 | 7 | 7 | 7 | 7 | 7 | 7 | 7 | 7 | 7 | 7 |
| Salt | 1 | 1 | 1 | 1 | 1 | 1 | 1 | 1 | 1 | 1 | 1 | 1 |
| Olive Oil | 7 | 7 | 7 | 7 | 7 | 7 | 7 | 7 | 7 | 7 | 7 | 7 |
| Dry Yeast | 0.7 | 0.7 | 0.7 | 0.7 | 0.7 | 0.7 | ||||||
| Baking Powder | 1.8 | 1.8 | 1.8 | 1.8 | 1.8 | 1.8 | ||||||
| Water | 30.1 | 30 | 29 | 29.7 | 29 | 29 | ||||||
| Extract | 30.1 | 30 | 29 | 29.7 | 30 | 29 | ||||||
| Dehydrated Extract | - | 2 | 2 | - | 2 | 2 | ||||||
| Pulverized Fruit | 3 | 3 | 3 | 3 | 3 | 3 | ||||||
| Cherry Dough | Sour Cherry Dough | ||||||||||||
|---|---|---|---|---|---|---|---|---|---|---|---|---|---|
| L* | a* | b* | aw | Moisture % d.w. | % Swelling | L* | a* | b* | aw | Moisture % d.w. | % Swelling | ||
| C. | Chemical Leavening | 72.3 ± 0.3 f | 3.74 ± 0.07 a | 29.66 ± 0.09 f | 0.977 ± 0.000 c | 46.9% ± 0.8 b | 11.00 ± 5.07 a,b | 72.2 ± 0.0 f | 2.79 ± 0.01 a | 25.45 ± 0.22 f | 0.965 ± 0.002 d | 50.7% ± 0.1 d | 8.75 ± 0.63 b,c |
| E. | 44.8 ± 0.0 c | 10.08 ± 0.02 e | 12.58 ± 0.02 c | 0.883 ± 0.004 a | 46.4% ± 0.7 b | 18.77 ± 5.37 c | 52.7 ± 0.0 c | 9.65 ± 0.02 d | 11.56 ± 0.02 c | 0.944 ± 0.001 c | 47.4% ± 0.3 b | 13.15 ± 0.81 c | |
| D.E. | 54.4 ± 0.0 d | 7.01 ± 0.02 b | 14.73 ± 0.02 d | 0.976 ± 0.003 b | 50.4% ± 0.5 c | 9.11 ± 0.89 a | 59.6 ± 0.0 d | 6.75 ± 0.01 c | 13.56 ± 0.06 d | 0.989 ± 0.005 a | 50.0% ± 0.2 b.c | 6.37 ± 0.42 b | |
| P. | 48.6 ± 0.0 a | 6.08 ± 0.01 f | 13.65 ± 0.01 a | 0.905 ± 0.004 b | 50.6% ± 0.3 a | 9.58 ± 0.47 a | 53.2 ± 0.0 a | 8.83 ± 0.02 f | 13.09 ± 0.04 b | 0.909 ± 0.001 b | 53.8% ± 0.2 a | 11.43 ± 2.89 b,c | |
| E./P. | 37.5 ± 0.0 e | 10.67 ± 0.02 c | 9.20 ± 0.03 e | 0.903 ± 0.005 c | 44.5% ± 0.7 c | 16.87 ± 2.96 b,c | 40.5 ± 0.0 e | 18.86 ± 0.06 b | 8.26 ± 0.03 e | 0.925 ± 0.002 e | 48.3% ± 2.2 e | 21.23 ± 1.58 d | |
| D.E/P. | 41.8 ± 0.0 b | 8.66 ± 0.00 d | 10.40 ± 0.02 b | 0.980 ± 0.000 c | 51.3% ± 0.4 c | 7.06 ± 3.93 a | 42.8 ± 0.3 b | 18.19 ± 0.11 e | 6.94 ± 0.09 a | 0.926 ± 0.002 b | 54.9% ± 0.2 c | 0.77 ± 0.00 a | |
| C. | Biological Leavening | 72.3 ± 0.3 f | 3.74 ± 0.07 a | 29.66 ± 0.09 f | 0.977 ± 0.002 d | 50.5% ± 0.8 c | 122.4 ± 3.8 e | 72.0 ± 0.0 f | 2.94 ± 0.02 a | 26.00 ± 0.14 f | 0.997 ± 0.001 e | 53.0% ± 0.6 b | 120.83 ± 5.47 b |
| E. | 44.8 ± 0.0 c | 10.08 ± 0.02 e | 12.58 ± 0.02 c | 0.919 ± 0.001 a | 47.9% ± 0.8 b | 1.6 ± 0.6 a | 49.5 ± 0.1 c | 16.22 ± 0.03 c | 10.67 ± 0.10 d | 0.818 ± 0.003 b | 49.9% ± 0.2 b | 4.13 ± 1.15 a | |
| D.E. | 54.4 ± 0.0 d | 7.01 ± 0.02 b | 14.73 ± 0.02 d | 0.973 ± 0.000 c | 50.3% ± 0.7 c | 87.3 ± 10.2 c | 61.4 ± 0.0 d | 10.18 ± 0.01 d | 14.33 ± 0.05 c | 0.967 ± 0.006 c | 51.5% ± 0.9 b | 94.12 ± 7.59 b | |
| P. | 48.6 ± 0.0 a | 6.08 ± 0.01 f | 13.65 ± 0.01 a | 0.947 ± 0.011 b | 50.1% ± 0.3 a | 99.5 ± 5.1 d | 50.3 ± 0.1 a | 18.01 ± 0.02 f | 9.61 ± 004 a | 0.898 ± 0.008 a | 51.3% ± 1.4 a | 8.75 ± 0.63 b,c | |
| E./P. | 37.5 ± 0.0 e | 10.67 ± 0.02 c | 9.20 ± 0.03 e | 0.916 ± 0.004 c.d | 46.2% ± 1.00 c | 1.2 ± 0.8 a | 39.8 ± 0.1 e | 24.89 ± 0.04 b | 8.79 ± 0.02 e | 0.800 ± 0.004 d | 47.7% ± 0.4 a | 13.15 ± 0.81 c | |
