Waste to H2 Sustainable Processes: A Review on H2S Valorization Technologies
Abstract
1. Introduction
2. Hydrogen Sulfide Methane Reformation
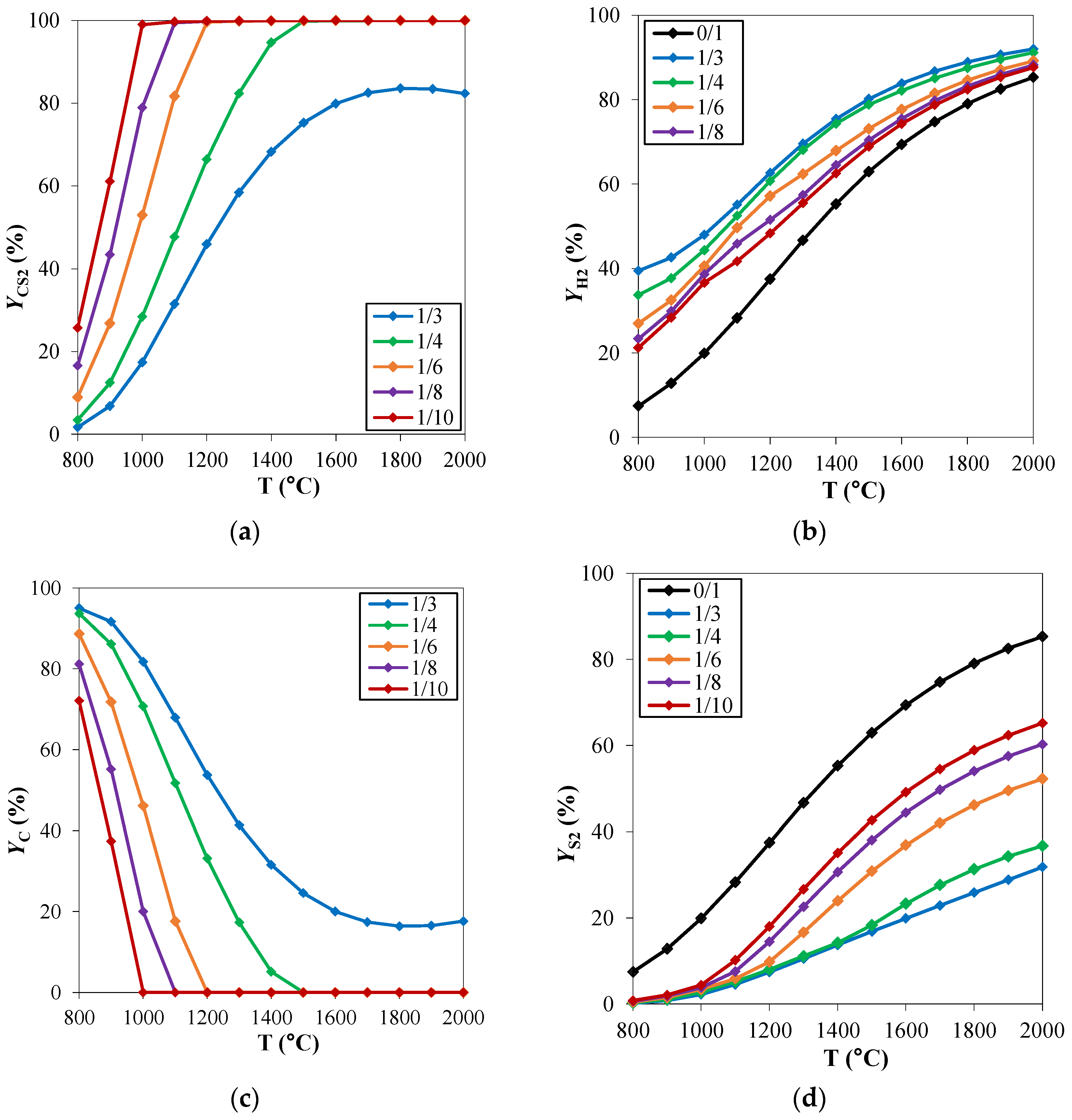
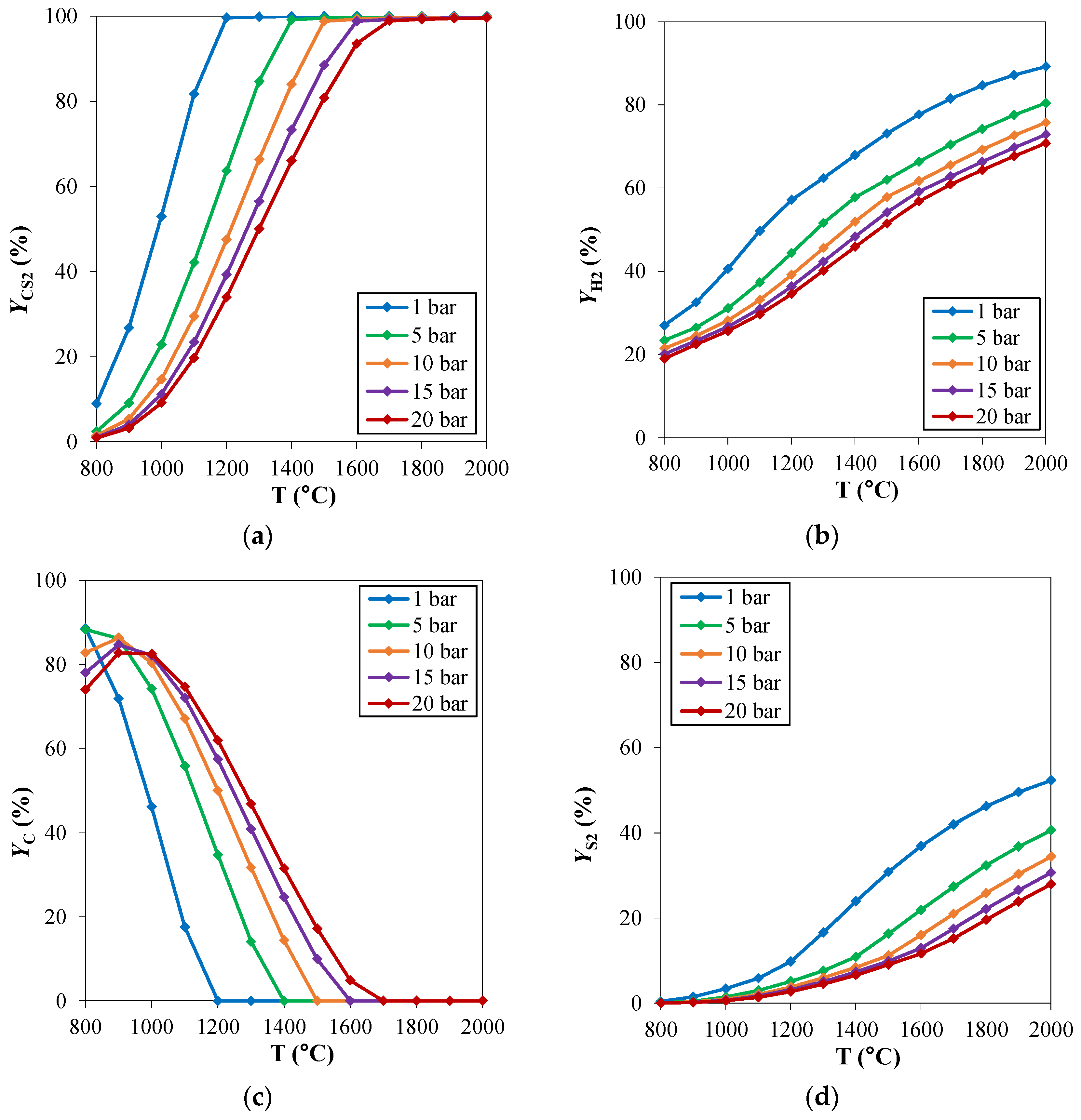
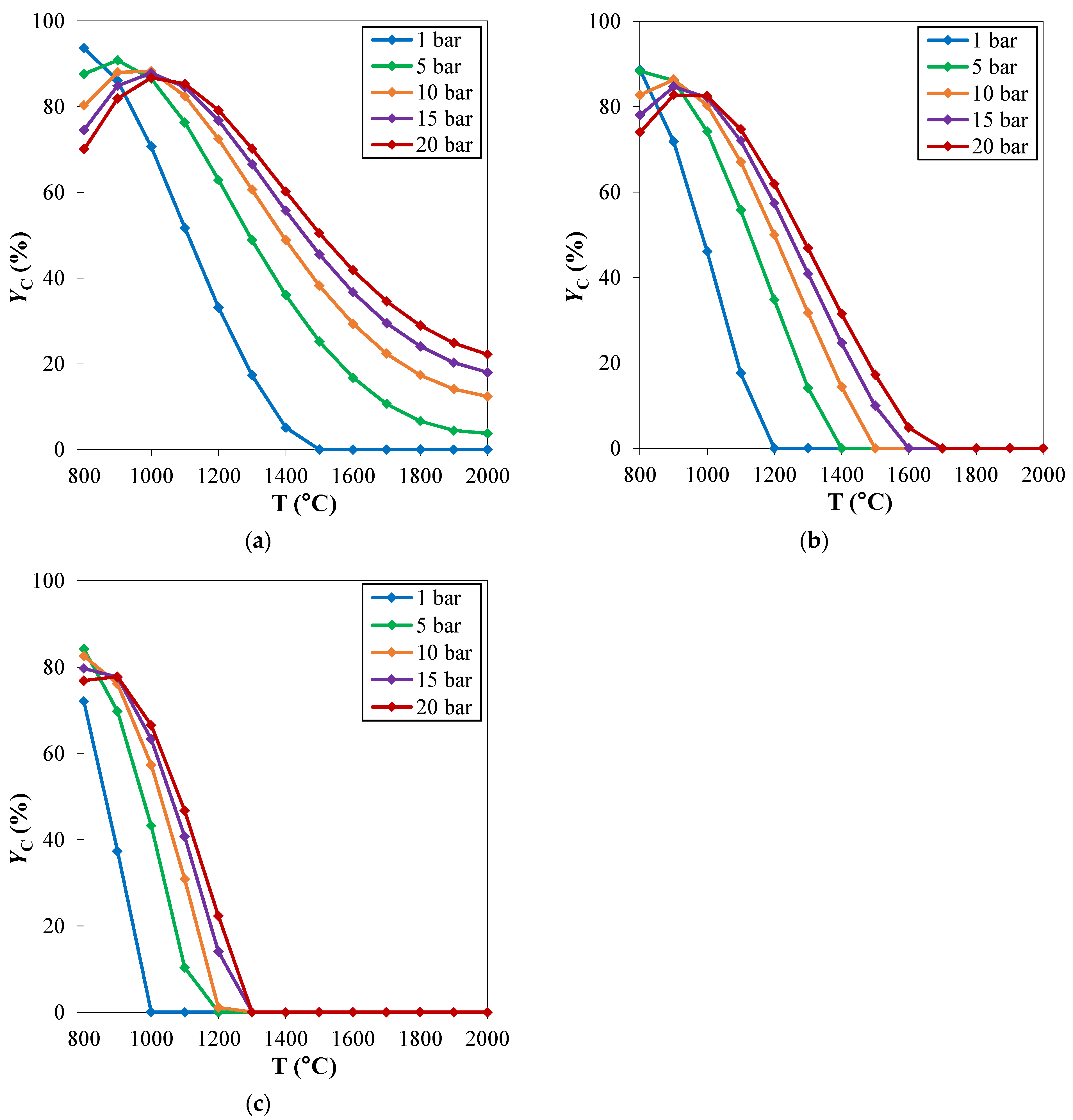
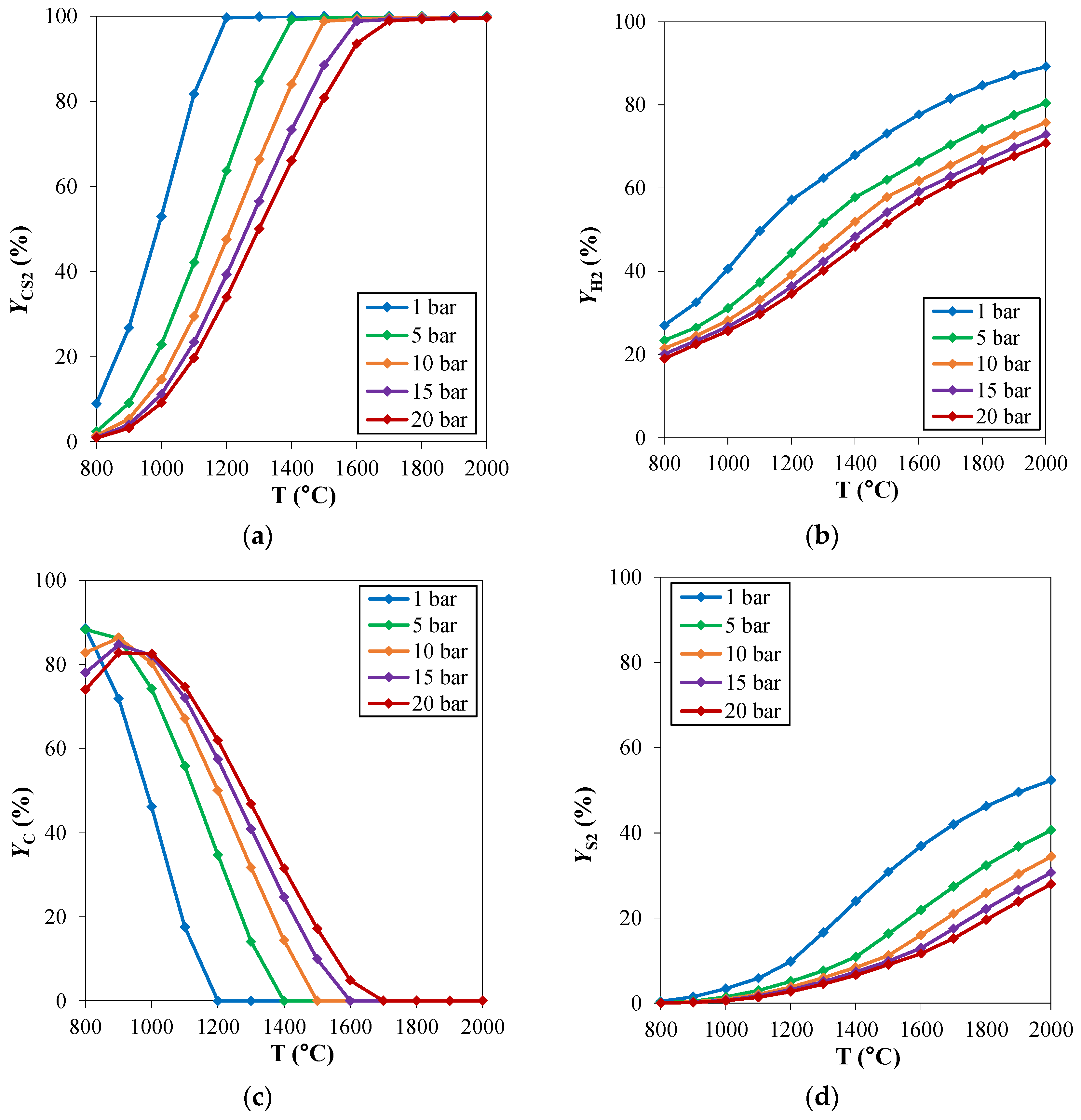
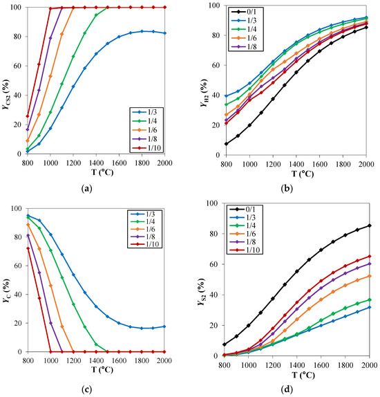
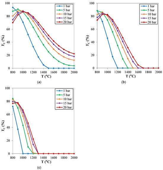
2.1. Thermodynamic Assessment
2.2. Catalyst and Kinetic Modelling
- Atmospheric pressure;
- (CH4/H2S)IN lower than the stoichiometric ratio;
- T of about 1000 °C;
- Residence time in the reactor t < 1 s.
