Sign in to use this feature.

Years

Between: -

Subjects

remove_circle_outline
remove_circle_outline
remove_circle_outline
remove_circle_outline
remove_circle_outline
remove_circle_outline
remove_circle_outline
remove_circle_outline
remove_circle_outline

Journals

remove_circle_outline
remove_circle_outline
remove_circle_outline
remove_circle_outline
remove_circle_outline
remove_circle_outline

Article Types

Countries / Regions

remove_circle_outline
remove_circle_outline
remove_circle_outline

Search Results (234)

Search Parameters:
Keywords = software lifecycle

Order results
Result details
Results per page
Select all
Export citation of selected articles as:
23 pages, 5721 KB  
Article
An Investigation into the Influence of Weld Bead Sequence on Residual Stress Distribution in a High-Speed Train Bogie Beam Using Thermo-Elastic–Plastic Finite Element Analysis
by Gaojian Wang, Zhixu Mao, Chenyang Zhou, Zuoshi Yang, Yifeng Wang and Dean Deng
Metals 2025, 15(11), 1225; https://doi.org/10.3390/met15111225 - 6 Nov 2025
Abstract
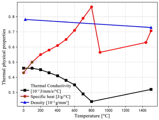
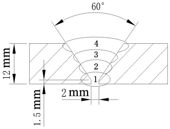
The bogie serves as a critical structural component in high-speed trains, subjected to dynamic loads throughout its operational lifecycle. Enhancing the fatigue life of the bogie necessitates not only ensuring welding quality but also effectively managing welding residual stresses during the manufacturing process. [...] Read more.
The bogie serves as a critical structural component in high-speed trains, subjected to dynamic loads throughout its operational lifecycle. Enhancing the fatigue life of the bogie necessitates not only ensuring welding quality but also effectively managing welding residual stresses during the manufacturing process. In this study, an efficient and simplified thermal–elastoplastic finite element method was developed based on the ABAQUS software platform, and its reliability and applicability were validated through comparison with measured data. The computational approach was employed to investigate the distribution characteristics of welding residual stresses in a weathering steel bogie beam, with particular emphasis on the influence of different welding sequences on residual stress distribution. Simulated results demonstrate that the welding sequence significantly influences the residual stress distribution and magnitude within the beam. The numerical simulation methodology developed in this study offers a powerful tool for optimizing welding sequences to regulate residual stresses during the fabrication of bogie structures. Full article
Show Figures

Figure 1

19 pages, 5066 KB  
Article
Software System for Thrust Prediction and Preliminary Engineering Design of Aircraft Using Visual Recognition and Flight Parameters
by Juan Du, Senxin Mao, Rui Wang, Yue Ma, Mengchuang Zhang and Zhiping Yin
Appl. Sci. 2025, 15(21), 11770; https://doi.org/10.3390/app152111770 - 4 Nov 2025
Abstract
Accurate estimation of engine thrust and overload is crucial for ensuring structural integrity and optimizing the aircraft’s life-cycle design. To address this issue, this study develops an integrated thrust and load prediction framework that combines vision-based flight maneuver recognition with an improved transformer-based [...] Read more.
Accurate estimation of engine thrust and overload is crucial for ensuring structural integrity and optimizing the aircraft’s life-cycle design. To address this issue, this study develops an integrated thrust and load prediction framework that combines vision-based flight maneuver recognition with an improved transformer-based deep learning model (YOLO), leveraging measured flight parameters. After maneuver recognition, the model achieves a mean absolute error of 1.86 and R2 of 0.97 in prediction. The framework is implemented via a Python-based software system with a MySQL database, supporting functionalities including thrust/load prediction, trajectory visualization, and performance evaluation. Comparative experiments demonstrate that the framework achieves an average maneuver recognition accuracy of 81.06%, outperforming the existing PLR-PIP and DTW methods. This approach provides high-precision and reliable thrust data as well as tool support for real-time thrust estimation, fatigue life assessment, and flight safety risk prevention. Full article
(This article belongs to the Section Aerospace Science and Engineering)
Show Figures

