Sign in to use this feature.

Years

Between: -

Subjects

remove_circle_outline
remove_circle_outline
remove_circle_outline
remove_circle_outline
remove_circle_outline
remove_circle_outline
remove_circle_outline
remove_circle_outline
remove_circle_outline

Journals

remove_circle_outline
remove_circle_outline
remove_circle_outline
remove_circle_outline
remove_circle_outline
remove_circle_outline
remove_circle_outline
remove_circle_outline
remove_circle_outline
remove_circle_outline
remove_circle_outline
remove_circle_outline
remove_circle_outline

Article Types

Countries / Regions

remove_circle_outline
remove_circle_outline
remove_circle_outline
remove_circle_outline
remove_circle_outline

Search Results (1,445)

Search Parameters:
Keywords = skeletal measurements

Order results
Result details
Results per page
Select all
Export citation of selected articles as:
20 pages, 2825 KB  
Article
Comparison and Analysis of Body Composition of MMA Fighters and Powerlifting Athletes
by Jarosław Muracki, Kacper Olszewski, Arkadiusz Stanula, Ahmet Kurtoğlu, Gabriel Stănică Lupu and Michał Nowak
J. Funct. Morphol. Kinesiol. 2025, 10(4), 388; https://doi.org/10.3390/jfmk10040388 (registering DOI) - 5 Oct 2025
Abstract
Background: Mixed martial arts (MMA) is becoming increasingly popular and is developing dynamically in terms of training methods and number of participants involved, while weightlifting, powerlifting, and other kinds of strength disciplines are well established. In this study, the aim was to compare [...] Read more.
Background: Mixed martial arts (MMA) is becoming increasingly popular and is developing dynamically in terms of training methods and number of participants involved, while weightlifting, powerlifting, and other kinds of strength disciplines are well established. In this study, the aim was to compare the body composition, as an anthropometric effect of training in MMA fighters and strength athletes, and then analyze and find reasoning for observed differences. Methods: Thirty-four young healthy male participants (body weight 84.9 ± 10.2 kg, body height 182.0 ± 6.8 cm, BMI 25.8 ± 2.51 kg/m2, tier 2/3 in McKay’s sports level classification) represented two groups: MMA (n = 17) and powerlifting athletes (STR, n = 17). The measured anthropometric characteristics were skeletal muscle mass (SMM), percentage of body fat (PBF), body fat mass (FM) and visceral fat mass (VFM). Phase angle (º) was measured as an indicator of tissue quality and we performed detailed investigations of soft fat-free tissue mass (SLM) and of fat mass in body parts separately in each lower and upper limb and trunk. Results: The groups did not differ in terms of body weight, height, BMI, SMM, PBF, FM, VFM, SLM in upper limbs and trunk, FM in the body parts, or the phase angle (all p > 0.05). The statistically significant differences were only observed in the SLM of both lower limbs (greater in STR, p < 0.05) but, after statistical correction with the Holm’s method, these parameters also did not show statistically significant differences despite high effect sizes. Conclusions: The MMA athletes do not differ significantly from strength training athletes in measured anthropometric parameters despite distinct differences in training methodology. The reasons for these observations need future research, combining anthropometric measurements with training and competing load monitoring. Full article
(This article belongs to the Special Issue Perspectives and Challenges in Sports Medicine for Combat Sports)
Show Figures

Figure 1

17 pages, 5039 KB  
Article
AI-Enhanced Lower Extremity X-Ray Segmentation: A Promising Tool for Sarcopenia Diagnosis
by Hyunwoo Park, Hyeonsu Kim and Junil Yoo
Healthcare 2025, 13(19), 2488; https://doi.org/10.3390/healthcare13192488 - 30 Sep 2025
Abstract
Background/Objectives: Sarcopenia, characterized by progressive loss of skeletal muscle mass and strength, significantly impacts physical function and quality of life in older adults. Traditional measurement methods like Dual-energy X-ray absorptiometry (DEXA) are often inaccessible in primary care. This study aimed to develop [...] Read more.
Background/Objectives: Sarcopenia, characterized by progressive loss of skeletal muscle mass and strength, significantly impacts physical function and quality of life in older adults. Traditional measurement methods like Dual-energy X-ray absorptiometry (DEXA) are often inaccessible in primary care. This study aimed to develop and validate an AI-driven auto-segmentation model for muscle mass assessment using long X-rays as a more accessible alternative to DEXA. Methods: This was a retrospective validation study using data from the Real Hip Cohort at Inha University Hospital in South Korea. 351 lower extremity X-ray images from 157 patients were collected and analyzed. AI-based semantic segmentation models, including U-Net, V-Net, and U-Net++, were trained and validated on this dataset to automatically segment muscle regions. Model performance was assessed using Intersection over Union (IoU) and Dice Similarity Coefficient (DC) metrics. The correlation between AI-derived muscle measurements and the DEXA-derived skeletal muscle index was evaluated using Pearson correlation analysis and Bland–Altman analysis. Results: The study analyzed data from 157 patients (mean age 77.1 years). The U-Net++ architecture achieved the best segmentation performance with an IoU of 0.93 and DC of 0.95. Pearson correlation demonstrated a moderate to strong positive correlation between the AI model’s muscle estimates and DEXA results (r = 0.72, *** p < 0.0001). Regression analysis showed a coefficient of 0.74, indicating good agreement with reference measurements. Conclusions: This study successfully developed and validated an AI-driven auto-segmentation model for estimating muscle mass from long X-rays. The model provides an accessible alternative to DEXA, with potential to improve sarcopenia diagnosis and management in community and primary care settings. Future work will refine the model and explore its application to additional muscle groups. Full article
Show Figures

