Sign in to use this feature.

Years

Between: -

Subjects

remove_circle_outline
remove_circle_outline
remove_circle_outline
remove_circle_outline
remove_circle_outline
remove_circle_outline
remove_circle_outline
remove_circle_outline
remove_circle_outline

Journals

remove_circle_outline
remove_circle_outline
remove_circle_outline
remove_circle_outline
remove_circle_outline
remove_circle_outline
remove_circle_outline
remove_circle_outline
remove_circle_outline
remove_circle_outline

Article Types

Countries / Regions

remove_circle_outline
remove_circle_outline
remove_circle_outline
remove_circle_outline
remove_circle_outline

Search Results (959)

Search Parameters:
Keywords = small and medium sized enterprise (SME)

Order results
Result details
Results per page
Select all
Export citation of selected articles as:
24 pages, 519 KB  
Article
Navigating the Green Transition: Drivers, Barriers, and Policy Implications for Circular Economy Adoption Among Logistics SMEs in an Emerging Economy
by Thi Nhu Quynh Vu, Ngoc Anh Nguyen, Khac Huy Nguyen and Van Kiem Pham
Sustainability 2026, 18(1), 55; https://doi.org/10.3390/su18010055 (registering DOI) - 19 Dec 2025
Abstract
The global shift toward a Circular Economy (CE) presents both significant challenges and opportunities for small and medium-sized enterprises (SMEs) in the logistics sector of emerging economies. This study aims to empirically identify and analyze the key drivers and barriers to the adoption [...] Read more.
The global shift toward a Circular Economy (CE) presents both significant challenges and opportunities for small and medium-sized enterprises (SMEs) in the logistics sector of emerging economies. This study aims to empirically identify and analyze the key drivers and barriers to the adoption of CE practices among logistics SMEs in Vietnam. Drawing on an integrated theoretical framework that combines the Technology—Organization—Environment (TOE) framework, the Resource-Based View (RBV), and Institutional Theory, a questionnaire survey was conducted with a sample of 160 logistics SMEs. Data were analyzed using multiple linear regression to test the proposed hypotheses. The findings reveal that external environmental factors exert the strongest influence, with supply chain partner support (β = 0.355) and competitive pressure (β = 0.331) emerging as the most significant predictors. Leadership commitment (β = 0.237) and regulatory pressure (β = 0.164) also have positive and statistically significant effects. Notably, the study found no significant impact from internal factors such as financial capacity or cognitive factors, suggesting that ecosystem pressures may play a dominant role for SMEs. Based on the findings, the paper offers valuable practical implications for both managers and policymakers. Full article
17 pages, 635 KB  
Article
Energy Prices in the Context of the European Green Deal and Their Impact on the Number of Small and Medium-Sized Enterprises in Poland
by Michał Baran and Agnieszka Thier
Energies 2026, 19(1), 8; https://doi.org/10.3390/en19010008 - 19 Dec 2025
Abstract
The changes introduced under the European Green Deal policy affect many areas of life. They also have significant consequences for the functioning of small and medium-sized enterprises. The authors put forward the thesis that one of the key categories of costs in the [...] Read more.
The changes introduced under the European Green Deal policy affect many areas of life. They also have significant consequences for the functioning of small and medium-sized enterprises. The authors put forward the thesis that one of the key categories of costs in the case of such firms, which significantly influences their decision to commence, continue or cease operations, is the cost of purchasing electricity and gas. Analysing data from the Central Statistical Office in Poland for the years 2015–2025 and constructing an econometric model on this basis, the authors found arguments that the cost of purchasing electricity (as opposed to the cost of purchasing gas) may probably indeed play the role attributed to it. However, the detected relationships are of a very complex nature and only the ML model, Random Forest, was able to identify them (linear and non-linear OLS regression models were not appropriate here). Although Random Forest is a predictive method and does not identify structural causality, the findings may be important for decision-makers assessing the scale of the challenges that small and medium-sized enterprises will have to face in the coming years. Moreover, the findings constitute a significant argument in favour of support instruments (e.g., contracts for difference, long-term PPAs for SMEs, support for energy efficiency and self-generation) for the aforementioned category of entities. Full article
(This article belongs to the Section C: Energy Economics and Policy)
24 pages, 693 KB  
Article
Implementation of a Low-Cost Digital Transformation Model for Small- and Medium-Sized Industrial Enterprises in the Context of Industry 4.0
by Leonel Patrício and Leonilde Varela
Sci 2025, 7(4), 187; https://doi.org/10.3390/sci7040187 - 18 Dec 2025
Abstract
This study examines the adoption of a low-cost model to support digital transformation in small- and medium-sized industrial enterprises (SMEs) within the context of Industry 4.0. In light of the need to increase operational efficiency while simultaneously reducing expenditure, it becomes a priority [...] Read more.
This study examines the adoption of a low-cost model to support digital transformation in small- and medium-sized industrial enterprises (SMEs) within the context of Industry 4.0. In light of the need to increase operational efficiency while simultaneously reducing expenditure, it becomes a priority to employ innovative and cost-effective solutions. To evaluate this impact, the research applies the PICO (Population, Intervention, Comparison, Outcome) methodology, systematically assessing how the proposed model influences digital transformation and operational efficiency. Drawing on a case study, the findings demonstrate that implementing the low-cost model leads to significant cost reductions, gains in operational efficiency, and an acceleration of digital transformation in industrial organizations. The results indicate that the approach not only optimizes internal processes but also contributes to lowering the organization’s overall costs. The conclusions confirm the hypotheses, showing that the model achieves a balance between technological advancement and economic efficiency. The study provides relevant insights into the potential of technologies to simultaneously drive operational efficiency and digital transformation within the framework of Industry 4.0, offering an innovative pathway for companies seeking to digitalize while controlling costs. This research strengthens the existing body of knowledge on the synergy between digital transformation, cost efficiency, and operational performance in industrial settings. Full article
(This article belongs to the Section Computer Sciences, Mathematics and AI)
Show Figures

