Sign in to use this feature.

Years

Between: -

Subjects

remove_circle_outline
remove_circle_outline
remove_circle_outline
remove_circle_outline
remove_circle_outline
remove_circle_outline
remove_circle_outline
remove_circle_outline
remove_circle_outline

Journals

remove_circle_outline
remove_circle_outline
remove_circle_outline
remove_circle_outline
remove_circle_outline
remove_circle_outline
remove_circle_outline
remove_circle_outline

Article Types

Countries / Regions

Search Results (175)

Search Parameters:
Keywords = sinusoidal stress

Order results
Result details
Results per page
Select all
Export citation of selected articles as:
19 pages, 5275 KB  
Article
Prediction of Micro-Milling-Induced Residual Stress and Deformation in Titanium Alloy Thin-Walled Components and Multi-Objective Collaborative Optimization
by Jie Yi, Rui Wang, Dengyun Du, Dong Han, Xinyao Wang and Junfeng Xiang
Materials 2026, 19(2), 219; https://doi.org/10.3390/ma19020219 - 6 Jan 2026
Viewed by 255
Abstract
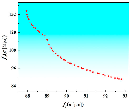
The intrinsically low stiffness of titanium alloy thin-walled components causes residual stresses to readily accumulate during high-speed micro-milling, leading to deformation and hindering machining precision. To clarify the residual-stress formation mechanism and enable deformation control, this study first proposes a surface residual stress [...] Read more.
The intrinsically low stiffness of titanium alloy thin-walled components causes residual stresses to readily accumulate during high-speed micro-milling, leading to deformation and hindering machining precision. To clarify the residual-stress formation mechanism and enable deformation control, this study first proposes a surface residual stress characterization model based on an exponentially decaying sinusoidal function, with model parameters efficiently identified via an improved particle swarm optimization algorithm, allowing rapid characterization of stress distributions under different process conditions. A response surface model constructed using a central composite design is then employed to reveal the coupled effects of machining parameters on residual stress and top-surface deformation. On this basis, a GA-BP neural network–based prediction framework is developed to improve the accuracy of residual stress and deformation prediction, while the AGE-MOEA2 multi-objective evolutionary algorithm is used to optimize micro-milling parameters for the simultaneous minimization of residual stress and deformation via Pareto-optimal solutions. Validation experiments on thin-wall micro-milling confirm that the optimized parameters significantly reduce peak residual stress and suppress top-surface deformation. The proposed modeling and optimization strategy provides an effective reference for high-precision machining of titanium alloy thin-walled components. Full article
Show Figures

Figure 1

14 pages, 2698 KB  
Article
Alleviation of Aflatoxin B1-Induced Hepatic Damage by Propolis: Effects on Inflammation, Apoptosis, and Cytochrome P450 Enzyme Expression
by Sevtap Kabalı, Neslihan Öner, Ayca Kara, Mehtap Ünlü Söğüt and Zehra Elgün
Curr. Issues Mol. Biol. 2026, 48(1), 56; https://doi.org/10.3390/cimb48010056 - 1 Jan 2026
Viewed by 235
Abstract
AflatoxinB1 (AFB1) is a hepatotoxic mycotoxin whose bioactivation by cytochrome P450 (CYP450) enzymes generates reactive metabolites that drive oxidative stress, inflammation, and apoptosis. Propolis is a bee-derived product with antioxidant and immunomodulatory properties. To investigate whether propolis supplementation attenuates AFB1-induced hepatic injury [...] Read more.
AflatoxinB1 (AFB1) is a hepatotoxic mycotoxin whose bioactivation by cytochrome P450 (CYP450) enzymes generates reactive metabolites that drive oxidative stress, inflammation, and apoptosis. Propolis is a bee-derived product with antioxidant and immunomodulatory properties. To investigate whether propolis supplementation attenuates AFB1-induced hepatic injury by modulating inflammatory mediators, Nrf2–HO-1 signaling, mitochondrial apoptosis, and CYP450 expression in rats, twenty-four male Sprague-Dawley rats were randomly allocated to four groups (n = 6): control, AFB1 (25 µg/kg/day), propolis (250 mg/kg/day), and AFB1 + propolis. Treatments were given by oral gavage for 28 days. Hepatic IL-1β, IL-6, TNF-α, Nrf2 and HO-1 levels were measured by ELISA. Histopathology was assessed on H&E-stained sections. Bax, Bcl-2, caspase-3, CYP1A2, CYP3A4, CYP2C19 and cytochrome P450 reductase expressions were evaluated immunohistochemically and quantified by ImageJ. Data were analyzed using one-way ANOVA with Tukey’s post hoc test. AFB1 significantly increased hepatic IL-1β and IL-6 and reduced Nrf2 levels, while propolis supplementation restored Nrf2, elevated HO-1 and significantly lowered IL-6 compared with AFB1 alone (p < 0.05). AFB1 induced marked hydropic degeneration, sinusoidal congestion, and mononuclear infiltration, alongside increased Bax and caspase-3 and decreased Bcl-2 expression; these changes were largely reversed in propolis-treated groups. AFB1 upregulated CYP1A2, CYP3A4 and cytochrome P450 reductase, whereas propolis co-treatment significantly suppressed their expression without affecting CYP2C19. Propolis supplementation attenuated AFB1-induced liver injury through coordinated anti-inflammatory, antioxidant, anti-apoptotic and metabolic regulatory effects, notably via restoration of Nrf2–HO-1 signaling and down-regulation of key CYP450 isoenzymes. Propolis may represent a promising natural dietary strategy against AFB1-associated hepatotoxicity, warranting further translational research. Full article
(This article belongs to the Section Molecular Pharmacology)
Show Figures