Figure 1

26 pages, 3132 KB  
Article
Revealing the Specific Contributions of Mitochondrial CB1 Receptors to the Overall Function of Skeletal Muscle in Mice
by Zoltán Singlár, Péter Szentesi, Nyamkhuu Ganbat, Barnabás Horváth, László Juhász, Mónika Gönczi, Anikó Keller-Pintér, Attila Oláh, Zoltán Máté, Ferenc Erdélyi, László Csernoch and Mónika Sztretye
Cells 2025, 14(19), 1517; https://doi.org/10.3390/cells14191517 - 28 Sep 2025
Abstract
Skeletal muscle, constituting 40–50% of total body mass, is vital for mobility, posture, and systemic homeostasis. Muscle contraction heavily relies on ATP, primarily generated by mitochondrial oxidative phosphorylation. Mitochondria play a key role in decoding intracellular calcium signals. The endocannabinoid system (ECS), including [...] Read more.
Skeletal muscle, constituting 40–50% of total body mass, is vital for mobility, posture, and systemic homeostasis. Muscle contraction heavily relies on ATP, primarily generated by mitochondrial oxidative phosphorylation. Mitochondria play a key role in decoding intracellular calcium signals. The endocannabinoid system (ECS), including CB1 receptors (CB1Rs), broadly influences physiological processes and, in muscles, regulates functions like energy metabolism, development, and repair. While plasma membrane CB1Rs (pCB1Rs) are well-established, a distinct mitochondrial CB1R (mtCB1R) population also exists in muscles, influencing mitochondrial oxidative activity and quality control. We investigated the role of mtCB1Rs in skeletal muscle physiology using a novel systemic mitochondrial CB1 deletion murine model. Our in vivo studies showed no changes in motor function, coordination, or grip strength in mtCB1 knockout mice. However, in vitro force measurements revealed significantly reduced specific force in both fast-twitch (EDL) and slow-twitch (SOL) muscles following mtCB1R ablation. Interestingly, knockout EDL muscles exhibited hypertrophy, suggesting a compensatory response to reduced force quality. Electron microscopy revealed significant mitochondrial morphological abnormalities, including enlargement and irregular shapes, correlating with these functional deficits. High-resolution respirometry further demonstrated impaired mitochondrial respiration, with reduced oxidative phosphorylation and electron transport system capacities in knockout mitochondria. Crucially, mitochondrial membrane potential dissipated faster in mtCB1 knockout muscle fibers, whilst mitochondrial calcium levels were higher at rest. These findings collectively establish that mtCB1Rs are critical for maintaining mitochondrial health and function, directly impacting muscle energy production and contractile performance. Our results provide new insights into ECS-mediated regulation of skeletal muscle function and open therapeutic opportunities for muscle disorders and aging. Full article
(This article belongs to the Special Issue Skeletal Muscle: Structure, Physiology and Diseases)
Show Figures

Figure 1

11 pages, 576 KB  
Article
Morphological Variations of the Pterygomaxillary Suture According to Skeletal Patterns
by Tuğçe Akın, Hacer Eberliköse, Berin Tuğtağ Demir, Burak Bilecenoğlu and Hakan Alpay Karasu
Diagnostics 2025, 15(19), 2467; https://doi.org/10.3390/diagnostics15192467 - 26 Sep 2025
Abstract
Background: The posterosuperior maxillary region poses a challenge in orthognathic surgery due to its complex three-dimensional anatomy. The pterygomaxillary suture (PMS) is a key landmark for various procedures. Understanding its anatomical relationships is essential to improving surgical precision. Methods: A retrospective analysis of [...] Read more.
Background: The posterosuperior maxillary region poses a challenge in orthognathic surgery due to its complex three-dimensional anatomy. The pterygomaxillary suture (PMS) is a key landmark for various procedures. Understanding its anatomical relationships is essential to improving surgical precision. Methods: A retrospective analysis of CBCT images from 120 patients aged 18–70 years at Ankara Medipol University was conducted. Patients were categorized into skeletal Classes I, II, and III according to the ANB angle. Linear and angular measurements of the PMS and adjacent structures were performed. The statistical analysis included the Shapiro–Wilk, Independent t-test, Mann–Whitney U test, and regression analysis (p < 0.05). Results: There were clear differences between the skeletal groups. Class II and III patients had a lesser lateral PMS–baseline intersection distance (IV–VI) and Class II had a lesser medial PMS–baseline perpendicular distance (VV′) compared to Class I (p < 0.05). Additionally, the angle V–IV–VI was significantly narrower in Class II and III groups, indicating altered PMS orientation in these skeletal patterns. Conclusions: PMS morphology, including thickness, width, and angulation, is influenced by skeletal pattern. A preoperative CBCT assessment and individualized surgical planning are essential to ensure the safety and accuracy of Le Fort I osteotomies, especially in Class II and III patients. Full article
(This article belongs to the Section Medical Imaging and Theranostics)
Show Figures

