Sign in to use this feature.

Years

Between: -

Subjects

remove_circle_outline
remove_circle_outline
remove_circle_outline
remove_circle_outline
remove_circle_outline
remove_circle_outline
remove_circle_outline
remove_circle_outline
remove_circle_outline

Journals

remove_circle_outline
remove_circle_outline
remove_circle_outline
remove_circle_outline
remove_circle_outline
remove_circle_outline
remove_circle_outline
remove_circle_outline

Article Types

Countries / Regions

remove_circle_outline
remove_circle_outline
remove_circle_outline
remove_circle_outline
remove_circle_outline

Search Results (804)

Search Parameters:
Keywords = simultaneous adsorption

Order results
Result details
Results per page
Select all
Export citation of selected articles as:
10 pages, 1690 KB  
Communication
Enhancing the Performance of Dye-Sensitized Solar Cells with a Three-Layer Photoanode
by Zhou Li, Lihua Bai, Yuan Zhang, Zhangyang Zhou and Teng Zhang
Materials 2026, 19(7), 1286; https://doi.org/10.3390/ma19071286 - 24 Mar 2026
Abstract
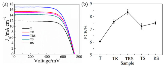
Dye-sensitized solar cells (DSCs) have garnered significant attention due to their high power conversion efficiency and low production cost-effectiveness. In this study, we developed a hierarchically structured three-layer TiO2 photoanode via hydrothermal synthesis to significantly enhance DSC performance. The optimized device achieved [...] Read more.
Dye-sensitized solar cells (DSCs) have garnered significant attention due to their high power conversion efficiency and low production cost-effectiveness. In this study, we developed a hierarchically structured three-layer TiO2 photoanode via hydrothermal synthesis to significantly enhance DSC performance. The optimized device achieved a short-circuit current density of 16.92 mA/cm2 and a photoelectric conversion efficiency of 8.34%, representing improvements of 15.67% and 20.5%, respectively, compared to traditional DSCs with a single-layer TiO2 photoanode in our study. The significance lies in the rational design principle rather than absolute efficiency. This performance enhancement stems from the complementary functions of each architectural layer: (1) a bottom layer of TiO2 nanocrystals providing high surface area for dye adsorption, (2) an intermediate layer of vertically aligned TiO2 nanorods enabling efficient electron transport, and (3) a top layer of TiO2 microspheres simultaneously boosting dye loading and light harvesting through enhanced light scattering. Our findings demonstrate that rational design of multi-layered photoanode architectures can effectively address the competing demands of surface area, charge transport, and light management in high-performance DSCs. Full article
(This article belongs to the Section Energy Materials)
Show Figures

Figure 1

21 pages, 3277 KB  
Review
Beyond Sustainable: Geo-Adaptive Design of Carbon-Based Adsorbents Through Aligning Pesticide Remediation with Regional Agricultural Practices and Food Safety Needs
by Tamara Lazarević-Pašti and Igor A. Pašti
Foods 2026, 15(6), 1110; https://doi.org/10.3390/foods15061110 - 23 Mar 2026
Viewed by 89
Abstract
The persistence of pesticide residues in food and water poses a significant challenge to global food safety, particularly under the pressures of intensive agriculture and climate variability. Despite significant progress in developing adsorbent materials for pesticide remediation, most approaches remain chemically optimized but [...] Read more.
The persistence of pesticide residues in food and water poses a significant challenge to global food safety, particularly under the pressures of intensive agriculture and climate variability. Despite significant progress in developing adsorbent materials for pesticide remediation, most approaches remain chemically optimized but geographically blind. This review introduces the concept of geo-adaptive design of carbon-based adsorbents, emphasizing that remediation materials should be tailored to the regional profiles of pesticide use, environmental conditions, and available biomass precursors. Pesticide contamination patterns vary widely across climates and agricultural systems, resulting in distinct chemical signatures that determine adsorption behavior. Simultaneously, locally abundant agro-industrial byproducts, such as walnut shells, rice husks, olive stones, or fruit pomace, offer sustainable carbon sources for region-specific materials. By correlating pesticide structure, adsorbent surface chemistry, and environmental parameters, geo-adaptive materials can be designed to maximize efficiency, selectivity, and sustainability in environmental remediation contexts, including the treatment of pesticide-contaminated soils and water streams. In addition, these materials may be integrated into food processing and packaging systems, where they can function as localized, low-cost mitigation strategies aligned with circular economy principles. The review highlights how regionally optimized carbon materials could connect advances in environmental remediation with the practical needs of food technology, leading toward food safety strategies that are both globally relevant and locally adaptable. Full article
Show Figures

