Sign in to use this feature.

Years

Between: -

Subjects

remove_circle_outline
remove_circle_outline
remove_circle_outline
remove_circle_outline
remove_circle_outline
remove_circle_outline
remove_circle_outline
remove_circle_outline
remove_circle_outline

Journals

remove_circle_outline
remove_circle_outline
remove_circle_outline
remove_circle_outline
remove_circle_outline
remove_circle_outline
remove_circle_outline

Article Types

Countries / Regions

remove_circle_outline
remove_circle_outline
remove_circle_outline
remove_circle_outline

Search Results (553)

Search Parameters:
Keywords = sludge characteristics

Order results
Result details
Results per page
Select all
Export citation of selected articles as:
16 pages, 1831 KB  
Article
Microbiological and Chemical Insights into Plasma-Assisted Disinfection of Liquid Digestate from Wastewater Treatment Plant “Kubratovo”
by Lyubomira Gelanova, Polina Ilieva, Irina Schneider, Nora Dinova, Yovana Todorova, Elmira Daskalova, Margita Aleksova, Plamena Marinova, Evgenia Benova and Yana Topalova
Environments 2026, 13(2), 67; https://doi.org/10.3390/environments13020067 (registering DOI) - 24 Jan 2026
Viewed by 59
Abstract
Liquid digestate, a by-product of excess sludge in wastewater treatment plants (WWTPs), contains high concentrations of organic matter and essential nutrients that could promote plant growth. However, it also contains a significant number of pathogenic and opportunistic pathogenic microorganisms, which present major challenges [...] Read more.
Liquid digestate, a by-product of excess sludge in wastewater treatment plants (WWTPs), contains high concentrations of organic matter and essential nutrients that could promote plant growth. However, it also contains a significant number of pathogenic and opportunistic pathogenic microorganisms, which present major challenges in terms of its safe application. A sample taken from WWTP “Kubratovo” was treated using plasma devices. The aim was to evaluate the effect of treatment by two types of plasma sources on the content of pathogenic bacteria as well as the chemical composition of the liquid digestate. The Surfaguide plasma source demonstrated a higher disinfection effectiveness (100% for E. coli, Clostridium sp.; over 99% for fecal and total coliforms; 98% for Salmonella sp.). The β-device effectively removed (100%) the following groups: E. coli and Clostridium sp. However, its effectiveness was significantly lower for the other groups. The obtained results show that plasma treatment induces the transformation of nitrogen and phosphorus compounds, resulting in increased nitrite and phosphate concentrations. The application of cold atmospheric plasma disinfection significantly improved the sanitary and compositional characteristics of the liquid digestate. The Surfaguide achieved significantly better results than the β-device, confirming its suitability for sustainable resource recovery and safe agricultural use. Full article
Show Figures

Graphical abstract

16 pages, 9276 KB  
Article
Study of Co-Combustion of Pellets and Briquettes from Lignin in a Mixture with Sewage Sludge
by Andrey Zhuikov, Tatyana Pyanykh, Mikhail Kolosov, Irina Grishina, Olga Fetisova, Petr Kuznetsov and Stanislav Chicherin
Energies 2026, 19(2), 397; https://doi.org/10.3390/en19020397 - 14 Jan 2026
Viewed by 169
Abstract
Improving the thermal utilisation of organic production waste to generate energy is integral to solving one of the most pressing issues of our time: transitioning away from fossil fuels. In this context, the thermal utilisation of organic waste, particularly sewage sludge (SS) and [...] Read more.
Improving the thermal utilisation of organic production waste to generate energy is integral to solving one of the most pressing issues of our time: transitioning away from fossil fuels. In this context, the thermal utilisation of organic waste, particularly sewage sludge (SS) and lignin-containing by-products from the biochemical industry, is of considerable scientific and practical interest. This study provides a thorough analysis of the co-combustion processes involving SS, lignin-based pellets and briquettes, and their mixtures with various component ratios. The aim of the work is to evaluate the fuel properties, thermokinetic characteristics, and potential for synergistic interactions during joint fuel combustion, considering the mechanical impact on lignin during granulation. The aim is to optimise conditions for the thermal utilisation of industrial waste. The study employed standard analytical methods: the thermophysical properties of the fuels were determined; morphological analysis of the particle surface was conducted using scanning electron microscopy; and X-ray fluorescence analysis was performed to identify the inorganic oxide phase. It has been established that lignin briquettes have the highest lower heating value, exceeding that of lignin pellets and sewage sludge by 7% and 27%, respectively. Thermogravimetric analysis (TGA) in an oxidising atmosphere (air, heating rate of 10 °C/min) made it possible to determine the following key combustion parameters: the ignition temperature of the coke residue (Ti); the temperature at which oxidation is complete (Tb); the maximum combustion rate (Rmax); and the combustion efficiency index (Q). The ignition temperature of the coke residue was 262.1 °C for SS, 291.8 °C for lignin pellets, and 290.0 °C for lignin briquettes. Analysis of co-combustion revealed non-linear behaviour in the thermograms, indicating synergistic effects, which are manifested by a decrease in the maximum combustion rate compared to the additive prediction, particularly in mixtures with a moderate lignin content (25–50%). It was established that the main synergistic interactions between the mixture components occurred during moisture evaporation and the combustion of coke residue. These results are valuable for designing and operating power plants that focus on co-combusting industrial organic waste, and they contribute to the development of thermal utilisation technologies within closed production cycles. Full article
(This article belongs to the Section I2: Energy and Combustion Science)
Show Figures