2.3. Process Scheme and Preliminary Economic Evaluations
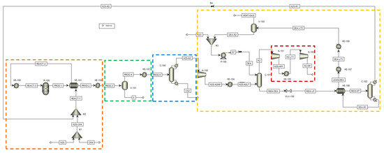
2.3.1. Process Scheme
- Reaction section (dashed orange line in Figure 6). This section mainly consists of the reformation reactor R-100, where reactants reach the thermodynamic equilibrium conversion at the specified pressure and temperature. For each simulated case, fixed the CH4/H2S feed molar ratio, the reaction temperature was set equal to the pinch temperature and the pressure was fixed at 1.7 bar. The fresh H2S and CH4 streams (respectively H2S and CH4 streams in Figure 6) are mixed with the recycled H2S and fed to the reaction section, after being preheated by exchanging heat with the products, in order to recover their high enthalpy content;
- Sulfur separation section (dashed green line in Figure 6). This section mainly consists of the flash V-101, which operates at 135 °C, as both in the Frasch and Claus processes [44]. This separator allows the recovery of a liquid sulfur stream (S in Figure 6) with a purity suitable to be commercialized (>99.5 mol%);
- Carbon disulfide separation section (dashed blue line in Figure 6). This section mainly consists of the C-100 distillation column which allows the CS2 separation as the column bottom product, with a purity >99.5 mol%, such that it can be commercialized. The column top product, a gaseous mixture mainly composed of H2, H2S and traces of CH4, is routed to the hydrogen purification section;
- Hydrogen separation section (dashed yellow line in Figure 6). This section mainly consists of the columns C-101 and C-102. The former is an absorption column, which uses a diethanolamine (DEA) solution at 20 wt.% as the washing solvent to separate the H2 from H2S. H2, exiting from the top of the absorption column, is routed to the H2 compression train, while the rich amine solution, which contains almost all the unconverted H2S, exits from the bottom of the same column and has to be regenerated into the C-102 unit. This latter column performs the separation of hydrogen sulfide from the DEA solution: H2S is recovered as a gaseous product from the top of the column and recycled back to the reaction section, while the DEA solution, exiting from the bottom, is cooled, pumped, and recycled back to the column C-101. The overhead H2S stream contains about 2.5 mol% of water to ensure a sufficiently high operating temperature of the condenser of C-102, such that water can be used as the cooling utility;
2.3.2. Preliminary Economic Evaluations
2.4. Summary and Future Outlooks
- The optimal formulation of the catalyst. Designing the right catalyst for the process is one of the key aspects of technology scale-up. The catalytic activity and the working conditions of the catalyst itself impose limits of operability within which to operate the reformation reaction;
- The kinetics of the system. An in-depth kinetic experimentation could, on the one hand, clarify the phenomenon and produce the experimental observations necessary to model it, on the other hand, identify the most suitable operating conditions for the process, from a not only thermodynamic but also kinetic point of view. In particular, an aspect to be investigated in this sense concerns the effect of pressure on the system. The thermodynamic analysis shows, as expected, that the pressure increase has a negative effect on the balance of the mixture, increasing the production of coke. However, working under pressure could be useful to reduce the reactor size and to facilitate the compression of hydrogen downstream of the reaction, if to be used in pressure applications;
- The optimization of the process scheme, both in the reaction stage, by introducing an appropriate kinetic model, and in the unit operations of downstream separation (separation of CS2 by distillation, H2 separation by absorption).
3. Direct Decomposition through Non-Thermal Plasma
- Specific Energy Requirement (SER), SER = W/Qi, being W the input power and Qi the flowrate of the product of interest, which measures the efficiency of the process in terms of the hydrogen production;
- Specific Energy Input (SEI), SEI = W/Q0, being W the input power and Q0 the flowrate of the initial reagent, which measures the efficiency of the process in terms of the inlet H2S conversion.
- from 0.2 to 0.7 eV∙molecule−1, the process mainly proceeds via the reaction pathway:
- From 0.7 to 1.4 eV∙molecule−1 the process mainly proceeds via the reaction pathway:
- From 1.4 to 4 eV∙molecule−1 the process mainly proceeds via the chemical reaction pathway:
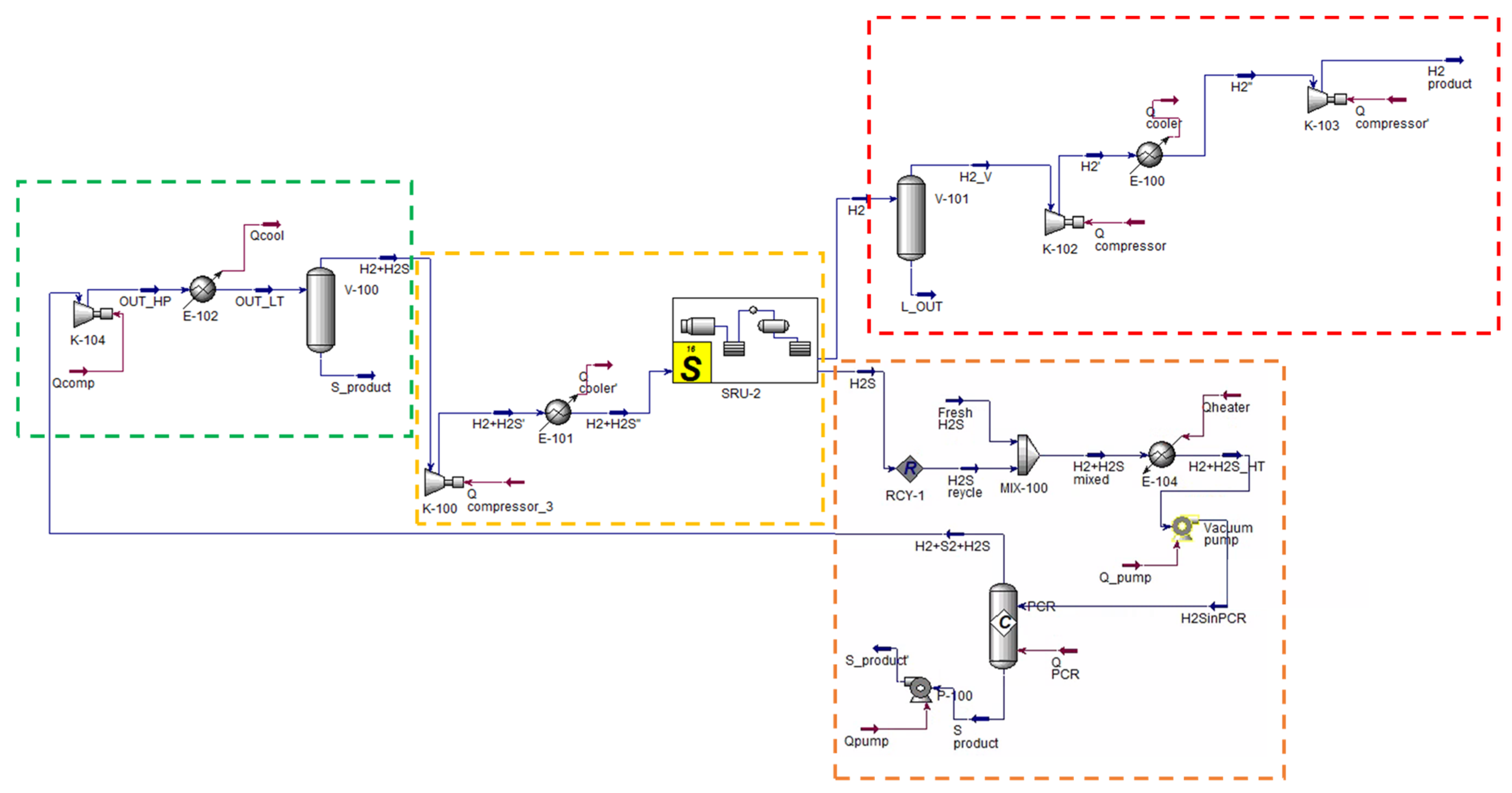
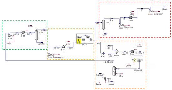
3.1. Process Scheme and Preliminary Economic Assessment
- Sulfur separation section (dashed green line in Figure 13). This section consists of the V-100 phase separator which allows to recover a liquid phase sulfur stream whose purity is in line with commercial standards (>99.5 mol%);
- Hydrogen separation section (dashed yellow line in Figure 13). This section mainly consists of the absorption column followed by the solvent regeneration column, simulated through a proprietary package available in the Sulsim sulfur recovery template;
- Hydrogen compression section (dashed red line in Figure 13). This section has the purpose of compressing the produced hydrogen for its introduction into the pipeline together with methane.
- Scenario 1, considering the gain associated to non-emitted CO2 if comparing the process to a traditional steam methane reforming process;
- Scenario 2, that does not consider the gain associated to the non-emitted CO2.
3.2. Summary and Future Outlooks
4. Other Technologies
4.1. Photocatalytic Decomposition
- Photocatalytic decomposition in the liquid phase is more commonly employed than in the gas phase for several reasons [69]:
- The absorption of H2S by liquids, such as basic aqueous solution or ethanolamine, is a widely accepted strategy to collect H2S gas;
- It enables the achievement of higher H2S concentrations (often in the ppm level in the gas phase).
- Metal oxides (binary and ternary): d0 metal oxides (TiO2, ZrO2, SrTiO3, Ta2O5, Bi2W2O9, and Nb2O5), d10 metal oxides (ZnO, In2O3), f0 metal oxides (CeO2);
- Metal sulfides: ZnS, MnS, CdS, CuInS2, AgIn2S2, and their solid solutions. CdS, with a 2.4 eV band gap is particularly noteworthy due to its responsiveness to visible light.
- 2.
