Next Article in Journal
Advancing Clean Solar Energy: System-Level Optimization of a Fresnel Lens Interface for UHCPV Systems
Previous Article in Journal
Design, Construction, and Simulation-Based Validation of a High-Efficiency Electric Powertrain for a Shell Eco-Marathon Urban Concept Vehicle
 
 
Font Type:
Arial Georgia Verdana
Font Size:
Aa Aa Aa
Line Spacing:
Column Width:
Background:
Article

Pseudo-Static Design and Analysis of Seismic Earth Pressure for Cantilever Retaining Walls with Limitation Assessment

1
Anhui Provincial Key Laboratory of Building Earthquake Disaster Mitigation and Green Operations, Anhui Institute of Building Research & Design, Hefei 230031, China
2
State Key Laboratory of Geomechanics and Geotechnical Engineering Safety, Institute of Rock and Soil Mechanics, Chinese Academy of Sciences, Wuhan 430071, China
*
Authors to whom correspondence should be addressed.
Designs 2025, 9(5), 114; https://doi.org/10.3390/designs9050114
Submission received: 7 August 2025 / Revised: 16 September 2025 / Accepted: 22 September 2025 / Published: 24 September 2025
(This article belongs to the Section Civil Engineering Design)

Abstract

By critically reviewing pseudo-static methods, it is demonstrated that approximating the earth pressure on a short heel’s vertical face (V-plane) using the Rankine solution for long-heel walls induces a negligible error. A finite element analysis is deployed to validate the pseudo-static results, with dynamic simulations incorporating 1–5 Hz sinusoidal seismic excitations to probe the resonance effects. The key results show that disregarding the impact of layered backfill placement on the initial stress states leads to non-conservative estimates of active earth pressure. Furthermore, the point of application of earth pressure rises significantly during strong shaking, and although the transient safety factors against sliding and overturning may fall below 1.0 during seismic events, the residual deformation analysis suggests that this does not necessarily lead to collapse. A significant amplification of bending moments and greater reductions in post-earthquake safety factors occur when the input frequency approaches the natural frequency of a wall. Finally, the paper proposes resonance prevention strategies for the seismic design of cantilever retaining walls, a methodology incorporating construction effects into the initial stress field modeling, and recommendations for selecting effective safety factors.

1. Introduction

Retaining walls are structures that support backfill soil or natural slopes, preventing deformation and instability. They are widely used in engineering practice [1,2,3,4,5]. The selection of wall type depends on a project’s requirements, soil conditions, material availability, and construction techniques. Cantilever retaining walls, typically constructed of reinforced concrete, feature an inverted T-shape comprising a vertical stem, toe slab, and heel slab. The backfill weight on the heel slab enhances stability, while the toe slab extends the anti-overturning lever arm. Their stability primarily relies on the soil mass above the heel, with the reinforcement designed to resist the bending and shear forces. This enables lightweight construction with smaller cross-sections, making such walls suitable for heights of 5–10 m, poor foundation soils, or scarce local rock resources. Their simple geometry facilitates their cost-effective fabrication and rapid construction. In urban railways, cantilever walls are often employed as shoulder-retaining structures to minimize land use.
As lightweight supporting structures, cantilever walls exhibit favorable seismic performance [6,7]. However, their dynamic response involves complex interactions between the seismic input, backfill behavior, and structural vibration, directly impacting the engineering safety. The accurate determination of dynamic earth pressure (seismic earth pressure)—the critical load for seismic design—remains a key challenge [8,9,10].
The pseudo-static method is the most widely adopted approach for seismic earth pressure calculation. The Mononobe–Okabe (M-O) theory [11,12], an extension of Coulomb’s earth pressure theory, incorporates horizontal and vertical seismic coefficients (kh and kv) as the body forces acting on a failure wedge. Recognized for its simplicity and clear mechanics, the M-O theory has been codified in numerous seismic design standards. Nevertheless, this method has inherent limitations: It disregards the temporal characteristics (time history, phase variations) and spectral properties of ground motions. The assumption of uniform seismic coefficient distribution along a wall height deviates from actual dynamic responses [13], particularly for tall walls or complex topographies. It fails to capture real-time evolution of earth pressure during earthquakes or predict the displacement responses [14,15]. These shortcomings have motivated the development of more refined analytical methods.
The seismic earth pressure mechanism involves complex multiphysics coupling, including soil–structure interaction, wave propagation, and soil nonlinearity. The pressure on cantilever walls is influenced by the seismic characteristics (amplitude, spectrum, and duration), soil properties, structural parameters, and boundary conditions [16,17,18,19,20]. Near-fault pulse-type motions with large amplitudes and long periods can cause severe damage [21]. Aghamolaei et al. [22] demonstrated via FEM that lateral displacements under near-field versus far-field earthquakes may differ by up to 85%. Seo et al. [23] developed probabilistic models linking wall displacement and backfill settlement to limit states, identifying backfill slope and motion characteristics as the major influencers.
The structural parameters—such as wall inclination, roughness, and heel/toe dimensions—significantly affect the seismic response. Wagner et al. [24] found that the Mononobe–Okabe (M-O) theory offers reasonable upper-bound estimates for rigid walls but overpredicts the loads for flexible ones. Chen et al. [25] derived pseudo-static solutions for narrow-backfill T-walls under translational mode using limit equilibrium and Rankine theory. Cakir et al. [26,27,28] employed 3D finite element models to analyze the backfill–structure–foundation interaction, highlighting the effects of wall flexibility, soil parameters, and ground motion. The seismic frequency content is critical, especially under soil-softening conditions. Jo et al. [29] compared the M-O and Seed–Whitman methods with centrifuge tests, noting that both overestimate the seismic pressure.
The failure surface plays a key role in the active earth pressure computation. Depending on the heel length and its interaction with the failure surface, two calculation systems exist [30]. For long-heel walls, Kloukinas et al. [31,32,33,34] applied a generalized Rankine theory. For short-heel walls, Greco [35,36,37] proposed a limit equilibrium model accounting for a tertiary slip surface that truncates the thrust wedge, making the Rankine theory inapplicable. Addressing the lack of a unified method, Kamiloğlu et al. [38] partitioned the backfill into three mechanical zones and derived a generalized seismic active earth pressure framework applicable to any heel length using optimization techniques.
Integrating the current research and code practices, the deficiencies in seismic design calculations for cantilever walls manifest primarily in two aspects. (i) Limitations in failure mode analysis: Traditional methods (e.g., M-O) consider only a single failure mode, whereas actual earthquakes may induce multiple instabilities (e.g., secondary failure of surfaces in the backfill, wall–slope rotation/sliding). (ii) Inadequate soil–structure interaction modeling: Designs rely on rigid-foundation assumptions without fully accounting for elastic base–foundation interactions, causing internal force miscalculations. The seismic interaction between the retaining walls and the soil significantly influences the development of seismic damage. Under worst-case conditions, this interaction may induce resonance phenomena [39,40,41]. Currently, there is still insufficient in-depth research regarding how to incorporate resonance effects into the seismic design of retaining walls.
Therefore, to bridge this critical research gap, this study makes three fundamental advancements beyond conventional pseudo-static approaches: First, a unified seismic earth pressure formula applicable to both long- and short-heel cantilever retaining walls is developed, addressing the longstanding limitations of existing methods, which lack consistency across different structural configurations. Second, through numerical simulations that account for construction-induced initial stress fields, the proposed simplified method is rigorously validated, thereby enhancing its practical reliability—an aspect often overlooked in traditional analyses. Most importantly, by conducting finite element dynamic response analyses, an investigation is carried out into the effects of input seismic wave frequency, particularly resonance phenomena, on the seismic stability. This represents a significant departure from established design practices, as the current guidelines provide no provisions for resonance-induced amplification effects. The findings are expected to establish a framework integrating the frequency-dependent response into seismic design recommendations, offering transformative insights for cantilever wall design.

2. Seismic Earth Pressure Calculation for Long-/Short-Heel Walls

2.1. Formula Based on Rankine Theory for Long-Heel Walls

When the heel slab is sufficiently long, the failure surface does not interact with the vertical stem, allowing for full development of the Rankine limit state in the backfill. According to the lower-bound theorem of limit analysis, Kloukinas et al. [3,31,32,33] and Evangelista et al. [34] derived the dynamic active earth pressure on an idealized vertical plane (AD) passing through the heel (Figure 1):
P AE = 1 2 γ K AE h 2
where γ is unit weight of backfill, h′ is height of vertical face at heel (h′ = h + b tan δ), h is wall height, b is heel length (heel ratio χ = b/h), and β is backfill slope angle (Figure 1). Kae is the seismic active earth pressure coefficient, given by the following:
K ae = cos β cos ( β + θ ) cos δ s cos θ 1 sin φ cos ( Δ 1 e β + θ ) 1 + sin φ cos ( Δ 1 e + β + θ )
with
θ = atan ( k h 1 k v )
where θ is the seismic inclination angle, and kh and kv are the horizontal and vertical seismic acceleration coefficients, respectively.
Δ 1 e = asin sin ( β + θ ) sin φ
δ ( 0 ) = atan sin φ sin ( Δ 1 e β + θ ) 1 sin φ cos ( Δ 1 e β + θ )
ωα and ωβ represent the inclination angles of α-characteristic and β-characteristic, respectively:
ω α = π 2 φ ω β ,   ω β = π 4 φ 2 Δ 1 e β 2 θ 2
Applicability conditions:
ω β atan ( b / h ) = atan χ
Figure 1. Pseudo-static analysis of soil–wall system and characteristics of Rankine wedge. (a) Pseudo-static stress tensor in Mohr circle; (b) characteristics of Rankine wedge [34].
Figure 1. Pseudo-static analysis of soil–wall system and characteristics of Rankine wedge. (a) Pseudo-static stress tensor in Mohr circle; (b) characteristics of Rankine wedge [34].
Designs 09 00114 g001