Figure 1

22 pages, 4989 KB  
Article
Immune-Modulatory Mechanism of Compound Yeast Culture in the Liver of Weaned Lambs
by Chenlu Li, Hui Bai, Pengxiang Bai, Chenxue Zhang, Yuan Wang, Dacheng Liu and Hui Chen
Animals 2026, 16(1), 104; https://doi.org/10.3390/ani16010104 - 30 Dec 2025
Viewed by 187
Abstract
Compound yeast culture (CYC) is known to enhance animal health, but its effects on hepatic immune function are unclear. This study systematically examined CYC’s regulatory effects on the liver of weaned lambs using transcriptomics and integrative bioinformatics. Ten lambs were randomly assigned to [...] Read more.
Compound yeast culture (CYC) is known to enhance animal health, but its effects on hepatic immune function are unclear. This study systematically examined CYC’s regulatory effects on the liver of weaned lambs using transcriptomics and integrative bioinformatics. Ten lambs were randomly assigned to a control diet or a basal diet supplemented with 30 g/d per head of Saccharomyces cerevisiae and Kluyveromyces marxianus co-culture (CYC group) for 42 days. Histological analysis showed that CYC improved hepatocyte arrangement and sinusoidal integrity, suggesting enhanced hepatic tissue stability. Cytokine analysis revealed CYC significantly increased IL-6 and IL-1β while reducing IL-10, TGF-β1, TNF-α, and CXCL9, indicating a bidirectional modulation of the immune response. Additionally, CYC enhanced antioxidant defenses by increasing T-SOD, GSH-Px, and T-AOC activities and decreasing MDA content. Transcriptomic sequencing indicated that CYC reshaped hepatic gene expression. Upregulated genes were enriched in immune-regulatory and structural pathways, including PI3K-AKT signaling, ECM–receptor interactions, Toll-like receptor pathways, and cell adhesion molecules. Protein-level validation further confirmed activation of PI3K and AKTAKT phosphorylation with limited engagement of NF-κB signaling. Conversely, downregulated genes were mainly associated with oxidative stress and energy metabolism, such as ROS-related pathways and MAPK signaling. WGCNA identified key hub genes (PTPRC, CD86, and ITGAV), which correlate with pro-inflammatory factors and participate in immune recognition, T-cell activation, and cell adhesion. These data suggest that CYC promotes hepatic immune homeostasis by enhancing immune signaling, stabilizing tissue architecture, and modulating oxidative stress/metabolic processes. This study provides mechanistic insights into CYC’s regulation of liver immune function and supports its targeted application as a functional feed additive for ruminants. Full article
Show Figures