Figure 1

29 pages, 2059 KB  
Review
A Comprehensive Review on Sewage Sludge Biochar: Characterization Methods and Practical Applications
by Erofili-Vagia Gkogkou, Alkistis Kanteraki, Ekavi Aikaterini Isari, Eleni Grilla, Ioannis D. Manariotis, Ioannis Kalavrouziotis and Petros Kokkinos
Environments 2026, 13(1), 45; https://doi.org/10.3390/environments13010045 - 9 Jan 2026
Viewed by 471
Abstract
Sewage sludge (SS) management and wastewater (WW) treatment remain among the most critical environmental challenges. The pyrolysis of sewage sludge to produce biochar (BC) represents a sustainable and circular strategy for waste valorization and pollution mitigation. This scoping review provides a comprehensive overview [...] Read more.
Sewage sludge (SS) management and wastewater (WW) treatment remain among the most critical environmental challenges. The pyrolysis of sewage sludge to produce biochar (BC) represents a sustainable and circular strategy for waste valorization and pollution mitigation. This scoping review provides a comprehensive overview of BC derived from SS (BCxSS), with particular emphasis on how pyrolysis conditions affect key physicochemical characteristics such as yield, ash content, pH, surface area, and functional groups. Although substantial research has focused on the removal of heavy metals and organic pollutants using BCxSS, far less attention has been directed toward its potential for pathogen adsorption and inactivation, revealing a notable research gap. Recent studies highlight BCxSS as a versatile material with considerable promise in adsorption and catalysis. However, its application in pathogen removal remains insufficiently investigated, underscoring the need for further investigation into sorption mechanisms and biochar–microbe interactions. Full article
Show Figures

Figure 1

26 pages, 14589 KB  
Article
Micropore Structure Evolution and Macro-Micro Quantitative Analysis of Dredged Sludge Solidified with Ground Granulated Blast Furnace Slag, Carbide Slag, and Titanium Gypsum
by Yaohui Zang, Chenchen Zhang and Liujiang Wang
Buildings 2026, 16(2), 261; https://doi.org/10.3390/buildings16020261 - 7 Jan 2026
Viewed by 146
Abstract
Revealing the evolution of micropore structure in industrial by-product solidified sludge is essential for elucidating strength development mechanisms and promoting the engineering utilization of industrial wastes. In this study, a series of tests, including unconfined compressive strength (UCS), low-field nuclear magnetic resonance, direct [...] Read more.
Revealing the evolution of micropore structure in industrial by-product solidified sludge is essential for elucidating strength development mechanisms and promoting the engineering utilization of industrial wastes. In this study, a series of tests, including unconfined compressive strength (UCS), low-field nuclear magnetic resonance, direct shear, and scanning electron microscopy coupled with energy-dispersive spectroscopy, were conducted on granulated blast furnace slag–carbide slag–titanium gypsum (GCT)-solidified sludge (GSDS) and cement-solidified sludge (CSDS). The results demonstrate that GSDS exhibits significantly superior compressive strength, deformation resistance, and pore-filling capacity compared with CSDS. With increasing curing age, both materials show logarithmic increases in UCS and mesopore volume fraction, accompanied by power-law decreases in total pore volume and the most probable pore size. On this basis, quantitative relationships between micropore characteristics and macroscopic mechanical properties are established for both solidified sludges. Microscopic analyses reveal that strength development in GSDS is primarily attributed to the formation of abundant C-(A)-S-H gels and expansive ettringite crystals, which effectively cement soil particles and refine interparticle pores. The synergistic solidification mechanism of GCT, involving ion exchange, cementitious bonding, and pore filling, promotes particle aggregation, enhances interparticle bonding, and refines pore structure, thereby markedly improving structural integrity and macroscopic strength in GSDS. Full article
(This article belongs to the Section Building Materials, and Repair & Renovation)
Show Figures