Figure 1

22 pages, 3158 KB  
Article
A Real-Time Immersive Augmented Reality Interface for Large-Scale USD-Based Digital Twins
by Khang Quang Tran, Ernst L. Leiss, Nikolaos V. Tsekos and Jose Daniel Velazco-Garcia
Virtual Worlds 2025, 4(4), 50; https://doi.org/10.3390/virtualworlds4040050 - 1 Nov 2025
Viewed by 213
Abstract
Digital twins are increasingly utilized across all lifecycle stages of physical entities. Augmented reality (AR) offers real-time immersion into three-dimensional (3D) data, which provides an immersive experience with dynamic, high-quality, and multi-dimensional digital twins. A robust and customizable data platform is essential to [...] Read more.
Digital twins are increasingly utilized across all lifecycle stages of physical entities. Augmented reality (AR) offers real-time immersion into three-dimensional (3D) data, which provides an immersive experience with dynamic, high-quality, and multi-dimensional digital twins. A robust and customizable data platform is essential to create scalable 3D digital twins; Universal Scene Description (USD) provides these necessary qualities. Given the potential for integrating immersive AR and 3D digital twins, we developed a software application to bridge the gap between multi-modal AR immersion and USD-based digital twins. Our application provides real-time, multi-user AR immersion into USD-based digital twins, making it suitable for time-critical tasks and workflows. AR digital twin software is currently being tested and evaluated in an application we are developing to train astronauts. Our work demonstrates the feasibility of integrating immersive AR with dynamic 3D digital twins. AR-enabled digital twins have the potential to be adopted in various real-time, time-critical, multi-user, and multi-modal workflows. Full article
Show Figures

Figure 1

44 pages, 4433 KB  
Article
Mathematical Model of the Software Development Process with Hybrid Management Elements
by Serhii Semenov, Volodymyr Tsukur, Valentina Molokanova, Mateusz Muchacki, Grzegorz Litawa, Mykhailo Mozhaiev and Inna Petrovska
Appl. Sci. 2025, 15(21), 11667; https://doi.org/10.3390/app152111667 - 31 Oct 2025
Viewed by 86
Abstract
Reliable schedule-risk estimation in hybrid software development lifecycles is strategically important for organizations adopting AI in software engineering. This study addresses that need by transforming routine process telemetry (CI/CD, SAST, traceability) into explainable, quantitative predictions of completion time and rework. This paper introduces [...] Read more.
Reliable schedule-risk estimation in hybrid software development lifecycles is strategically important for organizations adopting AI in software engineering. This study addresses that need by transforming routine process telemetry (CI/CD, SAST, traceability) into explainable, quantitative predictions of completion time and rework. This paper introduces an integrated probabilistic model of the hybrid software development lifecycle that combines Generalized Evaluation and Review Technique (GERT) network semantics with I-AND synchronization, explicit artificial-intelligence (AI) interventions, and a fuzzy treatment of epistemic uncertainty. The model embeds two controllable AI nodes–an AI Requirements Assistant and AI-augmented static code analysis, directly into the process topology and applies an analytical reduction to a W-function to obtain iteration-time distributions and release-success probabilities without resorting solely to simulation. Epistemic uncertainty on critical arcs is represented by fuzzy intervals and propagated via Zadeh’s extension principle, while aleatory variability is captured through stochastic branching. Parameter calibration relies on process telemetry (requirements traceability, static-analysis signals, continuous integration/continuous delivery, CI/CD, and history). A validation case (“system design → UX prototyping → implementation → quality assurance → deployment”) demonstrates practical use: large samples of process trajectories are generated under identical initial conditions and fixed random seeds, and kernel density estimation with Silverman’s bandwidth is applied to normalized histograms of continuous outcomes. Results indicate earlier defect detection, fewer late rework loops, thinner right tails of global duration, and an approximately threefold reduction in the expected number of rework cycles when AI is enabled. The framework yields interpretable, scenario-ready metrics for tuning quality-gate policies and automation levels in Agile/DevOps settings. Full article
Show Figures