Graphical abstract

21 pages, 2670 KB  
Article
Caffeine and Paracetamol Adsorption and Antibacterial Activity Using Granular Activated Carbon Modified with Silver and Copper Compounds
by Luiza Carla Augusto Molina, Jayana Freitas Resende, Jumara Silva de Sousa, Luis Fernando Cusioli, Letícia Nishi, Sandro Rogerio Lautenschlager and Rosangela Bergamasco
Processes 2026, 14(6), 1009; https://doi.org/10.3390/pr14061009 - 21 Mar 2026
Viewed by 191
Abstract
Adsorption is a promising solution to the presence of contaminants in water resources that involves the use of adsorbent materials, such as granular activated carbon (GAC) and nanoparticles like silver (Ag) and copper (Cu). However, the practical challenge of using pure GAC lies [...] Read more.
Adsorption is a promising solution to the presence of contaminants in water resources that involves the use of adsorbent materials, such as granular activated carbon (GAC) and nanoparticles like silver (Ag) and copper (Cu). However, the practical challenge of using pure GAC lies in its susceptibility to biofouling. This study aimed to develop a multifunctional GAC/AgCu nanocomposite to address the dual challenge of pharmaceutical contamination and bacterial activity of Escherichia coli. Characterization by SEM, XRF, XRD and FTIR confirmed the successful impregnation of nanoparticles. Kinetic studies showed that the pseudo-first-order model was more suitable for both caffeine and paracetamol contaminants. The Langmuir model provided the best fit for isotherms, achieving maximum adsorption capacities of 138.35 mg g1 for caffeine and 92.21 mg g1 for paracetamol. In antibacterial tests, GAC/AgCu achieved a bacterial reduction of over 97%, whereas pure GAC showed no inhibitory effect, confirming that the antimicrobial properties are derived from the Ag and Cu nanoparticles. These results highlight GAC/AgCu as a promising multifunctional material for the simultaneous removal of emerging pharmaceutical pollutants and biological contaminants, offering a solution to mitigate biofouling and enhance water treatment efficiency. Full article
(This article belongs to the Section Environmental and Green Processes)
Show Figures

Figure 1

22 pages, 2725 KB  
Article
Exploring Cork Boiling Wastewater for Cosmetic Application
by Sandra Mota, Sara Cravo, Joana Rocha e Silva, Agostinho Almeida, Clara Quintas, Helena N. Ferreira, Maria Elizabeth Tiritan, Honorina Cidade and Isabel Martins de Almeida
Cosmetics 2026, 13(2), 75; https://doi.org/10.3390/cosmetics13020075 - 19 Mar 2026
Viewed by 230
Abstract
Global water scarcity, intensified by population growth, economic development, and climate change, presents a significant challenge, with the cosmetics industry contributing heavily to water demand. Simultaneously, the cork industry generates substantial amounts of cork boiling wastewater (CBW), an acidic effluent with environmental hazards. [...] Read more.
Global water scarcity, intensified by population growth, economic development, and climate change, presents a significant challenge, with the cosmetics industry contributing heavily to water demand. Simultaneously, the cork industry generates substantial amounts of cork boiling wastewater (CBW), an acidic effluent with environmental hazards. This study explored CBW’s potential for cosmetic application, focusing on safety, physicochemical properties, and suitability for incorporation in cosmetic formulations. Three CBW samples (A, B and C) were analyzed for pH, conductivity, turbidity, density, 2,2-diphenyl-1-picrylhydrazyl (DPPH) scavenging activity, and total phenolic content. CBW A displayed suitable physicochemical properties and potential antioxidant activity and was selected for further investigation. Human keratinocyte viability was assessed using CBW A before and after adsorption treatment with silica (TCBW A) to reduce cytotoxicity. CBW A was more toxic to human keratinocytes compared to control water, but treatment improved cell viability. This treatment had minimal impact on physicochemical parameters, aside from reducing phenolic content. Metal concentrations in TCBW A remained within cosmetic safety limits. TCBW A was incorporated into an oil-in-water (O/W) cream, which was further evaluated for pH, droplet size, rheological behavior, textural properties, and stability. The resulting cream was homogeneous, woody-scented, with uniform droplet size and stable after centrifugation. TCBW A incorporation provided suitable rheological behavior and formulation stability after 90 days of storage at 25 °C. These findings indicate that TCBW A has low cytotoxicity, suitable physicochemical properties, and provides stable cosmetic formulations, highlighting its potential as a sustainable ingredient for the cosmetic industry. Full article
(This article belongs to the Section Cosmetic Formulations)
Show Figures