Figure 1

20 pages, 4317 KB  
Article
Performance Study of a Piezoelectric Energy Harvester Based on Rotating Wheel Vibration
by Rui Wang, Zhouman Jiang, Xiang Li, Xiaochao Tian, Xia Liu and Bo Jiang
Micromachines 2026, 17(1), 6; https://doi.org/10.3390/mi17010006 - 20 Dec 2025
Viewed by 328
Abstract
To address the issue of low efficiency in recovering low-frequency vibration energy during vehicle operation, this paper proposes a piezoelectric energy capture harvester based on wheel vibration. The device employs a parallel configuration of dual cantilever beam piezoelectric transducers in its mechanical structure, [...] Read more.
To address the issue of low efficiency in recovering low-frequency vibration energy during vehicle operation, this paper proposes a piezoelectric energy capture harvester based on wheel vibration. The device employs a parallel configuration of dual cantilever beam piezoelectric transducers in its mechanical structure, with additional mass blocks to optimize its resonant characteristics in the low-frequency range. A synchronous switch energy harvesting circuit was designed. By actively synchronizing the switch with the peak output voltage of the piezoelectric element, it effectively circumvents the turn-on voltage threshold limitations of diodes in bridge rectifier circuits, thereby enhancing energy conversion efficiency. A dynamic model of this device was established, and multiphysics simulation analysis was conducted using COMSOL-Multiphysics to investigate the modal characteristics, stress distribution, and output performance of the energy harvester. This revealed the influence of the piezoelectric vibrator’s thickness ratio and the mass block’s weight on its power generation capabilities. Experimental results indicate that under 20 Hz, 12 V sinusoidal excitation, the system achieves an average output power of 3.019 mW with an average open-circuit voltage reaching 16.70 V. Under simulated road test conditions at 70 km/h, the output voltage remained stable at 6.86 V, validating its feasibility in real-world applications. This study presents an efficient and reliable solution for self-powering in-vehicle wireless sensors and low-power electronic devices through mechatronic co-design. Full article
(This article belongs to the Special Issue Self-Powered Sensors: Design, Applications and Challenges)
Show Figures

Figure 1

24 pages, 13336 KB  
Article
Real-Time Zero-Sequence-Voltage Estimation and Fault-Tolerant Control for an Open-Winding Five-Phase Fault-Tolerant Fractional-Slot Concentrated-Winding IPM Motor Under Inter-Turn Short-Circuit Fault
by Ronghua Cui, Qingpeng Ji, Shitao Zhang and Huaxin Li
Sensors 2025, 25(24), 7655; https://doi.org/10.3390/s25247655 - 17 Dec 2025
Viewed by 404
Abstract
Inter-turn short-circuit (ITSC) faults in motor drives can induce substantial circulating currents and localized thermal stress, ultimately degrading winding insulation and compromising torque stability. To enhance the operational reliability of open-winding (OW) five-phase fault-tolerant fractional-slot concentrated-winding interior permanent-magnet (FTFSCW-IPM) motor drive systems, this [...] Read more.
Inter-turn short-circuit (ITSC) faults in motor drives can induce substantial circulating currents and localized thermal stress, ultimately degrading winding insulation and compromising torque stability. To enhance the operational reliability of open-winding (OW) five-phase fault-tolerant fractional-slot concentrated-winding interior permanent-magnet (FTFSCW-IPM) motor drive systems, this paper proposes a real-time fault-tolerant control strategy that provides current suppression and torque stabilization under ITSC conditions. Upon fault detection, the affected phase is actively isolated and connected to an external dissipative resistor, thereby limiting the fault-phase current and inhibiting further propagation of insulation damage. This reconfiguration allows the drive system to uniformly accommodate both open-circuit (OC) and ITSC scenarios without modification of the underlying control architecture. For OC operation, an equal-amplitude modulation scheme based on carrier-based pulse-width modulation (CPWM) is formulated to preserve the required magnetomotive-force distribution. Under ITSC conditions, a feedforward compensation mechanism is introduced to counteract the disturbance generated by the short-circuit loop. A principal contribution of this work is the derivation of a compensation term that can be estimated online using zero-sequence voltage (ZSV) together with measured phase currents, enabling accurate adaptation across varying ITSC severities. Simulation and experimental results demonstrate that the proposed method effectively suppresses fault-phase current, maintains near-sinusoidal current waveforms in the remaining healthy phases, and stabilizes torque production over a wide range of fault and load conditions. Full article
(This article belongs to the Section Fault Diagnosis & Sensors)
Show Figures