| D.E./P. | 41.8 ± 0.0 b | 8.66 ± 0.00 d | 10.40 ± 0.02 b | 0.907 ± 0.001 a | 52.5% ± 0.44 d | 53.5± 0.4 b | 45.5 ± 0.1 b | 22.35 ± 0.04 e | 9.18 ± 0.06 b | 0.895 ± 0.001 c | 53.6% ± 0.3 b | 6.37 ± 0.42 b | |
| Proofing Conditions | Biological Leavening | Chemical Leavening | ||||||
|---|---|---|---|---|---|---|---|---|
| Samples | Tan δ | Complex Viscosity (η*, Pa·s) | Storage Modulus, G′ (Pa) | Loss Modulus, G″ (Pa) | Tan δ | Complex Viscosity (η*, Pa·s) | Storage Modulus, G′ (Pa) | Loss Modulus, G″ (Pa) |
| C. | 0.493 ± 0.06 b,b * | 3081 ± 58 b,b * | 17,438 ± 81 b,c * | 8598 ± 83 b,c * | 0.478 ±0.01 b,a * | 5271 ± 121 c,d * | 29,765 ± 18 b,d * | 14,213 ± 93 c.,c * |
| Ch.E. | 0.443 ± 0.06 a | 3230 ± 15 b | 20,802 ± 181 b | 9199 ± 91 b | 0.443 ± 0.06 a | 4137 ± 68 b | 27,161 ± 116 b | 10,884 ± 89 b |
| Ch.P. | 0.493 ± 0.021 b | 2112 ± 10 a | 11,962 ± 64 a | 5868 ± 71 a | 0.477 ± 0.01 b | 2377 ± 38 a,b | 12,147 ± 121 a | 6029 ± 34 a |
| Ch.E./P. | 0.433 ± 0.06 a | 4740 ± 67 c | 27′451 ± 121 d | 11,876 ± 33 c | 0.447 ± 0.02 a | 3748 ± 97 b | 33,194 ± 174 b | 14,964 ± 117 c |
| Ch.D.E. | 0.533 ± 0.06 c | 1914 ± 86 a | 10,663 ± 61 a | 5666 ± 36 a | 0.52 ± 0.02 c | 1620 ± 70 a | 13,970 ± 94 a | 7205 ± 46 a |
| Ch.D.E./P. | 0.513 ± 0.06 c | 4192 ± 92 c | 23,553 ± 142 c.d | 12,033 ± 85 c | 0.53 ± 0.02 c | 2388 ± 36 a,b | 30,661 ± 143 b | 16,833 ± 67 c |
| S.Ch.E. | 0.443 ± 0.04 a* | 4421 ± 53 c*8 | 23,875 ± 56 d* | 10,548 ± 62 d* | 0.46 ± 0.04 a* | 2792 ± 29 b* | 19,240 ± 122 b*,c* | 8938 ± 45 b* |
| S.Ch.P. | 0.46 ± 0.03 b* | 2009 ± 63 a* | 13,583 ± 102 b* | 6458 ± 18 b* | 0.50 ± 0.02 a*,b* | 2636 ± 55 b* | 14,909 ± 81 b* | 7366 ± 34 b* |
| S.Ch.E./P. | 0.453 ± 0.03 a*,b* | 5772 ± 31 d* | 21,595 ± 138 d* | 9640 ± 84 c*,d* | 0.51 ± 0.01 b* | 4304 ± 10 c* | 24,217 ± 123 c* | 12,283 ± 130 c* |
| S.Ch.D.E. | 0.517 ± 0.00 c* | 2491 ± 19 a* | 9068 ± 53 a* | 4715 ± 52 a* | 0.47 ± 0.01 a* | 1828 ± 47 a* | 9420 ± 39 a* | 4486 ± 66 a* |
| S.Ch.D.E./P. | 0.52 ± 0.00 c* | 6063 ± 99 d* | 13,317 ± 74 b* | 7037 ± 25 b* | 0.49 ± 0.01 a*,b* | 2498 ± 23 b* | 14,139 ± 103 a*,b* | 6969 ± 43 b* |


Appendix B


References
- Mihaylova, D.; Dimitrova-Dimova, M.; Popova, A. Dietary Phenolic Compounds—Wellbeing and Perspective Applications. Int. J. Mol. Sci. 2024, 25, 4769. [Google Scholar] [CrossRef]
- Ballistreri, G.; Continella, A.; Gentile, A.; Amenta, M.; Fabroni, S.; Rapisarda, P. Fruit Quality and Bioactive Compounds Relevant to Human Health of Sweet Cherry (Prunus Avium L.) Cultivars Grown in Italy. Food Chem. 2013, 140, 630–638. [Google Scholar] [CrossRef]
- Serradilla, M.J.; Aksi, M.F.; Manganaris, G.A.; Ercisli, S.; Gonzalez-Gomez, D.; Valero, D. Fruit Chemistry, Nutritional Benefits and Social Aspects of Cherries. In Cherries: Botany, Production and Uses; CABI: Boston, MA, USA, 2017; pp. 420–441. ISBN 978-1-78064-837-8. [Google Scholar]