Figure 1

25 pages, 1980 KB  
Review
A Narrative Review of Life Cycle Assessments of Electric Vehicles: Methodological Challenges and Global Implications
by Monika Zajemska, Anna Biniek-Poskart, Andrzej Skibiński, Magdalena Skrzyniarz and Jakub Rzącki
Energies 2025, 18(21), 5704; https://doi.org/10.3390/en18215704 - 30 Oct 2025
Viewed by 547
Abstract
Considering the rapid global shift towards electric mobility and the growing importance of life-cycle assessments (LCAs) in policy and investment decisions, a critical examination of the methodological challenges and broader implications of electric vehicle (EV) life-cycle assessments is both timely and necessary. While [...] Read more.
Considering the rapid global shift towards electric mobility and the growing importance of life-cycle assessments (LCAs) in policy and investment decisions, a critical examination of the methodological challenges and broader implications of electric vehicle (EV) life-cycle assessments is both timely and necessary. While numerous studies have assessed the environmental impacts of EVs using LCA, there remains a lack of consolidated insight into how methodological inconsistencies, particularly in system boundaries, functional units, and data sources, affect the comparability and policy relevance of results. This article addresses this gap by presenting a narrative review of LCA applied to EVs, with a focus on methodological approaches and environmental impact categories. The review aims to synthesize current knowledge, identify prevailing research trends, and highlight key methodological challenges in the LCA of EVs. A structured search was conducted using the Scopus database, initially yielding 1926 publications through a broad search strategy. To improve relevance and reduce the number of marginally related articles, the search was refined to include only article titles, resulting in 187 studies selected for detailed analysis. The VOSviewer software was employed to perform bibliometric and co-occurrence analysis, revealing key clusters in the literature related to battery production, electricity mix, and recycling. Full article
(This article belongs to the Special Issue Sustainable Energy, Environment and Low-Carbon Development)
Show Figures

Figure 1

28 pages, 2175 KB  
Article
The Effect of Chelated Trace Mineral Supplementation in the Form of Proteinates on Broiler Performance Parameters and Mineral Excretion: A Meta-Analysis
by Laurann Byrne, Stephen Ross, Jules Taylor-Pickard and Richard Murphy
Animals 2025, 15(21), 3062; https://doi.org/10.3390/ani15213062 - 22 Oct 2025
Viewed by 452
Abstract
Comprehensive Meta-Analysis (CMA) software, using data from 64 global studies (288 dietary assessments, 194,356 broilers) evaluated the effects of substituting inorganic trace minerals (ITM) with proteinate trace minerals (PTM) in broiler diets at various inclusion levels. Replacing ITM with PTM at equivalent (100%) [...] Read more.
Comprehensive Meta-Analysis (CMA) software, using data from 64 global studies (288 dietary assessments, 194,356 broilers) evaluated the effects of substituting inorganic trace minerals (ITM) with proteinate trace minerals (PTM) in broiler diets at various inclusion levels. Replacing ITM with PTM at equivalent (100%) or reduced (11–80%) levels improved performance metrics, showing reduced total feed intake (FI) (−6 g/bird), lower average daily feed intake (ADFI) (−0.43 g/bird), higher average daily gain (ADG) (+0.36g), greater body weight gain (BWG) (+4.29 g/bird), higher final body weight (BW) (+7.50 g/bird), improved feed conversion ratio (FCR) (−1.26%), and lower mortality (−10.95%), all significant (p < 0.05). Median mineral inclusion reductions of 40% Cu, 59.82% Fe, 41.41% Mn, and 34.67% Zn had no adverse effects, instead enhancing outcomes. Across 17 studies (25,144 broilers, 85 dietary assessments), mineral excretion decreased significantly with PTM versus ITM by 16% Cu, 14% Fe, 21% Mn, and 15% Zn (p < 0.001). When PTM replaced ITM at 50–80% inclusion, further benefits were observed, including lower total FI (−7 g/bird), lower ADFI (−1.07 g/bird), higher ADG (+1.67), higher BWG (+2.65 g/bird), lower FCR (−4.50%) and lower mortality (−11.09%) with mineral inclusion reductions of 17% Cu, 42.16% Fe, 42.89% Mn, and 50% Zn. Meta-regression identified significant influences (p < 0.05) from study variables such as strain, study duration, and region. Life cycle assessment modelling demonstrated PTM inclusion lowered gross carbon emissions by 3.5% and lower emission intensities per unit live weight of both feed use and overall lifecycle by 4.5% and 4.1%, respectively on diets of high and low soybean meal inclusion. Overall, replacing ITM with PTM in broiler diets can promote production performance of broilers and lower mineral excretion levels while contributing to a lower CFP. Full article
Show Figures