Figure 1

20 pages, 2204 KB  
Article
Co-Pyrolysis of Sewage Sludge and Zeolitic Basalt: Physicochemical Characterization, Stability and Carbon Sequestration Potential
by Maíra Lopes D`Ávila, José Ferreira Lustosa Filho, Éder de Souza Martins, Giuliano Marchi, Giovanna Trindade, Camila Rodrigues Costa, Marcela Granato Barbosa dos Santos, Delvio Sandri and Cícero Célio de Figueiredo
Sustainability 2026, 18(1), 258; https://doi.org/10.3390/su18010258 - 26 Dec 2025
Viewed by 282
Abstract
Mining and sewage treatment wastes have been accumulating at growing rates in urban areas. Recycling these wastes can be used to generate safe products for various agro-environmental uses, including the synthesis of fertilizers with the potential to sequester carbon (C) in the soil. [...] Read more.
Mining and sewage treatment wastes have been accumulating at growing rates in urban areas. Recycling these wastes can be used to generate safe products for various agro-environmental uses, including the synthesis of fertilizers with the potential to sequester carbon (C) in the soil. Therefore, this study evaluated the physicochemical characteristics and C sequestration potential of biochar obtained by co-pyrolysis (500 °C) of sewage sludge (SS) individually or combined at a 1:1 (w:w) ratio with zeolitic basalt (ZB), referred to as SS + ZBBC. Subsequently, the raw materials and biochars were characterized by X-ray diffraction analysis, proximate analysis, elemental analysis, and FTIR spectroscopy, as well as pH and electrical conductivity (EC) determination. The results show that pyrolysis optimized material properties, especially SS biochar (SSB), which exhibited high stability with the highest fixed C content (13.6%) and thermostable fraction (TSF) of 43%. On the other hand, ZB had a higher pH and a lower EC than SS. Co-pyrolysis promoted complementary effects on the chemical and C stability properties of the SS + ZBBC combination. The combination raised the pH to a value close to neutrality (6.5), indicating potential corrective action for acidic soils. Furthermore, after co-pyrolysis, the TSF remained high (25.2%) and was classified as a high-longevity material (>1000 years), indicating high aromaticity and C condensation. Therefore, the co-pyrolysis of SS and ZB optimized the individual characteristics of the materials, thereby providing a promising and sustainable alternative for agro-environmental use that addresses the need to reduce C emissions and promote waste recycling. Full article
(This article belongs to the Special Issue Solid Waste Management and Sustainable Environmental Remediation)
Show Figures