- Melini, V.; Melini, F.; Luziatelli, F.; Ruzzi, M. Functional Ingredients from Agri-Food Waste: Effect of Inclusion Thereof on Phenolic Compound Content and Bioaccessibility in Bakery Products. Antioxidants 2020, 9, 1216. [Google Scholar] [CrossRef]
- Nikolaou, E.N.; Karvela, E.D.; Marini, E.; Panagopoulou, E.A.; Chiou, A.; Karathanos, V.T. Enrichment of Bakery Products with Different Formulations of Bioactive Microconstituents from Black Corinthian Grape: Impact on Physicochemical and Rheological Properties in Dough Matrix and Final Product. J. Cereal Sci. 2022, 108, 103566. [Google Scholar] [CrossRef]
- Tolve, R.; Simonato, B.; Rainero, G.; Bianchi, F.; Rizzi, C.; Cervini, M.; Giuberti, G. Wheat Bread Fortification by Grape Pomace Powder: Nutritional, Technological, Antioxidant, and Sensory Properties. Foods 2021, 10, 75. [Google Scholar] [CrossRef]
- Betoret, E.; Rosell, C.M. Enrichment of Bread with Fruits and Vegetables: Trends and Strategies to Increase Functionality. Cereal Chem. 2019, 97, 9–19. [Google Scholar] [CrossRef]
- Czajkowska–González, Y.A.; Alvarez–Parrilla, E.; del Rocío Martínez–Ruiz, N.; Vázquez–Flores, A.A.; Gaytán–Martínez, M.; de la Rosa, L.A. Addition of Phenolic Compounds to Bread: Antioxidant Benefits and Impact on Food Structure and Sensory Characteristics. Food Prod. Process. Nutr. 2021, 3, 25. [Google Scholar] [CrossRef]
- Tumbas Šaponjac, V.; Ćetković, G.; Čanadanović-Brunet, J.; Pajin, B.; Djilas, S.; Petrović, J.; Lončarević, I.; Stajčić, S.; Vulić, J. Sour Cherry Pomace Extract Encapsulated in Whey and Soy Proteins: Incorporation in Cookies. Food Chem. 2016, 207, 27–33. [Google Scholar] [CrossRef]
- Cairone, F.; Fraschetti, C.; Menghini, L.; Zengin, G.; Filippi, A.; Casadei, M.A.; Cesa, S. Effects of Processing on Chemical Composition of Extracts from Sour Cherry Fruits, a Neglected Functional Food. Antioxidants 2023, 12, 445. [Google Scholar] [CrossRef]
- Serradilla, M.J.; Hernández, A.; López-Corrales, M.; Ruiz-Moyano, S.; de Guía Córdoba, M.; Martín, A. Composition of the Cherry (Prunus Avium L. and Prunus Cerasus L.; Rosaceae). In Nutritional Composition of Fruit Cultivars; Elsevier: Amsterdam, The Netherlands, 2015; pp. 127–147. ISBN 9780124081178. [Google Scholar]
- Juániz, I.; Ludwig, I.A.; Huarte, E.; Pereira-Caro, G.; Moreno-Rojas, J.M.; Cid, C.; De Peña, M.-P. Influence of Heat Treatment on Antioxidant Capacity and (Poly)Phenolic Compounds of Selected Vegetables. Food Chem. 2016, 197, 466–473. [Google Scholar] [CrossRef] [PubMed]
- Garzon, R.; Skendi, A.; Antonio Lazo-Velez, M.; Papageorgiou, M.; Rosell, C.M. Interaction of Dough Acidity and Microalga Level on Bread Quality and Antioxidant Properties. Food Chem. 2021, 344, 128710. [Google Scholar] [CrossRef]