- Photocatalytic decomposition in gas phase. Very few studies of the gas-phase photocatalytic process have been reported, which emphasized the problem of catalyst deactivation. Canela et al. [77] performed the photocatalytic decomposition of H2S in the gas phase, employing TiO2 as the catalyst, and noted catalyst deactivation at H2S concentrations exceeding 600 ppmv. Kataoka and coauthors [78] conducted analogous experiments and determined that H2S underwent oxidation to form SO42− without generating notable gaseous intermediates like SO, SO2, and SO2−. Portela et al. [79] investigated H2S decomposition with initial concentration of 15 ppm in the gas phase using heterogeneous photocatalysts. They also noted the accumulation of SO42− on the photocatalyst surface, resulting in deactivation. Gujun et al. [80] investigated photocatalytic decomposition of H2S in the gas phase to produce H2 in an anaerobic environment, employing five semiconductor photocatalysts (ZnO, TiO2, ZnS, CdS and ZnIn2S4). ZnS exhibited the maximum rate of hydrogen production, and the introduction of Cu2+ during the ZnS catalyst preparation promoted its activity. The addition of Ir was found to be effective as well in enhancing hydrogen production. More recently, Lou et al. [81] proposed the SiO2-supported Au as photocatalyst for the decomposition of H2S using visible light. Reaction rates up to 20 times higher than thermocatalysis at nominally the same surface temperatures were claimed by the author, because of the photogenerated HCs, which accelerates the second H–S bond scission. In the same year, anatase/TiO2(B) nanotubes were applied to favor H2S decomposition or oxidation at concentrations below several ppb, at a kinetic rate of 75 μmol h−1 g−1.
- Low productivity (80 μmol∙g−1∙h−1);
- Catalyst deactivation due to sulfur poisoning;
- High relative humidity negatively affecting the photocatalytic splitting of H2S, as water competes for adsorption on active surface sites required for H2S decomposition;
- Research indicates that ZnS is an effective photocatalyst for H2S splitting in the gas phase, yielding a significant amount of H2 compared with other metal oxides or sulfides like ZnO, TiO2, and CdS. However, ZnS faces issues of photo-corrosion, prompting efforts to develop nanostructures based on ZnS heterojunctions.
4.2. Thermochemical Decomposition through Cycles
- Iodine cycles, divided in turn into two-step cycles with iodine and three-step cycles with iodine and sulfuric acid.
- 2.
- Cycles with sulfurization of metals, inorganic sulfides or oxides. A metal M or a sulfide MxSy having affinity with sulfur are used as a substrate to capture sulfur from hydrogen sulfide according to the Kiuchi type-1 reactions [88]:
- 3.
- CO/COS cycles. Zaman and Chakma [89] outlined a process that relies on the utilization of CO as intermediate reactant, which is consumed and subsequently regenerated through the following steps:
4.3. Thermocatalytic Decomposition
4.4. Decomposition via Electrolysis
- Direct methods, typically based on the use of an electrolytic cell in an alkaline medium. The direct electrochemical splitting of H2S is represented by the two half-reactions:
- 2.
- Indirect methods, involving the use of a co-oxidizing agent (typically, metals, metal oxides, or iodides) to promote the conversion of sulfides to elemental sulfur. The process, depicted in Figure 15, is split into three separate steps: chemical absorption (1), sulfur separation (2) and electrochemical conversion (3). Inside the absorber, elemental sulfur is formed and, after its separation, the resulting solution is passed through the electrolysis cell where hydrogen is released and the starting medium is regenerated. Acidic aqueous solutions of Fe3+/Fe2+, (VO2)+/(VO)2+ or FeCl2/FeCl3, as the electrochemical intermediate, are currently the most promising systems [108].
- 3.
- Other methods, which are based on the use of high temperatures to favor the formation of sulfur in the liquid and gas phase. However, these methodologies are at a preliminary stage [110]. Several research groups have explored the integration of renewable energy into H2S electrolysis. One example involves modeling the production of hydrogen from H2S within geothermal power plants using electrolysis methods [111]. This approach involves abatement of mercury emission, selective catalytic oxidation of H2S to SO2, and SO2 scrubbing using geothermal water. The H2S, obtained from gaseous emissions, is separated to the pure H2 and gaseous S2 using a proton exchange membrane (PEM) electrolyzer operating at 150 °C. Thermodynamic calculations and parametric studies were conducted by varying multiple process parameters. The energy and exergy efficiencies of the process were determined as 27.8% and 57.1%, respectively, at an inlet temperature of H2S of 150 °C. In another study [112], various models were developed for the use of biogas-based electricity and sewage sludge obtained from a municipal wastewater treatment plant for H2 production. These models included alkaline, PEM, high temperature water electrolysis, alkaline hydrogen sulfide electrolysis, and dark fermentation biohydrogen production processes. Energy and economic analyses were conducted on these models. Regarding the H2 production rate, the high temperature electrolysis process demonstrated superiority over the other models, with PEM electrolysis following closely behind. However, concerning H2 production cost, H2S electrolysis outperformed the other models.
5. Conclusions
Author Contributions
Funding
Data Availability Statement
Conflicts of Interest
References
- IEA Publications & International Energy Agency. Gas Market Report Q3-2021. Available online: https://iea.blob.core.windows.net/assets/4fee1942-b380-43f8-bd86-671a742db18e/GasMarketReportQ32021_includingGas2021Analysisandforecastto2024.pdf (accessed on 22 June 2023).
- De Guido, G.; Messinetti, F.; Spatolisano, E. Cryogenic Nitrogen Rejection Schemes: Analysis of Their Tolerance to CO2. Ind. Eng. Chem. Res. 2019, 58, 17475–17488. [Google Scholar] [CrossRef]
- Pellegrini, L.A.; Gilardi, M.; Giudici, F.; Spatolisano, E. New solvents for CO2 and H2S removal from gaseous streams. Energies 2021, 14, 6687. [Google Scholar] [CrossRef]
- De Guido, G.; Pellegrini, L.A. Calculation of solid-vapor equilibria for cryogenic carbon capture. Comput. Chem. Eng. 2022, 156, 107569. [Google Scholar] [CrossRef]
- De Guido, G.; Langè, S.; Moioli, S.; Pellegrini, L.A. Thermodynamic method for the prediction of solid CO2 formation from multicomponent mixtures. Process Saf. Environ. Prot. 2014, 92, 70–79. [Google Scholar] [CrossRef]