Figure 1

11 pages, 1241 KB  
Article
Substrate Composition Shapes Methanogenesis, Microbial Ecology, and Digestate Dewaterability in Microbial Electrolysis Cell-Assisted Anaerobic Digestion of Food Waste
by Jiaojiao Yang, Baihui Cui, Xiaodong Xin, Yves Iradukunda and Wangwang Yan
Methane 2026, 5(1), 2; https://doi.org/10.3390/methane5010002 - 25 Dec 2025
Viewed by 289
Abstract
The compositional heterogeneity of food waste greatly influences its bioconversion in microbial electrolysis cell (MEC)-assisted anaerobic digestion (AD), but the underlying mechanism remains unclear. Therefore, this study assessed two typical food wastes, i.e., starch-rich rice and cellulose-rich vegetables, on methane production, microbial constituents, [...] Read more.
The compositional heterogeneity of food waste greatly influences its bioconversion in microbial electrolysis cell (MEC)-assisted anaerobic digestion (AD), but the underlying mechanism remains unclear. Therefore, this study assessed two typical food wastes, i.e., starch-rich rice and cellulose-rich vegetables, on methane production, microbial constituents, and digestate dewaterability in single-chamber MECs. The results demonstrated that, while the rice-fed MEC (258.56 mL/g VS) achieved a higher methane yield compared to the vegetable-fed MEC (161.79 mL/g VS), the latter achieved higher methane purity. Temporal profiles of volatile fatty acids (VFAs) revealed rapid acidification and consumption in rice-fed systems, whereas vegetable-fed MEC exhibited delayed degradation. Additionally, the substrate type greatly influenced digestate dewaterability, since digestate from the vegetable-fed MEC exhibited lower specific resistance to filtration (3.25 × 1012 m/kg vs. 12.46 × 1012 m/kg) and capillary suction time (8.16 s·L/g vs. 19.14 s·L/g) compared to that from the rice-fed MEC. This improvement was likely attributed to high polysaccharides in extracellular polymeric substances (EPS) and cellulose’s structural properties, which promoted the formation of a porous, less compressible sludge cake that facilitated sludge dewaterability. Microbial community analysis revealed a substrate-driven specialization, as the rice-fed MECs enriched exoelectrogens (e.g., Geobacter, Trichococcus) and hydrogenotrophic methanogens (i.e., Methanobacterium), while the vegetables enriched Bacteroides and Methanosarcina. Collectively, these results suggest substrate composition profoundly influences methane yield, metabolic pathways, microbial ecology, and digestate properties in MEC-assisted AD. This work provides key insights into the role of feedstock characteristics in shaping MEC-assisted AD systems. Full article
(This article belongs to the Special Issue Innovations in Methane Production from Anaerobic Digestion)
Show Figures

Figure 1

20 pages, 2342 KB  
Article
Reactivation and Nitrogen Removal Performance of Idle Anammox Sludge Enhanced by Rape Straw Biochar
by Qiang Chen, Yi Ding, Zhicheng Xu, Haibin Zhou, Ruoyu Zhang, Jiao Chen, Yixin Lu and Wenlai Xu
Water 2026, 18(1), 18; https://doi.org/10.3390/w18010018 - 20 Dec 2025
Viewed by 469
Abstract
Low reactivation efficiency of idle anaerobic ammonia oxidation (anammox) sludge hinders its reapplication. To address this issue, rape straw biochar (RSB) was added in the reactivation process of idle anammox sludge, and its effects on the nitrogen transformation and sludge characteristics were investigated, [...] Read more.
Low reactivation efficiency of idle anaerobic ammonia oxidation (anammox) sludge hinders its reapplication. To address this issue, rape straw biochar (RSB) was added in the reactivation process of idle anammox sludge, and its effects on the nitrogen transformation and sludge characteristics were investigated, and the mechanism of RSB to enhance the reactivation performance was explored. Results indicated that adding 5 g/L RSB for 35 days successfully reactivated anammox sludge that had been idle for 270 days. The reactivation time was reduced by 34% compared to the control without RSB. During the stable operation period, the average TN removal efficiency reached 90.6%, and the sludge exhibited higher activity. After completion of reactivation, the specific surface area, total pore volume, and average pore diameter of RSB decreased by 59.4%, 66.9%, and 55.2%, respectively, compared with that before reactivation, and the carbon–oxygen functional groups also changed. RSB not only provided a habitat for the enriched growth of nitrogen transforming functional flora but also possessed the potential to supply sufficient electron donors and acceptors for the nitrogen transforming process, which promoted the synergistic removal of nitrate by denitrification, resulting in an effective enhancement of reactivation efficiency and nitrogen removal performance. The addition of RSB provides a novel strategy to enhance the reactivation efficiency of idle anammox sludge, which is of positive significance in promoting its efficient reuse and stable operation. Full article
Show Figures