Figure 1

20 pages, 3269 KB  
Article
Small-Molecule Tyrosine Kinase Inhibitors Modulate Glucose Handling in C2C12 Cell Line In Vitro: A Mechanistic Study
by Takudzwa Mugiya, Samarah Zvandasara, Mmamosheledi Mothibe, Phikelelani Ngubane, Andile Khathi and Ntethelelo Sibiya
Pharmaceuticals 2025, 18(10), 1445; https://doi.org/10.3390/ph18101445 - 26 Sep 2025
Abstract
Background: Small-molecule tyrosine kinase inhibitors (SMTKIs), widely used in cancer chemotherapy, have been reported to variably affect glycaemic control and metabolism, with some agents demonstrating hypoglycaemic effects while others show hyperglycaemic properties. This study aims to elucidate how small-molecule tyrosine kinase inhibitors affect [...] Read more.
Background: Small-molecule tyrosine kinase inhibitors (SMTKIs), widely used in cancer chemotherapy, have been reported to variably affect glycaemic control and metabolism, with some agents demonstrating hypoglycaemic effects while others show hyperglycaemic properties. This study aims to elucidate how small-molecule tyrosine kinase inhibitors affect glucose metabolism in C2C12 cells in vitro. Specifically, this study investigated their impact on glucose uptake, AKT expression, GLUT4 expression and translocation, and IL-6 expression. Methods: In this study, skeletal muscle (C2C12) preparations were separately treated with small-molecule tyrosine kinase inhibitors; imatinib, dasatinib, axitinib, and erlotinib for 24 h. Thereafter, the effect of the test drugs was assessed on cell viability using the MTT assay, while glucose uptake was determined by measuring residual glucose concentrations in the culture medium with a glucometer. The expression of AKT, GLUT4, and IL-6 and translocation of GLUT4 were evaluated using ELISA. Furthermore, the effect of the drugs was assessed on insulin-stimulated AKT phosphorylation and GLUT4 translocation. Imatinib, dasatinib, axitinib, and erlotinib were selected due to their effect of glucose metabolism, highlighted in the literature. Results and Discussion: C2C12 cells treated with SMTKIs were viable after 24 h. A concentration-dependent increase in glucose uptake in C2C12 cells treated with imatinib was observed as the concentration of imatinib increased. Axitinib, dasatinib, and erlotinib demonstrated glucose uptake levels comparable to the control across all concentrations. SMTKIs demonstrated an increase in GLUT4 translocation in the absence of insulin. GLUT4 expression was unchanged in cells treated with small-molecule tyrosine kinase inhibitors compared to the control. Small-molecule tyrosine kinase inhibitors showed an increase in AKT expression. C2C12 cells treated with SMTKI were observed to have elevated IL-6 expression compared to the control. Conclusions: The results show that SMTKIs, in particular dasatinib, impact glucose metabolism in C2C12 cells via their effect on GLUT4 translocation and expression and AKT expression. Dasatinib shows promising potential with regard to antidiabetic capabilities. Further research is needed to better understand SMKI effects on metabolic homeostasis, which can perhaps inform future therapeutic strategies. Full article
(This article belongs to the Section Biopharmaceuticals)
Show Figures