Figure 1

21 pages, 1084 KB  
Article
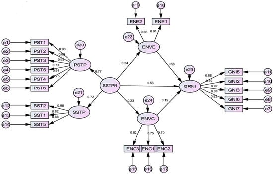
Encouraging SMEs’ Green Innovation Through Stakeholder Pressure: The Moderating and Mediating Role of Environmental Commitment and Ethics
by Umme Kulsum, Anamul Haque, Rubayet Hasan and Fakhrul Hasan
J. Risk Financial Manag. 2025, 18(12), 721; https://doi.org/10.3390/jrfm18120721 - 17 Dec 2025
Viewed by 77
Abstract
This study investigates how stakeholder pressures (SSTPR) prompt SMEs to perform green innovation (GRNI) activities by grounding the analysis exclusively in stakeholder theory. It employs a survey questionnaire to gather information from 141 top- and mid-level executives working in various SME manufacturing firms [...] Read more.
This study investigates how stakeholder pressures (SSTPR) prompt SMEs to perform green innovation (GRNI) activities by grounding the analysis exclusively in stakeholder theory. It employs a survey questionnaire to gather information from 141 top- and mid-level executives working in various SME manufacturing firms (listed in DSE, CSE, foreign SMEs) in Bangladesh. The structural equation modeling (SEM) technique is used to analyze data and test hypotheses. The study’s findings reveal that SSTPR, both primary and secondary, have a significant positive impact on the firm’s degree of GRNI. Moreover, it has also been found that environmental commitment (ENVC) has a positive moderating effect on the relation between stakeholder influences and GRNI. On the other hand, environmental ethics (ENVE) has a partial mediation impact on this relationship. The results shed light on the crucial role of stakeholder influence, ENVC, and ENVE in promoting GRNI behavior. These findings will fill knowledge gaps on the factors that drive SMEs’ investments in GRNIs with insightful implications for regulators, managers, and policymakers. This study also assists Bangladesh’s sustainable agenda by bolstering green and sustainable innovation activities. Full article
(This article belongs to the Special Issue Behavioral Finance and Sustainable Green Investing)
Show Figures