Figure 1

24 pages, 3003 KB  
Article
Preparation of Biochar from Papermaking Sludge and Its Adsorption Characteristics for Tetracycline
by Jiayu Niu, Siyuan Fan and Zhenjun Wu
Toxics 2025, 13(12), 1050; https://doi.org/10.3390/toxics13121050 - 4 Dec 2025
Viewed by 445
Abstract
Papermaking sludge, rich in intrinsic resource value, is effectively barred from direct deployment in environmental remediation, agriculture, or energy generation by its pronounced contaminant burden. Pyrolytic conversion into high-value paper sludge biochar, such as papermaking sludge biochar (PSBC) provides a green, efficient portal [...] Read more.
Papermaking sludge, rich in intrinsic resource value, is effectively barred from direct deployment in environmental remediation, agriculture, or energy generation by its pronounced contaminant burden. Pyrolytic conversion into high-value paper sludge biochar, such as papermaking sludge biochar (PSBC) provides a green, efficient portal for closing its resource loop. In this study, papermaking sludge was converted into a series of paper sludge biochars (PSBCs) via oxygen-limited pyrolysis at 500–900 °C. The porous architecture, surface physicochemical properties, and crystalline structure of the biochars were comprehensively characterized, and their performance for aqueous tetracycline (TC) removal was systematically quantified. Pyrolysis at 900 °C afforded PSBC 900 with the lowest yield (36.05%) yet the highest Brunauer–Emmett–Teller (BET) surface area (79.53 m2/g), an extensively developed mesopore network, and the greatest degree of graphitization. Across an initial tetracycline (TC) concentration window of 20–160 mg/L, PSBC 900 delivered an equilibrium capacity (qe) of 72.22 mg/g, outperforming PSBC 700 and PSBC 500 by factors of 1.3 and 1.8, respectively. Optimal uptake was achieved at a dosage of 1.0 g/L, pH 7, and 120 min contact time. Among the background cations examined, Mg2+ exerted a pronounced inhibitory effect, whereas Na+, K+, and Ca2+ exerted negligible interference. The adsorption process was accurately described by the pseudo-second-order kinetic model and the Langmuir isotherm (R2 > 0.999), yielding a theoretical maximum capacity (qm) of 76.39 mg/g for PSBC 900 at 313 K. Thermodynamic parameters (Gθ < 0, Hθ > 0, Sθ > 0) confirm a spontaneous, endothermic, and entropy-driven process. After five consecutive adsorption–desorption cycles, PSBC 900 retained >64.68% of its original efficiency, demonstrating excellent regenerability. Paper sludge biochar enables a “waste-to-treat-waste” strategy for the efficient abatement of tetracycline, offering an economically viable and high-performance technology that advances the remediation of tetracycline-laden wastewaters. Full article
(This article belongs to the Special Issue Technology and Principle of Removing Pollutants in Water)
Show Figures

Figure 1

19 pages, 2013 KB  
Article
Utilization of Stone Quarry Sludge in the Development of Environmentally Friendly High-Strength Concrete
by Hadi Bahmani, Hasan Mostafaei and Muhammad Ali Rostampour
J. Compos. Sci. 2025, 9(12), 648; https://doi.org/10.3390/jcs9120648 - 1 Dec 2025
Viewed by 438
Abstract
This study explores a sustainable strategy for enhancing high-strength concrete (HSC) by partially replacing natural fine aggregates with stone quarry sludge (SQS), a byproduct of quarrying operations. The aim is to promote environmental conservation and waste valorization while maintaining or improving concrete performance. [...] Read more.
This study explores a sustainable strategy for enhancing high-strength concrete (HSC) by partially replacing natural fine aggregates with stone quarry sludge (SQS), a byproduct of quarrying operations. The aim is to promote environmental conservation and waste valorization while maintaining or improving concrete performance. Concrete mixes were prepared by substituting fine sand with SQS at incremental levels of 10%, 20%, 30%, 40%, and 50%. Mechanical properties were assessed through specific weight measurements, compressive strength tests, and three-point bending evaluations. FTIR analysis was conducted to investigate microstructural changes, and a carbon footprint assessment was performed to quantify environmental benefits. The mix containing 20% SQS exhibited optimal performance, achieving a compressive strength of 61 MPa and a bending strength of 5.1 MPa. FTIR results confirmed enhanced C–S–H gel formation, indicating improved microstructural integrity. Carbon footprint analysis revealed that moderate SQS substitution significantly reduces embodied carbon. These findings support the use of quarry sludge as a viable component in eco-friendly HSC, with potential for further optimization and long-term durability studies. Full article
(This article belongs to the Section Composites Applications)
Show Figures

