Sign in to use this feature.

Years

Between: -

Subjects

remove_circle_outline
remove_circle_outline
remove_circle_outline
remove_circle_outline
remove_circle_outline
remove_circle_outline
remove_circle_outline
remove_circle_outline
remove_circle_outline

Journals

remove_circle_outline
remove_circle_outline
remove_circle_outline
remove_circle_outline
remove_circle_outline

Article Types

Countries / Regions

remove_circle_outline
remove_circle_outline

Search Results (439)

Search Parameters:
Keywords = sim–real

Order results
Result details
Results per page
Select all
Export citation of selected articles as:
29 pages, 9409 KB  
Article
Source-Free Domain-Adaptive Semi-Supervised Learning for Object Detection in CCTV Images
by Hyejin Shin and Gye-Young Kim
Sensors 2026, 26(1), 45; https://doi.org/10.3390/s26010045 (registering DOI) - 20 Dec 2025
Abstract
Current object detection methods deployed in closed-circuit television (CCTV) systems experience substantial performance degradation due to domain gaps between training datasets and real-world environments. At the same time, increasing privacy concerns and stricter personal data regulations limit the reuse or distribution of source-domain [...] Read more.
Current object detection methods deployed in closed-circuit television (CCTV) systems experience substantial performance degradation due to domain gaps between training datasets and real-world environments. At the same time, increasing privacy concerns and stricter personal data regulations limit the reuse or distribution of source-domain data, highlighting the need for source-free learning. To address these challenges, we propose a stable and effective source-free semi-supervised domain adaptation framework based on the Mean Teacher paradigm. The method integrates three key components: (1) pseudo-label fusion, which combines predictions from weakly and strongly augmented views to generate more reliable pseudo-labels; (2) static adversarial regularization (SAR), which replaces dynamic discriminator optimization with a frozen adversarial head to provide a stable domain-invariance constraint; and (3) a time-varying exponential weighting strategy that balances the contributions of labeled and unlabeled target data throughout training. We evaluate the method on four benchmark scenarios: Cityscapes, Foggy Cityscapes, Sim10k, and a real-world CCTV dataset. The experimental results demonstrate that the proposed method improves mAP@0.5 by an average of 7.2% over existing methods and achieves a 6.8% gain in a low-label setting with only 2% labeled target data. Under challenging domain shifts such as clear-to-foggy adaptation and synthetic-to-real transfer, our method yields an average improvement of 5.4%, confirming its effectiveness and practical relevance for real-world CCTV object detection under domain shift and privacy constraints. Full article
(This article belongs to the Section Sensing and Imaging)
17 pages, 3010 KB  
Article
Research on Transient Stability Optimization Control of Photovoltaic–Storage Virtual Synchronous Generators
by Fen Gong, Xiangyang Xia, Xianliang Luo, Wei Hu and Yijie Zhu
Electronics 2025, 14(24), 4979; https://doi.org/10.3390/electronics14244979 - 18 Dec 2025
Abstract
In the case of small disturbances in the power grid, virtual synchronous generators (VSGs) often exhibit active power steady-state errors and significant frequency overshoot, and it is difficult to balance the reduction of active power steady-state errors and the mitigation of frequency overshoot. [...] Read more.
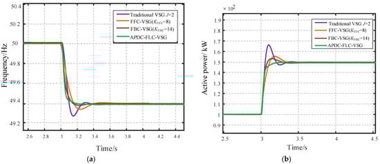
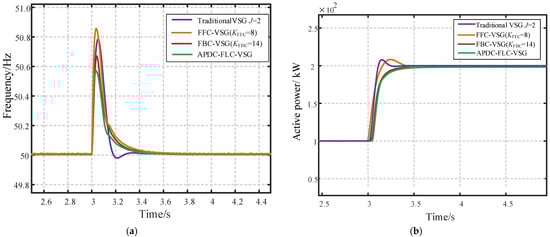
In the case of small disturbances in the power grid, virtual synchronous generators (VSGs) often exhibit active power steady-state errors and significant frequency overshoot, and it is difficult to balance the reduction of active power steady-state errors and the mitigation of frequency overshoot. This paper proposes an improved control method based on active power differential compensation (APDC). First, an active power differential compensation loop is introduced, effectively addressing the issues of active power steady-state deviation and frequency overshoot caused by fixed parameters in the traditional VSG. Secondly, by incorporating a fuzzy logic control (FLC) algorithm, an adaptive PID tuning strategy is proposed as a replacement for the traditional fixed virtual inertia; the PID parameters are dynamically adjusted in real time according to the power–angle deviation and its rate of change, thereby enhancing the small-disturbance dynamic performance of the VSG. Finally, MATLAB R2020b/Simulink simulations and StarSim hardware-in-the-loop simulations validate the effectiveness and accuracy of the proposed control strategy. Simulation results indicate that, compared to traditional control strategies, under peak regulation conditions, the frequency overshoot is reduced by approximately 4.4%, and the active power overshoot is reduced by approximately 5%; under frequency regulation conditions, the frequency overshoot is reduced by approximately 0.26%, and the power overshoot is reduced by approximately 12%. Full article
Show Figures