Figure 1

23 pages, 1721 KB  
Article
A Complex Leadership Perspective on Generative AI Adoption in SMEs: The Interplay of TAM, TMT, and RBV
by Montserrat Peñarroya-Farell, Maryam Vaziri, Sasha Katalina Soto Rivera and Francesc Miralles
Adm. Sci. 2025, 15(12), 494; https://doi.org/10.3390/admsci15120494 - 16 Dec 2025
Viewed by 174
Abstract
Although Generative Artificial Intelligence (GenAI) is one of the strategic choices for digital transformation in small and medium-sized enterprises (SMEs), its adoption remains constrained by leadership decision-making that must balance strategic aspirations with resource limitations and organizational inertia. Organizational leadership must face the [...] Read more.
Although Generative Artificial Intelligence (GenAI) is one of the strategic choices for digital transformation in small and medium-sized enterprises (SMEs), its adoption remains constrained by leadership decision-making that must balance strategic aspirations with resource limitations and organizational inertia. Organizational leadership must face the dynamic and complex characteristics of digital transformation in the knowledge era. Drawing on Complexity Theory and integrating the Technology Acceptance Model (TAM), Temporal Motivation Theory (TMT), and the Resource-Based View (RBV), this study proposes a conceptual framework reflecting distinct strategic leadership orientations. Following a qualitative approach based on semi-structured interviews with SME leaders and an Interpretative Phenomenological Analysis (IPA) this conceptual framework contributes by reframing GenAI adoption as a complex, nonlinear process rather than a straightforward diffusion model, that includes four strategic profiles (Strategic Adopters, Aspiring Adopters, Opportunistic Adopters, and Operational Stabilizers) that affect a dynamic relationship between three key adoption dimensions: intention, motivation, and resource allocation. SME leaders can benefit from a delimitation of their strategic and operational goals while overcoming adoption barriers. Full article
Show Figures

Figure 1

24 pages, 636 KB  
Article
The Relationship Between Information Technology Dimensions and Competitiveness Dimensions of SMEs Mediated by the Role of Innovative Performance
by AmirHossein ArminKia, Mahdi Moradi and Mahdi Salehi
Information 2025, 16(12), 1100; https://doi.org/10.3390/info16121100 - 11 Dec 2025
Viewed by 173
Abstract
This study evaluated the relationship between information technology (IT) and competitiveness (CP), emphasizing the different dimensions of IT capabilities, including customer relationship management (CRM) and human resource management (HRM). Also, the mediating role of innovative performance (IP) was examined in the link between [...] Read more.
This study evaluated the relationship between information technology (IT) and competitiveness (CP), emphasizing the different dimensions of IT capabilities, including customer relationship management (CRM) and human resource management (HRM). Also, the mediating role of innovative performance (IP) was examined in the link between IT use and CP. Data were collected in 2023 through a standard questionnaire, whose validity and reliability were confirmed by experts and statistical tests. Then, 172 valid responses were analyzed after determining the minimum sample size using Cochran’s formula. SPSS version 25 was used for descriptive analyses and preliminary tests, while SmartPLS 3.3.3 was utilized for structural equation modeling and hypothesis testing. The findings indicated that the use of IT components enhances CP, and IP mediates this relationship. This research contributes to the theoretical development of innovation management and IT by highlighting the transmission mechanism of IP rather than focusing solely on the direct relationship. This study, conducted among Iranian small and medium-sized enterprises (SMEs), also fills a gap in global literature, especially in developing countries, and offers practical insights. Full article
Show Figures