Figure 1

26 pages, 5203 KB  
Article
Failure Mechanisms and Changes in Load-Bearing Capacity of Sinusoidal Corrugated Girders Under Fatigue and Static Loading
by Krzysztof Śledziewski and Marcin Górecki
Materials 2025, 18(24), 5614; https://doi.org/10.3390/ma18245614 - 14 Dec 2025
Viewed by 282
Abstract
Steel girders with corrugated webs are increasingly used in bridge and building structures subjected to cyclic variable loads, where the geometry of the corrugation plays an important role in fatigue performance. This paper investigates the fatigue behaviour and failure mechanisms of full-scale steel [...] Read more.
Steel girders with corrugated webs are increasingly used in bridge and building structures subjected to cyclic variable loads, where the geometry of the corrugation plays an important role in fatigue performance. This paper investigates the fatigue behaviour and failure mechanisms of full-scale steel girders with sinusoidal corrugated webs subjected to static and cyclic four-point bending. Five simply supported girders were tested: one reference beam under monotonic static loading, two beams under long-term cyclic loading with different load ranges ΔF and numbers of cycles N, and two beams subjected to cyclic loading followed by a static test to failure. The experimental programme focused on the influence of the load range ΔF and the number of cycles N on damage development, stiffness degradation and residual load-bearing capacity, as well as on the interaction between local web instability and global lateral–torsional buckling. The test results show that two main failure mechanisms may occur: (I) local buckling of the corrugated web combined with yielding of the flanges, and (II) a combined mechanism involving local web buckling and lateral–torsional buckling of the girder. For the investigated configurations and within the range of load ranges and numbers of cycles considered, the load range ΔF was found to be the dominant parameter governing fatigue damage, whereas the number of cycles had a secondary influence. The global stiffness of the girders in the elastic range remained almost unchanged until the late stages of loading, and even after pre-fatigue loading, the girders were able to carry a significant portion of their original ultimate load. The results provide experimental data and insight that are relevant for the fatigue assessment and design of steel girders with sinusoidal corrugated webs in bridge and building applications. Full article
(This article belongs to the Section Construction and Building Materials)
Show Figures

Figure 1

19 pages, 866 KB  
Article
Development and Validation of a Circumplex-Based Affective-State Scale for First-Year Engineering Students
by Gibin Mannathikulathil Raju, Cedrick A. K. Kwuimy and Youn Seon Lim
Educ. Sci. 2025, 15(12), 1605; https://doi.org/10.3390/educsci15121605 - 27 Nov 2025
Viewed by 794
Abstract
Despite growing awareness of the emotional challenges faced by engineering students and their impact on academic performance and retention, the field lacks validated tools to systematically assess affective states in theoretically grounded ways. First-year students are particularly vulnerable during the transition to university-level [...] Read more.
Despite growing awareness of the emotional challenges faced by engineering students and their impact on academic performance and retention, the field lacks validated tools to systematically assess affective states in theoretically grounded ways. First-year students are particularly vulnerable during the transition to university-level engineering education, experiencing stress, anxiety, and disengagement that contribute to attrition. This study aimed to develop and validate a psychometrically sound scale based on Russell’s Circumplex Model of Affect to assess first-year engineering students’ emotional experiences and provide educators with a theoretically grounded assessment instrument. A 12-item circumplex-based affective-state scale was administered to 176 first-year engineering students. Validation combined exploratory factor analysis on raw and ipsatized data, Procrustes alignment to check how closely the items formed a circle, and structural summary modeling to test circumplex geometry. Internal consistency was assessed using Cronbach’s α and McDonald’s ω. Exploratory factor analysis confirmed a robust two-dimensional Valence × Arousal structure explaining 51% of total variance. Procrustes rotation yielded excellent item-level congruence coefficients (0.929–1.000), while Structural Summary Modeling revealed strong sinusoidal patterns (R2 = 0.94), indicating a near-circular configuration consistent with circumplex theory. Internal consistency was high across both dimensions (Cronbach’s α ≥ 0.76; McDonald’s ω ≥ 0.84). The validated scale provides a reliable, theoretically coherent instrument for assessing engineering student emotions along pleasant–unpleasant and activation–deactivation dimensions, enabling systematic emotional assessment and targeted interventions while addressing critical gaps in affective assessment tools. Full article
Show Figures