2.2. Distinguishing Long-Heel and Short-Heel Walls

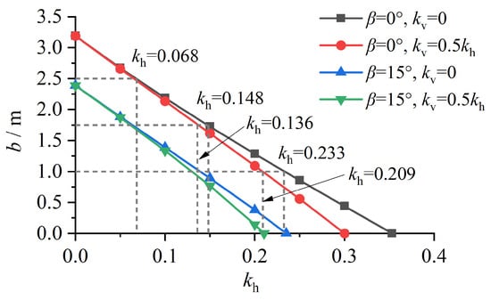
Based on Equations (6) and (7), the critical heel length for distinguishing between long- and short-heel cantilever retaining walls can be derived. For example, consider a retaining wall with the following parameters: friction angle φ = 34°, wall–soil friction angle δ = 24°, unit weight γ = 18 kN/m3, and wall height h = 6.0 m. Figure 2 shows the critical heel length for distinguishing between long- and short-heel walls under different horizontal seismic acceleration coefficients. The corresponding backfill slope angles β are 0° and 15°; the vertical seismic acceleration coefficients are kv = 0 and kv = 0.5 kh. From Figure 2, it is observed that as the horizontal seismic acceleration coefficient increases, the critical heel length decreases approximately linearly. A larger backfill slope angle β results in a smaller critical heel length. Comparing the cases with kv = 0 and kv = 0.5 kh, kv reduces the critical heel length, and this reduction increases with a higher kh. It is evident that when calculating the seismic earth pressure for cantilever walls, determining whether the base slab is short- or long-heeled depends not only on the geometric dimensions but is also closely related to the seismic acceleration coefficients.
Using the finite element software PLAXIS 2D 2024 [42], a pseudo-static analysis was performed on cantilever retaining walls of different geometric dimensions. The calculation parameters are detailed in Table 1. The numerical simulation procedure is detailed in Appendix A. Three types of cantilever walls were primarily selected (Type A, Type B, and Type C), all with a stem height of 5.5 m. The base slab lengths were 3.5 m (2.5 + 0.5 + 0.5 m), 5.25 m (4.0 + 0.5 + 0.75 m), and 7.0 m (5.5 + 0.5 + 1.0 m), corresponding to the heel-length-to-wall-height ratios (χ) of 0.45, 0.73, and 1.00, as shown in Figure 3.
Figure 4 shows shear strain contours of backfill failure surfaces for the three wall types under different accelerations, calculated via a pseudo-static analysis. From Figure 4, under static conditions (0 g horizontal acceleration), Type A exhibits three failure surfaces: Primary (α) and secondary (β) slip surfaces forming a V-shaped shear band through the heel, symmetric about the vertical line passing through the heel. A tertiary slip surface is formed by reflection where the β-surface intersects the cantilever tip, classified as a short-heel wall [30]. For Type B (increased base length), the β-slip surface passes exactly through the cantilever tip. Type C (further increased base length) represents a typical long-base cantilever wall [31,32]. Under a low horizontal seismic acceleration, Type A develops three slip surfaces and can be classified as a short-heel wall. When the horizontal acceleration is increased to 0.25 g, only two failure surfaces develop in the backfill at the limit state, and it can then be classified as a long-heel wall. This further proves that classifying a cantilever wall as short- or long-heeled depends not only on the geometric dimensions, but is also closely related to the seismic acceleration coefficients.

2.3. Calculation of Earth Pressure for Short-Heel Walls

Figure 5 shows a schematic diagram of the limiting equilibrium force analysis for short-heel cantilever walls based on the principle of limit equilibrium [31]. Figure 5a depicts the distribution of failure surfaces. The assumption of failure surfaces here slightly differs from that of Kamiloğlu et al. [30], which restricts the length of BE in sliding block BEF to be ≤BD, while this study imposes no such restriction.
As shown in Figure 5b, for sliding block BEF (analogous to Colomb’s earth pressure method), the interface BF has a wall–soil friction angle δ, generating thrust S1. The failure surface EF in the backfill has a friction angle φ at the limit state, an inclination η to the horizontal, and an inter-surface force R1. Based on the pseudo-static approach, block BEF is subjected to a body force W1′, acting at angle ψ to the vertical. W1′ is derived from the backfill unit weight, area of △BEF, and seismic coefficients. The force equilibrium perpendicular to R1 yields S1 as a function of W1’.
As shown in Figure 5c, for sliding block ACBF, the thrust between the left wall AF and the soil is S2, with a friction angle φ on the sliding surface; the force acting on the right sliding surface AC within the fill is R2, with an inter-sliding surface friction angle φ under the limit state. The sliding surface AF is inclined at angle β to the horizontal, while the sliding surface AC is inclined at angle α to the horizontal. Blocks ADFB and ACD are subjected to body forces W0′ and W2′, respectively. With S1 known, the force equilibrium perpendicular to R2 gives the expression for S2. S1 and S2 are functions of α, β, η, and ψ. Using block ADBF in Figure 5d, Greco [37] derived the thrust Sa on the vertical plane AD at the heel via force equilibrium.
Optimization methods were then used to find values of α, β, η, and ψ that minimized the sliding safety factor. Minimizing the overturning safety factor (operationally targeting minimal eccentricity [43]) yielded identical α, β, η, and ψ values as Greco’s sliding-minimization approach. Note: If the solved yh (Figure 5a), the short-heel condition is invalid (S1 = 0), the failure surfaces reduce to two, and the wall should be treated as long-heeled.
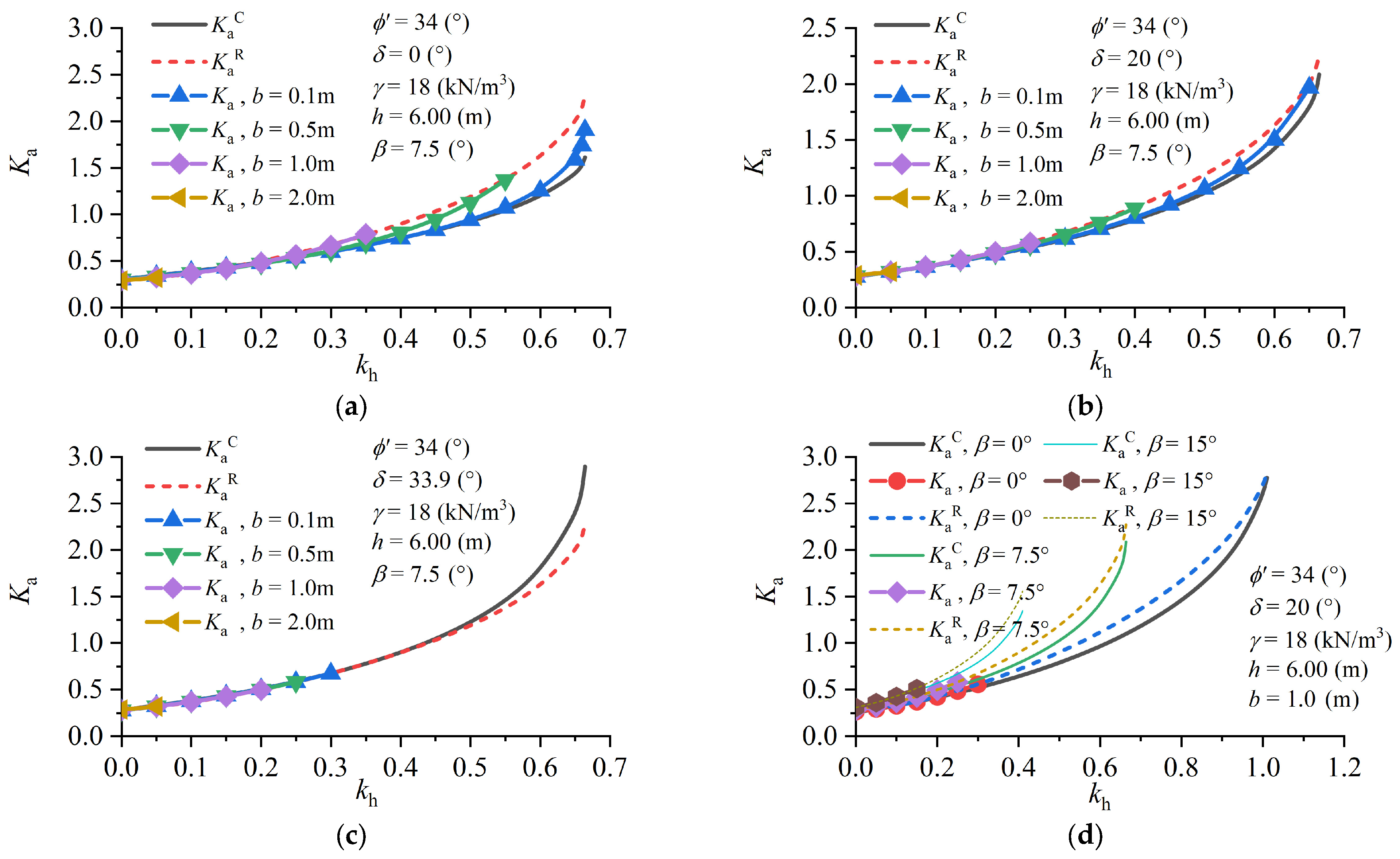
As shown in Figure 6a, when the heel of the cantilever retaining wall is almost nonexistent, its two slip lines nearly coincide. When b = 0 (χ = b/h = 0), the V-plane coincides with the wall surface, and the earth pressure on the V-plane can be entirely calculated using the Coulomb earth pressure coefficient KaC. As illustrated in Figure 6d, when the cantilever wall is determined to be a long-heel cantilever wall, the earth pressure on the V-plane can be fully calculated using the Rankine earth pressure coefficient KaR. When the heel of the cantilever wall gradually shortens, as shown in Figure 6c, although it is classified as a short-heel cantilever wall, since the V-plane lies entirely within the Rankine slip zone, the earth pressure on the V-plane can still be entirely calculated using KaR. When the heel shortens further, as in Figure 6b, the earth pressure coefficient on the V-plane becomes a combination of KaC and KaR. In summary, as the heel length of the cantilever wall increases (b increases and χ = b/h consequently increases), the earth pressure coefficient on the V-plane gradually transitions from the Coulomb coefficient KaC to the Rankine coefficient KaR.
Considering different backfill friction angles φ and slope angles β, the calculation zones for the earth pressure coefficient and the corresponding parameter values are shown in Figure 7. In Figure 7a, line AB represents the boundary between long-heel and short-heel conditions, determined using Equations (3), (4), (6) and (7). The intercept of AB with the χ-axis, OB, corresponds to χLS. Line AC in Figure 8a represents the 100% Rankine earth pressure line, corresponding to Figure 7c. It can be derived that
O C = χ L S 2 χ L S tan β
Thus, in the region above line AC (yellow zone) in Figure 7a, calculating the earth pressure on the V-plane using Rankine theory is valid. Further, if line AD represents the partial Rankine earth pressure line, and if the portion of the V-plane applicable to Rankine theory constitutes the vast majority, calculating the entire V-plane using Rankine theory would introduce negligible error. This implies that the region suitable for Rankine-based calculation can be reasonably extended to the area above line AD. Let η be the proportion of the V-plane within the Rankine zone. It can be derived that
O D = χ L S 2 + 2 ( 1 η η ) χ L S tan β
For example, when η = 80%, substituting it into the above equation yields the following:
O D = χ L S 2.5 χ L S tan β
The critical kh values (corresponding to the length of OA) for different φ and β are shown in Figure 7b. The values of χ at kh = 0 (where χ = χLS corresponds to OB, η = 100% corresponds to OC, and η = 80% corresponds to OD) for different φ and β are shown in Figure 7d. The variation in χ with kh (corresponding to line AB) for different φ and β is also provided in Figure 7d. Therefore, whether for long-heel or short-heel cantilever walls, if the wall falls within the region above line AD in Figure 7a, the earth pressure on the V-plane can be calculated using Rankine theory with sufficient accuracy. Figure 7b–d consider numerous working conditions, and in practice, the values of OA and OD can be determined via interpolation from the data in these figures.
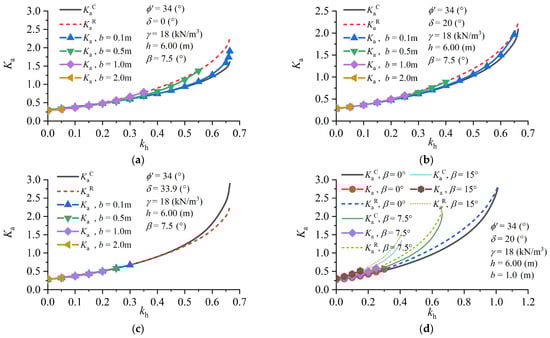
To further validate the above conclusions, the earth pressure coefficients on the V-plane under various working conditions were calculated and compared. In Figure 8, as b increases from 0.1 m to 2.0 m, Ka gradually shifts from KaC toward KaR. In Figure 8a,b, where δ < φ, KaR consistently serves as the upper limit for Ka. Using KaR for the calculations is conservative from a safety perspective. In Figure 8c, since δ = φ, KaC and KaR are essentially equal when the horizontal seismic acceleration coefficient kh < 0.5, making Ka = KaR appropriate. When kh ≥ 0.5, the configuration corresponds to a long-heel cantilever wall, and Ka = KaR applies. Figure 8d shows the variation in the earth pressure coefficient on the V-plane with the horizontal acceleration coefficient for different β values (at b = 1.0 m), which also conforms to the above pattern. Additionally, in practical engineering, the heel length of a cantilever retaining wall should not be too short, as this would undermine the wall’s reliance on the overlying soil to enhance its sliding stability. General structural requirements specify that χ (b/h) = 1/4–1/2. Therefore, using Rankine theory for the regions above line AD in Figure 7a ensures sufficient accuracy.
It should be noted that Rankine’s theory is generally not applicable to multi-layered backfill soils, as it assumes soil homogeneity, whereas layered soils exhibit the following differences: variations in c, φ, and γ values across the strata, and weak interlayers that induce composite failure surfaces. For cohesive soils, tension-induced vertical cracks develop, resulting in zero earth pressure within the crack zone; thus, effective earth pressure distribution requires a separate calculation. Application of Rankine’s theory to such conditions necessitates modifications.