- Spatolisano, E.; de Angelis, A.R.; Pellegrini, L.A. Middle Scale Hydrogen Sulphide Conversion and Valorisation Technologies: A Review. ChemBioEng Reviews 2022, 9, 370–392. [Google Scholar] [CrossRef]
- De Guido, G.; Monticelli, C.; Spatolisano, E.; Pellegrini, L.A. Separation of the Mixture 2-Propanol+ Water by Heterogeneous Azeotropic Distillation with Isooctane as an Entrainer. Energies 2021, 14, 5471. [Google Scholar] [CrossRef]
- Spatolisano, E.; Pellegrini, L.A.; Gelosa, S.; Broglia, F.; Bonoldi, L.; de Angelis, A.R.; Moscotti, D.G.; Nali, M. Polythionic acids in the Wackenroder reaction. ACS Omega 2021, 6, 26140–26149. [Google Scholar] [CrossRef] [PubMed]
- De Guido, G.; Pellegrini, L.A.; Besagni, G.; Inzoli, F. Acid Gas Removal from Natural Gas by Water Washing. Chem. Eng. Trans. 2017, 57, 1129–1134. [Google Scholar] [CrossRef]
- Spatolisano, E.; Pellegrini, L.A.; Bonoldi, L.; de Angelis, A.R.; Moscotti, D.G.; Nali, M. Kinetic modelling of polythionic acids in Wackenroder reaction. Chem. Eng. Sci. 2022, 250, 117403. [Google Scholar] [CrossRef]
- T-Raissi, A. Technoeconomic Analysis of Area II Hydrogen Production-Part 1; Florida Solar Energy Center: Cocoa, FL, USA, 2001. [Google Scholar]
- Restelli, F.; Spatolisano, E.; Pellegrini, L.A.; Cattaneo, S.; de Angelis, A.R.; Lainati, A.; Roccaro, E. Liquefied hydrogen value chain: A detailed techno-economic evaluation for its application in the industrial and mobility sectors. Int. J. Hydrogen Energy 2024, 52, 454–466. [Google Scholar] [CrossRef]
- Restelli, F.; Spatolisano, E.; Pellegrini, L.A.; de Angelis, A.R.; Cattaneo, S.; Roccaro, E. Detailed techno-economic assessment of ammonia as green H2 carrier. Int. J. Hydrogen Energy 2023, 52, 532–547. [Google Scholar] [CrossRef]
- Spatolisano, E.; Restelli, F.; Matichecchia, A.; Pellegrini, L.A.; de Angelis, A.R.; Cattaneo, S.; Roccaro, E. Assessing opportunities and weaknesses of green hydrogen transport via LOHC through a detailed techno-economic analysis. Int. J. Hydrogen Energy 2024, 52, 703–717. [Google Scholar] [CrossRef]
- Hwang, J.; Maharjan, K.; Cho, H. A review of hydrogen utilization in power generation and transportation sectors: Achievements and future challenges. Int. J. Hydrogen Energy 2023, 48, 28629–28648. [Google Scholar] [CrossRef]
- Spatolisano, E.; De Guido, G.; Pellegrini, L.A.; Calemma, V.; de Angelis, A.R.; Nali, M. Hydrogen sulphide to hydrogen via H2S methane reformation: Thermodynamics and process scheme assessment. Int. J. Hydrogen Energy 2022, 47, 15612–15623. [Google Scholar] [CrossRef]
- Gutsol, K.; Nunnally, T.; Rabinovich, A.; Fridman, A.; Starikovskiy, A.; Gutsol, A.; Kemoun, A. Plasma assisted dissociation of hydrogen sulfide. Int. J. Hydrogen Energy 2012, 37, 1335–1347. [Google Scholar] [CrossRef]
- Ruban, P.; Sellappa, K. Concurrent Hydrogen Production and Hydrogen Sulfide Decomposition by Solar Photocatalysis. CLEAN Soil Air Water 2016, 44, 1023–1035. [Google Scholar] [CrossRef]
- Wang, H. Hydrogen production from a chemical cycle of H2S splitting. Int. J. Hydrogen Energy 2007, 32, 3907–3914. [Google Scholar] [CrossRef]
- Huang, H.; Yu, Y.; Chung, K.H. Recovery of Hydrogen and Sulfur by Indirect Electrolysis of Hydrogen Sulfide. Energy Fuels 2009, 23, 4420–4425. [Google Scholar] [CrossRef]
- Restelli, F.; Gambardella, M.; Pellegrini, L.A. Green vs. fossil-based energy vectors: A comparative techno-economic analysis of green ammonia and LNG value chains. J. Environ. Chem. Eng. 2023, 12, 111723. [Google Scholar] [CrossRef]
- Raynal, L.; Briot, P.; Dreillard, M.; Broutin, P.; Mangiaracina, A.; Drioli, B.S.; Politi, M.; La Marca, C.; Mertens, J.; Thielens, M.-L. Evaluation of the DMX process for industrial pilot demonstration–methodology and results. Energy Procedia 2014, 63, 6298–6309. [Google Scholar] [CrossRef]
- Lay, M.D.S.; Sauerhoff, M.W.; Saunders, D.R. Carbon Disulphide. In Ullmann’s Encyclopedia of Industrial Chemistry; Kgaa, W., Ed.; Wiley-VCH Verlag GmbH & Co.: Weinheim, Germany, 2005. [Google Scholar]
- Zhuang, Q.; Clements, B.; Dai, J.; Carrigan, L. Ten years of research on phase separation absorbents for carbon capture: Achievements and next steps. Int. J. Greenhouse Gas Control 2016, 52, 449–460. [Google Scholar] [CrossRef]
- Megalofonos, S.K.; Papayannakos, N.G. Hydrogen production from natural gas and hydrogen sulphide. Int. J. Hydrogen Energy 1991, 16, 319–327. [Google Scholar] [CrossRef]
- Huang, C.; T-Raissi, A. Liquid hydrogen production via hydrogen sulfide methane reformation. J. Power Sources 2008, 175, 464–472. [Google Scholar] [CrossRef]
- Megalofonos, S.K.; Papayannakos, N.G. Kinetics of the catalytic reaction of methane and hydrogen sulphide over a Pt-Al2O3 catalyst. Appl. Catal. A Gen. 1996, 138, 39–55. [Google Scholar] [CrossRef]
- Megalofonos, S.K.; Papayannakos, N.G. Kinetics of catalytic reaction of methane and hydrogen sulphide over MoS2. Appl. Catal. A Gen. 1997, 165, 249–258. [Google Scholar] [CrossRef]
- Karan, K.; Behie, L.A. CS2 Formation in the Claus Reaction Furnace: A Kinetic Study of Methane-Sulfur and Methane-Hydrogen Sulfide Reactions. Ind. Eng. Chem. Res. 2004, 43, 3304–3313. [Google Scholar] [CrossRef]
- Galindo-Hernàndez, F.; Domínguez, J.M.; Portales, B. Structural and textural properties of Fe2O3/g-Al2O3 catalysts and their importance in the catalytic reforming of CH4 with H2S for hydrogen production. J. Power Sources 2015, 287, 13–24. [Google Scholar] [CrossRef]
- Martìnez-Salazar, A.L.; Melo-Banda, J.A.; Domìnguez- Esquivel, J.M.; Martìnez-Sifuentes, V.H.; Salazar-Cerda, Y.; Coronel-Garcìa, M.A.; Meraz-Melo, M.A. Hydrogen production by methane and hydrogen sulphide reaction: Kinetics and modeling study over Mo/La2O3-ZrO2 catalyst. Int. J. Hydrogen Energy 2015, 40, 17354–17360. [Google Scholar] [CrossRef]
- Martìnez-Salazar, A.L.; Melo-Banda, J.A.; Reyes de la Torre, A.I.; Salazar-Cerda, Y.; Coronel-Garcìa, M.A.; Portales, B.; Martìnez-Sifuentes, V.H.; Domìnguez- Esquivel, J.M.; Silva Rodrigo, R. Hydrogen production by methane reforming with H2S using Mo,Cr/ZrO2-SBA15 and Mo,Cr/ZrO2-La2O3 catalysts. Int. J. Hydrogen Energy 2015, 40, 17272–17283. [Google Scholar] [CrossRef]
- El-Melih, A.M.; Al Shoaibi, A.; Gupta, A.K. Hydrogen sulfide reformation in the presence of methane. Appl. Energy 2016, 178, 609–615. [Google Scholar] [CrossRef]
- El-Melih, A.M.; Iovine, I.; Al Shoaibi, A.; Gupta, A.K. Production of hydrogen from hydrogen sulfide in presence of methane. Int. J. Hydrogen Energy 2017, 42, 4764–4773. [Google Scholar] [CrossRef]
- Li, Y.; Yu, X.; Li, H.; Guo, Q.; Dai, Z.; Yu, G.; Wang, F. Detailed kinetic modeling of homogeneous H2S-CH4 oxidation under ultra-rich condition for H2 production. Appl. Energy 2017, 208, 905–919. [Google Scholar] [CrossRef]