Figure 1

64 pages, 4380 KB  
Article
Adaptive Multi-Objective Reinforcement Learning for Real-Time Manufacturing Robot Control
by Claudio Urrea
Machines 2025, 13(12), 1148; https://doi.org/10.3390/machines13121148 - 17 Dec 2025
Viewed by 78
Abstract
Modern manufacturing robots must dynamically balance multiple conflicting objectives amid rapidly evolving production demands. Traditional control approaches lack the adaptability required for real-time decision-making in Industry 4.0 environments. This study presents an adaptive multi-objective reinforcement learning (MORL) framework integrating dynamic preference weighting with [...] Read more.
Modern manufacturing robots must dynamically balance multiple conflicting objectives amid rapidly evolving production demands. Traditional control approaches lack the adaptability required for real-time decision-making in Industry 4.0 environments. This study presents an adaptive multi-objective reinforcement learning (MORL) framework integrating dynamic preference weighting with Pareto-optimal policy discovery for real-time adaptation without manual reconfiguration. Experimental validation employed a UR5 manipulator with RG2 gripper performing quality-aware object sorting in CoppeliaSim with realistic physics (friction μ = 0.4, Bullet engine), manipulating 12 objects across four geometric types on a dynamic conveyor. Thirty independent runs per algorithm (seven baselines, 30,000+ manipulation cycles) demonstrated +24.59% to +34.75% improvements (p < 0.001, d = 0.89–1.52), achieving hypervolume 0.076 ± 0.015 (19.7% coefficient of variation—lowest among all methods) and 95% optimal performance within 180 episodes—five times faster than evolutionary baselines. Four independent verification methods (WFG, PyMOO, Monte Carlo, HSO) confirmed measurement reliability (<0.26% variance). The framework maintains edge computing compatibility (<2 GB RAM, <50 ms latency) and seamless integration with Manufacturing Execution Systems and digital twins. This research establishes new benchmarks for adaptive robotic control in sustainable Industry 4.0/5.0 manufacturing. Full article
(This article belongs to the Section Advanced Manufacturing)
Show Figures