- Verdonck, C.; De Bondt, Y.; Pradal, I.; Bautil, A.; Langenaeken, N.A.; Brijs, K.; Goos, P.; De Vuyst, L.; Courtin, C.M. Impact of Process Parameters on the Specific Volume of Wholemeal Wheat Bread Made Using Sourdough- and Baker’s Yeast-Based Leavening Strategies. Int. J. Food Microbiol. 2023, 396, 110193. [Google Scholar] [CrossRef]
- Echegaray, N.; Munekata, P.E.S.; Gullón, P.; Dzuvor, C.K.O.; Gullón, B.; Kubi, F.; Lorenzo, J.M. Recent Advances in Food Products Fortification with Anthocyanins. Crit. Rev. Food Sci. Nutr. 2022, 62, 1553–1567. [Google Scholar] [CrossRef]
- Kandyliari, A.; Potsaki, P.; Bousdouni, P.; Kaloteraki, C.; Christofilea, M.; Almpounioti, K.; Moutsou, A.; Fasoulis, C.K.; Polychronis, L.V.; Gkalpinos, V.K.; et al. Development of Dairy Products Fortified with Plant Extracts: Antioxidant and Phenolic Content Characterization. Antioxidants 2023, 12, 500. [Google Scholar] [CrossRef]
- Artés-Hernández, F.; Castillejo, N.; Martínez-Zamora, L.; Martínez-Hernández, G.B. Phytochemical Fortification in Fruit and Vegetable Beverages with Green Technologies. Foods 2021, 10, 2534. [Google Scholar] [CrossRef]
- Delfanian, M.; Sahari, M.A. Improving Functionality, Bioavailability, Nutraceutical and Sensory Attributes of Fortified Foods Using Phenolics-Loaded Nanocarriers as Natural Ingredients. Food Res. Int. 2020, 137, 109555. [Google Scholar] [CrossRef]
- Joana Gil-Chávez, G.; Villa, J.A.; Fernando Ayala-Zavala, J.; Basilio Heredia, J.; Sepulveda, D.; Yahia, E.M.; González-Aguilar, G.A. Technologies for Extraction and Production of Bioactive Compounds to Be Used as Nutraceuticals and Food Ingredients: An Overview. Compr. Rev. Food Sci. Food Saf. 2013, 12, 5–23. [Google Scholar] [CrossRef]
- Durling, N.; Catchpole, O.; Grey, J.; Webby, R.; Mitchell, K.; Foo, L.; Perry, N. Extraction of Phenolics and Essential Oil from Dried Sage (Salvia Officinalis) Using Ethanol–Water Mixtures. Food Chem. 2007, 101, 1417–1424. [Google Scholar] [CrossRef]
- Plaskova, A.; Mlcek, J. New Insights of the Application of Water or Ethanol-Water Plant Extract Rich in Active Compounds in Food. Front. Nutr. 2023, 10, 1118761. [Google Scholar] [CrossRef]
- Górnaś, P.; Rudzińska, M. Seeds Recovered from Industry By-Products of Nine Fruit Species with a High Potential Utility as a Source of Unconventional Oil for Biodiesel and Cosmetic and Pharmaceutical Sectors. Ind. Crops Prod. 2016, 83, 329–338. [Google Scholar] [CrossRef]
- Arnous, A.; Makris, D.P.; Kefalas, P. Correlation of Pigment and Flavanol Content with Antioxidant Properties in Selected Aged Regional Wines from Greece. J. Food Compos. Anal. 2002, 15, 655–665. [Google Scholar] [CrossRef]
- Kalogeropoulos, N.; Konteles, S.J.; Troullidou, E.; Mourtzinos, I.; Karathanos, V.T. Chemical Composition, Antioxidant Activity and Antimicrobial Properties of Propolis Extracts from Greece and Cyprus. Food Chem. 2009, 116, 452–461. [Google Scholar] [CrossRef]
- Sant’Anna, V.; Christiano, F.D.P.; Marczak, L.D.F.; Tessaro, I.C.; Thys, R.C.S. The Effect of the Incorporation of Grape Marc Powder in Fettuccini Pasta Properties. LWT 2014, 58, 497–501. [Google Scholar] [CrossRef]