Figure 1

33 pages, 4501 KB  
Review
Water–Energy–Carbon Nexus: Biochar-Based Catalysts via Waste Valorization for Sustainable Catalysis
by Hossam A. Nabwey and Maha A. Tony
Catalysts 2026, 16(3), 267; https://doi.org/10.3390/catal16030267 - 15 Mar 2026
Viewed by 436
Abstract
The water–energy–carbon (WEC) nexus provides a systems framework for minimizing trade-offs among water security, energy reliability, and carbon mitigation. Within this framework, waste-derived biochar catalysts offer a circular pathway that simultaneously valorizes residues, reduces process energy demand, and supports carbon management through stable [...] Read more.
The water–energy–carbon (WEC) nexus provides a systems framework for minimizing trade-offs among water security, energy reliability, and carbon mitigation. Within this framework, waste-derived biochar catalysts offer a circular pathway that simultaneously valorizes residues, reduces process energy demand, and supports carbon management through stable carbon storage and catalytic co-benefits. This review consolidates recent advances in biochar-based catalysts engineered from agricultural, industrial, municipal, and sludge-derived wastes, highlighting how feedstock selection and thermochemical processing, namely pyrolysis, hydrothermal carbonization (HTC), and torrefaction, as well as activation and post-modification (heteroatom doping and metal/metal-oxide incorporation) govern structure–property–performance relationships. The synthesized catalysts have been widely applied in water and wastewater treatment, including adsorption–advanced oxidation process (AOP) hybrids, Fenton-like systems, peroxydisulfate/persulfate (PS) and peroxymonosulfate (PMS) activation, photocatalysis, and the removal of emerging contaminants. They have also demonstrated strong potential in energy conversion processes such as the hydrogen evolution reaction (HER), oxygen reduction and evolution reactions (ORR/OER), biomass reforming, and carbon dioxide (CO2) conversion. In addition, these materials contribute to carbon management through sequestration pathways, avoided emissions, and life cycle assessment (LCA)-based sustainability evaluations. Finally, we propose a WEC-aligned design roadmap integrating techno-economic analysis (TEA), LCA, and scale-up considerations to guide next-generation biochar catalysts toward robust performance in real matrices and deployment-ready systems. Full article
(This article belongs to the Special Issue Catalysis and Sustainable Green Chemistry)
Show Figures

