Sign in to use this feature.

Years

Between: -

Subjects

remove_circle_outline
remove_circle_outline
remove_circle_outline
remove_circle_outline
remove_circle_outline
remove_circle_outline
remove_circle_outline
remove_circle_outline
remove_circle_outline

Journals

remove_circle_outline
remove_circle_outline
remove_circle_outline
remove_circle_outline
remove_circle_outline
remove_circle_outline
remove_circle_outline
remove_circle_outline

Article Types

Countries / Regions

remove_circle_outline
remove_circle_outline
remove_circle_outline
remove_circle_outline
remove_circle_outline

Search Results (464)

Search Parameters:
Keywords = slender structure

Order results
Result details
Results per page
Select all
Export citation of selected articles as:
37 pages, 2370 KB  
Review
Fire Resistance of Steel-Reinforced Concrete Columns: A Review of Ordinary Concrete to Ultra-High Performance Concrete
by Chang Liu, Xiaochen Wu and Jinsheng Du
Buildings 2026, 16(1), 24; https://doi.org/10.3390/buildings16010024 (registering DOI) - 20 Dec 2025
Abstract
This review surveys the recent literature on the fire resistance of reinforced concrete (RC) columns based on a bibliometric analysis of publications to reveal research trends and focus areas. The collected studies are synthesized from the perspectives of materials, structural behaviors, parameter influences, [...] Read more.
This review surveys the recent literature on the fire resistance of reinforced concrete (RC) columns based on a bibliometric analysis of publications to reveal research trends and focus areas. The collected studies are synthesized from the perspectives of materials, structural behaviors, parameter influences, and predictive modeling. From the material aspect, the review summarizes the degradation mechanisms of conventional concrete at elevated temperatures and highlights the improved performance of ultra-high-performance concrete (UHPC) and reactive powder concrete (RPC), where dense microstructures and fiber bridging effectively suppress spalling and help maintain residual capacity. In terms of structural behavior, experimental and numerical studies on RC columns under fire are reviewed to clarify the deformation, failure modes, and effects of axial load ratio, slenderness, cover thickness, reinforcement ratio, boundary restraint, and load eccentricity on fire endurance. Parametric analyses addressing the influence of these factors, as well as the heating–cooling history, on overall stability and post-fire performance is discussed. Recent advances in thermomechanical finite element analysis and the integration of data-driven approaches such as machine learning have been summarized for evaluating and predicting fire performance. Future directions are outlined, emphasizing the need for standardized parameters for fiber-reinforced systems, a combination of multi-scale numerical and machine-learning models, and further exploration of multi-hazard coupling, durability, and digital-twin-based monitoring to support next-generation performance-based fire design. Full article
31 pages, 4351 KB  
Article
New Taxonomic Insights into Paradraconema (Nematoda: Draconematidae) from Korea: Valid Establishment of P. tamraense sp. nov. from Jeju Island and Description of P. gangchii sp. nov. from Dokdo Island
by Seungyeop Han and Hyun Soo Rho
J. Mar. Sci. Eng. 2026, 14(1), 7; https://doi.org/10.3390/jmse14010007 - 19 Dec 2025
Abstract
We describe two new species of Paradraconema from subtidal sediments of Korean waters: P. tamraense sp. nov. from Jeju Island and P. gangchii sp. nov. from Dokdo Island. Although the epithet tamraense had appeared previously in the literature, it was treated as a [...] Read more.
We describe two new species of Paradraconema from subtidal sediments of Korean waters: P. tamraense sp. nov. from Jeju Island and P. gangchii sp. nov. from Dokdo Island. Although the epithet tamraense had appeared previously in the literature, it was treated as a nomen nudum and therefore lacked nomenclatural availability under the ICZN. In this study, the species is newly and validly established based on a critical reassessment of the original material, supported by new line drawings and detailed observations using differential interference contrast (DIC) and scanning electron microscopy (SEM). Paradraconema amraense sp. nov. is characterized by a slender body; pharyngeal annules bearing weakly developed longitudinal bars with smooth margins; a narrow lateral field at midbody; abundant and relatively long somatic setae; a head capsule partially covered with vacuolated ornamentation; an amphidial fovea that is elongate loop-shaped in males and circular, unispiral in females; eleven cephalic adhesion tubes (CAT); and comparatively long sublateral adhesion tubes (SlAT) and subventral adhesion tubes (SvAT). Paradraconema gangchii sp. nov. is characterized by a slender body; cuticle ornamentation with numerous longitudinal bars bearing finely crenulated margins in the pharyngeal region; sparse and short somatic setae; a head capsule fully covered with vacuolar ornamentation (reticulate under SEM); an amphidial fovea that is elongate loop-shaped in males and circular, unispiral, slightly over one coil in females; relatively short spicules (36–46 µm); eleven CAT; and relatively short SlAT and SvAT. SEM revealed several fine morphological features not previously documented in the genus, including the precise number and arrangement of CAT and detailed structures of the cuticle ornamentation and lip region. This study provides comprehensive SEM-based documentation for Paradraconema, increases the number of valid species in the genus to thirteen, and enhances our understanding of draconematid diversity in the northwestern Pacific. Full article