Figure 1

25 pages, 3673 KB  
Article
Research on Dynamic Simulation and Optimization of Building Energy Consumption of Substations in Cold Regions Based on DeST: A Case Study of an Indoor Substation in Shijiazhuang
by Jizhi Su, Jun Zhang, Gang Li, Wuchen Zhang, Haifeng Yu, Ligai Kang, Lingzhe Zhang, Xu Zhang and Jiaming Wang
Buildings 2025, 15(20), 3706; https://doi.org/10.3390/buildings15203706 - 15 Oct 2025
Viewed by 341
Abstract
Against the backdrop of the global energy crisis and the “dual carbon” goals (carbon peaking and carbon neutrality), the passive energy-saving design of substation buildings in cold regions faces severe challenges. This study systematically conducts a decomposed analysis of the shape coefficient, thermal [...] Read more.
Against the backdrop of the global energy crisis and the “dual carbon” goals (carbon peaking and carbon neutrality), the passive energy-saving design of substation buildings in cold regions faces severe challenges. This study systematically conducts a decomposed analysis of the shape coefficient, thermal performance of the building envelope (including external walls, internal walls, roofs, and external windows), and window-to-wall ratio of substation buildings in cold regions, quantifies the degree of influence of each factor, and proposes corresponding energy-saving design strategies. This study took a 110 kV substation in Yuhua District, Shijiazhuang City, Hebei Province, as the research object. A building energy consumption model was established based on DeST (2023) software, and the influence of the building shape coefficient, U-values of the envelope structure (external walls, internal walls, roofs, external windows), and window-to-wall ratio on the building’s cooling and heating loads was analyzed using the numerical simulation and control variable methods. Leveraging a rigorously validated, high-resolution simulation framework, we quantitatively dissect the marginal energy penalties and payoffs of every passive design variable governing fully indoor substations in cold-climate zones. The resultant multidimensional response surfaces are distilled into a deterministic, climate-specific passive energy-saving protocol that secures heating-energy savings of up to 43% without compromising electrical safety or operational accessibility. (1) Reducing the shape coefficient can significantly lower the heat load, and it is recommended to control it at 0.35–0.40; (2) The thermal performance of the envelope structure has a differential effect: the energy-saving effect is optimal when the U-value of external walls is 0.20–0.30 W/(m2·K) and the U-value of roofs is ≤0.25 W/(m2·K). A U-value of 2.4 W/(m2·K) is recommended for external windows, while the internal wall exerts a weak influence; (3) The window-to-wall ratio should be controlled by orientation: east-facing/north-facing ≤ 0.20, south-facing ≤ 0.35, and west-facing ≤ 0.30. Based on the above results, a comprehensive energy-saving strategy of “compact form–high-efficiency envelope–limited window-to-wall ratio” is proposed, which provides theoretical support and technical pathways for the energy-saving design of substation buildings in cold areas. Compared with existing substation buildings, the recommended parameters yield a significant reduction in total life-cycle carbon emissions and hold important practical significance for realizing the “dual carbon” goals (carbon peaking and carbon neutrality) of the power system. Full article
(This article belongs to the Section Building Energy, Physics, Environment, and Systems)
Show Figures