Figure 1

22 pages, 439 KB  
Article
Productivity and Resilience of Small and Medium-Sized Aquaculture Enterprises During COVID-19: Evidence from Mexico and Colombia
by José Crisóforo Carrazco-Escalante, Nissa Yaing Torres-Soto, Elizabeth Ramírez-Llerena, Edgar Fernando Peña-Torres, Grace Erandy Báez-Hernández, Enrique Camacho-Pérez and Francisco Guillermo Salcido-Vega
Sustainability 2025, 17(24), 11086; https://doi.org/10.3390/su172411086 - 11 Dec 2025
Viewed by 173
Abstract
This study validates and applies a quantitative recommendation scale designed to assess the impact of strategies adopted by small and medium-sized aquaculture enterprises (SMEs) during the COVID-19 pandemic. A case study was conducted on the performance of two aquaculture models under crisis conditions: [...] Read more.
This study validates and applies a quantitative recommendation scale designed to assess the impact of strategies adopted by small and medium-sized aquaculture enterprises (SMEs) during the COVID-19 pandemic. A case study was conducted on the performance of two aquaculture models under crisis conditions: organized shrimp farms in Sinaloa (Mexico) and individual artisanal aquaculture SMEs in El Banco, Magdalena (Colombia). The methodological approach combined a cross-sectional survey, descriptive statistics, Cronbach’s alpha, and Confirmatory Factor Analysis (CFA) to evaluate the scale’s reliability and construct validity. Results from Sinaloa revealed strong positive correlations between productivity, market adaptation, technological adoption, and contingency strategies, with the highest association observed between contingency strategies and productivity (r=0.91). In contrast, SMEs in El Banco exhibited lower integration of technologies and weaker links between strategic responses and productivity, reflecting structural constraints such as informality, limited institutional support, and reduced access to financing. The scale showed an acceptable but preliminary level of internal consistency (α=0.64) and acceptable factorial indices for an exploratory validation phase. Complementary convergent validity measures (CR and AVE) indicated low internal coherence, which reinforces the preliminary nature of the scale and the need for future refinement. Due to the heterogeneous nature and descriptive treatment of the Colombian data, the cross-country analysis is interpreted as exploratory rather than strictly statistical. Even so, the findings highlight that technological adoption, market diversification, and the implementation of health protocols were decisive for maintaining resilience and productivity during crisis scenarios. This research contributes theoretically, by providing initial evidence supporting an original measurement instrument, and practically, by offering policymakers and entrepreneurs a contextualized diagnostic tool to design evidence-based strategies that strengthen organizational resilience and sustainable productivity in aquaculture SMEs. Further validation in other regions and productive sectors is recommended to confirm the scale’s broader generalizability. Full article
(This article belongs to the Section Economic and Business Aspects of Sustainability)
Show Figures

Figure 1

37 pages, 2891 KB  
Systematic Review
Cybersecurity Threats and Defensive Strategies for Small and Medium Firms: A Systematic Mapping Study
by Mujtaba Awan and Abu Alam
Adm. Sci. 2025, 15(12), 481; https://doi.org/10.3390/admsci15120481 - 10 Dec 2025
Viewed by 513
Abstract
Small- and Medium-sized Enterprises (SMEs) play a crucial role in the global economy, accounting for approximately two-thirds of global employment and contributing significantly to the GDP of developed countries. Despite the availability of various cybersecurity standards and frameworks, SMEs remain highly vulnerable to [...] Read more.
Small- and Medium-sized Enterprises (SMEs) play a crucial role in the global economy, accounting for approximately two-thirds of global employment and contributing significantly to the GDP of developed countries. Despite the availability of various cybersecurity standards and frameworks, SMEs remain highly vulnerable to cyber threats. Limited resources and a lack of expertise in cybersecurity make them frequent targets for cyberattacks. It is essential to identify the challenges faced by SMEs and explore effective defensive strategies to enhance the implementation of cybersecurity measures. The study aims to bridge the gap and help these organizations in implementing cost-effective and practical cybersecurity approaches through a systematic mapping study (SMS) conducted, where 73 articles were thoroughly reviewed. This research will shed light on the current cybersecurity approaches (practices) posture for different SMEs, along with the threats they are facing, which have stopped them from deciding, planning, and implementing cybersecurity measures. The study identified a wide range of cybersecurity threats, including phishing, social engineering, insider threats, ransomware, malware, denial of services attacks, and weak password practices, which are the most prevalent for SMEs. This study identified defensive practices, such as cybersecurity awareness and training, endpoint protection tools, incident response planning, network segmentation, access control, multi-factor authentication (MFA), access controls, privilege management, email authentication and encryption, enforcing strong password policies, cloud security, secure backup solutions, supply chain visibility, and automated patch management tools, as key measures. The study provides valuable insights into the specific gaps and challenges faced by SMEs, as well as their preferred methods of seeking and consuming cybersecurity assistance. The findings can guide the development of targeted defensive practices and policies to enhance the cybersecurity posture of SMEs for successful software development. This SMS will also provide a foundation for future research and practical guidelines for SMEs to improve the process of secure software development. Full article
Show Figures