(This article belongs to the Special Issue Species Diversity and Taxonomy of Marine Nematodes)
20 pages, 1974 KB  
Article
Structural Performance of Textile-Reinforced Concrete Sandwich Panels Utilizing GFRP Shear Connectors
by Lukas Steffen, Ismael Viejo, Belén Hernández-Gascón, Mario Stelzmann, Klaus Holschemacher and Robert Böhm
Constr. Mater. 2025, 5(4), 92; https://doi.org/10.3390/constrmater5040092 - 18 Dec 2025
Abstract
Textile-reinforced concrete (TRC) sandwich panels with lightweight cores are a promising solution for sustainable and slender building envelopes. However, their structural performance depends strongly on the shear connection between the outer shells. This study investigates the flexural behavior of TRC sandwich panels with [...] Read more.
Textile-reinforced concrete (TRC) sandwich panels with lightweight cores are a promising solution for sustainable and slender building envelopes. However, their structural performance depends strongly on the shear connection between the outer shells. This study investigates the flexural behavior of TRC sandwich panels with glass fiber-reinforced polymer (GFRP) rod connectors under four-point bending. Three full-scale specimens were manufactured with high-performance concrete (HPC) face layers, an expanded polystyrene (EPS) core, and 12 mm GFRP rods as shear connectors. The panels were tested up to failure, with measurements of load–deflection behavior, crack development, and interlayer slip. Additionally, a linear-elastic finite element model was developed to complement the experimental campaign, capturing the global stiffness of the system and providing complementary insight into the internal stress distribution. The experimental results revealed stable load-bearing behavior with ductile post-cracking response. A degree of composite interaction of γ = 0.33 was obtained, indicating partially composite action. Slip measurements confirmed effective shear transfer by the GFRP connectors, while no brittle failure or connector rupture was observed. The numerical analysis confirmed the elastic response observed in the tests and highlighted the key role of the GFRP connectors in coupling the TRC shells, extending the interpretation beyond experimental results. Overall, the study demonstrates the potential of TRC sandwich panels with mechanical connectors as a safe and reliable structural solution. Full article
19 pages, 7019 KB  
Article
Multiparametric Cost–CO2 Optimization of Bored Reinforced-Concrete Piles Under Combined Loading in Cohesive Soils
by Primož Jelušič
Buildings 2025, 15(24), 4519; https://doi.org/10.3390/buildings15244519 - 14 Dec 2025
Viewed by 139
Abstract
Laterally loaded slender piles present a classic soil–structure interaction problem where pile displacements and flexural demands are governed by the mobilized lateral resistance of the surrounding soil and the axial-bending capacity of the reinforced concrete section. In response to increasing pressure to reduce [...] Read more.
Laterally loaded slender piles present a classic soil–structure interaction problem where pile displacements and flexural demands are governed by the mobilized lateral resistance of the surrounding soil and the axial-bending capacity of the reinforced concrete section. In response to increasing pressure to reduce embodied emissions, this study develops LAVERCO, an optimization framework for cost- and CO2-efficient design of bored reinforced-concrete piles in cohesive soils subjected to combined lateral and axial actions. The framework integrates Eurocode-based geotechnical checks with full NM section verification of the RC pile and applies a genetic algorithm over a multi-parametric grid of lateral load, vertical load, and undrained shear strength, using economic cost and embodied CO2 as alternative single objectives. Rank-based (Spearman) sensitivity analysis quantifies how actions, soil strength, and design variables influence the optimal solutions. The results reveal two consistent geometry regimes: CO2-optimal piles are systematically longer and slimmer, while COST-optimal piles are shorter and thicker. In both cases, the objective is dominated by pile length and is reduced by higher undrained shear strength; vertical load has a moderate direct effect, while horizontal load contributes mainly through deflection and bending checks. Feasibility improves significantly in stronger clays, and CO2-optimal geometries generally incur higher costs, clarifying the trade-off between economic and environmental performance. The framework provides explicit geometry-level guidance for selecting bored pile designs that balance cost and embodied CO2 across a wide range of soil and loading conditions and can be directly applied in both preliminary and detailed designs. Full article
(This article belongs to the Section Building Structures)
Show Figures