3. Influence of Backfilling Process on Earth Pressure on Cantilever Retaining Walls

Conventional pseudo-static methods for calculating the earth pressure on retaining walls typically rely on simplified stress field distributions, such as the initial K0 stress state. However, in practical engineering, (i) the friction at the wall–soil interface induces soil-arching effects, causing deflection of initial stress trajectories [44,45]; and (ii) during backfill compaction, the wall undergoes minor deformations under progressively increasing fill loads and compaction-induced loads [46,47,48], resulting in deviations between the actual initial stress fields and the theoretical assumptions. Limited research exists on how such deviations affect the earth pressure in cantilever retaining walls. Therefore, we conducted pseudo-static calculations and dynamic numerical simulations, comparing the results with Equations (2) and (5) to validate the rationality and reliability of the cantilever wall earth pressure calculation method proposed by Kloukinas et al. [33].

3.1. Comparative Analysis of Considering Initial Stress Effects from Layered Backfilling Versus Ignoring Initial Stress Effects in Pseudo-Static Methods

The calculation model and parameters are detailed in Table 1. The construction simulation process and its corresponding contour plot of horizontal displacement are detailed in Figure 9. As the backfill is placed in layers, the retaining wall undergoes displacement and rotation. Figure 9 indicates that during the initial backfilling stages (Stage 1 and Stage 2), the wall deflects toward the left. When the backfill height exceeds half the wall height (Stage 3 and Stage 4), the upper section begins to deflect away from the backfill direction, rotating toward the right. This deformation alters the initial stress field used for the subsequent earth pressure calculations. As shown in Figure 10, the influence of layered backfilling generates two preliminary shear stress bands near the wall heel, deviating significantly from the ideal K0 stress state. This phenomenon may cause discrepancies in the seismic earth pressure calculations for cantilever retaining walls.
As shown in Figure 11a, the earth pressure coefficients on the computational model’s surface obtained by the pseudo-static method exhibit good overall agreement with those derived from Equation (2), though the pseudo-static values are slightly higher. While the earth pressure coefficients on the V-plane differ minimally from those on the stem face of the cantilever retaining wall, critical discrepancies emerge in the seismic performance: Equation (2) suggests that the wall can withstand seismic loads exceeding 0.65 g; however, when considering the influence of initial stress fields and wall displacements, its seismic capacity is reduced to approximately 0.45 g.
Figure 11b compares the friction angles obtained from the pseudo-static method with those calculated using Equation (5). Under static conditions, the friction angle on the V-plane calculated by Equation (5) is 0°, while the friction angles obtained from the pseudo-static method are 4.3° (Type C), 7.1° (Type B), and 8.8° (Type A), respectively. In general, the friction angles on the surfaces first increase and then decrease, with minor differences in the peak values. The friction angles on the vertical faces of the three types of cantilever retaining walls obtained by the pseudo-static method are essentially the same, gradually decreasing as the acceleration coefficient kh increases.
Figure 11c shows the relationship between the height of the earth pressure resultant point obtained from the pseudo-static method and the horizontal seismic acceleration coefficient. It can be observed that the resultant point on the V-plane is generally higher than that on the vertical face of the cantilever retaining wall. The resultant point on the V-plane is located approximately at 0.33 h′, while the resultant point on the vertical face of the cantilever retaining wall first decreases and then slightly increases as the horizontal acceleration coefficient kh increases, remaining within the range of 0.28–0.30 h′. In terms of the influence of cantilever retaining wall types, the order of the heights of the earth pressure resultant points is as follows: Type C > Type B > Type A.
Figure 11d presents the relationship curves between the failure surface angles ωα, ωβ, and ωα + ωβ obtained from the pseudo-static method and the horizontal seismic acceleration coefficient. The figure shows that the initial stress state also significantly affects the angles of the failure surface, with the values of ωα + ωβ being greater than those calculated by Equation (6).
Since the height h of the cantilever retaining walls in Figure 3 is identical and the mechanical parameters of the backfill material are the same, the earth pressure coefficients and friction angles on the V-plane for Type A, Type B, and Type C calculated using the seismic earth pressure formula (2) proposed by Kloukinas et al. [33] should be identical. Comparing these with the pseudo-static method results that consider the initial stress state during backfill construction, it is evident that the active seismic earth pressure coefficients calculated using Equation (2) represent the lower bound of the values obtained using the pseudo-static method. This indicates that if the initial stress state is not considered, the active earth pressure coefficients calculated using Equation (2) may be unsafe.

3.2. Comparative Analysis of Dynamic Finite Element Simulation Considering Initial Stress Effects from Layered Backfilling Versus Pseudo-Static Method

The numerical simulation procedure is detailed in Appendix A, with the model’s validation and verification provided in Appendix B.
Figure 12 presents time–history curves of earth pressure coefficient, friction angle, and resultant force elevation on the computational surface from the dynamic simulation. The input seismic acceleration is defined as follows:
g = 2 ( 1 cos π t 3 ) sin ( 6 π t )   ( m / s 2 )
A 6-second-duration sinusoidal wave at 3 HZ frequency was the input. The selection of sinusoidal waves in this study represents a simplification of actual seismic motions. The primary rationale was that sine waves constitute the fundamental building blocks of complex ground motions via Fourier transform, serving as the most direct and effective tool for revealing the core dynamic characteristics (e.g., natural frequencies and resonance phenomena). The 3 Hz frequency was specifically chosen because it approximates the fundamental natural frequency of the cantilever retaining wall–backfill system analyzed in this study (see Section 4 for details); this frequency falls within the predominant frequency range of actual ground motions recorded during seismic events. Equation (11) indicates a peak acceleration of 4 m/s2 for the seismic wave. The horizontal seismic coefficient kₕ = 0.4 was derived from the peak acceleration. According to the calculation method proposed by Kloukinas et al. [33], the earth pressure coefficient Kₐₑ for the V-plane is 0.72, with a friction angle δ0 = 33.7°.
The analysis of Figure 12a reveals that as the seismic acceleration reaches its peak, the earth pressure coefficient on the V-plane increases from its static values (0.30–0.35) to approximately 1.0—significantly exceeding the 0.72 value calculated from Equation (2). Post-earthquake, the coefficient decreases below 0.72, but remains higher than the initial static values. Figure 12b demonstrates that during seismic excitation, the V-plane friction angle for all three cantilever wall types fluctuates between 33.7° (maximum) and approximately −30° (minimum), indicating directional reversal. After shaking cessation, it stabilizes at 6.8–7.8°. The vertical face friction angle exhibits smaller variations (>0° throughout) with a decreasing trend, confirming consistently downward friction forces from the backfill to the wall. Figure 12c shows the time–history curve of the resultant force elevation on the computational surface. From the initial stage to the end of the earthquake, the resultant force elevation (z/h′) on the computational plane exhibits an overall increasing trend. For example, at the V-plane of Type A cantilever wall in Figure 12c, the initial static resultant force location z/h′ is 0.33 and the post-earthquake resultant force location is 0.37; furthermore, at the peak input seismic motion phase, z/h′ even exceeds 0.44. At the wall surface plane of Type A cantilever wall, the static resultant force location z/h′ is 0.31 and the post-earthquake resultant force location is 0.36. Furthermore, at the peak input seismic motion phase, z/h′ even exceeds 0.55 at the wall surface plane.
This indicates that under seismic conditions, the earth pressure application point is significantly higher than that under static conditions. Consistent findings have been reported in references [4,24]. This elevation increase adversely affects walls’ structural stability and global anti-overturning stability, which aligns with the observed overturning failure modes in seismic damage investigations of retaining walls. In the pseudo-static method calculations, the resultant force acts at z/h′ = 0.33, failing to reflect this phenomenon. The calculation results may be non-conservative.