Figure 1

15 pages, 697 KB  
Article
Ambidextrous Management and Eco-Innovation Strategies in Small- and Medium-Sized Manufacturing Enterprises: Responses to Decarbonization and the Renewable Energy Market—A Multi-Round Qualitative Examination
by Keisuke Kokubun
World 2025, 6(4), 160; https://doi.org/10.3390/world6040160 - 8 Dec 2025
Viewed by 269
Abstract
This study investigates the challenges faced by small- and medium-sized manufacturing enterprises (SMEs) as they attempt to respond to decarbonization demands and expand into renewable-energy markets. Drawing on three waves of free-response surveys conducted between 2021 and 2024, and applying the KJ qualitative [...] Read more.
This study investigates the challenges faced by small- and medium-sized manufacturing enterprises (SMEs) as they attempt to respond to decarbonization demands and expand into renewable-energy markets. Drawing on three waves of free-response surveys conducted between 2021 and 2024, and applying the KJ qualitative synthesis method, the analysis identifies multi-layered constraints across financial, technological, human resource, organizational, and institutional domains. The findings show that the central difficulty for SMEs lies in reconciling exploration—the pursuit of new technologies and business opportunities—with exploitation—the need to maintain and improve existing operations. External stakeholder pressure frequently accelerates this tension, compelling SMEs to initiate environmental actions even when internal capabilities remain insufficient. Based on the emergent patterns, the study develops an “Exploration–Exploitation Support Matrix,” providing a practical framework for policymakers to design coordinated support measures. The study contributes to the integration of eco-innovation, absorptive capacity, and ambidextrous management theories and offers actionable insights for promoting sustainable SME transitions. Full article
Show Figures

Figure 1

19 pages, 1712 KB  
Article
From Waste to Brand: Circular Bio-Innovation and Low-Carbon Product Development in Taiwan’s Enzyme Village
by Amit Kumar Sah, Yao-Ming Hong and Su Hwa Lin
Sustainability 2025, 17(24), 10947; https://doi.org/10.3390/su172410947 - 7 Dec 2025
Viewed by 400
Abstract
This study explores a circular economy approach to agricultural waste transformation through an in-depth case study of Taiwan Enzyme Village Company. In response to global challenges related to food waste, resource inefficiency, and environmental degradation, the company has developed a low-energy fermentation system [...] Read more.
This study explores a circular economy approach to agricultural waste transformation through an in-depth case study of Taiwan Enzyme Village Company. In response to global challenges related to food waste, resource inefficiency, and environmental degradation, the company has developed a low-energy fermentation system that converts surplus fruits and vegetable residues into a range of value-added products, including enzyme liquids, organic fertilizers, seed paper, and biodegradable packaging. The research employs the BS 8001 Circular Economy Principles as an analytical framework to evaluate the company’s operational model, stakeholder engagement, and environmental contributions. Findings reveal a highly localized and replicable circular system that emphasizes low-carbon production, community collaboration, and innovative reuse of biological resources. The study contributes practical insights for small- and medium-sized enterprises (SMEs) aiming to implement circular economy practices within the agricultural sector and highlights strategic pathways for sustainable rural development. Full article
Show Figures