Figure 1

14 pages, 1549 KB  
Article
Temporal Dynamics of Harmful Speech in Chatbot–User Dialogues: A Comparative Study of LLM and Chit-Chat Systems
by Ohseong Kwon, Hyobeen Yoon, Hyojin Chin and Jisung Park
Appl. Sci. 2025, 15(24), 13185; https://doi.org/10.3390/app152413185 - 16 Dec 2025
Viewed by 195
Abstract
Harmful language in conversational AI poses distinct safety and governance challenges, as Large Language Model (LLM) chatbots interact in private, one-to-one settings. Understanding the types of harm and their temporal concentration is crucial for responsible deployment and time-aware moderation. This study investigates the [...] Read more.
Harmful language in conversational AI poses distinct safety and governance challenges, as Large Language Model (LLM) chatbots interact in private, one-to-one settings. Understanding the types of harm and their temporal concentration is crucial for responsible deployment and time-aware moderation. This study investigates the types and diurnal dynamics of harmful speech, comparing patterns between play-oriented chit-chat and task-oriented LLM services.We analyze two large-scale, real-world English corpora: a chit-chat service (SimSimi; 8.7 M utterances) and an LLM service (WildChat; 610 K utterances). Using the Perspective API for multi-label classification (Toxicity, Profanity, Insult, Identity Attack, Threat), we estimate the incidence of harm categories and compare their distribution across five dayparts. Our analysis shows that harmful speech is significantly more prevalent in the chit-chat context than in the LLM service. Across both platforms, Toxicity and Profanity are the dominant categories. Temporally, harmful speech concentrates most frequently during the dawn daypart. We contribute an empirical baseline on how harm varies by chatbot modality and time of day, offering practical guidance for designing dynamic, platform-specific moderation policies. Full article
Show Figures

Figure 1

26 pages, 7801 KB  
Article
Enhancing Sustainable Intelligent Transportation Systems Through Lightweight Monocular Depth Estimation Based on Volume Density
by Xianfeng Tan, Chengcheng Wang, Ziyu Zhang, Zhendong Ping, Jieying Pan, Hao Shan, Ruikai Li, Meng Chi and Zhiyong Cui
Sustainability 2025, 17(24), 11271; https://doi.org/10.3390/su172411271 - 16 Dec 2025
Viewed by 95
Abstract
Depth estimation is a critical enabling technology for sustainable intelligent transportation systems (ITSs), as it supports essential functions such as obstacle detection, navigation, and traffic management. However, existing Neural Radiance Field (NeRF)-based monocular depth estimation methods often suffer from high computational costs and [...] Read more.
Depth estimation is a critical enabling technology for sustainable intelligent transportation systems (ITSs), as it supports essential functions such as obstacle detection, navigation, and traffic management. However, existing Neural Radiance Field (NeRF)-based monocular depth estimation methods often suffer from high computational costs and poor performance in occluded regions, limiting their applicability in real-world, resource-constrained environments. To address these challenges, this paper proposes a lightweight monocular depth estimation framework that integrates a novel capacity redistribution strategy and an adaptive occlusion-aware training mechanism. By shifting computational load from resource-intensive multi-layer perceptrons (MLPs) to efficient separable convolutional encoder–decoder networks, our method significantly reduces memory usage to 234 MB while maintaining competitive accuracy. Furthermore, a divide-and-conquer training strategy explicitly handles occluded regions, improving reconstruction quality in complex urban scenarios. Experimental evaluations on the KITTI and V2X-Sim datasets demonstrate that our approach not only achieves superior depth estimation performance but also supports real-time operation on edge devices. This work contributes to the sustainable development of ITS by offering a practical, efficient, and scalable solution for environmental perception, with potential benefits for energy efficiency, system affordability, and large-scale deployment. Full article
Show Figures

Figure 1

22 pages, 2204 KB  
Article
A Lightweight YOLOv8-Based Network for Efficient Corn Disease Detection
by Deao Song, Yiran Peng, Xinyuan Gu and KinTak U
Mathematics 2025, 13(24), 4002; https://doi.org/10.3390/math13244002 - 16 Dec 2025
Viewed by 129
Abstract
To address the pressing need for accurate and efficient detection of corn diseases, we propose a novel, lightweight object detection framework, CBS-YOLOv8 (C2f-BiFPN-SCConv YOLOv8), which builds upon the YOLOv8 architecture to enhance performance for corn disease detection. The model incorporates two key components, [...] Read more.
To address the pressing need for accurate and efficient detection of corn diseases, we propose a novel, lightweight object detection framework, CBS-YOLOv8 (C2f-BiFPN-SCConv YOLOv8), which builds upon the YOLOv8 architecture to enhance performance for corn disease detection. The model incorporates two key components, the GhostNetV2 block and SCConv (Selective Convolution). The GhostNetV2 block improves feature representation by reducing computational complexity, while SCConv optimizes convolution operations dynamically, adjusting based on the input to ensure minimal computational overhead. Together, these features maintain high detection accuracy while keeping the network lightweight. Additionally, the model integrates the C2f-GhostNetV2 module to eliminate redundancy, and the SimAM attention mechanism improves lesion-background separation, enabling more accurate disease detection. The Bi-directional Feature Pyramid Network (BiFPN) enhances feature representation across multiple scales, strengthening detection across varying object sizes. Evaluated on a custom dataset of over 6000 corn leaf images across six categories, CBS-YOLOv8 achieves improved accuracy and reliability in object detection. With a lightweight architecture of just 8.1M parameters and 21 GFLOPs, it enables real-time deployment on edge devices in agricultural settings. CBS-YOLOv8 offers high detection performance while maintaining computational efficiency, making it ideal for precision agriculture. Full article
(This article belongs to the Special Issue Intelligent Mathematics and Applications)
Show Figures