Figure 1

17 pages, 3704 KB  
Article
The Effect of Heparin-Grafted Chitosan-Cellulose Composite Microspheres on the Removal of Endotoxins and Circulating Histones in a Septic Rabbit Model: An In Vivo Study
by Luojia Jiang, Ying Li, Fang Wan, Yi Su, Meixian Lei, Yupei Li and Haibo Xu
Biomedicines 2026, 14(3), 661; https://doi.org/10.3390/biomedicines14030661 - 14 Mar 2026
Viewed by 201
Abstract
Background/Objectives: The strategy of targeting endotoxins and circulating histones to alleviate excessive inflammation and tissue damage has been proposed as an important immunoregulatory strategy against sepsis. However, the development of a multifunctional hemoperfusion adsorber that simultaneously removes endotoxins and histones remains an unmet [...] Read more.
Background/Objectives: The strategy of targeting endotoxins and circulating histones to alleviate excessive inflammation and tissue damage has been proposed as an important immunoregulatory strategy against sepsis. However, the development of a multifunctional hemoperfusion adsorber that simultaneously removes endotoxins and histones remains an unmet clinical need in sepsis management. Methods: We synthesized chitosan-cellulose composite (CSCE) microspheres utilizing phase inversion technology, while heparin-grafted chitosan-cellulose composite (CSCEHEP) microspheres were developed by grafting heparin onto CSCE microspheres through the carbodiimide coupling method. In our experimental design, we allocated healthy New Zealand rabbits to four distinct groups: a healthy control group, a lipopolysaccharides (LPS) group, a CSCE group, and a CSCEHEP group. Following the administration of LPS for 12 h, septic rabbits underwent extracorporeal hemoperfusion with either CSCE or CSCEHEP microspheres for a duration of 6 h, notably without the inclusion of heparin in the blood circuits. Post-hemoperfusion, we conducted an analysis of thrombus formation and total protein adsorption on the column. Concurrently, blood samples were collected from the venous side to evaluate inflammatory cytokine concentrations, liver and kidney function levels, LPS levels, the histone presence, and to perform histopathological assessments of liver and kidney injury. Results: Our in vivo experiments demonstrated that CSCEHEP microspheres for extracorporeal circulation could achieve a 6 h hemoperfusion session in septic rabbits without the need for continuous anticoagulation with heparin. A CSCEHEP column turns into a very light-red color (almost the original white) and light contamination or clotting was observed after the 6 h hemoperfusion. Moreover, CSCEHEP microspheres effectively reduced the concentration levels of leukocyte, serum IL-6 and TNF-α, mitigated pathological damage to the liver and kidneys, and removed over 56.7% of LPS and nearly 58.6% of histone H3 from the blood of septic rabbits during hemoperfusion. Conclusions: Hemoperfusion utilizing CSCEHEP microspheres exhibits excellent self-anticoagulation capabilities, remarkable anti-inflammatory performance, efficient endotoxin adsorption and histone antagonism properties, rendering it both effective and safe for use in septic rabbits. Full article
(This article belongs to the Special Issue Innovations in Kidney Disease: From Pathogenesis to Therapy)
Show Figures

Figure 1

23 pages, 6216 KB  
Article
Structural and Chemical Characterization of Carnauba Stalk Biochar (Copernicia prunifera) and Its Application in Methylene Blue Adsorption
by Pedro Queiros Santiago, Laryssa Coutinho da Silva, Eva Furtado de Sousa, Joel Pedrosa Sousa, Samuel Lucas Santos Medeiros, Maria Alexsandra de Sousa Rios and Ricardo Emílio F. Q. Nogueira
Processes 2026, 14(6), 905; https://doi.org/10.3390/pr14060905 - 12 Mar 2026
Viewed by 286
Abstract
The improper discharge of industrial effluents containing dyes, such as methylene blue, represents a serious environmental problem. The present study, therefore, aimed to evaluate the potential of biochar derived from carnauba stalks as an adsorbent for removing dyes from aqueous media. The raw [...] Read more.
The improper discharge of industrial effluents containing dyes, such as methylene blue, represents a serious environmental problem. The present study, therefore, aimed to evaluate the potential of biochar derived from carnauba stalks as an adsorbent for removing dyes from aqueous media. The raw stalks were subjected to carbonization under an inert atmosphere to yield biochar, and both materials were characterized by proximate and elemental analyses, SEM/EDS, PSD, XRD, FTIR, and thermal analyses. Batch adsorption experiments were monitored by UV-Vis spectrophotometry. Pyrolysis resulted in an increase in aromatic fixed carbon (+26.5%) and ash content (+23.8%), while simultaneously reducing volatile matter (−39.3%), moisture, and the atomic H/C (0.39) and O/C (0.07) ratios. Furthermore, thermal stability was enhanced without causing a significant alteration to the average particle size (~30 μm). Adsorption tests showed a maximum uptake of 32.5 mg∙g−1 at low dosage (2 mg), corresponding to 8.66% removal, while 27.83% removal was achieved at higher dosage (25 mg). Equilibrium data were best described by the Langmuir model (qm = 210.7 mg∙g−1; R2 = 0.971), with qm representing a theoretical fitting parameter. These findings of this study demonstrate the adsorption potential of carnauba stalk biochar and support its evaluation as a lignocellulosic material for dye removal applications. Full article
(This article belongs to the Special Issue Agro-Food Waste Applying Sustainable Processes)
Show Figures