Figure 1

23 pages, 744 KB  
Article
Driving Sustainable Entrepreneurship Through AI and Knowledge Management: Evidence from SMEs in Emerging Economies
by Qasem Mohammed Alshammakhi and Riyaz Abdullah Sheikh
Sustainability 2025, 17(24), 10928; https://doi.org/10.3390/su172410928 - 6 Dec 2025
Viewed by 451
Abstract
This study investigates how artificial intelligence (AI) capabilities shape sustainable entrepreneurship (SE) among small and medium-sized enterprises (SMEs) in emerging economies. Focusing on knowledge management (KM) as a mediator, entrepreneurial orientation (EO) as a moderator, and government policy support (GPS) as an enabler, [...] Read more.
This study investigates how artificial intelligence (AI) capabilities shape sustainable entrepreneurship (SE) among small and medium-sized enterprises (SMEs) in emerging economies. Focusing on knowledge management (KM) as a mediator, entrepreneurial orientation (EO) as a moderator, and government policy support (GPS) as an enabler, the research draws upon the Knowledge-Based View, Dynamic Capabilities Theory, and Institutional Theory. Using data from Saudi Arabian SMEs operating within the Vision 2030 agenda, the structural model demonstrates that AI primarily influences sustainability when firms possess robust KM systems capable of translating digital insights into actionable practices. Both EO and GPS strengthen the conversion of knowledge into sustainable outcomes, where EO fosters innovation and proactivity, and GPS provides essential resources and legitimacy. Nevertheless, excessive reliance on policy incentives may divert firms toward compliance rather than substantive transformation. Conceptually, this paper situates KM at the core of sustainability transformation, with policy support shaping the institutional context. The findings offer actionable guidance for SME managers and policymakers seeking to advance the United Nations Sustainable Development Goals (SDGs) through strategic engagement with AI and KM. Full article
(This article belongs to the Special Issue AI-Driven Entrepreneurship and Sustainable Business Innovation)
Show Figures

Figure 1

15 pages, 1083 KB  
Article
Visualizing the Accessibility: Exploring Greek Tourism Enterprises’ Adoption of Infographics as Marketing Tool
by Efthimios Dragotis and Despina A. Karayanni
Tour. Hosp. 2025, 6(5), 269; https://doi.org/10.3390/tourhosp6050269 - 6 Dec 2025
Viewed by 209
Abstract
As inclusive and accessible tourism continues to expand, communication barriers remain a major obstacle for travelers with diverse needs. This study examines how infographics can function as a strategic communication tool to enhance accessibility, inclusivity and comprehension in tourism marketing. A quantitative survey [...] Read more.
As inclusive and accessible tourism continues to expand, communication barriers remain a major obstacle for travelers with diverse needs. This study examines how infographics can function as a strategic communication tool to enhance accessibility, inclusivity and comprehension in tourism marketing. A quantitative survey with 187 tourism businesses in Kefalonia, Greece, assessed perceptions of infographic use through constructs adapted from the Technology Acceptance Model (TAM) & Usefulness, Satisfaction and Ease of use (USE) frameworks. Findings show that perceived usefulness and ease of learning directly influence intention to adopt infographics, while ease of use and perceived efficiency affect adoption indirectly through satisfaction. The study advances tourism and marketing literature by linking accessibility with visual communication strategies and offers practical guidance for Destination Management Organizations (DMOs), Small and Medium-sized Enterprises (SMEs) and policymakers on using infographics to promote clarity and equitable information access. Full article
Show Figures

Figure 1

26 pages, 1517 KB  
Article
One Model Fits All? Evaluating Bankruptcy Prediction Across Different Economic Periods
by Veronika Labosova, Lucia Duricova and Pavol Durana
Economies 2025, 13(12), 361; https://doi.org/10.3390/economies13120361 - 6 Dec 2025
Viewed by 375
Abstract
Financial distress prediction models are widely used to support risk management. However, economic turbulence, such as the COVID-19 pandemic, can disrupt the relationships between financial indicators and distress, thus threatening the stability and accuracy of the models’ predictions. In this study, the stability [...] Read more.
Financial distress prediction models are widely used to support risk management. However, economic turbulence, such as the COVID-19 pandemic, can disrupt the relationships between financial indicators and distress, thus threatening the stability and accuracy of the models’ predictions. In this study, the stability of bankruptcy prediction models is examined on a large sample of small and medium-sized enterprises (SMEs) in Slovakia. Three periods are distinguished: the pre-pandemic years 2018–2019, the COVID-19 pandemic years 2020–2021, and the post-pandemic recovery years 2022–2023. Two approaches to model construction are compared: separate models are estimated for each period, and a single comprehensive model covering all three periods is constructed with a period-specific indicator among the predictors. Publicly available financial data and machine learning methods are employed, and model performance is evaluated using common classification metrics. Differences in performance are revealed, indicating whether period-specific models provide superior predictive accuracy or whether a universal model can adapt to changing economic conditions. The robustness, stability, predictive power, and practical applicability of both approaches are assessed, and the influence of economic fluctuations on accuracy is demonstrated. The findings provide guidance on selecting modelling strategies across different economic environments and offer recommendations for further developing and implementing predictive models in volatile financial conditions. Full article
Show Figures