Figure 1

11 pages, 716 KB  
Article
Prognostic Value of Post-Cerclage Transvaginal Ultrasound Parameters in Predicting Spontaneous Preterm Birth
by Gul Alkan Bulbul, Emine Kirtis, Hulya Kandemir, Busra Tsakir, Cem Yasar Sanhal and Ibrahim Inanc Mendilcioglu
Medicina 2025, 61(12), 2111; https://doi.org/10.3390/medicina61122111 - 27 Nov 2025
Viewed by 386
Abstract
Background and Objectives: Preterm birth (PTB) remains a leading cause of neonatal morbidity and mortality worldwide, particularly among women with cervical insufficiency. This study aimed to identify whether transvaginal sonographic parameters assessed following McDonald cerclage could act as predictors for the risk of [...] Read more.
Background and Objectives: Preterm birth (PTB) remains a leading cause of neonatal morbidity and mortality worldwide, particularly among women with cervical insufficiency. This study aimed to identify whether transvaginal sonographic parameters assessed following McDonald cerclage could act as predictors for the risk of spontaneous PTB < 34 weeks. Materials and Methods: A cohort of singleton pregnancies without structural abnormalities that underwent McDonald cerclage and had at least one transvaginal ultrasound (TVUS) examination between 16–25 weeks’ gestation was retrospectively analyzed. Two blinded reviewers evaluated the images. Measurements included total cervical length, cervical lengths above and below the stitch, anterior and posterior cervical widths at the suture level, as well as anterior and posterior stitch depths. Additionally, the angle between the cervical canal and the anterior uterine wall was assessed at both the internal and external os. Presence of funneling and intra-amniotic sludge was also noted. Maternal demographic and obstetric data were collected, and ultrasound findings were compared between women who delivered before and after 34 weeks. Results: A total of 45 women were enrolled, with cerclage indications categorized as history-based (76%), ultrasound-based (9%) or exam-based (15%). Overall, PTB < 34 weeks occurred in 38% (n = 17). Maternal characteristics did not vary between groups. However, both total cervical length and cervical length above the stitch were significantly shorter in women with PTB < 34 weeks vs. PTB ≥ 34 (27.60 ± 8.81 mm vs. 35.89 ± 7.09 mm, p = 0.012; and 13.15 ± 9.17 mm vs. 21.87 ± 8.95 mm, p = 0.004, respectively). Funneling beyond the cerclage was observed exclusively in women who delivered < 34 weeks (29.4%, p = 0.005). Funneling at the internal os (58.8% vs. 3.6%, p < 0.001) and intra-amniotic sludge (29.4% vs. 3.6%, p = 0.023) were likewise more frequent in this group. Conclusions: In addition to cervical length measurement, post-cerclage transvaginal ultrasound—through the evaluation of suture position, cervical funneling, and intra-amniotic sludge—may assist in identifying women at higher risk of PTB < 34 weeks. Full article
(This article belongs to the Section Obstetrics and Gynecology)
Show Figures

Figure 1

23 pages, 3259 KB  
Article
Strength and Strain Properties of Coal Sludge
by Justyna Adamczyk
Appl. Sci. 2025, 15(23), 12360; https://doi.org/10.3390/app152312360 - 21 Nov 2025
Viewed by 328
Abstract
Coal sludge, a fine-grained by-product of hard coal benefit, comprises a mixture of coal particles and mineral and organic matter. Generated during sedimentation and dewatering processes in preparation plants, it is typically recovered as a semi-solid filter cake. The material has potential applications [...] Read more.
Coal sludge, a fine-grained by-product of hard coal benefit, comprises a mixture of coal particles and mineral and organic matter. Generated during sedimentation and dewatering processes in preparation plants, it is typically recovered as a semi-solid filter cake. The material has potential applications in energy production and, with appropriate processing and stabilization, could be utilized in geotechnical facilities. The strength properties defined by the internal friction angle and cohesion, as well as the deformation properties expressed by compressibility, are among the most important mechanical characteristics of soil. This article presents tests of coal sludge, for which the internal friction angle, cohesion, and oedometric primary and secondary moduli were determined. The material was prepared at its optimum moisture content and maximum dry density prior to testing. In the direct shear test, using a shear box of 6 × 6 cm, each sample was consolidated for 24 h under the applied vertical stress, under which it was subsequently sheared. The shear rate was constant at 0.01 mm/min, and the test was conducted up to 10% horizontal deformation. The vertical stresses applied ranged from 50 to 200 kPa. In the oedometer test, samples were prepared to fit the dimensions of the oedometer ring, and each subsequent load stage was applied after 24 h. The range of vertical stresses in this test was from 12.5 to 400 kPa. The results of the direct shear test (φ = 24°, c = 28 kPa) are similar to the strength parameters typically obtained for medium-cohesive soils, such as sandy silt (φ = 22°, c = 25 kPa. The results of the compressibility tests (0.89 MPa < M0 < 6.35 MPa) correspond to values characteristic of organic soils, for example, organic silts (0.5 MPa < M0 < 5 MPa). Moreover, analysis of the consolidation curves showed that up to a vertical stress of 100 kPa, coal sludge does not exhibit rheological behavior. The obtained results indicate that coal sludge, when compacted up to its optimum moisture content and to an adequate dry density, can be effectively utilized for geotechnical applications, such as the construction of isolation barriers, as a component of geotechnical mixtures, or as a sealing material for the reclamation of post-mining areas. Full article
Show Figures