Graphical abstract

14 pages, 4563 KB  
Article
Insights into the Enhanced Tetracycline Adsorption by Two-Dimensional Cu-Based Metal–Organic Framework
by Linteng Wang, Shi Wang, Yonglong Pang, Liyuan Guo, Jiming Huang, Ping Xue and Lingjun Kong
Molecules 2026, 31(5), 911; https://doi.org/10.3390/molecules31050911 - 9 Mar 2026
Viewed by 284
Abstract
Accumulation of tetracycline (TC) in aquatic environments poses a significant threat to human health and ecosystems, driving the need for efficient removal technologies. Two-dimensional metal–organic frameworks (2D MOFs) are promising adsorbents due to their tunable structures and abundant active sites. In this work, [...] Read more.
Accumulation of tetracycline (TC) in aquatic environments poses a significant threat to human health and ecosystems, driving the need for efficient removal technologies. Two-dimensional metal–organic frameworks (2D MOFs) are promising adsorbents due to their tunable structures and abundant active sites. In this work, three 2D MOFs, M3(HHTP)2 (M = Cu, Ni, Co), were synthesized via a solvothermal method. Among them, Cu3(HHTP)2 exhibited superior TC adsorption with a maximum capacity of 302.84 mg/g. The adsorption process, best described by the Langmuir isotherm and pseudo-second-order kinetic models, indicates chemisorption. Mechanistic investigations reveal that the high-activity coordination sites formed by Cu2+ due to Jahn–Teller distortion enable strong coordination with TC. This is identified as the key factor governing the differential adsorption performance among the three MOFs. Simultaneously, the surface functional groups facilitate hydrogen bonding, and the advantageous pore structure of the material itself, together forming a synergistic adsorption. This work not only elucidates the microscopic mechanism behind the efficient adsorption of TC by Cu3(HHTP)2 but also, through comparative analysis of isostructural MOFs, confirms the decisive role of metal center electronic structure in modulating the adsorption behavior of 2D MOFs. The insights gained from this study may serve as a reference for the design of 2D high-performance adsorbents. Full article
(This article belongs to the Section Materials Chemistry)
Show Figures

Graphical abstract

13 pages, 1504 KB  
Article
Process Differences in Phosphorus Release Between Wetland and River Sediments in a Plain River Network
by Yinan Liu, Xin Xu, Jianglong Cui, Dongya Tang and Shanshan Zhao
Processes 2026, 14(5), 877; https://doi.org/10.3390/pr14050877 - 9 Mar 2026
Viewed by 269
Abstract
The release process of endogenous phosphorus (P) in the sediments of large ecological wetlands and their connected rivers in the plain river network area shows temporal and spatial differences. This study investigated P dynamics of the sediments in a large ecological wetland and [...] Read more.
The release process of endogenous phosphorus (P) in the sediments of large ecological wetlands and their connected rivers in the plain river network area shows temporal and spatial differences. This study investigated P dynamics of the sediments in a large ecological wetland and its connected rivers in a plain river network area. Sample collection occurred across three periods (October 2024, March 2025, and July 2025). P source-sink characteristics and microbial regulatory mechanisms were analyzed to clarify differences in the P release processes between wetland (SS) and river (SH) sediments. The results showed that the total phosphorus (TP) concentration in overlying water was highest in July (0.16 mg/L), while the TP content in SS was relatively low, with a mean value of 514.1 mg/kg. SS generally acted as a P sink, with its zero equilibrium P concentrations (EPC0) significantly lower than those of river sediments (SH), reaching a minimum of 0.01 mg/L, and its maximum P sorption capacity (Qmax) higher, with a maximum value of 1.413 mg/g. In contrast, SH mainly served as a P source, with a particularly high release risk in spring and summer. Seasonal changes significantly influenced P behavior, and sorption capacity was highest in spring (March), while the high EPC0 of SH still facilitated P release under actual water conditions. In autumn, elevated microbial diversity enhanced organic matter mineralization to increase EPC0 and P release risk (p < 0.05), while in summer, specific functional phyla (Proteobacteria and Bacteroidota) simultaneously regulated both adsorption capacity (Qmax) and release threshold (EPC0) through organic matter mineralization, iron reduction, and competitive sorption (p < 0.05). This study provides scientific support for internal pollution control in ecological wetlands and watershed phosphorus management in plain river network areas. Full article
(This article belongs to the Section Environmental and Green Processes)
Show Figures