Figure 1

28 pages, 11121 KB  
Article
Behavior of Nonconforming Flexure-Controlled RC Structural Walls Under Reversed Cyclic Lateral Loading
by Yusuf Şahinkaya, Ergün Binbir, Kutay Orakçal and Alper İlki
Buildings 2025, 15(24), 4501; https://doi.org/10.3390/buildings15244501 - 12 Dec 2025
Viewed by 430
Abstract
Reinforced concrete (RC) structural walls are essential for ensuring adequate lateral stiffness and strength in buildings located in seismic regions. However, many older structures incorporate nonconforming walls constructed with low-strength concrete, plain longitudinal reinforcement, and insufficient boundary confinement, and experimental data on such [...] Read more.
Reinforced concrete (RC) structural walls are essential for ensuring adequate lateral stiffness and strength in buildings located in seismic regions. However, many older structures incorporate nonconforming walls constructed with low-strength concrete, plain longitudinal reinforcement, and insufficient boundary confinement, and experimental data on such systems remain limited. This study investigates the seismic performance of two full-scale, relatively slender nonconforming RC wall specimens representative of older construction: one with no boundary confinement (SW-NC-FF) and one with insufficient confinement (SW-IC-FF). Both specimens exhibited flexure-controlled behavior, with initial yielding of boundary longitudinal bars occurring at an approximately 0.30% drift ratio and maximum reinforcement tensile strains of 0.006 (SW-IC-FF) and 0.015 (SW-NC-FF). Rocking governed the lateral response due to progressive debonding of the plain bars along the wall height, producing pronounced pinching and self-centering behavior. Failure occurred through longitudinal bar buckling and concrete crushing, with ultimate drift ratios of 2.0% and 1.5% and displacement ductility values of 4.0 and 4.3 for SW-IC-FF and SW-NC-FF, respectively. Experimental results were compared with backbone predictions from ASCE 41:2023, NZ C5:2025, and EN 1998-3:2025. While all three guidelines captured initial stiffness and yield rotations, their rotation-capacity predictions diverged, underscoring the need for improved assessment approaches for rocking-dominated, plain-reinforced walls. Full article
(This article belongs to the Section Building Structures)
Show Figures

Figure 1

13 pages, 2011 KB  
Article
Knockdown of Serine–Arginine Protein Kinase 3 Impairs Sperm Development in Spodoptera frugiperda
by Yilin Song, Yi Zhou, Ruoke Wang, Bing Zhang, Zhongwei Li, Xiangyu Liu and Dandan Li
Insects 2025, 16(12), 1256; https://doi.org/10.3390/insects16121256 - 11 Dec 2025
Viewed by 227
Abstract
Lepidopterans produce two distinct types of sperm: nucleated eupyrene sperm for fertilization and anucleate apyrene sperm for auxiliary functions. However, the mechanisms underlying sperm dimorphism in fall armyworm Spodoptera frugiperda remain poorly understood. Serine–Arginine Protein Kinases (SRPKs) are a class of kinases that [...] Read more.
Lepidopterans produce two distinct types of sperm: nucleated eupyrene sperm for fertilization and anucleate apyrene sperm for auxiliary functions. However, the mechanisms underlying sperm dimorphism in fall armyworm Spodoptera frugiperda remain poorly understood. Serine–Arginine Protein Kinases (SRPKs) are a class of kinases that catalyze the phosphorylation of SR proteins, but recent studies have shown that SRPK is critical for chromatin remodeling of sperm in mammals. Whether SRPK is involved in lepidopteran spermatogenesis is completely unknown. Here, we describe the entire process of elongation and maturation of both eupyrene and apyrene sperm bundles in S. frugiperda. The eupyrene sperm bundles elongated from the 3-day-old 6th-instar larvae, transiently forming a bowling-pin shape prior to cytoplasmic extrusion and finally maturing into structures with a fan-shaped head and slender tail after eclosion. In contrast, apyrene sperm bundles originated at 2-day-old pupae, where they underwent immediate nuclear extrusion and elongated into bundles that later coiled into a mature, spindle-shaped spool conformation in male adults. Larval knockdown of Serine–Arginine Protein Kinase 3 (SRPK3) significantly reduced apyrene sperm ratio and induced precocious maturation of eupyrene sperm, accompanied by acrosomal malformations. Furthermore, we observed a marked downregulation of cytoskeletal genes—including α-tubulin and cofilin—in non-testicular tissues and β-actin in testicular tissues. In contrast, the expression of dynamin and Lasp was upregulated in the testis and non-testicular tissues, respectively. Our results indicate that SRPK3 regulates both apyrene sperm differentiation and eupyrene sperm maturation by modulating the expression of cytoskeletal components, which provides new clues for lepidopteran spermatogenesis. Full article
(This article belongs to the Section Insect Molecular Biology and Genomics)
Show Figures