- Tomás-Barberán, F.A.; Ruiz, D.; Valero, D.; Rivera, D.; Obón, C.; Sánchez-Roca, C.; Gil, M.I. Health Benefits from Pomegranates and Stone Fruit, Including Plums, Peaches, Apricots and Cherries. In Bioactives in Fruit: Health Benefits and Functional Foods; John Wiley & Sons: Hoboken, NJ, USA, 2013. [Google Scholar]
- Meerts, M.; Cardinaels, R.; Oosterlinck, F.; Courtin, C.M.; Moldenaers, P. The Impact of Water Content and Mixing Time on the Linear and Non-Linear Rheology of Wheat Flour Dough. Food Biophys. 2017, 12, 151–163. [Google Scholar] [CrossRef]
- Sofou, S.; Muliawan, E.B.; Hatzikiriakos, S.G.; Mitsoulis, E. Rheological Characterization and Constitutive Modeling of Bread Dough. Rheol. Acta 2008, 47, 369–381. [Google Scholar] [CrossRef]
- Amemiya, J.I.; Menjivar, J.A. Comparison of Small and Large Deformation Measurements to Characterize the Rheology of Wheat Flour Doughs. In Rheology of Foods; Elsevier: Amsterdam, The Netherlands, 1992; Volume 16. [Google Scholar]
- Della Valle, G.; Dufour, M.; Hugon, F.; Chiron, H.; Saulnier, L.; Kansou, K. Rheology of Wheat Flour Dough at Mixing. Curr. Opin. Food Sci. 2022, 47, 100873. [Google Scholar] [CrossRef]
- Blando, F.; Oomah, B.D. Sweet and Sour Cherries: Origin, Distribution, Nutritional Composition and Health Benefits. Trends Food Sci. Technol. 2019, 86, 517–529. [Google Scholar] [CrossRef]
- Imeneo, V.; Romeo, R.; Gattuso, A.; De Bruno, A.; Piscopo, A. Functionalized Biscuits with Bioactive Ingredients Obtained by Citrus Lemon Pomace. Foods 2021, 10, 2460. [Google Scholar] [CrossRef]
- Miśkiewicz, K.; Nebesny, E.; Rosicka-Kaczmarek, J.; Żyżelewicz, D.; Budryn, G. The Effects of Baking Conditions on Acrylamide Content in Shortcrust Cookies with Added Freeze-Dried Aqueous Rosemary Extract. J. Food Sci. Technol. 2018, 55, 4184–4196. [Google Scholar] [CrossRef]
- Chen, F.; Zhang, M.; Yang, C.H. Application of Ultrasound Technology in Processing of Ready-to-Eat Fresh Food: A Review. Ultrason. Sonochem. 2020, 63, 104953. [Google Scholar] [CrossRef]
- Sivam, A.S.; Sun-Waterhouse, D.; Waterhouse, G.I.N.; Quek, S.; Perera, C.O. Physicochemical Properties of Bread Dough and Finished Bread with Added Pectin Fiber and Phenolic Antioxidants. J. Food Sci. 2011, 76, H97–H107. [Google Scholar] [CrossRef] [PubMed]
- Baiano, A.; Viggiani, I.; Terracone, C.; Romaniello, R.; Del Nobile, M.A. Physical and Sensory Properties of Bread Enriched with Phenolic Aqueous Extracts from Vegetable Wastes. Czech J. Food Sci. 2015, 33, 247–253. [Google Scholar] [CrossRef]
- Masoodi, F.A.; Chauhan, G.S. Use of apple pomace as a source of dietary fiber in wheat bread. J. Food Process. Preserv. 1998, 22, 255–263. [Google Scholar] [CrossRef]
- Miller, K.A.; Hoseney, R.C. Dynamic Rheological Properties of Wheat Starch-Gluten Doughs. Cereal Chem. 1999, 76, 105–109. [Google Scholar] [CrossRef]