Figure 1

15 pages, 3646 KB  
Article
Study on Hepatotoxicity of Benzophenone-3 at Environmental Concentration in Postpartum Mice
by Huai-Fan Zhai, Ya-Nan Tian, Yu-Xin Sheng, Ya-Jia Pu, Yan-Rong Gao, Jia-Yi Chen, Jia-Di Liu, Jia Ma, Hai-Ming Xu, Peng-Bin Yang and Hong-Mei Li
Toxics 2025, 13(12), 1014; https://doi.org/10.3390/toxics13121014 - 22 Nov 2025
Viewed by 674
Abstract
Benzophenone-3 (BP-3), a widely used ultraviolet absorber in various scenarios, exhibits estrogenic toxicity at environmental concentrations—as demonstrated in our prior work. Given the importance of hepatic metabolism and the limitations of previous hepatotoxicity research (high-dose models, lack of mammalian data, etc.), we evaluated [...] Read more.
Benzophenone-3 (BP-3), a widely used ultraviolet absorber in various scenarios, exhibits estrogenic toxicity at environmental concentrations—as demonstrated in our prior work. Given the importance of hepatic metabolism and the limitations of previous hepatotoxicity research (high-dose models, lack of mammalian data, etc.), we evaluated BP-3’s hepatic effects on postpartum mice at environmentally relevant levels. Postpartum mice were exposed to BP-3 via drinking water from postpartum day 1 (PPD1) to PPD35. Groups solvent control (0.001% DMSO), 10–1000 nM BP-3, and diethylstilbestrol (DES) were established. Basic growth performance, histopathological changes, and a range of molecular indicators were assessed. The results showed that BP-3 exposure induced dose-dependent increases in liver weight, histopathological alterations (sinusoidal dilation, hepatocyte edema, and necrosis), and significant upregulation of oxidative stress markers (Ros, Mda), chemokines (Ccl27a/b), and inflammatory factors (Tnf-α, Il-6, Nf-κb) at the mRNA level (all p < 0.05). Conversely, levels of antioxidant enzymes (Cat, Sod1/2) and anti-inflammatory factor Ho-1 were markedly decreased (p < 0.05). A clear dose-effect relationship was confirmed using the Integrated Biomarker Response (IBR) framework. This pioneering study establishes the hepatotoxicity of environmentally relevant BP-3 levels in mammals and offers methodological insights for endocrine disruptor assessment. Full article
Show Figures

Graphical abstract

27 pages, 1691 KB  
Article
Advanced Dynamic Responses of Thick FGM Spherical Shells Analyzed Using TSDT Under Thermal Vibration
by Chih-Chiang Hong
Computation 2025, 13(10), 245; https://doi.org/10.3390/computation13100245 - 20 Oct 2025
Viewed by 377
Abstract
The effect of third-order shear deformation theory (TSDT) on thick functionally graded material (FGM) spherical shells under sinusoidal thermal vibration is investigated by using the generalized differential quadrature (GDQ) numerical method. The TSDT displacement field and an advanced nonlinear shear correction coefficient are [...] Read more.
The effect of third-order shear deformation theory (TSDT) on thick functionally graded material (FGM) spherical shells under sinusoidal thermal vibration is investigated by using the generalized differential quadrature (GDQ) numerical method. The TSDT displacement field and an advanced nonlinear shear correction coefficient are used to derive the equations of motion for FGM spherical shells. The simple stiffness of FGM spherical shells under a temperature difference along the linear vs. z-axis direction is considered in the heat conduction equation. The dynamic GDQ discrete equations of motion subjected to thermal load and inertia terms can be expressed in matrix form. A parametric study of environmental temperature, FGM power-law index, and advanced nonlinear shear correction on thermal stress and displacement is conducted under the vibration frequency of a simply homogeneous equation and applied heat flux frequency. This is a novel method for obtaining the numerical GDQ results, comparing cases with linear and advanced nonlinear shear correction. The novelty of the present work is that an advanced varied-value type of shear correction coefficient can be successfully used in the thick-walled structure of FGM spherical shells subject to thermal vibration while considering the nonlinear term of TSDT displacements. The purpose of the present work is to investigate the numerical thermal vibration data for a two-material thick FGM spherical shell. Full article
(This article belongs to the Section Computational Engineering)
Show Figures