Figure 1

17 pages, 3763 KB  
Article
Boosting Photocatalytic CO2 Cycloaddition via Dual-Active Site Coordination over Amino-Functionalized UiO-66(Zr)
by Yajing Lv, Haohao Yan, Wenhui Ye, Lin Ye, Jinmei Chen, Yutong Lin, Shuying Zhu, Dengrong Sun, Xiyao Liu and Ruowen Liang
Molecules 2026, 31(5), 902; https://doi.org/10.3390/molecules31050902 - 9 Mar 2026
Viewed by 307
Abstract
CO2 cycloaddition with epoxides offers a sustainable route for CO2 utilization, yet the simultaneous activation of both substrates remains challenging. Herein, using UiO-66(Zr)-NH2 (denoted as UZN) as a model system, we illustrate that dual-active sites consisting of unsaturated Zr4+ [...] Read more.
CO2 cycloaddition with epoxides offers a sustainable route for CO2 utilization, yet the simultaneous activation of both substrates remains challenging. Herein, using UiO-66(Zr)-NH2 (denoted as UZN) as a model system, we illustrate that dual-active sites consisting of unsaturated Zr4+ centers and amine groups can efficiently accelerate CO2 fixation with epoxides under visible light. The unique ensemble in UZN optimizes light harvesting, promotes charge carrier separation, and enriches bifunctional active sites for efficient adsorption and activation of epoxides and CO2. Consequently, UZN exhibits significantly improved CO2-epoxide cycloaddition performance compared to UiO-66(Zr)-H (denoted as UZH), achieving a PC yield of 99.5%, with a production rate of 9.97 mmol·g−1·h−1. This work establishes a clear coordination–photocatalytic synergy in MOF-based systems and provides fundamental insights and a generalizable strategy for designing advanced catalysts for CO2 transformation. Full article
(This article belongs to the Section Photochemistry)
Show Figures

Figure 1

48 pages, 7674 KB  
Review
Textile Microplastics in Wastewater: A Critical Review of Removal and Carbonization Technologies
by Azam Ali and Muhammad Zaman Khan
C 2026, 12(1), 24; https://doi.org/10.3390/c12010024 - 9 Mar 2026
Viewed by 573
Abstract
The rapid growth of synthetic textile production has intensified the release of micro- and nanoplastics (MPs/NPs) into aquatic environments, primarily through industrial effluents and domestic laundering. Textile-derived microplastics, especially polyester fibers and polymeric coating fragments, constitute a significant fraction of plastic contamination in [...] Read more.
The rapid growth of synthetic textile production has intensified the release of micro- and nanoplastics (MPs/NPs) into aquatic environments, primarily through industrial effluents and domestic laundering. Textile-derived microplastics, especially polyester fibers and polymeric coating fragments, constitute a significant fraction of plastic contamination in wastewater systems. Although wastewater treatment plants (WWTPs) can remove a large proportion of MPs, substantial quantities accumulate in sewage sludge, raising concerns about long-term environmental persistence and secondary release pathways. This review critically examines the sources, classification, and release mechanisms of textile-based micro- and nanoplastics, including fibrous debris and coating-derived fragments. Then it focuses on current identification and removal technologies, such as sedimentation, coagulation/flocculation, electrocoagulation, flotation, membrane filtration, adsorption, and biodegradation, and on the emerging strategy of converting recovered microplastics into value-added porous carbon materials via hydrothermal treatment and pyrolysis. Carbonized microplastics exhibit high surface area and adsorption capacity for dyes, heavy metals, and organic pollutants, offering a circular approach that simultaneously mitigates plastic pollution and enhances wastewater treatment efficiency. By integrating source control, optimized removal technologies, and carbonization-based valorization, this review proposes a dual-benefit framework that transforms textile-derived microplastic waste from an environmental liability into a functional resource for sustainable water purification. Full article
(This article belongs to the Section Carbon Materials and Carbon Allotropes)
Show Figures