Graphical abstract

13 pages, 1004 KB  
Article
Matched Metabolic Stress Preserves Myokine Responses Regardless of Mechanical Load: A Randomized, Controlled Crossover Trial
by Yuji Maki, Hiroo Matsuse, Ryuki Hashida, Norika Matsukuma, Hiroshi Tajima, Eriko Baba, Yuji Kaneyuki, Sohei Iwanaga, Masayuki Omoto, Yoshio Takano, Matsuo Shigeaki, Takeshi Nago and Koji Hiraoka
Metabolites 2025, 15(10), 641; https://doi.org/10.3390/metabo15100641 - 25 Sep 2025
Abstract
Background/Objectives: Skeletal muscle functions as an endocrine organ by secreting myokines in response to exercise, with interleukin-6 (IL-6) recognized as a representative intensity-dependent biomarker that rapidly increases immediately after exercise and is strongly dependent on exercise intensity. However, it is unclear how [...] Read more.
Background/Objectives: Skeletal muscle functions as an endocrine organ by secreting myokines in response to exercise, with interleukin-6 (IL-6) recognized as a representative intensity-dependent biomarker that rapidly increases immediately after exercise and is strongly dependent on exercise intensity. However, it is unclear how changes in mechanical stress affect the response of myokines after exercise. This randomized crossover study aimed to investigate the effect of mechanical stress on acute myokine secretion during matched metabolic exercise under different mechanical stress. Methods: Ten healthy adult males performed 30 min of cycling at 60% of peak V·O2 in both semi-recumbent position and side-lying positions. Blood samples were collected before, immediately after, and at 30 and 60 min post-exercise to evaluate IL-6, brain-derived neurotrophic factor (BDNF), and lactate. Results: BDNF and lactate levels peaked immediately after exercise, and IL-6 reached its peak at 30 min post-exercise in both the semi-recumbent position and side-lying positions. All markers showed significant elevations in response to exercise. However, no significant differences were found between the two postures in any of the measured variables. Conclusions: These findings suggest that reduced mechanical load does not impair endocrine responses when the intensity of metabolic stress is maintained. This study provides scientific evidence that, regardless of posture or environment, sufficient exercise intensity can induce adequate IL-6 and BDNF secretion, through which the beneficial effects of exercise may be expected. Full article
Show Figures

Graphical abstract

14 pages, 837 KB  
Article
Muscle Mass Mediates the Effect of Physical Activity and Sedentary Behavior on Metabolic Syndrome, with Differences by Gender
by Jaehee Kim
Healthcare 2025, 13(19), 2432; https://doi.org/10.3390/healthcare13192432 - 25 Sep 2025
Abstract
Objectives: This study examined whether skeletal muscle mass mediates the relationship between sedentary behavior, physical activity, and cardiometabolic health, and if this relationship differs by genders. Methods: Secondary analysis was conducted using data from the 2022–2023 Korean National Health and Nutrition Examination Survey [...] Read more.
Objectives: This study examined whether skeletal muscle mass mediates the relationship between sedentary behavior, physical activity, and cardiometabolic health, and if this relationship differs by genders. Methods: Secondary analysis was conducted using data from the 2022–2023 Korean National Health and Nutrition Examination Survey (n = 5956). Cardiometabolic abnormalities were defined as having one or more of the five metabolic syndrome (MS) criteria, while MS was defined as having three or more. Muscle mass relative to body weight was measured by bioelectrical impedance analysis. Sedentary time and recommended moderate-to-vigorous physical activity (MVPA) levels at work, for transportation, and for recreation (≥600 Mets), and strength training (≥2 times/week), were assessed using the Global Physical Activity Questionnaire. Results: Higher MVPA (p < 0.001) and less sedentary time (p < 0.01) were significantly correlated with greater muscle mass in middle-aged and elderly men and women. Mediation analyses, which controlled for MS risk factors, revealed gender differences. In men, the indirect effects of sedentary time, MVPA, and strength training on both cardiometabolic abnormalities (b = 0.007, CI [0.003, 0.013]; b = −0.066, CI [−0.110, −0.033]; b = −0.074, CI [−0.110, −0.033]) and MS (b = 0.007, CI [0.003, 0.011]; b = −0.060, CI [−0.095, −0.032]; b = −0.065, CI [−0.100, −0.035]) were significant, indicating mediation by muscle mass. In women, the indirect effects of these three behaviors on cardiometabolic abnormalities were also mediated by muscle mass (b = 0.003, CI [0.001, 0.006]; b = −0.014, CI [−0.031, −0.002]; b = −0.023, CI [−0.050, −0.003]). However, for MS, sedentary time (b = 0.057, p < 0.001) and MVPA (b = −0.222, p < 0.05) had only direct effects, with no mediation by muscle mass. Furthermore, strength training showed no significant effects. Conclusions: These findings suggest that promoting MVPA and strength training, while reducing sedentary time, can improve cardiometabolic health by increasing muscle mass, though the mediating role of muscle mass for MS differs by gender. Full article
Show Figures