- Xu, F.; Chen, J.; Ren, J.Y.; Liu, S.H.; Wang, L.; Wang, Y.H. Effect of Sodium Carbonate on Rheological, Structural, and Sensory Properties of Wheat Dough and Noodle. J. Food Process. Preserv. 2022, 46, e16148. [Google Scholar] [CrossRef]
- Song, Y.; Zheng, Q. Structure and Properties of Methylcellulose Microfiber Reinforced Wheat Gluten Based Green Composites. Ind. Crops Prod. 2009, 29, 446–454. [Google Scholar] [CrossRef]
- Shiau, S.Y.; Yeh, A.I. Effects of Alkali and Acid on Dough Rheological Properties and Characteristics of Extruded Noodles. J. Cereal Sci. 2001, 33, 27–37. [Google Scholar] [CrossRef]
- Petrović, J.; Pajin, B.; Lončarević, I.; Šaponjac, V.T.; Nikolić, I.; Ačkar, Đ.; Zarić, D. Encapsulated Sour Cherry Pomace Extract: Effect on the Colour and Rheology of Cookie Dough. Food Sci. Technol. Int. 2019, 25, 130–140. [Google Scholar] [CrossRef] [PubMed]
- Wu, M.Y.; Chang, Y.H.; Shiau, S.Y.; Chen, C.C. Rheology of Fiber-Enriched Steamed Bread: Stress Relaxation and Texture Profile Analysis. J. Food Drug Anal. 2012, 20, 18. [Google Scholar] [CrossRef]
- Canale, M.; Sanfilippo, R.; Strano, M.C.; Amenta, M.; Allegra, M.; Proetto, I.; Papa, M.; Palmeri, R.; Todaro, A.; Spina, A. Artichoke Industrial Waste in Durum Wheat Bread: Effects of Two Different Preparation and Drying Methods of Flours and Evaluation of Quality Parameters during Short Storage. Foods 2023, 12, 3419. [Google Scholar] [CrossRef]
- Jayaram, V.B.; Cuyvers, S.; Verstrepen, K.J.; Delcour, J.A.; Courtin, C.M. Succinic Acid in Levels Produced by Yeast (Saccharomyces Cerevisiae) during Fermentation Strongly Impacts Wheat Bread Dough Properties. Food Chem. 2014, 151, 421–428. [Google Scholar] [CrossRef] [PubMed]
- Tolve, R.; Pasini, G.; Vignale, F.; Favati, F.; Simonato, B. Effect of Grape Pomace Addition on the Technological, Sensory, and Nutritional Properties of Durum Wheat Pasta. Foods 2020, 9, 354. [Google Scholar] [CrossRef] [PubMed]








| Cherry Dough | Sour Cherry Dough | ||||||
|---|---|---|---|---|---|---|---|
| ΔE | pH | TP | ΔE | pH | TP | ||
| C. | Chemical Leavening | - | 7.13 ± 0.06 b | - | 7.07 ± 0.00 e | - | |
| E. | 32.99 ± 0.30 d | 6.92 ± 0.09 a,b | 95.2 ± 18.0 b | 24.88 ± 0.14 d | 6.42 ± 0.02 c | 123.8 ± 14.2 b | |
| D.E. | 23.54 ± 0.03 b | 6.98 ± 0.07 a,b | 3.1 ± 0.4 a | 17.79 ± 0.19 b | 6.70 ± 0.05 b | 3.8 ± 0.7 a | |
| P. | 28.75 ± 0.33 c | 6.94 ± 0.05 a | 95.2 ± 17.4 b | 23.49 ± 0.13 c | 6.11 ± 0.19 d | 123.4 ± 14.6 b | |
| E./P. | 40.96 ± 0.31 f | 6.78 ± 0.06 b,c | 95.2 ± 18.0 b | 39.50 ± 0.09 f | 5.25 ± 0.04 a | 123.8 ± 14.2 b | |
| D.E./P. | 36.55 ± 0.33 e | 6.80 ± 0.09 a | 98.4 ± 18.0 b | 38.04 ± 0.16 e | 5.53 ± 0.06 b | 127.6 ± 14.7 b | |
| C. | Biological Leavening | - | 5.65 ± 0.06 d | - | - | 5.52 ± 0.01 c | - |
| E. | 31.84 ± 0.01 d | 5.73 ± 0.04 d | 95.2 ± 18.0 b | 30.27 ± 0.07 c | 4.68 ± 0.03 d | 123.8 ± 14.2 b | |
| D.E. | 24.77 ± 0.03 c | 5.37 ± 0.15 b | 3.1 ± 0.4 a | 17.35 ± 0.08 b | 4.83 ± 0.01 a,b | 3.8 ± 0.7 a | |