Graphical abstract

15 pages, 2237 KB  
Article
First Full-Scale 2D Field Experiment on Semi-Embedded Rubber Column Metamaterials: Enhanced Attenuation of Love Waves and Mechanistic Insights
by Xinchao Zhang, Ning Zheng, Changyin Ji, Yulin Lu and Qingfan Shi
Materials 2025, 18(24), 5517; https://doi.org/10.3390/ma18245517 - 8 Dec 2025
Viewed by 180
Abstract
Despite recent numerical simulations and limited laboratory studies highlighting the potential of semi-embedded seismic metamaterials (SEM) in attenuating Rayleigh waves, their real-world effectiveness remains unverified, particularly for Love waves. Love waves pose significant destructive risks to slender structures but have rarely been the [...] Read more.
Despite recent numerical simulations and limited laboratory studies highlighting the potential of semi-embedded seismic metamaterials (SEM) in attenuating Rayleigh waves, their real-world effectiveness remains unverified, particularly for Love waves. Love waves pose significant destructive risks to slender structures but have rarely been the focus of research. To address this gap, we present the first full-scale 2D field experiment on an SEM composed of an array of semi-embedded rubber column resonators. The experimental results reveal a global bandgap spanning 25–37 Hz and a localized bandgap at 37–42 Hz. At the central frequency of the global bandgap (f0 = 31 Hz), the attenuation reaches −9.3 dB for Love waves and −5.3 dB for Rayleigh waves, with the mitigation of Love waves being notably pronounced. Furthermore, our theoretical and experimental analyses provide novel mechanistic insights: the primary energy dissipation in flexible rubber resonators arises from the resonance of their exposed above-ground sections, while the underground buried parts introduce damping that moderately reduces the efficiency of surface wave attenuation. This pioneering full-scale on-site validation bridges the critical gap between simulation-based predictions and practical seismic protection systems, providing valuable reference for the engineering application of SEM, especially for mitigating destructive waves. Full article
Show Figures