4. Seismic Response of Retaining Walls Under Different Frequency Input Waves

To investigate the influence of input seismic wave frequencies on the seismic response characteristics of cantilever retaining walls, numerical simulations were performed for the cases specified in Table 2. The analysis considered three wall heights h (χ = 0.55) with a backfill slope angle β = 0°. The computational parameters are listed in Table 1. The input wave had a 6-second duration, calculated as follows:
g = 2 ( 1 cos π t 3 ) sin ( 2 π f t )   ( m / s 2 )
where f denotes the frequency (Hz) of the input sinusoidal wave.
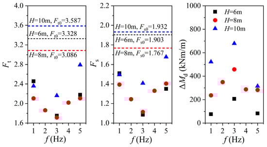
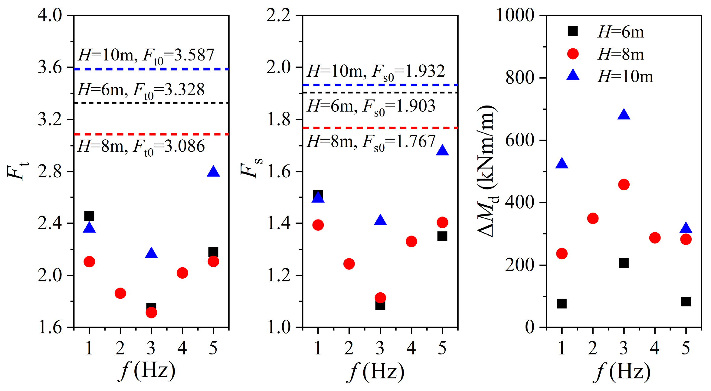
Figure 13 shows the time–history curves of the anti-overturning stability safety factor Ft, the anti-sliding stability safety factor Fs, and the dynamic bending moment for cantilever retaining walls subjected to seismic waves with multiple distinct input frequencies. From Figure 13a, it can be observed that as the seismic load cycles repetitively, the anti-overturning stability safety factor Ft of the cantilever retaining wall also exhibits cyclic fluctuations. Ultimately, at the end of the seismic motion, compared to the pre-earthquake conditions, Ft shows significant reductions across all working conditions. When the cantilever wall height h = 8 m and the input seismic wave frequency f = 3 Hz, Ft decreases from 3.086 before the earthquake to 1.714. The seismic action substantially reduces the wall’s anti-overturning stability. On the other hand, during the earthquake, the Ft time–history curve repeatedly drops below 1.0. After shaking cessation, Ft stabilizes at a safety factor greater than 1.0 that satisfies engineering safety requirements. This indicates that during seismic action, structural instability cannot be simply confirmed whenever the safety factor falls below 1.0 (as in static analysis methods).
Figure 13b shows that the anti-sliding stability safety factor Fs of the cantilever retaining wall follows similar patterns. Compare the time–history curves of dynamic bending moment at the cantilever base of retaining walls under different input frequency seismic waves in Figure 13c. The bending moment at the wall base exhibits cyclic fluctuations following seismic waves. Post-earthquake, compared to the pre-seismic conditions, the base bending moment shows significant increases, indicating seismic moment increments ΔMd. These increments vary substantially with the input seismic frequencies. For example, the seismic moment increments ΔMd of 10 m high retaining wall at f = 1, 3, and 5 Hz are 522.6, 678.9, and 315.2 kN·m/m, respectively.
As shown in Figure 14, the residual displacement of the cantilever retaining wall (h = 6.0 m) after an earthquake, compared to its pre-earthquake position, was limited to approximately 5 cm under seismic excitations. This displacement is well below the h/100 threshold (0.06 m). The wall also experienced a slight rotation (2.5 × 10−3 rad), but did not fail according to the design codes [49,50]. As shown in Figure 13a,b, during dynamic action, transient instances where the structural safety factor falls below 1.0 do not necessarily indicate imminent structural instability. However, they exert a pronounced influence on the structure’s post-earthquake residual deformations.
Figure 15 summarizes the pre-earthquake/post-earthquake safety factors and dynamic bending moment increments at the cantilever bases under the different input frequencies. The key observations are that the safety factors (Ft, Fs) decreased with an increasing frequency (1–3 Hz) and then exhibited a reduced decline (3–5 Hz), and the bending moment increments initially increased (1–3 Hz) then decreased (3–5 Hz). A modal analysis of the retaining wall–backfill system was performed using ABAQUS 6.14 finite element analysis software. The first two natural frequencies of the system were obtained, as illustrated in Figure 16. It was found that the first and second natural frequencies of the wall system were near 3 Hz (for a 6 m high cantilever wall, the corresponding first and second natural frequencies of the system were 3.285 Hz and 3.768 Hz, respectively; for an 8 m high cantilever wall, the corresponding first and second natural frequencies of the system were 2.876 Hz and 3.434 Hz, respectively; for a 10 m high cantilever wall, the corresponding first and second natural frequencies of the system were 2.545 Hz and 3.148 Hz, respectively). When the input seismic wave approached the natural frequency of the wall system itself, the system’s seismic response intensified, the post-earthquake safety factor decreased more substantially, and the bending moment increment on the cantilever increased.

5. Design Recommendations

The resonance amplification factor of seismic earth pressure on retaining walls results from a dynamic interaction, which occurs when the natural frequency of the wall–soil system approaches the predominant frequency of the ground motion. This leads to significant amplification of wall displacement and earth pressure, which is particularly severe for flexible retaining walls and soft-soil sites. Pseudo-static methods generally fail to explicitly account for this amplification effect. It is difficult to provide a universally applicable numerical range for the amplification factor because it depends critically on the specific conditions mentioned above. For rigid retaining walls, under non-resonant conditions, the results from pseudo-static methods may closely approximate those from dynamic analyses, with an amplification factor close to 1.0. When approaching resonance, the displacements and earth pressure may be amplified by a factor of 1.5 to 3.0 or higher, especially under long-duration earthquakes with low-frequency content. For flexible retaining walls, even under general seismic motions without strict resonance, the displacement response is typically much larger than that predicted by pseudo-static methods due to their inherent flexibility. Consequently, the corresponding earth pressure amplification factor frequently reaches 2.0 or more, and may exceed 3.0 or even higher under resonant conditions.
The actual amplification factor varies widely (potentially ranging from near 1.0 to over 3.0) depending on complex factors, such as the wall stiffness, soil properties, seismic motion frequency spectrum, and duration. In seismic designs involving flexible walls or long-period sites, it is essential to fully consider the risks posed by resonance amplification, either through dynamic time–history analyses or by employing validated dynamic amplification factors, to avoid underdesign. For a soil layer with thickness H overlying rigid bedrock, the site amplification factor can be readily obtained by solving the viscous–elastic one-dimensional wave equation [51], as explicitly given in Equation (13):):
A a = 1 cos 2 ( ω H / V s ) + ξ ( ω H / V s ) 2
where Aa is the amplification factor, ξ represents the material damping ratio, ω is the input motion circular frequency (rad/s), and Vs is the soil layer shear wave velocity. For a semi-infinite horizontal soil layer, f0 = Vs/4H is used [51]. Using ω = 2πf and substituting it into Equation (13), we obtain
A a = 1 cos 2 ( π f / 2 f 0 ) + ξ ( π f / 2 f 0 ) 2
where f is the predominant frequency of the input seismic wave, and f0 is the fundamental natural frequency of the wall–soil structural system. Using the parameters of wall height h = 6.0 m, backfill slope angle β = 0°, backfill friction angle φ = 34°, and wall–soil interface friction angle δ = 24°, a comparison of the dynamic active earth pressure coefficients obtained by different calculation methods is shown in Table 3.
Based on the active earth pressure coefficients listed in Table 3 and selecting the horizontal seismic acceleration coefficient kₕ = 0.4 (the input ground motion is given in Equation (11)), the earth pressure values calculated by the different methods were compared with the numerical simulation results. It can be observed from Figure 17 that, after considering the resonance effect, the active earth pressure coefficient proposed in this study closely matches the numerical simulation results. A comparative summary of the root mean square errors (RMSEs) of earth pressure values calculated by the different methods and the numerically simulated values is presented in Table 4. In contrast, both the Coulomb and Rankine earth pressure coefficients underestimate the pressure.
The seismic design of cantilever retaining walls must transcend static conceptual paradigms and adopt a dynamic design philosophy. Implementing a systematic approach encompassing critical frequency avoidance, initial stress field regulation, and post-earthquake performance control can significantly enhance their structural seismic resilience.
(1)
Critical frequency ranges and dynamic response avoidance
The stability of cantilever retaining walls under seismic loading is highly dependent on the match between the ground motion frequency characteristics and the structural natural frequencies. These walls exhibit significant sensitivity to seismic waves within specific frequency bands. When subjected to ground motion inputs within a 1.5–5 Hz range (equivalent to medium-to-high frequency vibrations), the backfill soil experiences intense dynamic responses, leading to a substantial increase in the active earth pressure. This critical frequency range notably overlaps with the dominant frequency components of most moderate-to-strong earthquakes, necessitating special attention in seismic design.
During design, hazardous frequency responses can be mitigated by adjusting the wall’s geometric stiffness (e.g., increasing the toe slab length, optimizing the reinforcement ratio) and improving the backfill soil properties (e.g., adding fiber materials, using lightweight fill). These measures can shift the fundamental frequency below 0.7 f1 or above 1.3 f2, where f1 and f2 are the first two natural frequencies of the retaining wall–backfill system.
(2)
Quantification of initial backfill stress field and design considerations
The initial shear stress level governs the dynamic softening threshold. An initial shear stress ratio exceeding 0.4 promotes significant stiffness degradation and, in saturated sands, rapid pore water pressure buildup, greatly reducing wall stability. The small-strain shear modulus Gₘₐₓ, which depends on the mean effective stress, directly affects the fundamental frequency of the soil-structure system. Layered compaction induces non-uniform stresses, with locked-in zones at the top of each layer and relaxed stresses at the bottom, leading to initial earth pressures that deviate from K0 conditions and cause early wall–backfill interaction.
To address these effects, the following measures are recommended: (i) finite element simulations of construction processes to predict post-construction stress fields; (ii) in situ verification via pressuremeter tests to calibrate the stress assumptions; (iii) base reinforcement techniques, such as using reinforced concrete shear keys or soil mixing, to increase the interface stiffness.
(3)
Control standards for post-earthquake effective safety factors
It is recommended that seismic stability verification for cantilever retaining walls satisfy dual safety criteria: instantaneous stability during seismic shaking and control of residual deformations after an earthquake. The instantaneous stability verification must consider the coupled effects of seismic inertial forces and dynamic earth pressures. The seismic stability verification for cantilever walls should include the following: checking the sliding and overturning stability under seismic conditions (check the sliding stability with a minimum recommended factor of safety (FS ≥ 1.2 under seismic conditions)); evaluating the overturning stability with a required factor of safety (Ft ≥ 1.5) to account for amplified moments under dynamic conditions, consistent with the major codes, such as Eurocode 8 [52] and AASHTO [49] guidelines; assessing post-earthquake residual deformations; and verifying compliance with the minimum safety factors per the applicable codes.