Figure 1

17 pages, 2215 KB  
Article
Hydrothermal Treatment of Sewage Sludge Under Different Process Conditions with a Focus on Energy Properties and Resource Recovery
by Klaudia Szkadłubowicz, Joanna Mikusińska, Artur Pozarlik and Małgorzata Wilk
Energies 2025, 18(22), 6071; https://doi.org/10.3390/en18226071 - 20 Nov 2025
Viewed by 635
Abstract
Hydrothermal carbonization (HTC) is an effective method for processing wet sewage sludge without prior drying. This study investigates the influence of temperature (200 °C and 210 °C), residence time (15 and 30 min), and pH (neutral and acidic, pH = 2) on the [...] Read more.
Hydrothermal carbonization (HTC) is an effective method for processing wet sewage sludge without prior drying. This study investigates the influence of temperature (200 °C and 210 °C), residence time (15 and 30 min), and pH (neutral and acidic, pH = 2) on the properties of hydrochar and the liquid fraction. Increasing process severity enhanced carbonization, increasing carbon content from 36% in raw sludge to 43% in acidified samples. Under neutral HTC conditions, ash content exceeded 40%, while acidic conditions reduced it to 28%, indicating mineral dissolution and transfer into the liquid phase. Hydrogen and nitrogen contents remained within 3–6%, contributing to the fuel characteristics. The solid yield decreased from 1.04% in raw sludge to 0.22–0.37% after HTC, confirming intensified organic matter conversion. Acidic conditions significantly improved nutrient release to the liquid phase. PO43− concentration increased from 337 to 375 mg/L under neutral conditions to over 675 mg/L, while P2O5 exceeded 509 mg/L. Conductivity rose from approximately 2.0 to 4.25 mS/cm, reflecting high ionic content. These results highlight the potential of the liquid fraction as a nutrient-rich stream that can be used for fertilizer recovery, particularly via struvite precipitation, and confirm that precise HTC parameter control supports resource recovery in line with circular economy principles. Full article
(This article belongs to the Special Issue Biomass, Biofuels and Waste: 3rd Edition)
Show Figures

Figure 1

15 pages, 3327 KB  
Article
Investigation of the Carbonation Behavior of Cement Mortar Containing Interior Stone Sludge and Recycled Mask Fibers
by Junhyeok Choi, Seongjin Cho, Dongkyu Lee, Gwang Mok Kim, Beomjoo Yang and Daeik Jang
Materials 2025, 18(22), 5218; https://doi.org/10.3390/ma18225218 - 18 Nov 2025
Viewed by 427
Abstract
This study examines the carbonation and mechanical behavior of cement mortar incorporating artificial interior stone (AIS) sludge and recycled mask fibers (RMFs). Sludge, derived from AIS waste, replaced 30 wt.% of fine aggregate, while RMF from polypropylene masks was added at 0–1 wt.% [...] Read more.
This study examines the carbonation and mechanical behavior of cement mortar incorporating artificial interior stone (AIS) sludge and recycled mask fibers (RMFs). Sludge, derived from AIS waste, replaced 30 wt.% of fine aggregate, while RMF from polypropylene masks was added at 0–1 wt.% of cement. Specimens were cured under normal and carbonation conditions (10% CO2, 25 °C, 60% RH) for 7 and 28 days. Carbonation curing improved compressive and flexural strengths by up to 28% and 88%, respectively, and enhanced microstructural densification. Although the incorporation of AIS sludge reduced compressive strength due to its inert and irregular particle characteristics, it effectively refined the pore structure and decreased overall porosity. The inclusion of RMF at moderate contents (0.25–0.5 wt.%) improved crack resistance and lowered thermal conductivity, demonstrating a favorable balance between strength and thermal performance. TGA/DTG results confirmed increased CaCO3 formation and greater CO2 uptake. After exposure to 500 °C, carbonation-cured mortars retained higher residual strength, indicating superior thermal stability. Full article
(This article belongs to the Special Issue Advanced Concrete Formulations: Nanotechnology and Hybrid Materials)
Show Figures