Figure 1

34 pages, 17164 KB  
Article
Designing Environmentally Sustainable Product–Service Systems for Smart Mobile Devices: A Conceptual Framework and Archetypes
by Hang Su, Alessandra C. Canfield Petrecca and Carlo Vezzoli
Sustainability 2025, 17(19), 8524; https://doi.org/10.3390/su17198524 - 23 Sep 2025
Viewed by 824
Abstract
Smart Mobile Devices (SMD)—including hardware devices, such as smartphones, tablets, and wearables; the software systems that animate them; and the data-communication infrastructure that connects them—pose increasing sustainability challenges due to their short lifespans, high resource demands, and growing e-waste. While Sustainable Product–Service Systems [...] Read more.
Smart Mobile Devices (SMD)—including hardware devices, such as smartphones, tablets, and wearables; the software systems that animate them; and the data-communication infrastructure that connects them—pose increasing sustainability challenges due to their short lifespans, high resource demands, and growing e-waste. While Sustainable Product–Service Systems (S.PSS) have been applied in various sectors to support environmental goals, limited research has addressed their application in the context of SMD. This study aims to explore how S.PSS can be tailored to support sustainability in the SMD sector. For that, it combines a literature review with a multiple-case analysis of seventeen commercial offerings to develop a conceptual framework refined through six expert interviews. Cases were coded using the classical PSS typology and other sector-specific criteria and subsequently clustered in a polarity diagram to identify designable patterns, underpinning the conceptual framework. The study contributes an S.PSS-SMD framework comprising a sector-tailored classification and sixteen archetypal models, operationalized in an archetypal map with potential opportunities. Theoretically, the study offers a sector-grounded operationalization that extends S.PSS design theory to digital product–service ecosystems. It provides a strategic decision aid for designing business models, service bundles, stakeholder roles, and lifecycle responsibilities to pursue win–win environmental and economic sustainability. Full article
(This article belongs to the Section Sustainable Products and Services)
Show Figures

Figure 1

39 pages, 4701 KB  
Article
DCmal-2025: A Novel Routing-Based DisConnectivity Malware—Development, Impact, and Countermeasures
by Mai Abu-Jazoh, Iman Almomani and Khair Eddin Sabri
Appl. Sci. 2025, 15(18), 10219; https://doi.org/10.3390/app151810219 - 19 Sep 2025
Viewed by 1643
Abstract
Operating systems such as Windows, Linux, and macOS include built-in commands that enable administrators to perform essential tasks. These same commands can be exploited by attackers for malicious purposes that may go undetected by traditional security solutions. This research identifies an unmitigated risk [...] Read more.
Operating systems such as Windows, Linux, and macOS include built-in commands that enable administrators to perform essential tasks. These same commands can be exploited by attackers for malicious purposes that may go undetected by traditional security solutions. This research identifies an unmitigated risk of misuse of a standard command to disconnect network services on victim devices. Thus, we developed a novel Proof-of-Concept (PoC) malware named DCmal-2025 and documented every step of its lifecycle, including the core idea of the malware, its development, impact, analysis, and possible countermeasures. The proposed DCmal-2025 malware can cause a Denial-of-Service (DoS) condition without exploiting any software vulnerabilities; instead, it misuses legitimate standard commands and manipulates the routing table to achieve this. We developed two types of DCmal-2025: one that triggers a DoS immediately and another that initiates it after a predefined delay before restoring connectivity. This study evaluated 72 antivirus detection rates of two malware types (DCmal-2025 Type 1 and Type 2) written in C and Rust using VirusTotal. The source code for both types was undetected by any of the antivirus engines. However, after compiling the source code into executable files, only some Windows executables were flagged by general keywords unrelated to DCmal-2024 behaviour; Linux executables remained undetected. Rust significantly reduced detection rates compared to C—from 7.04% to 1.39% for Type 1 and from 9.72% to 4.17% for Type 2. An educational institution was chosen as a case study. The institution’s network topology was simulated using the GNS3 simulator. The result of the case study reveals that both malware types could cause a successful DoS attack by disconnecting targeted devices from all network-based services. The findings underscore the need for enhanced detection methods and heightened awareness that unexplained network disconnections may be caused by undetected malware, such as DCmal-2025. Full article
(This article belongs to the Special Issue Approaches to Cyber Attacks and Malware Detection)
Show Figures