6. Conclusions

This study systematically reviews the calculation methods for cantilever retaining walls and introduces a unified formula for the seismic earth pressure applicable to both long-heel and short-heel configurations. The formula is validated via pseudo-static and dynamic finite element analyses, revealing the following key findings:
(1)
The distinction between short-heel and long-heel walls depends on the geometry and seismic coefficients, but is less critical in seismic earth pressure estimation. Using Rankine’s theory for short-heel walls—treating them as long-heel types—yields small deviations that decrease with higher seismic acceleration. This method overestimates the horizontal pressure and underestimates the vertical pressure, reducing the safety factors but offering a conservative design.
(2)
Ignoring the backfill construction effects leads to inaccurate initial stress fields. The simulations incorporating layered construction show that construction-aware models yield higher failure surface angles and lower active earth pressure coefficients, indicating that conventional pseudo-static methods may produce unsafe estimates.
(3)
The pseudo-static method oversimplifies the earth pressure distribution as triangular, with the resultant at a 1/3 height. Under real seismic loads, the resultant rises significantly, impairing stability and overturning resistance—a critical factor in seismic design.
(4)
The dynamic simulations reveal that the safety coefficients for sliding and overturning frequently fall below 1.0 during seismic events but recover afterward. For walls with natural frequencies of 2.5–3.8 Hz, input frequencies between 1 and 3 Hz induce resonance effects, amplifying seismic responses, reducing post-seismic safety margins, and increasing stem bending moments.

Author Contributions

Conceptualization, Z.S. and W.W.; methodology, Z.S. and W.W.; validation, Z.S. and W.W.; formal analysis, W.W. and H.L.; investigation, Z.S.; resources, W.W. and H.L.; data curation, Z.S. and H.L.; writing—original draft preparation, Z.S.; writing—review and editing, Z.S., H.L. and W.W.; supervision, Z.S.; project administration, W.W.; funding acquisition, W.W. All authors have read and agreed to the published version of the manuscript.

Funding

This research was funded by the Open Research Fund of Anhui Provincial Key Laboratory of Building Earthquake Disaster Mitigation and Green Operations, Anhui Institute of Building Research & Design, Grant No. 2022-JKYL-002; and The Natural Science Foundation of Hubei Province, China, Grant No. 2022CFB417.

Data Availability Statement

The original contributions presented in this study are included in the article. Further inquiries can be directed to the corresponding author.

Conflicts of Interest

The authors declare no conflicts of interest.

Appendix A

Numerical Simulation Process

This numerical simulation was conducted using PLAXIS 2D 2024 software [42]. The retaining wall model is shown in Figure A1. Six-node triangular elements were employed in the simulation. Numerical accuracy of wave propagation in soil is influenced by the input waveform frequency components and the soil wave velocity characteristics. According to the existing research, if the minimum shear wavelength is λmin, the wave velocity is vs, the highest input seismic frequency is fmax, and the maximum element size Δlmax should satisfy the following: Δ l max = λ min / 5 = v s / 5 f max   [53]. Based on the parameters of the fill soil given in Table 1, its shear wave velocity is Vs = 250.6 m/s. With a maximum element size of Δlmax = 0.5 m, the applicable upper frequency limit is calculated as fmax = Vs/(5 × Δl) = 250.6/(5 × 0.5) = 100 Hz. This frequency is significantly higher than the conventional cut-off frequency of 15 Hz used in geotechnical engineering, and is also well above the first two fundamental natural frequencies of the retaining wall–soil system (which range between 2.5 Hz and 3.8 Hz). The optimal mesh size was determined through a trial-and-error process. PLAXIS 2D employed a strategy combining a global coarse mesh with local refinement around the structure. Ultimately, a uniform maximum element size of 0.5 m × 0.5 m was adopted for both the backfill soil and the foundation soil zones. The mesh was locally refined in the vicinity of the cantilever retaining wall. The verification confirmed that a maximum element size of Δlmax = 0.5 m yielded stable and reliable numerical simulation results.
For the pseudo-static analysis, horizontal constraints were applied to the left/right boundaries and full constraints (horizontal and vertical) were applied to the bottom boundary. For the dynamic FEM, absorbing boundaries were applied to the left/right sides, and a compliant base boundary was applied to the bottom with simultaneous seismic wave input.
In this numerical simulation, the backfill material adopted the Small-Strain Hardening Soil (HS-small) elastoplastic constitutive model built into the PLAXIS 2D software, the foundation soil layer adopted the Hardening Soil (HS) elastoplastic constitutive model, and the cantilever retaining wall adopted a viscoelastic model (the viscosity was used to simulate the damping effects). The interfaces were simulated using the built-in 6-node interface elements in PLAXIS 2D 2024 [16,18,54]. The interface parameters were controlled by the interface strength reduction coefficient Rinter: when Rinter = 0, it indicates a smooth interface; when Rinter = 1, it indicates a fully rough interface; and intermediate values indicate partially rough states. The model parameters are listed in Table 1. The relationships between the shear modulus ratio, damping ratio, and shear strain for the sandy backfill are shown in Figure A2.
Since the HS-small model exhibits nearly linear shear stress–strain relationships under very small strains, with the hysteretic damping approaching zero, the numerical simulations may produce resonances inconsistent with the actual conditions. Therefore, Rayleigh damping was simultaneously implemented in the model. Rayleigh damping can be expressed as follows:
C = R α M + R β K
where C , M , and K represent the damping, mass, and stiffness matrices, respectively; Rα and Rβ are the Rayleigh damping parameters, calculated as follows:
R α R β = 2 ξ ω 1 + ω 2 ω 1 × ω 2 1
where ξ denotes the damping ratio (ξ = 3% in this simulation). ω1 and ω2 are the first two natural circular frequencies (rad/s) of the model and can be calculated using a modal analysis. The computed Rayleigh damping parameters are detailed in Table A1.
Table A1. Rayleigh damping parameters.
Table A1. Rayleigh damping parameters.
CaseRαRβ
H = 6.0 m0.6616120.001354
H = 8.0 m0.5900530.001513
H = 10.0 m0.5305330.001677
To simulate the actual construction sequence of the cantilever retaining wall, multiple analysis stages were established: (i) geostatic equilibrium of foundation soil to eliminate deformation induced by self-weight; (ii) installation of cantilever retaining wall with application of gravitational load; (iii) activation of backfill elements and wall–soil interface elements under gravitational loading; (iv) seismic excitation (base input motion) or pseudo-static analysis (acceleration coefficient application). The input sinusoidal seismic wave is shown in Figure A3.
For common application scenarios of cantilever retaining walls, such as embankment support along the alignment direction of highway subgrades, the stress behavior of cantilever retaining walls can fundamentally be categorized as plane strain problems. Adopting a 2D numerical simulation represents the conventional industry practice. When the three-dimensional effects are relatively significant (e.g., abutment retaining walls), employing a three-dimensional numerical simulation constitutes a more rational approach.
Regarding the HS-small model (Hardening Soil Small-Strain model), the following critical limitations exist when simulating high-strain seismic conditions, which require particular attention in engineering applications: an inability to simulate soil stiffness degradation under cyclic loading (e.g., strength loss due to liquefaction); adoption of Rayleigh damping (mass/stiffness-proportional damping), which fails to match the frequency-dependent damping characteristics of actual soils, resulting in excessive attenuation of high-frequency oscillation energy; and utilization of preset G0-γ curves (e.g., Hardin’s equation) for small-strain stiffness, neglecting complex strain histories of real earthquakes, thereby causing distortion of stiffness recovery behavior under irregular ground motions.
The HS-small model is more suitable for seismic analysis at low-to-medium strain amplitudes. For high-strain scenarios, such as liquefaction-sensitive conditions or complex stratigraphic conditions, it is essential to supplement this approach with more advanced constitutive models and conduct rigorous validation of parameter sensitivity.
Figure A1. Numerical model schematic in present study.
Figure A1. Numerical model schematic in present study.
Designs 09 00114 g0a1
Figure A2. Shear modulus ratio and damping ratio versus shear strain.
Figure A2. Shear modulus ratio and damping ratio versus shear strain.
Designs 09 00114 g0a2
Figure A3. Input ground motion in PLAXIS 2D 2024 in present study.
Figure A3. Input ground motion in PLAXIS 2D 2024 in present study.
Designs 09 00114 g0a3