Figure 1

16 pages, 3450 KB  
Article
Evolution Mechanisms of Gas-Solid Products in Multi-Source Sludge Pyrolysis: Synergistic Regulation by Temperature and Time Parameters
by Xiaoya Li, Shuya Wu, Xu Xing, Tao Zhou and Youcai Zhao
Sustainability 2025, 17(22), 10270; https://doi.org/10.3390/su172210270 - 17 Nov 2025
Viewed by 400
Abstract
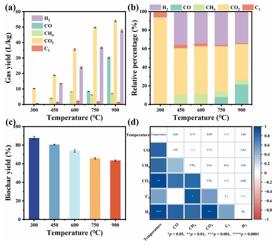
Pyrolysis, as an efficient thermochemical conversion technology, demonstrates substantial advantages in achieving reduction and resource recovery of landfill sludge (LS). This work systematically examined the effects of pyrolysis temperature, residence time, and sludge type on the yield and compositional transformation of pyrolysis gases, [...] Read more.
Pyrolysis, as an efficient thermochemical conversion technology, demonstrates substantial advantages in achieving reduction and resource recovery of landfill sludge (LS). This work systematically examined the effects of pyrolysis temperature, residence time, and sludge type on the yield and compositional transformation of pyrolysis gases, as well as the yield and structural characteristics of the derived biochar, using LS and four other types of sludge as subjects. The research results indicate that as the pyrolysis temperature increased from 300 to 900 °C, the total gas yield of the LS sample rose markedly from 11.0 to 139.8 L/kg. The biochar obtained at 600 °C possessed the highest specific surface area (26.327 m2/g), with pore sizes primarily concentrated in the range of 10–20 nm. Extending the residence time facilitated the continuous release of gaseous products but exerted minimal influence on the yield of the solid-phase products. The pyrolysis responses varied considerably among different sludge types. Municipal sludge (MS) exhibited the highest gas production yield (197.5 L/kg), whereas LS demonstrated a greater carbon retention rate (73.7%). This work, based on a systematic analysis of product conversion behaviors, elucidated the correlation mechanism between parameter regulation and product performance during the pyrolysis process, thereby offering theoretical foundations and data support for optimizing LS pyrolysis conditions and enhancing product utilization efficiency. Full article
Show Figures

Figure 1

18 pages, 2290 KB  
Article
Effect of Microwave Treatment on Physicochemical Properties and Subsequent Anaerobic Digestion of Fecal Sludge
by Principal Mdolo, Jon Pocock and Konstantina Velkushanova
Water 2025, 17(22), 3230; https://doi.org/10.3390/w17223230 - 12 Nov 2025
Viewed by 628
Abstract
Fecal sludge (FS) requires effective management to mitigate environmental and public health risks and enable resource recovery. This study evaluated the effects of microwave (MW) treatment on FS characteristics and subsequent anaerobic digestion (AD) performance. MW treatment raised FS temperatures to ~96 °C, [...] Read more.
Fecal sludge (FS) requires effective management to mitigate environmental and public health risks and enable resource recovery. This study evaluated the effects of microwave (MW) treatment on FS characteristics and subsequent anaerobic digestion (AD) performance. MW treatment raised FS temperatures to ~96 °C, reducing FS volume by 50% and inducing three thermal phases. Soluble chemical oxygen demand (sCOD) showed a multi-phase pattern, with a maximum solubilization of 29.8% during initial heating due to the solubilization of proteins and carbohydrates. Scanning electron microscopy (SEM) revealed morphological changes, while Fourier transform infrared (FTIR) spectroscopy confirmed that core functional groups remained unchanged. MW-pretreated FS enhanced AD performance, achieving a 17% increase in cumulative methane yield, alongside 18% and 33% improvements in organic loading and methane production rates, respectively. MW treatment influenced the phase distribution of digestate components, showing a shift in nutrient portioning towards the liquid fraction. These results suggest that integrating MW pretreatment into FS management systems can improve energy recovery, reduce treatment costs, and support resource-efficient sanitation solutions. Full article
(This article belongs to the Section Wastewater Treatment and Reuse)
Show Figures

Figure 1

Back to TopTop