Figure 1

31 pages, 4576 KB  
Article
The Techno-Economic Feasibility of Retrofitting Buildings in Turkey Within the NZEB Framework: A Case Study in Izmir
by Ahunur Aşıkoğlu Metehan
Sustainability 2025, 17(18), 8399; https://doi.org/10.3390/su17188399 - 19 Sep 2025
Viewed by 863
Abstract
Turkey is in the process of developing national strategies to reach the NZEB standard. There is a gap in the literature regarding the life-cycle costs of the passive and active solutions that increase energy efficiency and have significant potential in the widespread adoption [...] Read more.
Turkey is in the process of developing national strategies to reach the NZEB standard. There is a gap in the literature regarding the life-cycle costs of the passive and active solutions that increase energy efficiency and have significant potential in the widespread adoption of the NZEB standard. Therefore, this study aims to investigate the economic feasibility of improvement alternatives for an existing building in Turkey. In accordance with the objectives involved in achieving NZEBs, national standards (TS 825-2008, TS 825-2024) and passive and active improvement strategies under the EnerPHit framework were identified, and a residential building located in Izmir, which is in a warm climate zone, was modelled using DesignBuilder (version 7.3.1.003) software. A comparison of the current configuration with those predicted by TS 825-2008, TS 825 2024, and EnerPHit indicates energy savings of 29%, 36%, and 54%, respectively. In addition, the benefit–cost ratios, payback periods, and life-cycle costs of the alternatives were determined. The lowest LCC was determined to be the USD 5.424 for the improved EnerPHit-compliant alternative using PV integration. Moreover, it was determined that achieving a plus-energy building is possible even when electric vehicles are charged in the improved building. In Turkey, the retrofitting of buildings similar to that of the case study into plus-energy buildings has been deemed economically viable, provided certain EnerPHit-compliant improvements are implemented. Full article
Show Figures

Figure 1

24 pages, 11507 KB  
Review
A Review on Ecological and Environmental Impacts of Pumped Hydro Storage Based on CiteSpace Analysis
by Hailong Yin, Xuhong Zhao, Meixuan Chen, Zeding Fu, Yingchun Fang, Hui Wang, Meifang Li, Jiahao Luo, Peiyang Tan and Xiaohua Fu
Water 2025, 17(18), 2752; https://doi.org/10.3390/w17182752 - 17 Sep 2025
Viewed by 1210
Abstract
This study conducted a systematic review of 222 research articles (2014–2024) from the Web of Science Core Collection database to investigate the ecological and environmental impacts of pumped hydro storage (PHS). Utilizing CiteSpace 6.1R software for visual analysis, the research hotspots and evolutionary [...] Read more.
This study conducted a systematic review of 222 research articles (2014–2024) from the Web of Science Core Collection database to investigate the ecological and environmental impacts of pumped hydro storage (PHS). Utilizing CiteSpace 6.1R software for visual analysis, the research hotspots and evolutionary trends over the past decade were comprehensively examined. Key findings include the following: (1) Annual publication output exhibited sustained growth, with China contributing 29.7% of total publications, ranking first globally. (2) Research institutions demonstrated broad geographical distribution but weak collaborative networks, as the top 10 institutions accounted for only 21.6% of total publications, highlighting untapped potential for cross-regional cooperation. (3) Current research focuses on three domains: ecological–environmental benefit assessment, renewable energy synergistic integration, and power grid regulation optimization. Emerging trends emphasize multi-objective planning (e.g., economic–ecological trade-offs) and hybrid system design (e.g., solar–wind–PHS coordinated dispatch), providing critical support for green energy transitions. (4) Post-2020 research has witnessed novel thematic directions, including deepened studies on wind–PHS coupling and life-cycle assessment (LCA). Policy-driven renewable energy integration research entered an explosive growth phase, with PHS–photovoltaic–wind complementary technologies emerging as a core innovation pathway. Future research should prioritize strengthening institutional collaboration networks, exploring region-specific ecological impact mechanisms, and advancing policy–technology–environment multi-dimensional frameworks for practical applications. Full article
(This article belongs to the Section Hydraulics and Hydrodynamics)
Show Figures