Figure 1

19 pages, 7760 KB  
Article
XRD and Molecular Dynamics Insights into Lattice Behavior of Oxide Nanocatalysts: The Case of CeO2
by Sirisha Subbareddy, Marcelo Augusto Malagutti, Himanshu Nautiyal, Narges Ataollahi and Paolo Scardi
Nanomaterials 2026, 16(5), 333; https://doi.org/10.3390/nano16050333 - 6 Mar 2026
Viewed by 410
Abstract
Nanocrystalline CeO2 exhibits size-dependent lattice distortions linked to defect chemistry and surface effects. However, the relationships between the oxidation state, surface interactions, and nanoparticle structure remain unclear in the existing literature, particularly when inferred from conventional nanoparticle diffraction techniques, including powder X-ray [...] Read more.
Nanocrystalline CeO2 exhibits size-dependent lattice distortions linked to defect chemistry and surface effects. However, the relationships between the oxidation state, surface interactions, and nanoparticle structure remain unclear in the existing literature, particularly when inferred from conventional nanoparticle diffraction techniques, including powder X-ray diffraction. As a result, the atomistic origin of lattice expansion or contraction with the crystallite size of ceria nanoparticles is still debated. Here, synchrotron X-ray powder diffraction data are analyzed using Rietveld refinement supported by advanced peak profile modeling based on whole powder pattern modeling (WPPM), including thermal diffuse scattering (TDS). The latter provides direct access to information on lattice dynamics. Indeed, we simultaneously determine the size distributions of crystalline domains and their atomic displacements, which are then compared and quantitatively validated with molecular dynamics (MD) simulations. Reactive MD simulations further reveal that vacancy-rich surfaces induce lattice contraction at small particle sizes under vacuum, whereas water adsorption causes surface hydroxylation and lattice expansion. These results explain lattice parameter variations in nanocrystalline ceria through the interplay of surface chemistry and environment. This insight is critical for the correct interpretation of diffraction-derived structural parameters in oxide nanocatalysts used in redox and oxygen storage applications. Full article
(This article belongs to the Section Synthesis, Interfaces and Nanostructures)
Show Figures

Graphical abstract

23 pages, 14916 KB  
Article
Nickel-Modified Biocarbons from Mixed Wood Sawdust: Multitechnique Study of Structure and Photocatalytic Activity
by Barbara Wawrzaszek, Barbara Charmas and Katarzyna Jedynak
Materials 2026, 19(5), 977; https://doi.org/10.3390/ma19050977 - 3 Mar 2026
Viewed by 263
Abstract
The increasing environmental pollution with persistent organic compounds demands the development of sustainable materials capable, among others, of simultaneous adsorption and catalytic degradation of pollutants. In this study, nickel-modified biocarbons were obtained in the process of biomass pyrolysis at the temperatures of 500 [...] Read more.
The increasing environmental pollution with persistent organic compounds demands the development of sustainable materials capable, among others, of simultaneous adsorption and catalytic degradation of pollutants. In this study, nickel-modified biocarbons were obtained in the process of biomass pyrolysis at the temperatures of 500 and 800 °C, with the Ni content of 5 and 10% by weight, in order to determine the effect of synthesis conditions on the structure, surface chemistry and functional properties of materials. A wide range of research methods was used to analyze structural parameters, elemental composition, surface morphology, functional groups as well as adsorption and photocatalytic properties. The results indicate that the pyrolysis temperature is the main factor determining the evolution of biocarbons, leading to a decrease in the specific surface area and microporosity, an increase in carbon aromatization, a reduction in oxygen groups, and an increase in alkalinity and thermal stability. The addition of nickel promotes formation of crystalline Ni phases and redox centers, while partially blocking micropores. As a result, the materials obtained at 800 °C are characterized by an increased photocatalytic activity. The paper provides mechanistic insights into the structure–property–function relationships and practical guidance for the design of biocarbons with optimized adsorption and photocatalytic properties. Full article
(This article belongs to the Section Porous Materials)
Show Figures