- AspenTech. Aspen Plus®; AspenTech: Burlington, MA, USA, 2016. [Google Scholar]
- Tollini, F.; Sponchioni, M.; Calemma, V.; Moscatelli, D. Methane Reforming with H2S and Sulfur for Hydrogen Production: Thermodynamic Assessment. Energy Fuels 2023, 37, 11197–11208. [Google Scholar] [CrossRef]
- Ryaboshapka, D.; Piccolo, L.; Aouine, M.; Bargiela, P.; Briois, V.; Afanasiev, P. Ultradispersed (Co) Mo catalysts with high hydrodesulfurization activity. Appl. Catal. B Environ. 2022, 302, 120831. [Google Scholar] [CrossRef]
- Zheng, J.; Impeng, S.; Liu, J.; Deng, J.; Zhang, D. Mo promoting Ni-based catalysts confined by halloysite nanotubes for dry reforming of methane: Insight of coking and H2S poisoning resistance. Appl. Catal. B Environ. 2024, 342, 123369. [Google Scholar] [CrossRef]
- Erekson, E.J. Gasoline from Natural Gas by Sulfur Processing. In Final Technical Report, June 1993–July 1996; Institute of Gas Technology: Des Plaines, IL, USA, 1996. [Google Scholar]
- Wang, Y.; Chen, X.; Shi, H.; Lercher, J.A. Catalytic reforming of methane with H2S via dynamically stabilized sulfur on transition metal oxides and sulfides. Nat. Catal. 2023, 6, 204–214. [Google Scholar] [CrossRef]
- Martìnez-Salazar, A.L.; Melo-Banda, J.A.; Coronel-Garcìa, M.A.; García-Vite, P.M.; Martìnez-Salazar, I.; Domìnguez-Esquivel, J.M. Technoeconomic analysis of hydrogen production via hydrogen sulfide methane reformation. Int. J. Hydrogen Energy 2019, 44, 122296–122302. [Google Scholar] [CrossRef]
- Spatolisano, E.; De Guido, G.; Pellegrini, L.A.; Calemma, V.; de Angelis, A.R.; Nali, M. Process sensitivity analysis and techno-economic assessment of hydrogen sulphide to hydrogen via H2S methane reformation. J. Cleaner Prod. 2022, 330, 129889. [Google Scholar] [CrossRef]
- Steudel, R. Elementar Sulfur and Rich Compounds I; Springer: Berlin/Heidelberg, Germany, 2003. [Google Scholar]
- Kohl, A.L.; Nielsen, R. Gas Purification; Gulf Professional Publishing: Houston, TX, USA, 1997. [Google Scholar]
- Turton, R.; Bailie, R.C.; Whiting, W.B.; Shaeiwitz, J.A. Analysis, Synthesis and Design of Chemical Processes; Pearson Education: London, UK, 2008. [Google Scholar]
- Ali, S.M.; Alkhatib, I., II; AlHajaj, A.; Vega, L.F. How sustainable and profitable are large-scale hydrogen production plants from CH4 and H2S? J. Cleaner Prod. 2023, 428, 139475. [Google Scholar] [CrossRef]
- Pellegrini, L.A.; De Guido, G.; Langè, S.; Moioli, S.; Picutti, B.; Vergani, P.; Franzoni, G.; Brignoli, F. The Potential of a New Distillation Process for the Upgrading of Acid Gas. In Proceedings of the Abu Dhabi International Petroleum Exhibition & Conference (ADIPEC), Abu Dhabi, UAE, 7–10 November 2016. [Google Scholar]
- Gallon, H.J.; Whitehead, C. Dry Reforming of Methane Using Non-Thermal Plasma-Catalysis. Ph.D. Thesis, University of Manchester, Manchester, UK, 2011. [Google Scholar]
- Ansys. Chemkin-Pro; Ansys: Canonsburg, PA, USA, 2016. [Google Scholar]
- Balebanov, A.V.; Butylin, B.A.; Jivotov, V.K.; Krokvenko, V.I.; Matolich, R.M.; Macheret, S.S.; Novikov, G.I.; Potapkin, B.V.; Rusanov, V.D.; Fridman, A.; et al. Dissociacia serovodoroda v plasme. Dokl. Akad. Nauk. SSSR 1985, 283, 657–660. (In Russian) [Google Scholar]
- Krasheninnikov, E.G.; Rusanov, V.D.; Sanyuk, S.V.; Fridman, A.A. Dissociation of hydrogen sulfide in an RF discharge. Zhurnal Tek. Fiz. 1986, 56, 1104–1109. [Google Scholar]
- Gutsol, A. Plasma Dissociation of Hydrogen Sulfide. Master’s Thesis, Drexel University, Philadelphia, PA, USA, 2012. [Google Scholar]
- Kasharin, A.V.; Potapkin, B.V.; Rusanov, V.D.; Fridman, A.A. Energetics of plasma-chemical systems in selective transfer processes. J. Eng. Phys. 1989, 57, 1335–1343. [Google Scholar] [CrossRef]
- Balebanov, A.V.; Butylin, B.A.; Zhivotov, V.K.; Krokvenko, V.I.; Matolich, R.M.; Macheret, S.S.; Novikov, G.I.; Potapkin, B.V.; Rusanov, V.D.; Fridman, A.; et al. Dissociation of hydrogen sulfide in a plasma. Dokludy Phys. Chem. 1985, 283, 709–712. [Google Scholar]
- Binoist, M.; Labégorre, B.; Monnet, F.; Clark, P.D.; Dowling, N.I.; Huang, M.; Archambault, D.; Plasari, E.; Marquaire, P.-M. Kinetic study of the pyrolysis of H2S. Ind. Eng. Chem. Res. 2003, 42, 3943–3951. [Google Scholar] [CrossRef]
- Ma, H.; Chen, P.; Ruan, R. H2S and NH3 removal by silent discharge plasma and ozone combo-system. Plasma Chem. Plasma Process. 2001, 21, 611–624. [Google Scholar] [CrossRef]
- Helfritch, D.J. Pulsed corona discharge for hydrogen sulfide decomposition. IEEE Trans. Ind. Appl. 1993, 29, 882–886. [Google Scholar] [CrossRef]
- Abolentsev, V.A.; Korobtsev, S.V.; Medvedev, D.D. Pulsed “wet” discharge as an effective means of gas purification from H2S and organosulfur impurities. High Energy Chem. 1995, 29, 353. [Google Scholar]
- Zhao, G.-B.; John, S.; Zhang, J.-J.; Hamann, J.C.; Muknahallipatna, S.S.; Legowski, S.; Ackerman, J.F.; Argyle, M.D. Production of hydrogen and sulfur from hydrogen sulfide in a nonthermal-plasma pulsed corona discharge reactor. Chem. Eng. Sci. 2007, 62, 2216–2227. [Google Scholar] [CrossRef]
- Bagautdinov, A.Z.; Jivotov, V.K.; Eremenko, J.I.; Kalachev, I.A.; Musinov, S.A.; Rusanov, V.D.; Zoller, V.A. Clean method of hydrogen production-plasmachemical dissociation of hydrogen sulfide. In Proceedings of the International Hydrogen and Clean Energy Symposium ‘95 (IHCE’95), Tokyo, Japan, 6–8 February 1995; pp. 269–272. [Google Scholar]
- Bagautdinov, A.Z.; Jivotov, V.K.; Eremenko, J.I.; Kalachev, I.A.; Musinov, S.A.; Pampushka, A.M.; Rusanon, V.D.; Zoller, V.A. Natural hydrogen sulfide (H2S)—Source of hydrogen (plasma chemical dissociation). Front. Sci. Ser. 1993, 7, 123–125. [Google Scholar]
- Bagautdinov, A.Z.; Jivotov, V.K.; Eremenko, J.I.; Kalachev, I.A.; Musinov, S.A.; Potapkin, B.V.; Pampushka, A.M.; Rusanon, V.D.; Strelkova, M.I.; Fridman, A.A.; et al. Plasma chemical production of hydrogen from H2S-containing gases in MCW discharge. Int. J. Hydrogen Energy 1995, 20, 193–195. [Google Scholar] [CrossRef]
- Harkness, J.B.; Doctor, R.D.; Daniels, E.J. Plasma-Chemical Waste Treatment of Acid Gases; Argonne National Lab.: Lemont, IL USA, 1993. [Google Scholar]
- AspenTech. Aspen HYSYS®; AspenTech: Burlington, MA, USA, 2019. [Google Scholar]
- Calemma, V.; De Angelis, A.R. Valutazione Economica del Processo a Plasma Freddo per Ottenere H2 e Zolfo da H2S; Eni S.p.A.: San Donato Milanese, Italy, 2009. [Google Scholar]
- Bosetti, A.; Montini, A.; De Angelis, A.R.; Perego, C.; Pollesel, P.; Rizzo, C.; Ricci, M.; Carnelli, L. Claus Process Plant Description and Balances; Raffineria di Gela; Collaboration with RRC Kurchatov Institute Moscow: Moscow, Russia, 2008.