Graphical abstract

31 pages, 4117 KB  
Article
Time-Based Fire Resistance Performance of Axially Loaded, Circular, Long CFST Columns: Developing Analytical Design Models Using ANN and GEP Techniques
by Ç. Özge Özelmacı Durmaz, Süleyman İpek, Dia Eddin Nassani and Esra Mete Güneyisi
Buildings 2025, 15(24), 4415; https://doi.org/10.3390/buildings15244415 - 6 Dec 2025
Viewed by 249
Abstract
Concrete-filled steel tube (CFST) columns are composite structural elements preferred in various engineering structures due to their superior properties compared to those of traditional structural elements. However, fire resistance analyses are complex due to CFST columns consisting of two components with different thermal [...] Read more.
Concrete-filled steel tube (CFST) columns are composite structural elements preferred in various engineering structures due to their superior properties compared to those of traditional structural elements. However, fire resistance analyses are complex due to CFST columns consisting of two components with different thermal and mechanical properties. Significant challenges arise because current design codes and guidelines do not provide clear guidance for determining the time-dependent fire performance of these composite elements. This study aimed to address the existing design gap by investigating the fire behavior of circular long CFST columns under axial compressive load and developing robust, accurate, and reliable design models to predict their fire performance. To this end, an up-to-date database consisting of 62 data-points obtained from experimental studies involving variable material properties, dimensions, and load ratios was created. Analytical design models were meticulously developed using two advanced soft computing techniques: artificial neural networks (ANNs) and genetic expression programming (GEP). The model inputs were determined as six main independent parameters: steel tube diameter (D), wall thickness (ts), concrete compressive strength (fc), steel yield strength (fsy), the slenderness ratio (L/D), and the load ratio (μ). The performance of the developed models was comprehensively compared with experimental data and existing design models. While existing design formulas could not predict time-based fire performance, the developed models demonstrated superior prediction accuracy. The GEP-based model performed well with an R-squared value of 0.937, while the ANN-based model achieved the highest prediction performance with an R-squared value of 0.972. Furthermore, the ANN model demonstrated its excellent prediction capability with a minimal mean absolute percentage error (MAPE = 4.41). Based on the nRMSE classification, the GEP-based model proved to be in the good performance category with an nRMSE value of 0.15, whereas the ANN model was in the excellent performance category with a value of 0.10. Fitness function (f) and performance index (PI) values were used to assess the models’ accuracy; the ANN (f = 1.13; PI = 0.05) and GEP (f = 1.19; PI = 0.08) models demonstrated statistical reliability by offering values appropriate for the expected targets (f ≈ 1; PI ≈ 0). Consequently, it was concluded that these statistically convincing and reliable design models can be used to consistently and accurately predict the time-dependent fire resistance of axially loaded, circular, long CFST columns when adequate design formulas are not available in existing codes. Full article
(This article belongs to the Special Issue Advances in Composite Construction in Civil Engineering—2nd Edition)
Show Figures

Figure 1

17 pages, 2614 KB  
Article
Evaluation of Bending Deformations in Slender Cylindrical Structures Using Distributed Optical Fibre Strain Sensing
by Madhubhashitha Herath, Oleg V. Ivanov, Kaushal Bhavsar and James M. Gilbert
Sensors 2025, 25(23), 7366; https://doi.org/10.3390/s25237366 - 3 Dec 2025
Viewed by 258
Abstract
Structures with slender cylindrical geometries, such as subsea power cables are critical components of infrastructure systems. These structures are prone to bending deformation under load, which can ultimately cause structural failure. In this study, distributed optical fibre sensors are used to monitor the [...] Read more.
Structures with slender cylindrical geometries, such as subsea power cables are critical components of infrastructure systems. These structures are prone to bending deformation under load, which can ultimately cause structural failure. In this study, distributed optical fibre sensors are used to monitor the bending deformation in slender cylindrical structures. Brillouin optical time-domain reflectometry-based strain sensing was used to experimentally study three-point bending and approximately constant curvature bending of a 6 m long circular hollow section (CHS). Optical fibres were attached to the outer surface of the CHS in two different configurations: parallel to the longitudinal axis and helically wound around the CHS. Strain responses due to changing magnitudes of deformation and changing orientation of the optical fibre around the circumference of the CHS were studied. A finite element model was employed to simulate and interpret the observed strain responses. A strain response inverse analysis was conducted using the strain data obtained from the experimental study to reconstruct the deformed shapes of the CHS. Both the longitudinally aligned and helically wound fibres showed distinct strain profiles that differentiate the three-point bending and constant curvature bending behaviours. The results revealed the ability of optical fibre sensing to evaluate the type; magnitude; and orientation of the bending deformations. This fundamental understanding supports the design of sensing systems for critical cylindrical infrastructure. Full article
Show Figures