Figure 1

17 pages, 674 KB  
Article
A CBCT Morphometric Study of Hyoid Bone According to Skeletal and Breathing Patterns Using Multi-Factor Robust ANOVA
by Busra Ozturk, Guldane Magat, Mucahid Yildirim and Alparslan Esen
Healthcare 2025, 13(19), 2423; https://doi.org/10.3390/healthcare13192423 - 24 Sep 2025
Viewed by 9
Abstract
Background/Objectives: The hyoid bone plays a central role in functions such as swallowing, speech, and airway maintenance, and its morphology may vary with anatomical and functional parameters. This study aimed to evaluate the influence of skeletal class, respiratory mode, age, and sex [...] Read more.
Background/Objectives: The hyoid bone plays a central role in functions such as swallowing, speech, and airway maintenance, and its morphology may vary with anatomical and functional parameters. This study aimed to evaluate the influence of skeletal class, respiratory mode, age, and sex on the morphometric features of the hyoid bone using cone-beam computed tomography (CBCT). Methods: A total of 560 CBCT scans (295 females, 265 males; aged 8–73 years) were retrospectively analyzed. Hyoid angle, horizontal length, and vertical height were measured using Dolphin 3D software. Participants were categorized by skeletal class (I, II, III), breathing pattern (nasal vs. oral), and age group. Data were analyzed using robust three-way ANOVA and Bonferroni post hoc tests. Results: In females, nasal breathers exhibited significantly larger hyoid angles and vertical heights than oral breathers (p < 0.001), independent of age and skeletal class. In males, both age and breathing mode significantly influenced hyoid angle and vertical length (p < 0.001). Vertical height was also significantly greater in skeletal Class I compared to Class III (p = 0.008). Notably, significant respiration–skeletal class interaction was found in females (p = 0.029) but not in males. Conclusions: Hyoid bone morphology is affected by age, breathing pattern, and skeletal class, with sex-specific differences. Nasal breathing and younger age were associated with more inferior and angularly favorable hyoid positions, which may have implications for airway stability and craniofacial development. Full article
Show Figures

Figure 1

18 pages, 1269 KB  
Article
Correlation Between Volumetric Soft Tissue Asymmetry and Postero-Anterior Cephalometric Measurements in Patients with Skeletal Facial Asymmetry: A Cross-Sectional Pilot Study
by Saki Tanaka, Yudai Shimpo, Hiromi Sato, Toshiko Sekiya, Shotaro Ueda, Chihiro Kariya, Takashi Oikawa and Hiroshi Tomonari
J. Clin. Med. 2025, 14(19), 6721; https://doi.org/10.3390/jcm14196721 - 23 Sep 2025
Viewed by 157
Abstract
Background/Objectives: While skeletal facial asymmetry is commonly assessed using posteroanterior (PA) cephalometric radiographs, the association between skeletal measurements and volumetric soft tissue asymmetry remains unclear. This study aimed to identify which skeletal parameters are most strongly correlated with soft tissue asymmetry measured using [...] Read more.
Background/Objectives: While skeletal facial asymmetry is commonly assessed using posteroanterior (PA) cephalometric radiographs, the association between skeletal measurements and volumetric soft tissue asymmetry remains unclear. This study aimed to identify which skeletal parameters are most strongly correlated with soft tissue asymmetry measured using three-dimensional (3D) imaging. Methods: Thirty-three Japanese patients (8 males and 25 females; mean age: 26.85 ± 12.13 years) undergoing orthodontic–orthognathic treatment were included. Three-dimensional facial surface data were acquired using the VECTRA® H1 imaging system. Soft tissue asymmetry was quantified by calculating the volumetric difference between the original and mirrored 3D facial images, divided into three regions: whole face, midface, and lower face. PA cephalometric radiographs were traced, and 28 skeletal variables were measured. Pearson correlation coefficients were calculated between skeletal variables and asymmetry volumes and squared to obtain R2 values. Results: The strongest correlation with whole facial soft tissue asymmetry was found for menton deviation from the midline (R2 = 0.630). Similar trends were observed for the lower face. In contrast, only one skeletal variable showed a moderate correlation with midfacial asymmetry (maximum R2 = 0.186), and skeletal parameters related to maxillary occlusal cant did not show significant associations. Conclusions: Volumetric soft tissue asymmetry is strongly associated with mandibular skeletal deviation, particularly menton displacement, whereas midfacial skeletal morphology may have a limited impact. Further studies including more patients with pronounced midfacial soft tissue asymmetry are warranted. Full article
(This article belongs to the Special Issue Orthodontics: State of the Art and Perspectives)
Show Figures

Figure 1

17 pages, 351 KB  
Review
Tetramethyl Bisphenol F: Organ- and System-Specific Toxicity, Current Status, and Perspectives
by Inho Hwang, Xiang-Shun Cui and Eui-Bae Jeung
Int. J. Mol. Sci. 2025, 26(19), 9280; https://doi.org/10.3390/ijms26199280 - 23 Sep 2025
Viewed by 158
Abstract
Tetramethyl bisphenol F (TMBPF) is being increasingly used as a Bisphenol A (BPA) substitute, particularly as a coating material for food and beverage cans. Unlike BPA, TMBPF is considered safe because of the lack of reported estrogenic effects, and it is often marketed [...] Read more.
Tetramethyl bisphenol F (TMBPF) is being increasingly used as a Bisphenol A (BPA) substitute, particularly as a coating material for food and beverage cans. Unlike BPA, TMBPF is considered safe because of the lack of reported estrogenic effects, and it is often marketed under the “BPA-free” label. Initial cell-based assays and rat toxicity studies indicated much lower systemic and sex hormone-related toxicity of TMBPF compared with BPA, which has facilitated its substitution and significant market expansion. Since 2021, however, a growing body of research has reported various adverse effects of TMBPF across multiple biological systems. These include cytotoxicity associated with apoptosis and endocrine-disrupting effects on the thyroid axis, skeletal system, neurodevelopment, and reproductive function. Although the effects on the estrogen and androgen systems, as well as obesogenic potential, show variability across studies, several studies have indicated significant biological impacts. Of particular concern is the potential neurodevelopmental toxicity, which may manifest only after long-term exposure and is often irreversible. Even if current leaching levels from food contact materials are minimal, environmental accumulation and biomagnification over time may pose significant risks. Therefore, comprehensive toxicological profiling of TMBPF is essential. This review summarizes the current toxicological findings on TMBPF and discusses the implications for future research and regulatory considerations, highlighting the importance of early attention to potential public health impacts. Strengthening the toxicological evidence base will help inform regulatory frameworks and support proactive measures to safeguard consumer safety as the use of TMBPF expands. Full article
(This article belongs to the Special Issue The Role of Endocrine Disruptors in Immune Diseases)
Show Figures