Appendix B

Validation and Verification of the Present Finite Element Analysis

The applicability of the finite element analysis in this study was validated using measured data from physical model tests reported in the literature. The centrifuge shaking-table test conducted by Sun et al. [55] was selected as a comparative experiment to verify the seismic response behavior of the numerically simulated cantilever retaining wall in this research. The cantilever retaining wall adopted a linear elastic model with an elastic modulus E = 68.9 GPa and Poisson’s ratio υur = 0.334. The soil was modeled using the HS-small constitutive relationship, with the parameters for the PLAXIS numerical model detailed in Table A2. The schematic diagram of the numerical slope model, centrifuge model configuration, and input seismic wave are shown in Figure A4.
Table A2. Parameters of slope numerical model [55].
Table A2. Parameters of slope numerical model [55].
ParametersSandRetaining Wall
Unit weight γ s (kN/m3)15.426.5
Secant modulus E 50 r e f (kPa)3.6 × 104-
Unloading/reloading stiffness E u r r e f (kPa)1.44 × 105-
Power for stress-level dependency of stiffness m0.5-
Cohesion c r e f (kPa)0.1-
Friction angle ϕ (°)35-
Dilatancy angle ψ (°)4-
Reference shear strain γ 0.7 0.2 × 10−3-
Shear modulus at very small strains G 0 r e f (kPa)1.728 × 105-
Poisson’s ratio ν u r 0.250.334
Failure ratio Rf0.9
Young’s modulus E (kPa)-6.89 × 107
Interface reduction factor Rinter0.700.70
Damping ratio ξ3.00%3.00%
Figure A4. (a) Schematic diagram of numerical model, (b) centrifuge model, and (c) input seismic wave.
Figure A4. (a) Schematic diagram of numerical model, (b) centrifuge model, and (c) input seismic wave.
Designs 09 00114 g0a4
Figure A5 presents both the centrifuge shaking-table test data and the PLAXIS 2D finite element dynamic numerical simulation results for Case EQ3. From Figure A5a, it can be observed that the amplification factor results from the model test and numerical simulation show good agreement in their trends, particularly at the slope surface. From Figure A5b, the two sets of results exhibit consistent earth pressure distribution trends, though the maximum earth pressure obtained from the numerical simulation is slightly lower than that from the model’s test results. Figure A6 shows the displacement comparison for Case EQ3, for which the numerical simulation reproduces the displacement development trend observed in the model’s test. Overall, the displacement values from the numerical simulation match well with those from the model’s test. Collectively, the computational results demonstrate reasonable consistency with the experimental data.
Figure A5. Comparison of experimental and numerical results of (a) seismic horizontal acceleration amplification factor and (b) seismic earth pressure in EQ3.
Figure A5. Comparison of experimental and numerical results of (a) seismic horizontal acceleration amplification factor and (b) seismic earth pressure in EQ3.
Designs 09 00114 g0a5
Figure A6. Comparison between experimental and numerical results of seismic displacement (EQ3).
Figure A6. Comparison between experimental and numerical results of seismic displacement (EQ3).
Designs 09 00114 g0a6
The second set of validations primarily referenced the centrifuge test results from Jo et al. [56]. In the finite element modeling, the backfill and foundation soils were simulated using six-noded triangular elements. The HS-small constitutive model, which can replicate the soil yield mechanism (cap), was adopted for the soil. The retaining wall was modeled using a linear elastic constitutive model. The computational parameters used in the numerical simulation are detailed in Table A3. The earthquake simulation employed the Ofunato earthquake motion recorded at Miyagi-Ken Oki, Japan (Date: 12 June 1978; Moment Magnitude = 7.4) as the input motion. Layered filling during the simulation reproduced the staged construction sequence of a cantilever retaining wall to achieve the distribution of geostatic stresses in the wall–soil system.
Figure A7 presents the comparative validation of static earth pressures from the finite element numerical simulation and the centrifuge model test. It can be observed from Figure A7 that after simulating the construction stages, the finite element results for walls of heights 5.4 m and 10.8 m show excellent agreement with the centrifuge test results. For the top three-quarters of wall heights (3/4 h), the finite element results are close to the theoretical values of Rankine’s active earth pressure. For the bottom quarter of wall heights (1/4 h), the earth pressure values lie between Rankine’s active earth pressure and the static earth pressure. It is also found that the complex deformation mechanism during the construction process of the cantilever wall leads to an initial earth pressure state different from the K0 condition. After the fill placement is complete, the entire wall rotates as a rigid body about the heel towards the backfill soil, while the stem rotates about its base away from the backfill soil due to elastic deformation. This results in sufficient lateral displacement of the upper stem section, developing active earth pressure. In contrast, deformation of the lower stem section is dominated by the overall rigid-body rotation, and the insufficient lateral displacement causes the earth pressure to remain close to the at-rest state.
Figure A8 illustrates the typical amplification effect of acceleration with depth obtained from the model test and its corresponding numerical simulation for a 5.4 m high cantilever retaining wall. Two cases with PGAs of 0.04 g and 0.36 g (Ofunato motion) were primarily considered. It can be observed that the finite element results for the acceleration amplification generally show excellent agreement with the centrifuge test results. Furthermore, the agreement is better for the PGA of 0.04 g than for the PGA of 0.36 g. This is mainly because the HS-small model is more suitable for seismic analysis under medium-to-low strain amplitudes; its applicability decreases for high-strain scenarios. The coefficient of determination R2 for the numerical simulation results and centrifuge test results are listed in Table A4.
Figure A9 shows a comparison of dynamic bending moments on the cantilever retaining wall. The peak dynamic bending moment from the numerical simulation results is slightly smaller than that from the centrifuge model test. However, overall, the centrifuge model test results and the numerical simulation results are in good agreement.
Figure A7. Comparison of centrifuge modeling test results and numerical simulation results for static earth pressure profiles.
Figure A7. Comparison of centrifuge modeling test results and numerical simulation results for static earth pressure profiles.
Designs 09 00114 g0a7
Figure A8. Comparative analysis of amplification factor distributions from centrifuge modeling tests and numerical simulations along the wall depth (Ofunato earthquake, h = 5.4 m).
Figure A8. Comparative analysis of amplification factor distributions from centrifuge modeling tests and numerical simulations along the wall depth (Ofunato earthquake, h = 5.4 m).
Designs 09 00114 g0a8
Figure A9. Comparison of centrifuge modeling tests and numerical simulations for dynamic wall moment (Ofunato earthquake: PGA = 0.35 g, h = 10.8 m).
Figure A9. Comparison of centrifuge modeling tests and numerical simulations for dynamic wall moment (Ofunato earthquake: PGA = 0.35 g, h = 10.8 m).
Designs 09 00114 g0a9
Additionally, references [4,16,18,53,57,58] adopted similar numerical simulation approaches to simulate and validate seismic responses of retaining walls, providing supplementary validation for this study.
Table A3. Parameters of retaining wall in numerical model [58].
Table A3. Parameters of retaining wall in numerical model [58].
ParametersSandRetaining Wall
Unit weight γ s (kN/m3)14.2326.6
Secant modulus E 50 r e f (kPa)4.68 × 104-
Unloading/reloading stiffness E u r r e f (kPa)1.404 × 105-
Power for stress-level dependency of stiffness m0.5-
Cohesion c r e f (kPa)0.1-
Friction angle ϕ (°)40-
Dilatancy angle ψ (°)10-
Reference shear strain γ 0.7 0.0002-
Shear modulus at very small strains G 0 r e f (kPa)1.13 × 105-
Poisson’s ratio ν u r 0.200.334
Failure ratio Rf0.9
Young’s modulus E (kPa)-6.80 × 107
Interface reduction factor Rinter0.334 (soil–stem)0.50 (soil–slab)
Damping ratio ξ3.00%3.00%
Table A4. The coefficient of determination R2 for the numerical simulation results and centrifuge test results.
Table A4. The coefficient of determination R2 for the numerical simulation results and centrifuge test results.
TestsR2
Sun et al. (2022) [55]Earth pressure at rest0.901026
Residual earth pressure0.867355
Maximum earth pressure0.806398
Jo et al. (2014) [56]At resth = 5.4 m0.996696
h = 10.8 m0.947738
Ofunato earthquake, h = 5.4 mPGA = 0.04 g, free field0.900677
PGA = 0.04 g, wall0.937611
PGA = 0.36 g, free field0.909493
PGA = 0.04 g, wall0.872869