- Preethi, V.; Kanmani, S. Photocatalytic hydrogen production. Mater. Sci. Semicond. Process. 2013, 16, 561–575. [Google Scholar] [CrossRef]
- Dan, M.; Yu, S.; Li, Y.; Wei, S.; Xiang, J.; Zhou, Y. Hydrogen sulfide conversion: How to capture hydrogen and sulfur by photocatalysis. J. Photochem. Photobiol. C Photochem. Rev. 2020, 42, 100339. [Google Scholar] [CrossRef]
- Oladipo, H.; Yusuf, A.; Al Jitan, S.; Palmisano, G. Overview and challenges of the photolytic and photocatalytic splitting of H2S. Catal. Today 2021, 380, 125–137. [Google Scholar] [CrossRef]
- De Crisci, A.G.; Moniri, A.; Xu, Y. Hydrogen from hydrogen sulfide: Towards a more sustainable hydrogen economy. Int. J. Hydrogen Energy 2018, 44, 1299–1327. [Google Scholar] [CrossRef]
- Naman, S.A.; Al-Mishhadani, N.H.; Al-Shamma, L.M. Photocatalytic production of hydrogen from hydrogen sulfide in ethanolamine aqueous solution containing semiconductors dispersion. Int. J. Hydrogen Energy 1995, 20, 303–307. [Google Scholar] [CrossRef]
- Ma, G.; Yan, H.; Shi, J.; Zong, X.; Lei, Z.; Li, C. Direct splitting of H2S into H2 and S on CdS-based photocatalyst under visible light irradiation. J. Catal. 2008, 260, 134–140. [Google Scholar] [CrossRef]
- Yan, H.; Yang, J.; Ma, G.; Wu, G.; Zong, X.; Lei, Z.; Shi, J.; Li, C. Visible-light-driven hydrogen production with extremely high quantum efficiency on Pt–PdS/CdS photocatalyst. J. Catal. 2009, 266, 165–168. [Google Scholar] [CrossRef]
- Jing, D.; Jing, L.; Liu, H.; Yao, S.; Guo, L. Photocatalytic hydrogen production from refinery gas over a fluidized-bed reactor I: Numerical simulation. Ind. Eng. Chem. Res. 2013, 52, 1982–1991. [Google Scholar] [CrossRef]
- Jing, D.; Jing, L.; Liu, H.; Yao, S.; Guo, L. Photocatalytic hydrogen production from refinery gas over a fluidized-bed reactor II: Parametric study. Ind. Eng. Chem. Res. 2013, 52, 1992–1999. [Google Scholar] [CrossRef]
- Canela, M.C.; Alberici, R.M.; Jardim, W.F. Gas-phase destruction of H2S using TiO2/UV-VIS. J. Photochem. Photobiol. A Chem. 1998, 112, 73–80. [Google Scholar] [CrossRef]
- Kataoka, S.; Lee, E.; Tejedor-Tejedor, M.I.; Anderson, M.A. Photocatalytic degradation of hydrogen sulfide and in situ FT-IR analysis of reaction products on surface of TiO2. Appl. Catal. B Environ. 2005, 61, 159–163. [Google Scholar] [CrossRef]
- Portela, R.; Suárez, S.; Rasmussen, S.B.; Arconada, N.; Castro, Y.; Durán, A.; Ávila, P.; Coronado, J.M.; Sánchez, B. Photocatalytic-based strategies for H2S elimination. Catal. Today 2010, 151, 64–70. [Google Scholar] [CrossRef]
- Guijun, M.A.; Hongjian, Y.A.N.; Xu, Z.; Baojun, M.A.; Jiang, H.; Fuyu, W.E.N.; Can, L.I. Photocatalytic splitting of H2S to produce hydrogen by gas-solid phase reaction. Chin. J. Catal. 2008, 29, 313–315. [Google Scholar]
- Lou, M.; Bao, J.L.; Zhou, L.; Naidu, G.N.; Robatjazi, H.; Bayles, A.I.; Everitt, H.O.; Nordlander, P.; Carter, E.A.; Halas, N.J. Direct H2S Decomposition by Plasmonic Photocatalysis: Efficient Remediation plus Sustainable Hydrogen Production. ACS Energy Lett. 2022, 7, 3666–3674. [Google Scholar] [CrossRef]
- Li, Y.; Bahamon, D.; Sinnokrot, M.; Al-Ali, K.; Palmisano, G.; Vega, L.F. Computational modeling of green hydrogen generation from photocatalytic H2S splitting: Overview and perspectives. J. Photochem. Photobiol. C Photochem. Rev. 2021, 49, 100456. [Google Scholar] [CrossRef]
- Gillis, R.J.; Al-Ali, K.; Green, W.H. Thermochemical production of hydrogen from hydrogen sulfide with iodine thermochemical cycles. Int. J. Hydrogen Energy 2018, 43, 12939–12947. [Google Scholar] [CrossRef]
- Goldstein, S.; Borgard, J.-M.; Vitart, X. Upper bound and best estimate of the efficiency of the iodine sulphur cycle. Int. J. Hydrogen Energy 2005, 30, 619–626. [Google Scholar] [CrossRef]
- Moniri, A. The Experimental and Theoretical Investigation of the Hydrogen Sulfide Splitting Cycle for Hydrogen Production. Ph.D. Thesis, University of Saskatchewan, Saskatoon, SK, Canada, 2015. [Google Scholar]
- Wang, H.; Le Person, A.; Zhao, X.; Li, J.; Nuncio, P.; Yang, L.; Moniri, A.; Chuang, K.T. A low-temperature hydrogen production process based on H2S splitting cycle for sustainable oil sands bitumen upgrading. Fuel Process. Technol. 2013, 108, 55–62. [Google Scholar] [CrossRef]
- Li, J.; Moniri, A.; Wang, H. Apparent kinetics of a gas–liquid–liquid system of Bunsen reaction with iodine-toluene solution for hydrogen production through H2S splitting cycle. Int. J. Hydrogen Energy 2015, 40, 2912–2920. [Google Scholar] [CrossRef]
- Kiuchi, H.; Nakamura, T.; Funaki, K.; Tanaka, T. Recovery of hydrogen from hydrogen sulfide with metals or metal sulfides. Int. J. Hydrogen Energy 1982, 7, 477–482. [Google Scholar] [CrossRef]
- Zaman, J.; Chakma, A. Production of hydrogen and sulfur from hydrogen sulfide. Fuel Process. Technol. 1995, 41, 159–198. [Google Scholar] [CrossRef]
- Reverberi, A.P.; Klemeš, J.J.; Varbanov, P.S.; Fabiano, B. A review on hydrogen production from hydrogen sulphide by chemical and photochemical methods. J. Cleaner Prod. 2016, 136, 72–80. [Google Scholar] [CrossRef]
- Zagoruiko, A.; Mikenin, P. Decomposition of hydrogen sulfide into elements in the cyclic chemisorption-catalytic regime. Catal. Today 2021, 378, 176–188. [Google Scholar] [CrossRef]
- Gibson, A.G.; Wachs, I.E. Hydrogen Generation from Petroleum Refinery Off-Gas; Amer Chemical Soc: Washington, DC, USA, 2006. [Google Scholar]
- Chivers, T.; Hyne, J.B.; Lau, C. The thermal decomposition of hydrogen sulfide over transition metal sulfides. Int. J. Hydrogen Energy 1980, 5, 499–506. [Google Scholar] [CrossRef]
- Bandermann, F.; Harder, K.B. Production of H2 via thermal decomposition of H2S and separation of H2 and H2S by pressure swing adsorption. Int. J. Hydrogen Energy 1982, 7, 471–475. [Google Scholar] [CrossRef]
- Chivers, T.; Lau, C. The use of thermal diffusion column reactors for the production of hydrogen and sulfur from the thermal decomposition of hydrogen sulfide over transition metal sulfides. Int. J. Hydrogen Energy 1987, 12, 561–569. [Google Scholar] [CrossRef]
- Sugioka, M.; Aomura, K. A possible mechanism for catalytic decomposition of hydrogen sulfide over molybdenum disulfide. Int. J. Hydrogen Energy 1984, 9, 891–894. [Google Scholar] [CrossRef]
- Startsev, A.N. Low-temperature catalytic decomposition of hydrogen sulfide into hydrogen and diatomic gaseous sulfur. Kinet. Catal. 2016, 57, 511–522. [Google Scholar] [CrossRef]
- Yumura, M.; Furimsky, E. Comparison of calcium oxide, zinc oxide, and iron (III) oxide hydrogen sulfide adsorbents at high temperatures. Ind. Eng. Chem. Process Des. Dev. 1985, 24, 1165–1168. [Google Scholar] [CrossRef]
- Yumura, M.; Furimsky, E. Hydrogen sulphide adsorption and decomposition in the presence of manganese nodules. Appl. Catal. 1985, 16, 157–167. [Google Scholar] [CrossRef]
- Alexeeva, O.K. Hydrogen production from thermocatalytic hydrogen sulfide decomposition. Hydrog. Mater. Sci. Chem. Met. Hydrides 2002, 71, 49. [Google Scholar]
- Vaiano, V.; Barba, D.; Palma, V.; Colozzi, M.; Palo, E.; Barbato, L.; Cortese, S.; Miccio, M. Catalytic oxidative decomposition of H2S over MoS2/γ-Al2O3. Fuel 2020, 279, 118538. [Google Scholar] [CrossRef]
- Edlund, D.J.; Pledger, W.A. Thermolysis of hydrogen sulfide in a metal-membrane reactor. J. Membr. Sci. 1993, 77, 255–264. [Google Scholar] [CrossRef]