Graphical abstract

16 pages, 298 KB  
Article
Assessment of Bone Mineral Density in Children with Developmental Dysplasia of the Hip Joint: Possible Risk Factors for Osteopenia and Osteoporosis
by Maha A. Al Slateen, Alaa Ibrahim, Turki Abualait, Ammar Alomran, Sarah Alshahwan, Mariam Alsomali and Mohammed S. Abdelsalam
Medicina 2025, 61(10), 1727; https://doi.org/10.3390/medicina61101727 - 23 Sep 2025
Viewed by 189
Abstract
Background and Objectives: Developmental dysplasia of the hip (DDH) in children can result in long-term skeletal complications, including a reduced bone mineral density (BMD) and an increased risk of osteoporosis. This study aimed to evaluate BMD in children with DDH and to identify [...] Read more.
Background and Objectives: Developmental dysplasia of the hip (DDH) in children can result in long-term skeletal complications, including a reduced bone mineral density (BMD) and an increased risk of osteoporosis. This study aimed to evaluate BMD in children with DDH and to identify clinical, functional, and nutritional factors associated with reduced BMD. Materials and Methods: A cross-sectional study was conducted on 25 children aged 5–10 years with confirmed DDH. Bone mineral density was measured at the total body, subtotal, and lumbar spine using dual-energy X-ray absorptiometry (DXA), and Z-scores were calculated. Functional assessments included isometric muscle strength, weight-bearing symmetry, and physical activity measured via accelerometry. Demographic data and daily calcium intake were recorded. Correlation and multiple linear regression analyses were performed to determine predictors of BMD. Results: Most participants exhibited normal growth and mobility, with mild asymmetries in limb strength and length. The mean total BMD was within normative ranges, whereas the lumbar spine Z-score (−1.41 ± 1.72) was mildly reduced. BMD positively correlated with age, anthropometric measures, weight-bearing capacity, and calcium intake, and negatively correlated with a family history of osteoporosis. Multiple regression analysis identified the muscle strength symmetry index as the strongest independent predictor of BMD across all sites (subtotal Z-score: β = 1.000, p < 0.001; total Z-score: β = 0.425, p = 0.023; lumbar Z-score: β = 0.499, p = 0.014). Physical activity levels showed no significant associations with BMD. Conclusions: Children with DDH generally demonstrate preserved overall BMD; however, mild lumbar spine deficits may occur. Muscle strength symmetry appears to be the most influential modifiable factor for optimizing bone health in this population, highlighting the importance of targeted physiotherapy interventions. Full article
13 pages, 967 KB  
Article
Sarcopenia and Myosteatosis as a Predictor of Post-Operative Outcomes in Patients Undergoing Laparotomy for Abdominal Emergencies
by Simone Giudici, Ezio Lanza, Ludovica Lofino, Alberto Barison, Angela Ammirabile, Giulia Mauri, Davide Zulian, Martina Ceolin, Andrea Brocchi and Daniele Del Fabbro
J. Clin. Med. 2025, 14(18), 6639; https://doi.org/10.3390/jcm14186639 - 20 Sep 2025
Viewed by 258
Abstract
Background: Emergency laparotomy (EL) is related to a high risk of morbidity and mortality. Sarcopenia (low skeletal muscle mass) and myosteatosis (poor muscle quality) have emerged as prognostic indicators in various clinical contexts. This study evaluated the impact of these conditions on [...] Read more.
Background: Emergency laparotomy (EL) is related to a high risk of morbidity and mortality. Sarcopenia (low skeletal muscle mass) and myosteatosis (poor muscle quality) have emerged as prognostic indicators in various clinical contexts. This study evaluated the impact of these conditions on postoperative outcomes in patients undergoing EL for abdominal emergencies. Methods: A retrospective analysis was conducted on 242 patients who underwent EL between January 2016 and December 2023. Skeletal muscle index (SMI) and muscle radiation attenuation (MRA) were measured using CT imaging at the L3 level. Sarcopenia was defined as SMI ≤ 41.6 cm2/m2 for men and ≤ 32 cm2/m2 for women. Myosteatosis was defined as MRA ≤ 29.3 HU for men and ≤ 22 HU for women. Outcomes included 30-day mortality, hospital length of stay (h-LOS), severe complications (Clavien-Dindo ≥ 3), and Intensive Care Unit (ICU) admission. Results: Of the 242 patients (median age: 70; 51.2% men), 42.6% were sarcopenic and 78.1% had myosteatosis. Sarcopenia was not significantly associated with any postoperative outcomes. Conversely, myosteatosis was significantly associated with longer h-LOS (17 vs. 8 days; p < 0.001), higher rates of severe complications (37.1% vs. 22.7%; p = 0.048), and ICU admission (48.2% vs. 28.3%; p = 0.010), but not with 30-day mortality. Multivariate analysis confirmed myosteatosis as an independent predictor of prolonged hospital stay (HR 0.59, 95% CI: 0.42–0.84 p = 0.003). Conclusions: Myosteatosis, rather than sarcopenia, is associated with worse postoperative outcomes following EL for abdominal emergencies. Including myosteatosis in preoperative risk assessments may improve the identification of high-risk patients and guide perioperative management. Full article
(This article belongs to the Special Issue New Insights into Abdominal Surgery)
Show Figures