| P. | 24.15 ± 0.03 b | 5.17 ± 0.09 b | 95.2 ± 17.4 b | 31.11 ± 0.14 d | 4.34 ± 0.03 b | 123.4 ± 14.6 b | |
| E./P. | 41.40 ± 0.16 f | 5.18 ± 0.01 c | 95.2 ± 18.0 b | 42.91 ± 0.12 f | 4.01 ± 0.03 a,b | 123.8± 14.2 b | |
| D.E./P. | 38.90 ± 0.21 e | 4.97 ± 0.03 a | 98.4 ± 18.0 b | 36.89 ± 0.13 e | 4.31 ± 0.07 a | 127.6 ± 14.7 b | |
| P. Ch. | P. S.Ch. | D.E. S.Ch. | D.E. Ch. | |
|---|---|---|---|---|
| Cinnamic acid | 149.52 ± 2.58 | 730.63 ± 15.23 | 17.98 ± 1.28 | 4.16 ± 0.97 |
| Ursolic acid | 58.65 ± 1.24 | 88.96 ± 9.18 | n.d. | n.d. |
| Protocatechuic acid | 47.52 ± 0.67 | 68.19 ± 2.35 | 1.28 ± 0.98 | 3.03 ± 0.25 |
| Oleanolic acid | 72.96 ± 4.83 | 15.54 ± 2.41 | n.d. | 1.32 ± 0.06 |
| Gallic acid | 57.81 ± 4.32 | 0.30 ± 0.07 | 0.25 ± 0.08 | 0.09 ± 0.01 |
| Vanillin | 10.78 ± 1.98 | 45.69 ± 2.35 | 1.17 ± 0.18 | 0.30 ± 0.06 |
| Epicatechin | 10.37 ± 0.25 | 51.32 ± 4.32 | 1.15 ± 0.11 | n.d. |
| Quercetin | 3.02 ± 0.18 | 4.66 ± 0.99 | 1.46 ± 0.09 | 1.67 ± 0.85 |
| Caffeic acid | 1.15 ± 0.04 | 0.74 ± 0.09 | 0.10 ± 0.02 | 0.06 ± 0.00 |
| p-hydroxybenzoic acid | 2.18 ± 0.11 | 0.49 ± 0.08 | n.d. | 0.32 ± 0.02 |
| Vannilic acid | 2.14 ± 0.14 | 0.77 ± 0.06 | n.d. | 0.25 ± 0.09 |
| Catechin | 2.28 ± 0.08 | 6.88 ± 0.45 | 0.19 ± 0.02 | n.d. |
| Chrysic | 2.24 ± 0.16 | 3.15 ± 0.94 | 1.83 ± 0.05 | n.d. |
| Ferulic acid | 0.37 ± 0.02 | 0.81 ± 0.05 | 0.13 ± 0.04 | n.d. |
| Kaempferol | 0.18 ± 0.03 | 1.17 ± 0.08 | n.d. | n.d. |
| Tyrosol | n.d. | 0.02 ± 0.00 | n.d. | n.d. |
| Phloretic acid | n.d. | 0.86 ± 0.05 | n.d. | n.d. |
| Syringic acid | n.d. | 0.91 ± 0.09 | n.d. | n.d. |
| Sinapic acid | n.d. | 0.24 ± 0.03 | n.d. | n.d. |
| Naringenin | n.d. | 1.81 ± 0.14 | n.d. | n.d. |
| Chlorogenic acid | n.d. | 116.98 ± 13.46 | 6.54 ± 0.98 | n.d. |
| Resveratrol | 6.49 ± 0.21 | n.d. | n.d. | n.d. |
| 3-4 dihydroxyphenylacetic acid | 0.76 ± 0.08 | n.d. | n.d. | n.d. |
| Proofing Conditions | Biological Leavening | Chemical Leavening | ||||
|---|---|---|---|---|---|---|
| Samples | Hardness (N) | Cohesiveness | Gumminess | Hardness (N) | Cohesiveness | Gumminess |
| C. | 0.32 ± | 0.75 ± | 0.24 ± | 0.35 ± | 0.69 ± | 0.25 ± |
| Cherry | ||||||
| E. | 0.74 ± | 0.45 ± | 0.34 ± | 0.33 ± | 0.57 ± | 0.19 ± |
| P. | 0.33 ± | 0.71 ± | 0.23 ± | 0.45 ± | 0.59 ± | 0.26 ± |
| E./P. | 0.68 ± | 0.52 ± | 0.39 ± | 0.26 ± | 0.56 ± | 0.14 ± |
| D.E. | 0.42 ± | 0.65 ± | 0.26 ± | 0.32 ± | 0.62 ± | 0.21 ± |
| D.E./P. | 0.52 ± | 0.34 ± | 0.18 ± | 0.55 ± | 0.55 ± | 0.30 ± |
| Sour Cherry | ||||||
| E. | 0.63 ± | 0.64 ± | 0.37 ± | 0.36 ± | 0.58 ± | 0.21 ± |
| P. | 0.34 ± | 0.76 ± | 0.26 ± | 0.47 ± | 0.69 ± | 0.33 ± |
| E./P. | 0.65 ± | 0.63 ± | 0.43 ± | 0.33 ± | 0.58 ± | 0.19 ± |
| D.E. | 0.22 ± | 0.72 ± | 0.16 ± | 0.34 ± | 0.49 ± | 0.16 ± |
| D.E./P. | 0.41 ± | 0.68 ± | 0.21 ± | 0.38 ± | 0.49 ± | 0.20 ± |
| Proofing Conditions | Biological Leavening | Chemical Leavening | ||||
|---|---|---|---|---|---|---|