References

  1. Camp, C.; Akin, A. Design of retaining walls using big bang–big crunch optimization. J. Struct. Eng. 2012, 138, 438–448. [Google Scholar] [CrossRef]
  2. Chen, L. Active earth pressure of retaining wall considering wall movement. Eur. J. Environ. Civ. Eng. 2014, 18, 910–926. [Google Scholar] [CrossRef]
  3. Nandi, R.; Choudhury, D. Displacement-controlled approach for the analysis of embedded cantilever retaining walls with a distanced strip surcharge. Comput. Geotech. 2022, 151, 104970. [Google Scholar] [CrossRef]
  4. Kitsis, V.; Athanasopoulos, G.; Zekkos, D. Kinematic response of a gravity retaining wall in the Cephalonia, Greece, 2014 Earthquakes. Geotech. Geol. Eng. 2024, 42, 4129–4152. [Google Scholar] [CrossRef]
  5. Guan, X.Y.; Madabhushi, G.S.P. Effect of water table on the behaviour of retaining walls and adjacent structures during earthquake loading. Soil Dyn. Earthq. Eng. 2025, 191, 109273. [Google Scholar] [CrossRef]
  6. Callisto, L.; Soccodato, F.M. Seismic design of flexible cantilevered retaining walls. J. Geotech. Geoenviron. Eng. 2009, 136, 344–354. [Google Scholar] [CrossRef]
  7. Francesco, P.; Michele, B.; Evelina, V.; Francesco, F.; Elisabetta, C. Fast and interpretable prediction of seismic kinematics of flexible retaining walls in sand through explainable artificial intelligence. Comput. Geotech. 2025, 179, 107007. [Google Scholar]
  8. Louizos, T.; Evangelia, G.; George, G. Seismic response of retaining walls: Theoretical parametric insights after centrifuge validation. Soil Dyn. Earthq. Eng. 2024, 176, 108314. [Google Scholar]
  9. Conti, R.; Caputo, V.G. A numerical and theoretical study on the seismic behaviour of yielding cantilever walls. Géotechnique 2018, 69, 377–390. [Google Scholar] [CrossRef]
  10. Al Atik, L.; Sitar, N. Seismic earth pressures on cantilever retaining structures. J. Geotech. Geoenviron. Eng. 2010, 136, 1324–1333. [Google Scholar] [CrossRef]
  11. Okabe, S. General Theory on earth pressure and seismic stability of retaining wall and dam. Proc. Civ. Eng. Soc. 1924, 10, 1277–1323. [Google Scholar]
  12. Mononobe, N.; Matsho, H. On the determination of earth pressure during earthquake. In Proceedings: World Engineering Congress, Japan, Tokyo, October–November 1929; Paper No. 388; World Engineering Congress: Paris, France, 1929; Volume 9, pp. 177–185. Available online: https://www.scribd.com/document/363172510/1929-MONONOBE-on-the-Determination-of-Earth-Pressure-During-Eartquakes (accessed on 1 September 2025).
  13. Steedman, R.S.; Zeng, X. The influence of phase on the calculation of pseudo-static earth pressure on a retaining wall. Géotechnique 1990, 40, 103–112. [Google Scholar] [CrossRef]
  14. Qin, C.; Chian, S.C. Pseudo-dynamic lateral earth pressures on rigid walls with varying cohesive-frictional backfill. Comput. Geotech. 2020, 119, 103289. [Google Scholar] [CrossRef]
  15. Pain, A.; Choudhury, D.; Bhattacharyya, S.K. Seismic rotational stability of gravity retaining walls by modified pseudo-dynamic method. Soil Dyn. Earthq. Eng. 2017, 94, 244–253. [Google Scholar] [CrossRef]
  16. Athanasopoulos-Zekkos, A.; Vlachakis, V.S.; Athanasopoulos, G.A. Phasing issues in the seismic response of yielding, gravity-type earth retaining walls—Overview and results from a FEM study. Soil Dyn. Earthq. Eng. 2013, 55, 59–70. [Google Scholar] [CrossRef]
  17. Sahare, A.; Ueda, K. Dynamic centrifuge modeling to investigate the deformation mechanism of an embedded cantilever retaining wall with submerged backfill conditions. Soil Dyn. Earthq. Eng. 2024, 179, 108510. [Google Scholar] [CrossRef]
  18. Singh, P.; Bhartiya, P.; Chakraborty, T.; Basu, D. Numerical investigation and estimation of active earth thrust on gravity retaining walls under seismic excitation. Soil Dyn. Earthq. Eng. 2023, 167, 107798. [Google Scholar] [CrossRef]
  19. Ishibashi, I.; Fang, Y.S. Dynamic earth pressures with different wall movement modes. Soils Found. 1987, 27, 11–22. [Google Scholar] [CrossRef][Green Version]
  20. Tamura, S.; Kawakami, R.; Okumura, T. Effects of mobilized wall friction angle on resultant seismic earth pressure on shallow foundation. J. Geotech. Geoenviron. Eng. 2019, 145, 04019062. [Google Scholar] [CrossRef]
  21. Ha, S.J.; Seo, H.; Kim, B. Effects of pulse-like ground motions and wavelet asymmetry on responses of cantilever retaining wall. Soil Dyn. Earthq. Eng. 2023, 166, 107724. [Google Scholar]
  22. Aghamolaei, M.; Saeedi Azizkandi, A.; Baziar, M.H.; Ghavami, S. Performance-based analysis of cantilever retaining walls subjected to near-fault ground shakings. Comput. Geotech. 2021, 130, 103924. [Google Scholar] [CrossRef]
  23. Seo, H.; Lee, Y.J.; Park, D.; Kim, B. Seismic fragility assessment for cantilever retaining walls with various backfill slopes in South Korea. Soil Dyn. Earthq. Eng. 2022, 161, 107443. [Google Scholar] [CrossRef]
  24. Wagner, N.; Sitar, N. On seismic response of stiff and flexible retaining structures. Soil Dyn. Earthq. Eng. 2016, 91, 284–293. [Google Scholar] [CrossRef]
  25. Chen, F.Q.; Chen, H.B.; Xu, L.; Lin, L.B. Seismic pseudo-static active earth pressure of narrow granular backfill against an inverted T-type retaining wall under translational mode. Soil Dyn. Earthq. Eng. 2022, 152, 107018. [Google Scholar] [CrossRef]
  26. Cakir, T. Evaluation of the effect of earthquake frequency content on seismic behavior of cantilever retaining wall including soil-structure interaction. Soil Dyn. Earthq. Eng. 2013, 45, 96–111. [Google Scholar] [CrossRef]
  27. Cakir, T. Influence of wall flexibility on dynamic response of cantilever retaining walls. Struct. Eng. Mech. 2014, 49, 1–22. [Google Scholar] [CrossRef]
  28. Cakir, T. Backfill and subsoil interaction effects on seismic behavior of a cantilever wall. Geomech. Eng. Int. J. 2014, 6, 117–138. [Google Scholar] [CrossRef]
  29. Jo, S.-B.; Ha, J.-G.; Lee, J.-S.; Kim, D.-S. Evaluation of the seismic earth pressure for inverted T-shape stiff retaining wall in cohesionless soils via dynamic centrifuge. Soil Dyn. Earthq. Eng. 2017, 92, 345–357. [Google Scholar] [CrossRef]
  30. Kamiloğlu, H.A.; Sadoğlu, E. Experimental and theoretical investigation of short- and long-heel cases of cantilever retaining walls in active state. Int. J. Geomech. 2019, 19, 04019023. [Google Scholar] [CrossRef]
  31. Kloukinas, P.; Mylonakis, G. Rankine solution for seismic earth pressures on L-shaped retaining walls. In Proceedings of the 5th International Conference on Earthquake Geotechnical Engineering (5ICEGE), Santiago, Chile, 10–13 January 2011. [Google Scholar]
  32. Kloukinas, P.; di Santolo, A.S.; Penna, A.; Dietz, M.; Evangelista, A.; Simonelli, A.L.; Taylor, C.; Mylonakis, G. Investigation of seismic response of cantilever retaining walls: Limit analysis vs shaking table testing. Soil Dyn. Earthq. Eng. 2015, 77, 432–445. [Google Scholar] [CrossRef]
  33. Kloukinas, P.; Mylonakis, G. Generalized Rankine solutions for seismic earth pressures: Validity, limitations & refinements. Soil Dyn. Earthq. Eng. 2024, 179, 108502. [Google Scholar] [CrossRef]
  34. Evangelista, A.; Scotto di Santolo, A.; Simonelli, A.L. Evaluation of pseudostatic active earth pressure coefficient of cantilever retaining walls. Soil Dyn. Earthq. Eng. 2010, 30, 1119–1128. [Google Scholar] [CrossRef]
  35. Greco, V.R. Active earth thrust on cantilever walls with short heel. Can. Geotech. J. 2001, 38, 401–409. [Google Scholar] [CrossRef]
  36. Greco, V.R. Analytical active earth thrust on cantilever walls with short heel. Can. Geotech. J. 2008, 45, 1649–1658. [Google Scholar] [CrossRef]
  37. Greco, V.R. Seismic active thrust on cantilever walls with short heel. Soil Dyn. Earthq. Eng. 2009, 29, 249–252. [Google Scholar] [CrossRef]
  38. Kamiloğlu, H.A.; Sadoğlu, E. A method for active seismic earth thrusts of granular backfill acting on cantilever retaining walls. Soils Found. 2019, 59, 419–432. [Google Scholar] [CrossRef]
  39. Psarropoulos, P.N.; Tsompanakis, Y.; Katsirakis, M. Dynamic soil-structure interaction between retaining walls, retaining soil and retained structures. Bull. Earthq. Eng. 2022, 20, 3593–3617. [Google Scholar] [CrossRef]
  40. Xu, P.; Jiang, G. Calculation of natural frequencies of retaining walls using the transfer matrix method. Adv. Civ. Eng. 2019, 2019, 2156475. [Google Scholar] [CrossRef]
  41. Fathipour, H.; Siahmazgi, A.S.; Payan, M.; Chenari, R.J.; Veiskarami, M. Evaluation of the active and passive pseudo-dynamic earth pressures using finite element limit analysis and second-order cone programming. Geotech. Geol. Eng. 2023, 41, 1921–1936. [Google Scholar] [CrossRef]
  42. PLAXIS 2D 2024, Reference Manual, 2015; Last Version 2015.2.19890.4979; Bentley Systems International Limited: Dublin, Ireland. Available online: https://bentleysystems.service-now.com/community?id=kb_article_view&sysparm_article=KB0107989 (accessed on 1 September 2025).
  43. Greco, V.R. Stability of retaining walls against overturning. J. Geotech. Geoenviron. Eng. 1997, 123, 778–780. [Google Scholar] [CrossRef]
  44. Michalowski, R.L.; Park, N. Admissible stress fields and arching in piles of sand. Géotechnique 2004, 54, 529–538. [Google Scholar] [CrossRef]
  45. Paik, K.H.; Salgado, R. Estimation of active earth pressure against rigid retaining walls considering arching effects. Géotechnique 2003, 53, 643–653. [Google Scholar] [CrossRef]
  46. Guo, P.J. Effect of density and compressibility on K0 of cohesionless soils. Acta Geotech. 2010, 5, 225–238. [Google Scholar] [CrossRef]
  47. Brown, C.B.; Aggour, M.S. The prediction of earth pressure on retaining walls due to compaction. Géotechnique 1974, 24, 489–502. [Google Scholar] [CrossRef]
  48. Chen, T.J.; Fang, Y.S. Earth Pressure due to Vibratory Compaction. J. Geotech. Geoenviron. Eng. 2008, 134, 437–444. [Google Scholar] [CrossRef]
  49. American Association of State Highway and Transportation Officials. AASHTO LRFD Bridge Design Specifications, 6th ed.; AASHTO: Washington, DC, USA, 2012. [Google Scholar]
  50. NEHRP 2009; Recommended Seismic Provisions for New Building and Other Structures. Federal Emergency Management Agency (FEMA P-750), Building Seismic Safety Council: Washington, DC, USA, 2009.
  51. Kramer, S.L. Geotechnical Earthquake Engineering; Prentice Hall: Upper Saddle River, NJ, USA, 1996. [Google Scholar]
  52. EN 1998–5: 2004; EC8 (2004) Eurocode 8: Design of Structures for Earthquake Resistance—Part 5: Foundations, Retaining Structures and Geotechnical Aspects. CEN: Brussels, Belgium, 2004.
  53. Kuhlemeyer, R.L.; Lysmer, J. Finite element method accuracy for wave propagation problems. J. Soil Mech. Found. Div. 1973, 99, 421–427. [Google Scholar] [CrossRef]
  54. Salem, N.A.; Ezzeldine, Y.O.; Amer, I.M. Seismic loading on cantilever retaining walls: Full-scale dynamic analysis. Soil Dyn. Earthq. Eng. 2020, 130, 105962. [Google Scholar] [CrossRef]
  55. Sun, Z.L.; Kong, L.W.; Wang, Y.; Zhou, Z.H. Study on seismic response characteristics of a micropile-reinforced filled slope behind a cantilever retaining wall. Chin. J. Rock Mech. Eng. 2022, 41, 2109–2123. [Google Scholar]
  56. Jo, S.-B.; Ha, J.-G.; Yoo, M.; Choo, Y.W.; Kim, D.-S. Seismic behavior of an inverted T-shape flexible retaining wall via dynamic centrifuge tests. Bull. Earthq. Eng. 2014, 12, 961–980. [Google Scholar] [CrossRef]