Figure 1

49 pages, 670 KB  
Review
Bridging Domains: Advances in Explainable, Automated, and Privacy-Preserving AI for Computer Science and Cybersecurity
by Youssef Harrath, Oswald Adohinzin, Jihene Kaabi and Morgan Saathoff
Computers 2025, 14(9), 374; https://doi.org/10.3390/computers14090374 - 8 Sep 2025
Viewed by 2353
Abstract
Artificial intelligence (AI) is rapidly redefining both computer science and cybersecurity by enabling more intelligent, scalable, and privacy-conscious systems. While most prior surveys treat these fields in isolation, this paper provides a unified review of 256 peer-reviewed publications to bridge that gap. We [...] Read more.
Artificial intelligence (AI) is rapidly redefining both computer science and cybersecurity by enabling more intelligent, scalable, and privacy-conscious systems. While most prior surveys treat these fields in isolation, this paper provides a unified review of 256 peer-reviewed publications to bridge that gap. We examine how emerging AI paradigms, such as explainable AI (XAI), AI-augmented software development, and federated learning, are shaping technological progress across both domains. In computer science, AI is increasingly embedded throughout the software development lifecycle to boost productivity, improve testing reliability, and automate decision making. In cybersecurity, AI drives advances in real-time threat detection and adaptive defense. Our synthesis highlights powerful cross-cutting findings, including shared challenges such as algorithmic bias, interpretability gaps, and high computational costs, as well as empirical evidence that AI-enabled defenses can reduce successful breaches by up to 30%. Explainability is identified as a cornerstone for trust and bias mitigation, while privacy-preserving techniques, including federated learning and local differential privacy, emerge as essential safeguards in decentralized environments such as the Internet of Things (IoT) and healthcare. Despite transformative progress, we emphasize persistent limitations in fairness, adversarial robustness, and the sustainability of large-scale model training. By integrating perspectives from two traditionally siloed disciplines, this review delivers a unified framework that not only maps current advances and limitations but also provides a foundation for building more resilient, ethical, and trustworthy AI systems. Full article
(This article belongs to the Section AI-Driven Innovations)
Show Figures

Figure 1

33 pages, 8220 KB  
Article
A Formalization Framework for Integrating Social Design Intentions into Digital Building Models
by Yazan N. H. Zayed, Anna Elisabeth Kristoffersen, Gustaf Lohm, Aliakbar Kamari and Carl Schultz
Sustainability 2025, 17(17), 7739; https://doi.org/10.3390/su17177739 - 28 Aug 2025
Viewed by 726
Abstract
Human-centered qualities (e.g., privacy, sense of orientation, etc.) significantly impact the social sustainability of buildings and the well-being of their occupants. However, due to their subjective nature, such qualities are often implicit and are not documented properly during the planning phase of construction [...] Read more.
Human-centered qualities (e.g., privacy, sense of orientation, etc.) significantly impact the social sustainability of buildings and the well-being of their occupants. However, due to their subjective nature, such qualities are often implicit and are not documented properly during the planning phase of construction projects. While several types of design intentions are documented throughout the lifecycle of building projects, intentions that are socially oriented and target soft aspects that reflect occupants’ experience (e.g., comfort, well-being, etc.), are evidently missing from current digital building models, hence risking constructing uninhabitable or socially unsustainable buildings. Through an extensive interdisciplinary collaboration between building scientists, practicing architects, and computer scientists, this paper addresses this gap by introducing a formalization framework, “ProFormalize”, to capture social design intentions (SDIs) in digital building models. This work presents a novel approach to digitalize SDIs in buildings, bridging a critical gap between architectural design intentions and explicit digital representations. Following a case-study-driven approach and a co-creation-based methodology, we developed the framework aiming to establish the foundations for developing a decision-support software tool (plugin) that enables architects, who are directly involved in the research process, to integrate SDIs into digital building models. The expert feedback demonstrates that the framework can make implicit SDIs explicit, which enables architects to integrate them into digital building models. Expert feedback suggested that a software tool developed based on this framework can enhance decision-making due to the traceability and analyzability of digital models. Full article
Show Figures