Figure 1

29 pages, 8560 KB  
Article
Towards Sensor-Based Mobility Assessment for Older Adults: A Multimodal Framework Integrating PoseNet Gait Dynamics and InBody Composition
by Sinan Chen, Lingqi Kong, Zhaozhen Tong, Yuko Yamaguchi and Masahide Nakamura
Sensors 2025, 25(18), 5878; https://doi.org/10.3390/s25185878 - 19 Sep 2025
Viewed by 341
Abstract
The acceleration of global population aging has driven a surge in demand for health monitoring among older adults. However, traditional mobility assessment methods mostly rely on invasive measurements or laboratory-grade equipment, making it difficult to achieve continuous monitoring in daily scenarios. This study [...] Read more.
The acceleration of global population aging has driven a surge in demand for health monitoring among older adults. However, traditional mobility assessment methods mostly rely on invasive measurements or laboratory-grade equipment, making it difficult to achieve continuous monitoring in daily scenarios. This study investigated the correlation between dynamic gait characteristics and static body metrics to enhance the understanding of elderly mobility and overall health. A sensor-based framework was implemented, which utilizes the Short Physical Performance Battery (SPPB), combined with PoseNet (a vision-based sensor) for dynamic gait analysis, and the InBody bioelectrical impedance device for static body composition assessment. Key variables comprised the dynamic metric mean directional shift and static metrics, including skeletal muscle index (SMI), skeletal muscle mass (SMM), body fat percentage (PBF), visceral fat area (VFA), and intracellular water. Nineteen elderly participants aged 60–89 years underwent assessments; among them, 16 were males (84.21%), and 3 were females (15.79%), 50% were in the 80–89 age group, 95% did not live alone, and 90% were married. Dynamic gait data were analyzed for center displacement and horizontal directional shifts. A Pearson correlation analysis revealed that the mean directional shift positively correlated with SMI (ρ=0.561p<0.01), SMM (ρ=0.496p<0.01), and intracellular water (ρ=0.497p<0.01), highlighting the role of muscle strength in movement adaptability. Conversely, negative correlations were found with PBF (ρ=0.256) and VFA (ρ=0.342p<0.05), suggesting that greater fat mass impedes dynamic mobility. This multimodal integration of dynamic movement patterns and static physiological metrics may enhance health monitoring comprehensiveness, particularly for early sarcopenia risk detection. The findings demonstrate the framework’s potential, indicating mean directional shift as a valuable dynamic health indicator. Full article
(This article belongs to the Collection Sensors for Gait, Human Movement Analysis, and Health Monitoring)
Show Figures