Figure 1

17 pages, 4452 KB  
Article
SAUCF: A Framework for Secure, Natural-Language-Guided UAS Control
by Nihar Shah, Varun Aggarwal and Dharmendra Saraswat
Drones 2025, 9(12), 860; https://doi.org/10.3390/drones9120860 - 14 Dec 2025
Viewed by 229
Abstract
Precision agriculture increasingly recognizes the transformative potential of unmanned aerial systems (UASs) for crop monitoring and field assessment, yet research consistently highlights significant usability barriers as the main constraints to widespread adoption. Complex mission planning processes, including detailed flight plan creation and way [...] Read more.
Precision agriculture increasingly recognizes the transformative potential of unmanned aerial systems (UASs) for crop monitoring and field assessment, yet research consistently highlights significant usability barriers as the main constraints to widespread adoption. Complex mission planning processes, including detailed flight plan creation and way point management, pose substantial technical challenges that mainly affect non-expert operators. Farmers and their teams generally prefer user-friendly, straightforward tools, as evidenced by the rapid adoption of GPS guidance systems, which underscores the need for simpler mission planning in UAS operations. To enhance accessibility and safety in UAS control, especially for non-expert operators in agriculture and related fields, we propose a Secure UAS Control Framework (SAUCF): a comprehensive system for natural-language-driven UAS mission management with integrated dual-factor biometric authentication. The framework converts spoken user instructions into executable flight plans by leveraging a language-model-powered mission planner that interprets transcribed voice commands and generates context-aware operational directives, including takeoff, location monitoring, return-to-home, and landing operations. Mission orchestration is performed through a large language model (LLM) agent, coupled with a human-in-the-loop supervision mechanism that enables operators to review, adjust, or confirm mission plans before deployment. Additionally, SAUCF offers a manual override feature, allowing users to assume direct control or interrupt missions at any stage, ensuring safety and adaptability in dynamic environments. Proof-of-concept demonstrations on a UAS plat-form with on-board computing validated reliable speech-to-text transcription, biometric verification via voice matching and face authentication, and effective Sim2Real transfer of natural-language-driven mission plans from simulation environments to physical UAS operations. Initial evaluations showed that SAUCF reduced mission planning time, minimized command errors, and simplified complex multi-objective workflows compared to traditional waypoint-based tools, though comprehensive field validation remains necessary to confirm these preliminary findings. The integration of natural-language-based interaction, real-time identity verification, human-in-the-loop LLM orchestration, and manual override capabilities allows SAUCF to significantly lower the technical barrier to UAS operation while ensuring mission security, operational reliability, and operator agency in real-world conditions. These findings lay the groundwork for systematic field trials and suggest that prioritizing ease of operation in mission planning can drive broader deployment of UAS technologies. Full article
(This article belongs to the Section Artificial Intelligence in Drones (AID))
Show Figures