Figure 1

20 pages, 1646 KB  
Review
A Systematic Review of Nutraceuticals from the Perspective of Life-Cycle Assessment
by Ilija Djekic, Nada Smigic and Dubravka Vitali Čepo
Pharmaceuticals 2025, 18(9), 1278; https://doi.org/10.3390/ph18091278 - 27 Aug 2025
Viewed by 1023
Abstract
Background/Objectives: Despite its growing application, life-cycle assessment (LCA) in the nutraceutical sector has not been systematically studied, leaving a gap in our understanding of the unique challenges of assessing its environmental footprint. The main objective of this study was to provide an [...] Read more.
Background/Objectives: Despite its growing application, life-cycle assessment (LCA) in the nutraceutical sector has not been systematically studied, leaving a gap in our understanding of the unique challenges of assessing its environmental footprint. The main objective of this study was to provide an overview of scientific publications related to nutraceuticals from the LCA perspective. Methods: This review combined bibliometric analysis, using VOSViewer as an analytic tool, with the search of the Web of Science database, aiming to identify the most relevant papers associated with nutraceuticals and life-cycle assessment. Results: The final selection of the most relevant publications was set at 65, analyzing 78 different nutraceuticals. Results reveal that the main sources of raw materials for extraction of nutraceuticals are marine-based, plant-based, and from agri-food waste. Polyphenols were analyzed 34 times and were predominantly sourced from plants, while carotenoids, analyzed 17 times, were mainly linked with marine-based and food waste-derived sources. The main environmental footprints were focused on climate change, covering most of the nutraceuticals analyzed (97.4%), followed by acidification (78.2%) and eutrophication (74.4%). SimaPro was the prevailing software used for 43.6% nutraceuticals, while the prevailing database was Ecoinvent, used in two thirds of the cases (66.7%). ReCiPe, as a life-cycle inventory assessment method, was used for calculating 34.6% of analyzed cases, followed by CML (33.3%). Conclusions: This systematic review highlights the main challenge in LCA studies, outlining great variability in study boundaries, functional units, and reported environmental footprints, and making it difficult to compare the environmental impacts of similar nutraceutical groups from a life-cycle perspective. This underscores the urgent need to improve input-data quality and develop standardized methodologies to validate sustainability claims using LCA. Full article
(This article belongs to the Section Natural Products)
Show Figures

Graphical abstract

16 pages, 1371 KB  
Systematic Review
Challenges and Opportunities for Sustainability in the Digital Product Lifecycle: A Systematic Literature Review
by Mariane Bigarelli Ferreira, Giulihano Luis Feltz Zeni, Guilherme Francisco do Prado, Jovani Taveira Souza, Cassiano Moro Piekarski and Fabio Neves Puglieri
Sustainability 2025, 17(16), 7265; https://doi.org/10.3390/su17167265 - 12 Aug 2025
Cited by 1 | Viewed by 1510
Abstract
This article presents a systematic literature review aimed at identifying challenges and opportunities for integrating sustainability into the digital product lifecycle. The review followed the PRISMA 2020 guidelines and involved a comprehensive search across three databases—Web of Science, Scopus, and ScienceDirect—using structured Boolean [...] Read more.
This article presents a systematic literature review aimed at identifying challenges and opportunities for integrating sustainability into the digital product lifecycle. The review followed the PRISMA 2020 guidelines and involved a comprehensive search across three databases—Web of Science, Scopus, and ScienceDirect—using structured Boolean queries. A total of 377 records were retrieved, and after duplicate removal and a multi-stage screening process based on predefined inclusion and exclusion criteria, 56 peer-reviewed studies were selected for analysis. These studies were examined in relation to how they addressed environmental, social, and economic dimensions throughout the digital product lifecycle and UX/UI design. Key challenges identified include high energy consumption, limited user awareness of environmental impacts, and the exclusion of vulnerable populations from digital solutions. Opportunities include the adoption of sustainable design strategies, the application of Life Cycle Assessment (LCA), co-design practices, and data-driven decision-making tools. The findings were synthesized into a conceptual framework structured across three lifecycle stages—pre-development, development, and post-development—and mapped to six sustainability requirements. This study contributes to the field by aligning digital innovation with the Sustainable Development Goals (SDGs) and offering a theoretical foundation for the development of practical frameworks and indicators that support sustainable digital product development. Full article
Show Figures

Graphical abstract

Back to TopTop