| Samples | Hardness (N) | Cohesiveness | Gumminess | Hardness (N) | Cohesiveness | Gumminess |
| C. | 10.3 ± | 0.70 ± | 7.2 ± | 15.2 ± | 0.61 ± | 9.2 ± |
| Cherry | ||||||
| E. | 42.6 ± | 0.30 ± | 12.6 ± | 28.9 ± | 0.33 ± | 9.5 ± |
| P. | 8.5 ± | 0.66 ± | 5.6 ± | 17.5 ± | 0.52 ± | 9.1 ± |
| E./P. | 29.3 ± | 0.30 ± | 8.8 ± | 29.8 ± | 0.30 ± | 8.6 ± |
| D.E. | 8.5 ± | 0.65 ± | 5.6 ± | 17.8 ± | 0.51 ± | 9.2 ± |
| D.E./P. | 20.0 ± | 0.45 ± | 8.9 ± | 25.8 ± | 0.26 ± | 6.6 ± |
| Sour Cherry | ||||||
| E. | 31.0 ± | 0.22 ± | 6.8 ± | 25.3 ± | 0.31 ± | 6.8 ± |
| P. | 12.3 ± | 0.69 ± | 8.5 ± | 15.4 ± | 0.56 ± | 8.6 ± |
| E./P. | 32.8 ± | 0.27 ± | 9.0 ± | 24.5 ± | 0.28 ± | 6.8 ± |
| D.E. | 15.2 ± | 0.61 ± | 9.2 ± | 11.1 ± | 0.59 ± | 6.4 ± |
| D.E./P. | 43.7 ± | 0.48 ± | 20.8 ± | 81.8 ± | 0.45 ± | 37.2 ± |
Disclaimer/Publisher’s Note: The statements, opinions and data contained in all publications are solely those of the individual author(s) and contributor(s) and not of MDPI and/or the editor(s). MDPI and/or the editor(s) disclaim responsibility for any injury to people or property resulting from any ideas, methods, instructions or products referred to in the content. |
© 2024 by the authors. Licensee MDPI, Basel, Switzerland. This article is an open access article distributed under the terms and conditions of the Creative Commons Attribution (CC BY) license (https://creativecommons.org/licenses/by/4.0/).
Share and Cite
Karvela, E.D.; Nikolaou, E.N.; Tagkouli, D.; Chiou, A.; Karathanos, V.T. Assessing Different Fruit Formulations for the Supplementation of Bakery Products with Bioactive Micro-Constituents from Sweet Cherry (Prunus avium L.) and Sour Cherry (Prunus cerasus L.): A Physicochemical and Rheological Approach. Foods 2024, 13, 2794. https://doi.org/10.3390/foods13172794
Karvela ED, Nikolaou EN, Tagkouli D, Chiou A, Karathanos VT. Assessing Different Fruit Formulations for the Supplementation of Bakery Products with Bioactive Micro-Constituents from Sweet Cherry (Prunus avium L.) and Sour Cherry (Prunus cerasus L.): A Physicochemical and Rheological Approach. Foods. 2024; 13(17):2794. https://doi.org/10.3390/foods13172794
Chicago/Turabian StyleKarvela, Evangelia D., Evgenia N. Nikolaou, Dimitra Tagkouli, Antonia Chiou, and Vaios T. Karathanos. 2024. "Assessing Different Fruit Formulations for the Supplementation of Bakery Products with Bioactive Micro-Constituents from Sweet Cherry (Prunus avium L.) and Sour Cherry (Prunus cerasus L.): A Physicochemical and Rheological Approach" Foods 13, no. 17: 2794. https://doi.org/10.3390/foods13172794
APA StyleKarvela, E. D., Nikolaou, E. N., Tagkouli, D., Chiou, A., & Karathanos, V. T. (2024). Assessing Different Fruit Formulations for the Supplementation of Bakery Products with Bioactive Micro-Constituents from Sweet Cherry (Prunus avium L.) and Sour Cherry (Prunus cerasus L.): A Physicochemical and Rheological Approach. Foods, 13(17), 2794. https://doi.org/10.3390/foods13172794