Graphical abstract

19 pages, 7992 KB  
Article
Changes in the Chemical and Physical Properties of Untreated and Finished Polyamide 6.6 Fabrics Buried in Different Soil Matrices, from the Lab-Scale to a House Garden
by Marta Piccioni, Roberta Peila and Maria Laura Tummino
Sustain. Chem. 2026, 7(1), 13; https://doi.org/10.3390/suschem7010013 - 2 Mar 2026
Viewed by 256
Abstract
This paper aims to analyze the biodegradation behavior of a common synthetic fiber, well-known for its environmental recalcitrance: polyamide 6.6. In particular, polyamide 6.6 fabrics finished with chitosan to impart antibacterial properties and the natural red dye carmine were studied. Fabrics of standard [...] Read more.
This paper aims to analyze the biodegradation behavior of a common synthetic fiber, well-known for its environmental recalcitrance: polyamide 6.6. In particular, polyamide 6.6 fabrics finished with chitosan to impart antibacterial properties and the natural red dye carmine were studied. Fabrics of standard polyamide 6.6 served as references. Some specimens were buried in compost-enriched soil for 1, 2 and 3 months and kept in the laboratory; simultaneously, others were placed in an outdoor house garden to simulate landfill conditions. After each sample withdrawal, various characterization techniques were employed to assess the status of the fibers. The first evidence was that, in general, there were no weight changes or significant macroscopic damage within three months, except for white stains as an index of microorganism colonization, which was confirmed by microscopic analyses, where bacteria and fungi could be clearly seen. On the one hand, some effects were revealed during the burial in the house garden that impacted the fabrics’ surface characteristics in terms of interaction with soil derivatives (susceptibility to adsorption of water and soil-derived substances). On the other hand, the samples buried under laboratory conditions showed a weak antibacterial efficacy, leading to the hypothesis that more aggressive degradation may have occurred at the expense of chitosan. Still, three months of burial led to mild surface deterioration, opening possibilities for further research. Full article
Show Figures

Graphical abstract

16 pages, 8520 KB  
Article
Trade-Off Between Surface Roughness and Crystallographic Orientation in Copper Electrodeposition via High-Concentration Gelatin
by Yitao Zheng, Peng Xu, Jingsha Tan, Zhijie Wen and Guozhe Meng
Materials 2026, 19(5), 895; https://doi.org/10.3390/ma19050895 - 27 Feb 2026
Viewed by 214
Abstract
High-frequency 5G/6G communications demand copper foils combining sub-micron surface roughness (Rz < 0.6 μm) to minimize the skin effect with (111)-preferred orientation (for electromigration resistance), a balance challenging to achieve in conventional electrodeposition. This study quantifies the synergistic mechanism of a [...] Read more.
High-frequency 5G/6G communications demand copper foils combining sub-micron surface roughness (Rz < 0.6 μm) to minimize the skin effect with (111)-preferred orientation (for electromigration resistance), a balance challenging to achieve in conventional electrodeposition. This study quantifies the synergistic mechanism of a systematic series of additive formulations—from unary sodium 3-mercapto-1-propanesulfonate (MPS) to a quaternary MPS + polyethylene glycol (PEG) + Cl + gelatin (GEL) formulation—using electrochemical and microstructural analyses. While the ternary MPS + PEG + Cl system induced severe surface roughening (Rq = 449.5 nm) due to competitive adsorption, the introduction of high-concentration gelatin induced a kinetic bifurcation. It established a distinct “High-N/Low-D” regime—characterized by a 104-fold reduction in diffusion coupled with a 103-fold enhancement in nucleation, effectively suppressing the growth, reducing roughness from ~449.5 nm to ~81.3 nm via robust steric hindrance. However, this isotropic suppression simultaneously inhibited preferential crystal growth, leading to texture randomization. These findings kinetically quantify the intrinsic trade-off between extreme surface planarization and crystallographic orientation, providing a theoretical framework for designing high-performance interconnect materials. Full article
(This article belongs to the Special Issue Advanced Coating Research for Metal Surface Protection)
Show Figures

Figure 1

Back to TopTop