Graphical abstract

29 pages, 15083 KB  
Article
Pseudo-Static Design and Analysis of Seismic Earth Pressure for Cantilever Retaining Walls with Limitation Assessment
by Zhiliang Sun, Wei Wang and Hanghang Liu
Designs 2025, 9(5), 114; https://doi.org/10.3390/designs9050114 - 24 Sep 2025
Cited by 1 | Viewed by 2187
Abstract
By critically reviewing pseudo-static methods, it is demonstrated that approximating the earth pressure on a short heel’s vertical face (V-plane) using the Rankine solution for long-heel walls induces a negligible error. A finite element analysis is deployed to validate the pseudo-static [...] Read more.
By critically reviewing pseudo-static methods, it is demonstrated that approximating the earth pressure on a short heel’s vertical face (V-plane) using the Rankine solution for long-heel walls induces a negligible error. A finite element analysis is deployed to validate the pseudo-static results, with dynamic simulations incorporating 1–5 Hz sinusoidal seismic excitations to probe the resonance effects. The key results show that disregarding the impact of layered backfill placement on the initial stress states leads to non-conservative estimates of active earth pressure. Furthermore, the point of application of earth pressure rises significantly during strong shaking, and although the transient safety factors against sliding and overturning may fall below 1.0 during seismic events, the residual deformation analysis suggests that this does not necessarily lead to collapse. A significant amplification of bending moments and greater reductions in post-earthquake safety factors occur when the input frequency approaches the natural frequency of a wall. Finally, the paper proposes resonance prevention strategies for the seismic design of cantilever retaining walls, a methodology incorporating construction effects into the initial stress field modeling, and recommendations for selecting effective safety factors. Full article
(This article belongs to the Section Civil Engineering Design)
Show Figures

Figure 1

17 pages, 10054 KB  
Article
A Dose-Dependent Study Examining Dexmedetomidine’s Possible Effects Against Oxidative, Fibrotic, and Apoptotic Damage Induced by Radiation Exposure in Spleen Tissue
by Hatice Beyazal Polat, Hamit Yılmaz, Kagan Kilinc, Belemir Gülhan, Sema Yılmaz Rakıcı and Levent Tümkaya
Life 2025, 15(9), 1430; https://doi.org/10.3390/life15091430 - 12 Sep 2025
Cited by 2 | Viewed by 882
Abstract
Objective: This study aimed to investigate the potential splenic tissue damage induced by radiotherapy (RT) and the potential protective effect of different doses of dexmedetomidine on this damage at the histopathological, immunohistochemical, and biochemical levels. Materials and Methods: In our study, Sprague Dawley [...] Read more.
Objective: This study aimed to investigate the potential splenic tissue damage induced by radiotherapy (RT) and the potential protective effect of different doses of dexmedetomidine on this damage at the histopathological, immunohistochemical, and biochemical levels. Materials and Methods: In our study, Sprague Dawley rats were randomly divided into four groups: Control, Radiotherapy (RT; 8 Gy), RT + Dexmedetomidine 100 µg/kg (RT-D100), and RT + Dexmedetomidine 200 µg/kg (RT-D200). A single dose of 8 Gy radiotherapy was administered to each RT group. Spleen tissues were examined histologically with hematoxylin-eosin and immunohistochemically with anti-Caspase-3, anti-TGF-β1, and anti-TGF-β3 using light microscopy. TBARS and total thiol levels were also analyzed to assess oxidative stress and antioxidant capacity. Results: Histopathological results showed a significant decrease in white pulp diameter, decreased cellular density, and increased congestion in the red pulp in the RT group. Significant fibrosis, sinusoidal dilatation, vacuolization, and amyloid deposition were detected in the white pulp in the RT group. Regarding anti-caspase-3 immunoreactivity, strong positivity increased in the red pulp in the RT group, while a significant increase was observed in the white pulp in both the RT-D100 and RT groups. While the proportion of TGF-β1 immunopositive cells did not change significantly in the RT group, they increased significantly in both dexmedetomidine groups (especially RT-D200). TGF-β3 expression increased significantly only in the RT-D100 group. In biochemical analyses, TBARS levels increased significantly in the RT-D100 group. Total thiol levels decreased in the RT group and increased in the dexmedetomidine-treated groups. Conclusions: While RT caused histopathological damage and increased oxidative stress in spleen tissue, dexmedetomidine reduced this damage in a dose-dependent manner. The different immunohistochemical profiles of TGF-β1 and TGF-β3 suggest that these cytokines may have different functions in the spleen. 100 µg/kg dexmedetomidine stimulates a regenerative response through TGF-β3, while 200 µg/kg dexmedetomidine may provide immune regulation and antioxidative defense through TGF-β1. Full article
(This article belongs to the Section Cell Biology and Tissue Engineering)
Show Figures