Figure 1

23 pages, 3364 KB  
Article
YOLOv8n-ASA: An Asymmetry-Guided Framework for Helmet-Wearing Detection in Complex Scenarios
by Shoufeng Wang, Lieping Zhang, Hao Ma and Jianming Zhao
Symmetry 2025, 17(12), 2124; https://doi.org/10.3390/sym17122124 - 10 Dec 2025
Viewed by 138
Abstract
Object detection in complex scenarios such as construction sites, electric power operations, and resource exploration often suffers from low accuracy and frequent missed or false detections. To address these challenges, this study proposes a modified You Only Look Once version 8 nano (YOLOv8n)-based [...] Read more.
Object detection in complex scenarios such as construction sites, electric power operations, and resource exploration often suffers from low accuracy and frequent missed or false detections. To address these challenges, this study proposes a modified You Only Look Once version 8 nano (YOLOv8n)-based algorithm, termed YOLOv8n-ASA, for safety-helmet-wearing detection. The proposed method introduces structural asymmetry into the network to enhance feature representation and detection robustness. Specifically, an Adaptive Kernel Convolution (AKConv) module is incorporated into the backbone, in which asymmetric kernels are used to better capture features of irregularly shaped objects. The Simple Attention Module (SimAM) further sharpens the focus on critical regions, while the Asymptotic Feature Pyramid Network (AFPN) replaces the symmetric top–down fusion pathway of the traditional FPN with a progressive and asymmetric feature integration strategy. These asymmetric designs mitigate semantic gaps between non-adjacent layers and enable more effective multi-scale fusion. Extensive experiments demonstrate that YOLOv8n-ASA achieves superior accuracy and robustness compared to several benchmarks, validating its effectiveness for safety-helmet-wearing detection in complex real-world scenarios. Full article
(This article belongs to the Section Engineering and Materials)
Show Figures

Figure 1

50 pages, 8798 KB  
Article
Dynamic Task Scheduling Optimisation Method for Hilly Orchard Rail Transport Systems
by Yihua Jiang, Min Zhou, Zhiqiang He, Zhaoji Xu and Fang Yang
Agriculture 2025, 15(24), 2549; https://doi.org/10.3390/agriculture15242549 - 9 Dec 2025
Viewed by 180
Abstract
Efficient scheduling of automated rail transportation in hilly orchards is critical for maintaining fruit freshness and ensuring timely market delivery. This study develops a dynamic scheduling method for multi-transporter orchard rail systems through mathematical modeling, reinforcement learning algorithms, and field validation. We formulated [...] Read more.
Efficient scheduling of automated rail transportation in hilly orchards is critical for maintaining fruit freshness and ensuring timely market delivery. This study develops a dynamic scheduling method for multi-transporter orchard rail systems through mathematical modeling, reinforcement learning algorithms, and field validation. We formulated a comprehensive scheduling model and designed four distinct frameworks to address randomly arriving tasks. In the optimal framework (Framework 3, which was chosen due to its hybrid strategy combining periodic global planning and local task point adjustment), we compared six rule-based heuristic algorithms against three reinforcement learning approaches: centralized SAC, decentralized MARL-DQN, and conventional DQN. Additionally, two emergency response strategies were developed and evaluated. Simulation experiments demonstrated that Framework 3 maintained high load factors while reducing task completion times. The centralized SAC algorithm outperformed other methods, achieving 1533.71 ± 50.09 reward points compared to 863.67 ± 30.54 for rule-based heuristics, a 77.6% improvement. For emergency tasks, Strategy 2 achieved faster response times with minimal disruption to routine operations. Field trials on a 153 m physical track with four autonomous transporters validated the DQN algorithm, confirming good sim-to-real consistency. This research provides a practical solution for dynamic scheduling challenges in hilly orchards, offering measurable efficiency improvements over traditional methods. Full article
(This article belongs to the Special Issue Agricultural Machinery and Technology for Fruit Orchard Management)
Show Figures