Figure 1

20 pages, 1873 KB  
Article
Nonlinear Subharmonic Resonance Instability of an Arch-Type Structure Under a Vertical Base-Excitation
by Zilin Zhong, Xiaobin Xu, Fulin Shen, Zhiyong Yao and Weiguo Xiao
Buildings 2025, 15(23), 4356; https://doi.org/10.3390/buildings15234356 - 1 Dec 2025
Viewed by 221
Abstract
This study develops an analytical framework for investigating in-plane nonlinear subharmonic resonance in fixed–fixed circular arches under a vertical base-excitation, a phenomenon not adequately addressed in previous research. Based on Hamilton’s principle, the governing partial differential equation for in-plane nonlinear motion is first [...] Read more.
This study develops an analytical framework for investigating in-plane nonlinear subharmonic resonance in fixed–fixed circular arches under a vertical base-excitation, a phenomenon not adequately addressed in previous research. Based on Hamilton’s principle, the governing partial differential equation for in-plane nonlinear motion is first derived. The tangential displacement is then expressed as a modal superposition, and the system is reduced to a set of second-order ordinary differential equations via the Galerkin method. Using the method of multiple scales, the nonlinear 1/2-subharmonic resonance is solved, yielding closed-form, steady-state amplitude–phase relations and corresponding stability conditions. Validation against finite element simulations and Runge–Kutta analyses confirms the accuracy of the proposed approach. Dimensionless fundamental frequencies match finite element results exactly, with discrepancies in critical base-excitation below 2.5%. A close agreement is observed in both the amplitude–frequency and force–response curves with numerical predictions and Bolotin’s method, accurately capturing the characteristic hardening nonlinearity and three distinct dynamic regions spanning negligible vibration, stable resonance, and instability. Parametric studies further reveal key trends. Larger included angles intensify the vibration amplitude and promote saddle-node bifurcation, while narrowing stable operating regions. Higher slenderness ratios enhance structural flexibility and nonlinearity, shifting resonant peaks toward higher frequencies. Increased damping suppresses the response amplitude and raises the thresholds for vibration initiation and bifurcation. Full article
(This article belongs to the Section Building Structures)
Show Figures

Figure 1

26 pages, 8559 KB  
Article
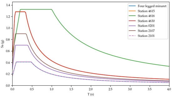
Seismic Damage Assessment of Minarets: Insights from the 6 February 2023 Kahramanmaraş Earthquakes, Türkiye
by Pınar Usta Evci, Ali Ekber Sever, Elifnur Şakalak, Shaghayegh Karimzadeh and Paulo B. Lourenço
Buildings 2025, 15(23), 4358; https://doi.org/10.3390/buildings15234358 - 1 Dec 2025
Viewed by 276
Abstract
Minarets, with their tall spires and intricate architectural designs, stand as iconic symbols of religious and cultural identity in many regions worldwide. Their slender profiles and unique structural characteristics make them particularly vulnerable to seismic forces during earthquakes. Türkiye, a country rich in [...] Read more.
Minarets, with their tall spires and intricate architectural designs, stand as iconic symbols of religious and cultural identity in many regions worldwide. Their slender profiles and unique structural characteristics make them particularly vulnerable to seismic forces during earthquakes. Türkiye, a country rich in history and culture, was struck by two devastating earthquakes of M7.7 and M7.6 on 6 February 2023. The epicenters were in the Pazarcık and Elbistan districts of Kahramanmaraş province. These earthquakes severely affected the city’s 11 districts, causing significant structural damage. Among the affected structures were the iconic symbols of the city’s architectural heritage, the minarets. This study investigates seismic damage to minarets incurred during the 2023 earthquakes, focusing specifically on the Four-Legged Minaret located in the province of Diyarbakır. For this purpose, modal and nonlinear time history analyses were performed on the historical Four-Legged Minaret. The analysis results indicate that the Pazarcık earthquake produced higher base shear forces and peak displacement values compared to the Elbistan earthquake. Stress concentrations were predominantly observed in the transition zone between the minaret’s base and cylindrical body. The damage patterns obtained from numerical simulations showed strong agreement with field observations. The study emphasizes the critical importance of using site-representative seismic inputs, and, at the same time, identifies vulnerable regions that should be prioritized in conservation and strengthening efforts for slender historical masonry structures. Full article
(This article belongs to the Section Construction Management, and Computers & Digitization)
Show Figures