Figure 1

29 pages, 311 KB  
Article
The Impact of Green Transformation on ESG Performance in Manufacturing Enterprises: Empirical Evidence from Listed Companies in China
by Xing Fan, Qinglin Guo and Xuefei Bai
Sustainability 2025, 17(24), 10911; https://doi.org/10.3390/su172410911 - 5 Dec 2025
Viewed by 446
Abstract
In the context of global sustainable development and China’s “Dual Carbon” goals, green transformation has emerged as a crucial pathway for manufacturing enterprises to enhance their ESG performance. This study develops a comprehensive and novel framework for assessing green transformation and uses panel [...] Read more.
In the context of global sustainable development and China’s “Dual Carbon” goals, green transformation has emerged as a crucial pathway for manufacturing enterprises to enhance their ESG performance. This study develops a comprehensive and novel framework for assessing green transformation and uses panel data from Chinese A-share listed manufacturing firms spanning 2009 to 2022 to systematically evaluate the impact of this transformation on ESG performance. It also investigates the moderating effects of financing constraints, firm size, and digital transformation. The empirical findings reveal three key results. First, green transformation exerts a significant positive influence on corporate ESG performance, and this conclusion remains robust after conducting multiple endogeneity and sensitivity tests. Second, the beneficial effect of green transformation is more pronounced in state-owned enterprises, firms in central, western, and northeastern China, and younger enterprises. This reflects the substantial impact of policy orientation and resource base on the effectiveness of implementing green strategies. Third, financing constraints amplify the ESG benefits derived from green transformation. In contrast, firm size exhibits a negative moderating effect, indicating that small- and medium-sized enterprises (SMEs) derive greater advantages. Although digital transformation generally enhances ESG performance, it presents a synergistic imbalance with green transformation that diminishes its marginal effect. This study provides theoretical foundations and robust empirical evidence to support the advancement of corporate ESG performance through initiatives focused on green transformation. Full article
28 pages, 7168 KB  
Systematic Review
The Intersection of Knowledge Management and Digital Transformation in SMEs: Success Factors, Barriers, and a Research Framework
by Bonginkosi A. Thango, Ralebitso K. Letshaba and Lerato Matshaka
Knowledge 2025, 5(4), 27; https://doi.org/10.3390/knowledge5040027 - 2 Dec 2025
Viewed by 301
Abstract
Small- and medium-sized enterprises (SMEs) are increasingly embracing digital transformation (DT) to remain competitive; however, the enabling role of knowledge management (KM) remains underexplored. This systematic literature review investigates how KM supports DT in SMEs, focusing on strategic processes, tools, barriers, and policy [...] Read more.
Small- and medium-sized enterprises (SMEs) are increasingly embracing digital transformation (DT) to remain competitive; however, the enabling role of knowledge management (KM) remains underexplored. This systematic literature review investigates how KM supports DT in SMEs, focusing on strategic processes, tools, barriers, and policy contexts. A structured search was conducted in Google Scholar, Scopus, and Web of Science using the string: (“knowledge management” OR “KM”) AND (“digital transformation” OR “DT”) AND (“small and medium enterprises” OR “SME”). The search yielded 32,547 results, from which 19 studies met the eligibility criteria (English, 2020–2025, KM–DT focus, clear methodology). Results indicate that KM supports DT primarily through change management (31.58%), innovation enablement (21.05%), as well as improved decision-making and agility (15.79%). The most cited tools include KM systems, AI/analytics, and collaborative platforms. Major barriers include limited resources, lack of digital skills, and poor KM culture. Critical success factors identified are leadership commitment (26.32%) and strategic alignment (21.05%). Theoretical foundations are dominated by the Resource-Based View and Dynamic Capabilities Theory. While KM is proven to be a strategic driver of DT in SMEs, more empirical and policy-grounded studies are needed. This review provides a framework to guide future research and inform SME practitioners and policymakers. Full article
Show Figures

Figure 1

Back to TopTop