Figure 1

15 pages, 2086 KB  
Article
New Insight into the Phenomenon of Buckling in Compressed Beams with Firm Support
by Mikel Goñi, Faustino N. Gimena and José-Vicente Valdenebro
Buildings 2025, 15(18), 3279; https://doi.org/10.3390/buildings15183279 - 11 Sep 2025
Viewed by 664
Abstract
This work presents a new insight into the buckling phenomenon to approach the calculation of the compressed bar with the following firm supports: bi-pinned, bi-fixed, and fixed-pinned. Buckling is redefined as the result of second-order deformations in the real bar by gradually applying [...] Read more.
This work presents a new insight into the buckling phenomenon to approach the calculation of the compressed bar with the following firm supports: bi-pinned, bi-fixed, and fixed-pinned. Buckling is redefined as the result of second-order deformations in the real bar by gradually applying the compression load, thus dismissing Euler’s critical load. The analytical results are obtained from the differential equation of the directrix beam with sinusoidal deformation associated with each type of support. The bending moment is generated only by the compression load acting on the initial geometric imperfection. These analytical solutions are associated with first-order effects, applying the entire compressive load, and with second-order effects, applying the load gradually. The analytical solutions are continuous functions. In this paper, the Finite Transfer Method was applied to obtain numerical results. The bending moments, transverse displacements, and normal stresses are presented as the results. Beams with different initial imperfections in the directrix are studied: with sinusoidal deformation, with deformation produced by a specific transverse load, and with deformation produced by a uniform transverse load. The results obtained through the analytical expressions derived from the gradual application of the load are compared with those results obtained numerically when calculating the beam under second-order conditions. It is concluded that in structural practice, they are equivalent. Full article
(This article belongs to the Section Building Structures)
Show Figures

Figure 1

15 pages, 4334 KB  
Article
Transcriptome Analyses of Procambarus clarkii (Girard, 1852) Under Individual Exposures to CuSO4, Pendimethalin, and Glyphosate
by Yao Zheng, Jiajia Li, Zhuping Liu, Ning Wang and Gangchun Xu
Toxics 2025, 13(9), 765; https://doi.org/10.3390/toxics13090765 - 9 Sep 2025
Viewed by 877
Abstract
Pesticide usage in the integrated rice–crayfish system has aroused lots of attention all over the world. Especially in China, fish farmers often use copper sulfate and pendimethalin to remove moss from aquaculture water and glyphosate to remove weeds in and around crayfish–crab mixed [...] Read more.
Pesticide usage in the integrated rice–crayfish system has aroused lots of attention all over the world. Especially in China, fish farmers often use copper sulfate and pendimethalin to remove moss from aquaculture water and glyphosate to remove weeds in and around crayfish–crab mixed culture ponds. To explore the stress response mechanism of CuSO4, pendimethalin, and glyphosate to the hepatopancreas of Procambarus clarkii (Girard, 1852), seven treatment groups including control, CuSO4 (1 and 2 mg·L−1), pendimethalin (PND, 5 and 10 μg·L−1), and glyphosate (5 and 10 μg·L−1) experimental groups were set up; the transcriptome responses were detected at 4, 8, and 12 days, respectively. The irregular structure and vacuoles were shown in the hepatopancreas for 2 mg·L−1 CuSO4 and 10 μg·L−1 glyphosate exposures at 12 d, while narrowed hepatic sinusoids were revealed after 10 μg·L−1 pendimethalin exposure. The pathways of ribosome, lysosome, and peroxisome were significantly enriched for differential expression genes (DEGs); in addition, tyrosine metabolism, starch, and sucrose metabolism were enriched under the stress of the three inputs. Genes in related pathways such as glycerophospholipid metabolism, oxidative phosphorylation, and glycerolipid metabolism also changed, and the expression of genes associated with oxidative phosphorylation changed significantly under the stress of the three inputs. Oxidative stress, neurotoxicity, metabolism, and energy supply have been significantly affected by the above herbicide exposure. High concentrations and/or long-term duration exposure may result in metabolic disorders rather than eliminate toxicity through adaptability responses. Full article
(This article belongs to the Section Ecotoxicology)
Show Figures