Figure 1

21 pages, 952 KB  
Article
Integrating Advanced Radiological Imaging to Enhance Sex Estimation Beyond Classical Anthropological Methods: Population-Specific Models Based on Paranasal Sinuses Volume and Craniometric Data
by Riccardo Solazzo, Andrea Palamenghi, Debora Mazzarelli, Michaela Cellina, Chiarella Sforza, Cristina Cattaneo, Daniele Gibelli and Annalisa Cappella
Appl. Sci. 2025, 15(18), 10232; https://doi.org/10.3390/app151810232 - 19 Sep 2025
Viewed by 239
Abstract
Sex estimation is a cornerstone of biological profiling in forensic anthropology. However, in cases involving badly decomposed, burnt, or fragmented remains, traditional assessments may be unfeasible, requiring alternative approaches, such as radiological and medical imaging. The cranium is a valuable indicator of sex, [...] Read more.
Sex estimation is a cornerstone of biological profiling in forensic anthropology. However, in cases involving badly decomposed, burnt, or fragmented remains, traditional assessments may be unfeasible, requiring alternative approaches, such as radiological and medical imaging. The cranium is a valuable indicator of sex, yet its dimorphic traits may be fragmented or altered, hindering interpretation. In such scenarios, radiological techniques targeting protected cranial structures—such as the paranasal sinuses—offer a promising alternative. Although these sinuses exhibit sexual dimorphism, their full potential for sex estimation remains partially underexplored. This study aimed to develop a logistic regression model for sex estimation in a contemporary Italian population based on volumetric measurements of the frontal, maxillary, and sphenoid sinuses, combined with selected cranial linear dimensions (biorbital breadth, upper facial height, and nasal spine length). CT scans from 222 individuals were analyzed. Volumetric measurements were obtained from 3D sinus models individually segmented from the CT scans, while linear cranial dimensions were measured on volume-rendered 3D skull reconstructions. Two predictive models were developed on a training subset and subsequently validated on an independent validation subset, both achieving an overall accuracy of approximately 80% in both phases. The most predictive variables were the volumes of the right frontal and maxillary sinuses, upper facial height, and nasal spine length, which showed the most significant sexual dimorphism. These findings are consistent with the literature on sexual dimorphism of paranasal sinuses and reflect the anatomical variability of structures like the sphenoid sinus. This study demonstrates that volumetric assessment of paranasal sinuses combined with selected cranial dimensions can provide more reliable sex estimation in forensic contexts. The integration of radiological imaging with statistical modelling offers a practical framework for situations where conventional skeletal analysis is compromised, reinforcing the role of advanced radiology in expanding the methodological toolkit of forensic anthropology. Full article
(This article belongs to the Special Issue Advances in Diagnostic Radiology)
Show Figures

Figure 1

13 pages, 1269 KB  
Article
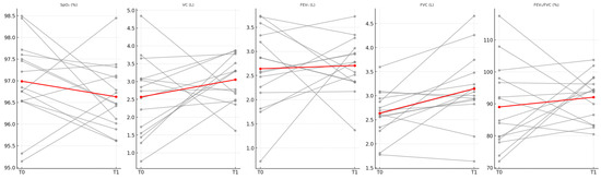
Effects of Rapid Maxillary Expansion on Pulmonary Function in Adolescents: A Spirometric Evaluation
by Yasin Akbulut, Rıdvan Oksayan, Oral Sokucu, Nurettin Eren Isman and Tuncer Demir
Appl. Sci. 2025, 15(18), 10189; https://doi.org/10.3390/app151810189 - 18 Sep 2025
Viewed by 217
Abstract
Objectives: Rapid maxillary expansion (RME) is widely used in orthodontics to correct transverse maxillary deficiencies. Beyond its skeletal and dental effects, RME may influence upper airway dimensions and respiratory function, particularly in growing individuals. This study aimed to evaluate the impact of RME [...] Read more.
Objectives: Rapid maxillary expansion (RME) is widely used in orthodontics to correct transverse maxillary deficiencies. Beyond its skeletal and dental effects, RME may influence upper airway dimensions and respiratory function, particularly in growing individuals. This study aimed to evaluate the impact of RME on pulmonary function in adolescents using spirometric measurements. Materials and Methods: Fifteen adolescent patients (8 females, 7 males; mean age: 13.93 ± 2.89 years) diagnosed with maxillary transverse constriction underwent orthodontic treatment with acrylic-bonded RME appliances over a mean duration of 3.56 ± 0.67 months. Respiratory function was assessed via spirometry at baseline (T0) and one day after appliance removal (T1). Parameters recorded included peripheral oxygen saturation (SpO2), forced expiratory volume in one second (FEV1), forced vital capacity (FVC), FEV1/FVC ratio, and vital capacity (VC). Data were analyzed using the paired-samples t-test (for normally distributed variables) or the Wilcoxon signed-rank test (for non-normal distributions), with statistical significance set at p < 0.05. Results: Following RME treatment, all respiratory parameters showed a consistent upward trend but did not reach statistical significance. SpO2 increased from 96.98 ± 0.96% to 97.01 ± 0.98% (p = 0.925). VC rose from 2.86 ± 1.07 L to 3.03 ± 0.80 L (p = 0.626). The FEV1/FVC ratio improved from 90.88 ± 12.17% to 92.34 ± 7.37% (p = 0.742). Mean FEV1 increased from 2.61 ± 0.72 L to 2.72 ± 0.68 L (p = 0.518), while FVC rose from 2.87 ± 0.75 L to 2.96 ± 0.69 L (p = 0.547). No adverse effects were reported during the treatment period. Conclusions: This study identified a non-significant but consistent trend toward improved pulmonary function following RME in adolescents. These preliminary findings should be considered hypothesis-generating rather than confirmatory evidence, as none of the outcomes reached statistical significance. While the observed upward trends in oxygen saturation, lung volumes, and expiratory performance suggest potential respiratory benefits, larger-scale, controlled, and long-term studies incorporating both spirometric and anatomical airway assessments are needed to validate these observations. Full article
(This article belongs to the Section Applied Dentistry and Oral Sciences)
Show Figures

Figure 1

Back to TopTop