Figure 1

23 pages, 10702 KB  
Article
A Versatile SPH Approach for Modelling Very Flexible and Modularized Floating Structures in Moored Configurations
by Rafail Ioannou, Vasiliki Stratigaki, Eva Loukogeorgaki and Peter Troch
J. Mar. Sci. Eng. 2025, 13(12), 2283; https://doi.org/10.3390/jmse13122283 - 30 Nov 2025
Cited by 1 | Viewed by 273
Abstract
A variety of Offshore Floating Photovoltaics (OFPVs) applications rely on the capacity of their floating support structures displacing in the shape of surface waves to reduce extreme wave-induced loads exerted on their floating-mooring system. This wave-adaptive displacement behaviour is typically realized through two [...] Read more.
A variety of Offshore Floating Photovoltaics (OFPVs) applications rely on the capacity of their floating support structures displacing in the shape of surface waves to reduce extreme wave-induced loads exerted on their floating-mooring system. This wave-adaptive displacement behaviour is typically realized through two principal design approaches, either by employing slender and continuously deformable structures composed of highly elastic materials or by decomposing the structure into multiple floating rigid pontoons interconnected via flexible connectors. The hydrodynamic behaviour of these structures is commonly analyzed in the literature using potential flow theory, to characterize wave loading, whereas in order to deploy such OFPV prototypes in realistic marine environments, a high-fidelity numerical fluid–structure interaction model is required. Thus, a versatile three-dimensional numerical scheme is herein presented that is capable of handling non-linear fluid-flexible structure interactions for Very Flexible Floating Structures (VFFSs): Multibody Dynamics (MBD) for modularized floating structures and floating-mooring line interactions. In the present study, this is achieved by employing the Smoothed Particles Hydrodynamics (SPH) fluid model of DualSPHysics, coupled both with the MBD module of Project Chrono and the MoorDyn+ lumped-mass mooring model. The SPH-MBD coupling enables modelling of large and geometrically non-linear displacements of VFFS within an Applied Element Method (AEM) plate formulation, as well as rigid body dynamics of modularized configurations. Meanwhile, the SPH-MoorDyn+ captures the fully coupled three-dimensional response of floating-mooring and floating-floating dynamics, as it is employed to model both moorings and flexible interconnectors between bodies. The coupled SPH-based numerical scheme is herein validated against physical experiments, capturing the hydroelastic response of VFFS, rigid body hydrodynamics, mooring line dynamics, and flexible connector behaviour under wave loading. The demonstrated numerical methodology represents the first validated Computational Fluid Dynamics (CFD) application of moored VFFS in three-dimensional domains, while its robustness is further confirmed using modular floating systems, enabling OFPV engineers to comparatively assess these two types of wave-adaptive designs in a unified numerical framework. Full article
(This article belongs to the Section Ocean Engineering)
Show Figures

Figure 1

21 pages, 6166 KB  
Article
Effects of Angle of Attack and Feature-Preserving Reduced-Order Models for Canonical Bridge Deck Wakes
by Shijie Liu, Yuexin Cao, Zejun Qin, Jian Zhao, Luming An, Peng Guo, Zhen Zhang and Qingkuan Liu
Appl. Sci. 2025, 15(23), 12670; https://doi.org/10.3390/app152312670 - 29 Nov 2025
Viewed by 151
Abstract
Increasingly slender bridge decks are prone to wind-induced damage, where the complex interactions between the incoming wind, deck, and adjacent wake flows play a deciding role. However, the unsteady wake dynamics at small but realistic angles of attack and their compact reduced-order representation [...] Read more.
Increasingly slender bridge decks are prone to wind-induced damage, where the complex interactions between the incoming wind, deck, and adjacent wake flows play a deciding role. However, the unsteady wake dynamics at small but realistic angles of attack and their compact reduced-order representation remain insufficiently understood. The unsteady wakes subject to angle of attack from 3° to 5° are investigated via Koopman analysis with the Dynamic Mode Decomposition (DMD), aiming to construct accurate reduced-order models for largely repeated canonical cases, while preserving physical and phenomenological fidelity. Instantaneous velocity and vorticity fields reveal a clear separation-reattachment cycle: leading edge separation bubbles form and migrate upstream at drag peaks, then collapse and reattach at drag valleys. Shear layers roll up into dual vortices that pair, merge with Kelvin–Helmholtz-type shear-layer instabilities, and alternately shed from the deck’s upper and lower surfaces, driving oscillatory wake deflection and attendant drag and lift fluctuations. DMD identifies four dominant modes that together account for over 90% of the turbulent kinetic energy: time averaged base flow, the fundamental vortex shedding mode, and two higher frequency shear-layer modes. Adequate truncation reduces data dimensionality by an order of magnitude while keeping the normalized error below 6%. The results demonstrate that a DMD-based reduced-order model built on Unsteady Reynolds Averaged Navier–Stokes (URANS) data can faithfully preserve both large-scale separation topology and fine-scale vortical structures across small angles of attack, providing a compact and accurate representation of bridge-deck wakes for repeated canonical configurations. Full article
(This article belongs to the Section Civil Engineering)
Show Figures