- Akamatsu, K.; Nakane, M.; Sugawara, T.; Hattori, T.; Nakao, S.-i. Development of a membrane reactor for decomposing hydrogen sulfide into hydrogen using a high-performance amorphous silica membrane. J. Membr. Sci. 2008, 325, 16–19. [Google Scholar] [CrossRef]
- Kameyama, T.; Dokiya, M.; Fujishige, M.; Yokokawa, H.; Fukuda, K. Production of hydrogen from hydrogen sulfide by means of selective diffusion membranes. Int. J. Hydrogen Energy 1983, 8, 5–13. [Google Scholar] [CrossRef]
- Fetzer, W.R. The electrolysis of sodium sulphide solutions. J. Phys. Chem. 2002, 32, 1787–1807. [Google Scholar] [CrossRef]
- Bolmer, P.W. Removal of Hydrogen Sulfide from a Hydrogen Sulfide-Hydrocarbon Gas Mixture by Electrolysis. U.S. Patent No 3,409,520, 5 November 1968. [Google Scholar]
- Ma, Y.; Jin, X.; Hu, Y.; Huang, Q.; Wang, Z. Recovery of hydrogen and sulfur by electrolysis of ionized H2S in an amine-containing organic electrolyte with highly temperature-dependent sulfur solubility. Energy Fuels 2020, 34, 7756–7762. [Google Scholar] [CrossRef]
- Huang, H.; Shang, J.; Yu, Y.; Chung, K.H. Recovery of hydrogen from hydrogen sulfide by indirect electrolysis process. Int. J. Hydrogen Energy 2019, 44, 5108–5113. [Google Scholar] [CrossRef]
- Adewale, R.A.; Berrouk, A.S.; Dara, S. A process simulation study of hydrogen and sulfur production from hydrogen sulfide using the Fe–Cl hybrid process. J. Taiwan Inst. Chem. Eng. 2015, 54, 20–27. [Google Scholar] [CrossRef]
- Stefanakos, E.; Krakow, B.; Mbah, J. Hydrogen Production from Hydrogen Sulfide in IGCC Power Plants; University of South Florida Incorporated: Tampa, FL, USA, 2007. [Google Scholar]
- Karapekmez, A.; Dincer, I. Modelling of hydrogen production from hydrogen sulfide in geothermal power plants. Int. J. Hydrogen Energy 2018, 43, 10569–10579. [Google Scholar] [CrossRef]
- Abuşoğlu, A.; Demir, S.; Özahi, E. Energy and economic analyses of models developed for sustainable hydrogen production from biogas-based electricity and sewage sludge. Int. J. Hydrogen Energy 2016, 41, 13426–13435. [Google Scholar] [CrossRef]















| Catalyst | d | v | c | k (mol∙atm∙g−1∙s−1) | KpS (atm0.5) | KpCS (atm0.5) | KpCHd (atm0.5(4−d)) | |
|---|---|---|---|---|---|---|---|---|
| MoS2 | 3 | 1 | 3 | exp(βwi/R) | 2.17 × 107 | 9.03 × 104 | 8.64 × 10−1 | 6.23 × 104 |
| βvi | 5.59 × 104 | 2.50 × 104 | 1.75 × 103 | 8.26 × 103 | ||||
| Pt/Al2O3 | 2 | 2 | 3 | exp(βwi/R) | 3.96 × 1012 | 1.77 × 10−4 | 3.11 × 103 | 4.361 × 10−1 |
| βvi | 5.46 × 104 | −2.72 × 104 | 8.01 × 103 | 5.881 × 103 |
| Catalyst | Experimental Conditions | Activity | Kinetic Modelling | References |
|---|---|---|---|---|
| MoS2 | P = 1 bar T = 700–800 °C |
| yes | [25,28] |
| Pt/Al2O3 | P = 1 atm T = 700–800 °C t = 0.1–1.4 s | - | yes | [27] |
| CrMo/ZrO2-SBA15 Mo/ZrO2-SBA15 CrMo/La2O3-ZrO2 Mo/La2O3-ZrO2 | P = 1 bar T = 700–900 °C (CH4/H2S)IN = 1/12 |
| yes | [31,32] |
| Cr2S3 Ce2S3 | P = 1 bar T = 700–1100 °C (CH4/H2S)IN = 1/4–1/8 t = 1 s |
| no | [40] |
| Advantages | Disadvantages |
|---|---|
|
|
| Low-Temperature Plasma | High-Temperature Plasma | |
|---|---|---|
| non-thermal plasma | thermal plasma | |
| T0 ≈ Ti ≈ Tr < Tv << Te | T0 ≈ Ti ≈ Tr ≈ Tv ≈ Te | T0 ≈ Ti ≈ Tr ≈ Tv ≈ Te |
| ≤105 °C | ≤2 × 104 °C | ≥107 °C |
| Reaction | A (cm3∙Molecule−1∙s−1) | n | Ea (kJ∙mol−1) | |
|---|---|---|---|---|
| 1 | 2.92 × 10−8 | 0 | 277.02 | |
| 2 | 3.16 × 10−10 | 0 | 274.01 | |
| 3 | 2.31 × 10−7 | 1.94 | 3.77 | |
| 4 | 4.00 × 10−11 | 0 | 0 | |
| 5 | 3.01 × 10−11 | 0 | 0 | |
| 6 | 1.00 × 10−14 | 0 | 0 | |
| 7 | 1.50 × 10−11 | 0 | 0 | |
| 8 | 7.95 × 10−11 | 0 | 322.00 | |
| 9 | 3.70 × 10−10 | 0 | 402.00 |
| Reaction | A (cm3∙molecule−1∙s−1) | n | Ea (kJ∙mol−1) | |
|---|---|---|---|---|
| 1 | 3.32 × 10−10 | 0.50 | 112.97 | |
| 2 | 3.43 × 10−7 | 1.00 | 238.99 | |
| 3 | 3.46 × 10−15 | 2.37 | −6.99 | |
| 4 | 3.66 × 10−13 | 3.05 | −4.60 | |
| 5 | 7.32 × 10−11 | 0 | 26.44 | |
| 6 | 2.51 × 10−12 | 1.65 | −4.60 | |
| 7 | 2.00 × 10−2 | 2.20 | −2.51 |
| Mechanism | References |
|---|---|
| Direct ionization of H2S, and subsequent dissociative neutralization: | [57,58] |
| Ionization of the balance gas (M), resulting in a charge transfer reaction, followed by dissociative neutralization: | [59] |
| Dissociation of H2S through direct electron collision: | [60] |
| Dissociation or excitation of the balance gas through electron collision, pro-ducing active species that contribute to H2S dissociation: | [60] |
| CAPEX | Reference [66]—2009 (USD) | Eni S.p.A. Claus Plant Capacity—2009 (USD) | Eni S.p.A. Claus Plant Capacity—2020 (USD) |
|---|---|---|---|
| HF-generator | 879,000 | 1,269,292 | 1,452,499 |
| Plasmotron | 131,900 | 190,466 | 217,957 |
| Sulfur recovery | 234,000 | 337,900 | 386,672 |
| DEA block | 538,500 | 777,604 | 889,842 |
| Vacuum pump | - | - | 364,688 |
| Utility | Cost (USD∙GJ−1) | Case 1 Cost (USD∙y−1) | Case 2 Cost (USD∙y−1) |
|---|---|---|---|
| Electrical substation | 18.72 | 4,587,423 | 1,857,451 |
| Cooling tower water (30 °C to 40–45 °C) | 0.378 | 72,134 | 72,134 |
| Low-pressure steam | 14.05 | 3,546,107 | 3,546,107 |
| Utility | Cost (USD∙kg−1) | Scenario 1 Cost (USD∙y−1) | Scenario 2 Cost (USD∙y−1) |
|---|---|---|---|
| Sulfur | 0.04 | 844,759 | 844,759 |
| Hydrogen | 1.45 | 2,008,334 | 2,008,334 |
| CO2 | 0.04 | 893,877.93 | 0 |
| Scenario 1, Case 1 | Scenario 1, Case 2 | Scenario 2, Case 1 | Scenario 2, Case 1 | ||
|---|---|---|---|---|---|
| CAPEX | (USD∙y−1) | 496,749 | 496,749 | 496,749 | 496,749 |
| UTILITIES | (USD∙y−1) | 8,205,664 | 5,475,691 | 8,205,664 | 5,475,691 |
| REVENUES | (USD∙y−1) | −3,746,971 | −3,746,971 | −2,852,913 | −2,852,913 |
| TOT | (USD∙y−1) | 4,955,441 | 2,225,468 | 5,849,499 | 3,119,526 |
| H2 cost | (USD∙kg−1) | 3.58 | 1.61 | 4.22 | 2.25 |
| Advantages | Disadvantages |
|---|---|
|
|
| Advantages | Disadvantages |
|---|---|
|
|
| Advantages | Disadvantages |
|---|---|
|
|
| Advantages | Disadvantages |
|---|---|
|
|
| Advantages | Disadvantages |
|---|---|
|
|
Disclaimer/Publisher’s Note: The statements, opinions and data contained in all publications are solely those of the individual author(s) and contributor(s) and not of MDPI and/or the editor(s). MDPI and/or the editor(s) disclaim responsibility for any injury to people or property resulting from any ideas, methods, instructions or products referred to in the content. |
© 2024 by the authors. Licensee MDPI, Basel, Switzerland. This article is an open access article distributed under the terms and conditions of the Creative Commons Attribution (CC BY) license (https://creativecommons.org/licenses/by/4.0/).
Share and Cite
Spatolisano, E.; Restelli, F.; Pellegrini, L.A.; de Angelis, A.R. Waste to H2 Sustainable Processes: A Review on H2S Valorization Technologies. Energies 2024, 17, 620. https://doi.org/10.3390/en17030620
Spatolisano E, Restelli F, Pellegrini LA, de Angelis AR. Waste to H2 Sustainable Processes: A Review on H2S Valorization Technologies. Energies. 2024; 17(3):620. https://doi.org/10.3390/en17030620
Chicago/Turabian StyleSpatolisano, Elvira, Federica Restelli, Laura A. Pellegrini, and Alberto R. de Angelis. 2024. "Waste to H2 Sustainable Processes: A Review on H2S Valorization Technologies" Energies 17, no. 3: 620. https://doi.org/10.3390/en17030620
APA StyleSpatolisano, E., Restelli, F., Pellegrini, L. A., & de Angelis, A. R. (2024). Waste to H2 Sustainable Processes: A Review on H2S Valorization Technologies. Energies, 17(3), 620. https://doi.org/10.3390/en17030620