Graphical abstract

27 pages, 8062 KB  
Article
Comparative Study of RANS Models for Simulating Turbulent Flow and Heat Transfer in Corrugated Pipes
by Ting-Ting Tang, Fang-Qiu Li, Guang-Yao Wang, Jun Yan and Zhao-Kuan Lu
Water 2025, 17(17), 2649; https://doi.org/10.3390/w17172649 - 8 Sep 2025
Cited by 2 | Viewed by 1490
Abstract
Corrugated pipes are extensively used in engineering applications that require flexibility and enhanced heat exchange, such as drainage and compact heat exchangers, and recently as inner layers in cryogenic flexible hoses for offshore liquid ship-to-ship transfer. The great flexibility of these hoses makes [...] Read more.
Corrugated pipes are extensively used in engineering applications that require flexibility and enhanced heat exchange, such as drainage and compact heat exchangers, and recently as inner layers in cryogenic flexible hoses for offshore liquid ship-to-ship transfer. The great flexibility of these hoses makes them well-suited for deployment in dynamic and harsh marine environments. However, the corrugated geometry also induces flow separation, elevated turbulence, and intricate heat transfer behaviors. This study focuses on the flow and heat transfer characteristics in corrugated pipes with various geometries, addressing the current lack of systematic comparative studies on the performance of different Reynolds-Averaged Navier–Stokes (RANS) models in such configurations. Despite their limitations in accuracy compared to high-fidelity methods, RANS models remain the workhorse for engineering analysis due to their computational efficiency. This study employs several RANS models to simulate flow and heat transfer in three corrugated pipe geometries—sinusoidal (Sin), C-type, and U-type—over a Reynolds number range of O(104) to O(105) and assesses their performance against high-fidelity Large Eddy Simulation benchmarks. The results show that prediction accuracy decreases with increasing corrugation depth, with the most significant errors in trough regions where reverse flow dominates, and that the choice of turbulence model has a strong influence on the predicted flow and heat transfer behavior. Among all models, the kϵ models overall provide the most consistent and accurate predictions for friction factor, velocity distribution, and Nusselt number, while the kω models perform the worst. The Reynolds Stress Model improves friction factor prediction accuracy at high Reynolds numbers and provides marginally better accuracy in mean Nusselt number prediction, but its advantages are limited relative to its substantially higher computational cost. The Standard kϵ model with Enhanced Wall Treatment demonstrates robust and balanced performance across geometries and flow regimes, making it a practical choice for engineering use. This work provides engineers and researchers guidance for choosing RANS models that balance accuracy and computational efficiency in simulations of LNG ship-to-ship transfer, compact heat exchangers, and other industrial systems that employ corrugated pipes. Full article
(This article belongs to the Special Issue Ship and Ocean Engineering)
Show Figures

Figure 1

30 pages, 7066 KB  
Article
Development and Analysis of a Fast-Charge EV-Charging Station Model for Power Quality Assessment in Distribution Systems
by Pathomthat Chiradeja, Suntiti Yoomak, Panu Srisuksai, Jittiphong Klomjit, Atthapol Ngaopitakkul and Santipont Ananwattanaporn
Appl. Sci. 2025, 15(17), 9645; https://doi.org/10.3390/app15179645 - 2 Sep 2025
Viewed by 1712
Abstract
With the rapid rise in electric vehicle (EV) adoption, the deployment of EV charging infrastructure—particularly fast-charging stations—has expanded significantly to meet growing energy demands. While fast charging offers the advantage of reduced charging time and improved user convenience, it imposes considerable stress on [...] Read more.
With the rapid rise in electric vehicle (EV) adoption, the deployment of EV charging infrastructure—particularly fast-charging stations—has expanded significantly to meet growing energy demands. While fast charging offers the advantage of reduced charging time and improved user convenience, it imposes considerable stress on existing power distribution systems due to its high power and current requirements. This study investigated the impact of EV fast charging on power quality within Thailand’s distribution network, emphasizing compliance with accepted standards such as IEEE Std 519-2014. We developed a control-oriented EV-charging station model in power systems computer-aided design and electromagnetic transients, including DC (PSCAD/EMTDC), which integrates grid-side vector control with DC fast-charging (CC/CV) behavior. Active/reactive power setpoints were mapped onto dq current references via Park’s transformation and regulated by proportional integral (PI) controllers with sinusoidal pulse-width modulation (SPWM) to command the voltage source converter (VSC) switches. The model enabled dynamic studies across battery state-of-charge and staggered charging schedules while monitoring voltage, current, and total harmonic distortion (THD) at both transformer sides, charger AC terminals, and DC adapters. Across all scenarios, the developed control achieved grid-current THDi of <5% and voltage THD of <1.5%, thereby meeting IEEE 519-2014 limits. These quantitative results show that the proposed, implementation-ready approach maintains acceptable power quality under diverse fast-charging patterns and provides actionable guidance for planning and scaling EV fast-charging infrastructure in Thailand’s urban networks. Full article
(This article belongs to the Topic Innovation, Communication and Engineering)
Show Figures

Figure 1

Back to TopTop