  57. Bakr, J.; Ahmad, S.M. A finite element performance-based approach to correlate movement of a rigid retaining wall with seismic earth pressure. Soil Dynam. Earthq. Eng. 2018, 114, 460–479. [Google Scholar] [CrossRef]
  58. Bakr, J.; Ahmad, S.M.; Lombardi, D. Finite-element study for seismic structural and global stability of cantilever-type retaining walls. Int. J. Geomech. 2019, 19, 04019117. [Google Scholar] [CrossRef]
Figure 2. Critical bottom heel slab length for distinguishing between long-heel and short-heel cantilever retaining walls under different lateral seismic acceleration coefficients (φ = 34°, δ = 24°, γ = 18 kN/m3, h = 6.0 m).
Figure 2. Critical bottom heel slab length for distinguishing between long-heel and short-heel cantilever retaining walls under different lateral seismic acceleration coefficients (φ = 34°, δ = 24°, γ = 18 kN/m3, h = 6.0 m).
Designs 09 00114 g002
Figure 3. Dimensional schematics of three structural configurations for cantilever retaining walls.
Figure 3. Dimensional schematics of three structural configurations for cantilever retaining walls.
Designs 09 00114 g003
Figure 4. The shear strain contours on the failure surface of backfill soil for three types of cantilever retaining walls under different accelerations.
Figure 4. The shear strain contours on the failure surface of backfill soil for three types of cantilever retaining walls under different accelerations.
Designs 09 00114 g004
Figure 5. Limit equilibrium force analysis of cantilever wall with short heel. (a) Failure surface distribution, (b) force on sliding block BEF, (c) force on sliding block ACBF, and (d) force on block mass ADBF [37].
Figure 5. Limit equilibrium force analysis of cantilever wall with short heel. (a) Failure surface distribution, (b) force on sliding block BEF, (c) force on sliding block ACBF, and (d) force on block mass ADBF [37].
Designs 09 00114 g005
Figure 6. Variation in earth pressure coefficient on the V-plane under different χ (= b/h) conditions. (a) Almost no heel, (b) short heel with partial Rankine earth pressure line, (c) short heel with whole Rankine earth pressure line, and (d) long heel.
Figure 6. Variation in earth pressure coefficient on the V-plane under different χ (= b/h) conditions. (a) Almost no heel, (b) short heel with partial Rankine earth pressure line, (c) short heel with whole Rankine earth pressure line, and (d) long heel.
Designs 09 00114 g006
Figure 7. Calculation zones of earth pressure coefficient and their corresponding parameter values: (a) Schematic diagram of earth pressure coefficient calculation zones; (b) critical kh values (corresponding to length of OA) for different friction angles of backfill φ and slope angles β; (c) values of χ (η = 100% corresponding to length of OC, and η = 80% corresponding to length of OD) for different friction angles of backfill φ and slope angles β when kh = 0; (d) variation in χ with kh for different friction angles of backfill φ and slope angles β (corresponding to line AB).
Figure 7. Calculation zones of earth pressure coefficient and their corresponding parameter values: (a) Schematic diagram of earth pressure coefficient calculation zones; (b) critical kh values (corresponding to length of OA) for different friction angles of backfill φ and slope angles β; (c) values of χ (η = 100% corresponding to length of OC, and η = 80% corresponding to length of OD) for different friction angles of backfill φ and slope angles β when kh = 0; (d) variation in χ with kh for different friction angles of backfill φ and slope angles β (corresponding to line AB).
Designs 09 00114 g007
Figure 8. Variation in earth pressure coefficient on the V-plane with horizontal acceleration coefficients of (a) δ = 0°, (b) δ = 20°, (c) δ = 33.9° ( φ = 34°, β = 7.5°, γ = 18 kN/m3, h = 6.0 m), (d) δ = 20°, b = 1.0 m.
Figure 8. Variation in earth pressure coefficient on the V-plane with horizontal acceleration coefficients of (a) δ = 0°, (b) δ = 20°, (c) δ = 33.9° ( φ = 34°, β = 7.5°, γ = 18 kN/m3, h = 6.0 m), (d) δ = 20°, b = 1.0 m.
Designs 09 00114 g008
Figure 9. Construction sequence of Type A retaining wall soil system and the associated contours of horizontal displacement.
Figure 9. Construction sequence of Type A retaining wall soil system and the associated contours of horizontal displacement.
Designs 09 00114 g009
Figure 10. Comparison of the stress field after layered fill placement and the ideal K0 stress field.
Figure 10. Comparison of the stress field after layered fill placement and the ideal K0 stress field.
Designs 09 00114 g010
Figure 11. Relationship curves of (a) earth pressure coefficient; (b) internal friction angle; (c) point of application of resultant earth pressure force on the calculated surface; and (d) failure plane angles ωα, ωβ, and ωα + ωβ versus horizontal seismic acceleration coefficient obtained by pseudo-static method (The comparative data were calculated using the method described in Reference [32]).
Figure 11. Relationship curves of (a) earth pressure coefficient; (b) internal friction angle; (c) point of application of resultant earth pressure force on the calculated surface; and (d) failure plane angles ωα, ωβ, and ωα + ωβ versus horizontal seismic acceleration coefficient obtained by pseudo-static method (The comparative data were calculated using the method described in Reference [32]).
Designs 09 00114 g011
Figure 12. Time–history curves of (a) earth pressure coefficient, (b) internal friction angle, and (c) point of application height on analysis planes from dynamic numerical simulation.
Figure 12. Time–history curves of (a) earth pressure coefficient, (b) internal friction angle, and (c) point of application height on analysis planes from dynamic numerical simulation.
Designs 09 00114 g012
Figure 13. Time–history curves of (a) the anti-overturning stability safety factor Ft, (b) the anti-sliding stability safety factor Fs, and (c) the incremental dynamic moment at the cantilever base of the retaining wall subjected to seismic waves with multiple distinct input frequencies.
Figure 13. Time–history curves of (a) the anti-overturning stability safety factor Ft, (b) the anti-sliding stability safety factor Fs, and (c) the incremental dynamic moment at the cantilever base of the retaining wall subjected to seismic waves with multiple distinct input frequencies.
Designs 09 00114 g013
Figure 14. The residual displacement of the cantilever retaining wall after an earthquake, compared to its pre-earthquake position (H = 6.0 m).
Figure 14. The residual displacement of the cantilever retaining wall after an earthquake, compared to its pre-earthquake position (H = 6.0 m).
Designs 09 00114 g014
Figure 15. Summary of safety factors (pre- and post-earthquake) and dynamic moment increments at the cantilever base of the retaining wall under seismic waves with different input frequencies.
Figure 15. Summary of safety factors (pre- and post-earthquake) and dynamic moment increments at the cantilever base of the retaining wall under seismic waves with different input frequencies.
Designs 09 00114 g015
Figure 16. Displacement contour plots from modal analysis of retaining wall–backfill soil system: (a) first-order mode; (b) second-order mode (displacements magnified 5 times; Unit: m).
Figure 16. Displacement contour plots from modal analysis of retaining wall–backfill soil system: (a) first-order mode; (b) second-order mode (displacements magnified 5 times; Unit: m).
Designs 09 00114 g016
Figure 17. Comparative analysis of earth pressure: Calculated values from different methods vs. numerical simulation results.
Figure 17. Comparative analysis of earth pressure: Calculated values from different methods vs. numerical simulation results.
Designs 09 00114 g017
Table 1. Soil and retaining wall model parameters used for the present study.
Table 1. Soil and retaining wall model parameters used for the present study.
ParameterBackfillFoundation SoilRetaining Wall
ModelHS smallHardening SoilViscoelastic
Unit weight γ s (kN/m3)18.019.024.0
Secant modulus E 50 r e f (kPa)3.60 × 1044.68 × 104
Unloading/reloading stiffness E u r r e f (kPa)1.08 × 1051.404 × 105
Power for stress-level dependency of stiffness m0.50.5
Cohesion c r e f (kPa)00
Friction angle ϕ (°)34.040.0
Dilatancy angle ψ (°)00
Reference shear strain γ 0.7 0.0002
Shear modulus at very small strains G 0 r e f (kPa)1.13 × 105
Poisson’s ratio ν u r 0.200.200.334
Failure ratio Rf0.90.9
Young’s modulus E (kPa) 6.8 × 107
Interface reduction factor Rinter0.650.65
Damping ratio3.00%3.00%3.00%
Table 2. Summary of dynamic simulation cases with variable-frequency synthetic seismic waves.
Table 2. Summary of dynamic simulation cases with variable-frequency synthetic seismic waves.
Height of the Retaining Wall hInput Frequency of the Seismic Wave f
6 mf = 1, 3, 5 Hz
8 mf = 1, 2, 3, 4, 5 Hz
10 mf = 1, 3, 5 Hz
Table 3. Comparison of dynamic active earth pressure coefficients derived from different computational methods.
Table 3. Comparison of dynamic active earth pressure coefficients derived from different computational methods.
khCoulomb MethodRankine MethodPresent Method (Considering Resonance Effects, f0 = 3 HZ)
Aa = 1.14Aa = 1.52Aa = 1.00
0.10.3630.3290.3750.5000.329
0.20.4510.3890.4440.5920.389
0.30.5630.4950.5650.7530.495
0.40.7120.6560.7480.9980.656
0.50.9190.8951.0201.3610.895
Table 4. Comparative summary of root mean square error (RMSEs) of calculated earth pressure values using different methods and numerically simulated values.
Table 4. Comparative summary of root mean square error (RMSEs) of calculated earth pressure values using different methods and numerically simulated values.
Earth PressureMethodRMSE (kPa)
Dynamic earth pressureRankine method—FEM23.96584
Coulomb method—FEM21.72183
Present method—FEM15.39561
Residual earth pressureRankine method—FEM18.92327
Coulomb method—FEM16.37654
Present method—FEM10.08094
Disclaimer/Publisher’s Note: The statements, opinions and data contained in all publications are solely those of the individual author(s) and contributor(s) and not of MDPI and/or the editor(s). MDPI and/or the editor(s) disclaim responsibility for any injury to people or property resulting from any ideas, methods, instructions or products referred to in the content.

Share and Cite

MDPI and ACS Style

Sun, Z.; Wang, W.; Liu, H. Pseudo-Static Design and Analysis of Seismic Earth Pressure for Cantilever Retaining Walls with Limitation Assessment. Designs 2025, 9, 114. https://doi.org/10.3390/designs9050114

AMA Style

Sun Z, Wang W, Liu H. Pseudo-Static Design and Analysis of Seismic Earth Pressure for Cantilever Retaining Walls with Limitation Assessment. Designs. 2025; 9(5):114. https://doi.org/10.3390/designs9050114

Chicago/Turabian Style

Sun, Zhiliang, Wei Wang, and Hanghang Liu. 2025. "Pseudo-Static Design and Analysis of Seismic Earth Pressure for Cantilever Retaining Walls with Limitation Assessment" Designs 9, no. 5: 114. https://doi.org/10.3390/designs9050114

APA Style

Sun, Z., Wang, W., & Liu, H. (2025). Pseudo-Static Design and Analysis of Seismic Earth Pressure for Cantilever Retaining Walls with Limitation Assessment. Designs, 9(5), 114. https://doi.org/10.3390/designs9050114

Article Metrics

Back to TopTop