Figure 1

29 pages, 8024 KB  
Article
Numerical Study of the Out-of-Plane Response of Dry-Stack Double-Wythe Brick Walls with Header Bricks
by Fırat Kıpçak
Buildings 2025, 15(23), 4342; https://doi.org/10.3390/buildings15234342 - 28 Nov 2025
Viewed by 192
Abstract
Walls in masonry structures exhibit sensitive behavior under out-of-plane displacements. Although numerous studies address in-plane behavior, research focusing on out-of-plane response remains limited. The performance of masonry walls is influenced by several factors, including material characteristics, construction defects, mortar quality, support conditions, wall [...] Read more.
Walls in masonry structures exhibit sensitive behavior under out-of-plane displacements. Although numerous studies address in-plane behavior, research focusing on out-of-plane response remains limited. The performance of masonry walls is influenced by several factors, including material characteristics, construction defects, mortar quality, support conditions, wall slenderness, and the properties of openings. Because of those parameters, detailed experimental and numerical studies are required to understand the behavior. Double- or multi-wythe masonry is commonly used, and header (or through) bricks are often placed to ensure interlocking between the wythes. The number and arrangement of the header bricks directly influence the wall behavior. Particularly after recent earthquakes, significant damage has been observed in multi-wythe walls, and the role of header bricks in wall performance is not yet fully understood. This study investigates the out-of-plane behavior of double-wythe, two-sided brick walls, in which header bricks are used only in the out-of-plane direction. Numerical analyses were performed on eight different wall models. In these models, header bricks with varying quantities and arrangements were placed perpendicular to the wythes. Lateral load analyses were conducted using the finite element method and micro-modeling technique implemented in ABAQUS software (Version 2022). Two models were validated using the referenced experimental results. The findings indicate that all walls that incorporate header brick exhibit higher lateral capacities. When compared to the reference wall model, the load-to-weight ratio increased with the increase in the number of header bricks. The lateral capacity ratio increased by factors of 1.29, 1.50, 1.68, and 1.81 in walls containing one, two, three, and four vertical rows of header bricks, respectively. When the header bricks were distributed uniformly throughout the wall, the capacity increased by a factor of 1.61. These results demonstrate that the header brick pattern also affects the wall capacity. Additionally, the presence of header bricks directly influences the failure mechanism of the wall. Full article
(This article belongs to the Section Building Materials, and Repair & Renovation)
Show Figures

Figure 1

16 pages, 4880 KB  
Article
Development of Acceleration Factors to Evaluate the Across-Wind and Torsional Accelerations for Wind-Sensitive Buildings
by Daniel Corona-González and Adrián Pozos-Estrada
Buildings 2025, 15(23), 4224; https://doi.org/10.3390/buildings15234224 - 22 Nov 2025
Viewed by 275
Abstract
Wind-induced acceleration represents one of the main challenges in the dynamic behavior of tall buildings. Its estimation can be carried out through experimental wind tunnel tests or using the analytical expressions proposed in various international codes and standards. However, the explicit consideration of [...] Read more.
Wind-induced acceleration represents one of the main challenges in the dynamic behavior of tall buildings. Its estimation can be carried out through experimental wind tunnel tests or using the analytical expressions proposed in various international codes and standards. However, the explicit consideration of uncertainty in structural dynamic properties, wind characteristics, and human-perceived response is limited or nonexistent in most standards. Slender structures like tall buildings can experience excessive acceleration due to wind loading, which can impact the activities of the buildings’ users. To prevent excessive wind-induced vibration, some international codes require that the serviceability limit state, in terms of acceleration, is satisfied. These serviceability limit states require that the wind-induced acceleration is less than or equal to a predefined value, which is taken from perception curves that are developed based on perceived vibration alone. The main objective of this work is to develop acceleration factors for across-wind and torsional acceleration that are calibrated for the selected targeted probability of perception levels by considering the uncertainty in the structural dynamic characteristics and wind characteristics, as well as in the human perception of motion. The acceleration factors are incorporated in a simple-to-use procedure to evaluate the wind-induced acceleration in tall buildings. A numerical example is provided to illustrate the use of the proposed acceleration factors. Full article
Show Figures

Figure 1

Back to TopTop