Figure 1

22 pages, 7564 KB  
Article
Tacholess, Physics-Informed NVH Diagnosis for EV Powertrains with Smartphones: An Open Benchmark
by Ignacio Benavides, Cristina Castejón, Víctor Montenegro and Julio Guerra
World Electr. Veh. J. 2025, 16(12), 663; https://doi.org/10.3390/wevj16120663 - 9 Dec 2025
Viewed by 220
Abstract
This paper presents a physics-informed, tacholess pipeline for smartphone-grade Noise, Vibration, and Harshness (NVH) diagnosis in electric vehicle powertrains. A configurable generator synthesizes labeled signals with order components (1×/2×/3×), AM/FM modulation, sub-harmonics, impact-driven ring-down near resonance, and realistic white/pink/ambient noise at phone bandwidths. [...] Read more.
This paper presents a physics-informed, tacholess pipeline for smartphone-grade Noise, Vibration, and Harshness (NVH) diagnosis in electric vehicle powertrains. A configurable generator synthesizes labeled signals with order components (1×/2×/3×), AM/FM modulation, sub-harmonics, impact-driven ring-down near resonance, and realistic white/pink/ambient noise at phone bandwidths. A ridge-guided harmonic comb recenters orders without a tachometer and splits tonal from residual content. Interpretable features—order-invariant ratios (E2×/E1×, SB1/E1×, E0.5×/E1×) and residual descriptors (band-power, kurtosis, cepstrum/WPT)—feed light-compute models. A reproducible benchmark stresses SNR (−5…+10 dB), RPM profiles (ramp/steps/cycles), and simulated domain shift; parameter-to-feature analyses (with Sobol sensitivity and a delta-method identifiability proxy) quantify measurability under phone constraints. Across a five-fold CV, tacholess order tracking increases tonal SNR by ≥+6 dB and yields macro-F1 ≈ 0.86 with Random Forest, while ordinal severity achieves QWK ≈ 0.81 (ECE ≈ 0.06) and regression attains MAE ≈ 0.12 (R2 ≈ 0.78). All code, datasets, figures, and tables regenerate from fixed seeds with one-command builds; a data card and a sim-to-real guide are included. The result is an open, low-compute standard that couples reproducibility with physics-aligned interpretability, providing a practical baseline for EV NVH diagnostics with smartphones and a common ground for future field validation. Full article
Show Figures

Graphical abstract

20 pages, 1867 KB  
Article
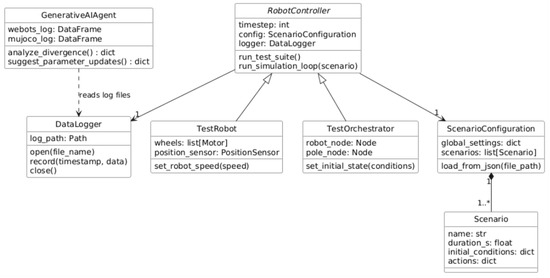
A Dual Digital Twin Framework for Reinforcement Learning: Bridging Webots and MuJoCo with Generative AI and Alignment Strategies
by Algirdas Laukaitis, Andrej Šareiko and Dalius Mažeika
Electronics 2025, 14(24), 4806; https://doi.org/10.3390/electronics14244806 - 6 Dec 2025
Viewed by 296
Abstract
Deep reinforcement learning (DRL) has shown potential for robotic training in virtual environments; however, challenges remain in bridging simulation and real-world deployment. This paper introduces an extended reinforcement learning framework that advances beyond traditional single-environment approaches by proposing a dual digital twin concept. [...] Read more.
Deep reinforcement learning (DRL) has shown potential for robotic training in virtual environments; however, challenges remain in bridging simulation and real-world deployment. This paper introduces an extended reinforcement learning framework that advances beyond traditional single-environment approaches by proposing a dual digital twin concept. Specifically, we suggest creating a digital twin of the robot in Webots and a corresponding twin in MuJoCo, enabling policy training in MuJoCo’s optimized physics engine and subsequent transfer back to Webots for validation. To ensure consistency across environments, we introduce a digital twin alignment methodology, synchronizing sensors, actuators, and physical model characteristics between the two simulators. Furthermore, we propose a novel testing framework that conducts controlled experiments in both virtual environments to quantify and manage divergence, thereby improving robustness and transferability. To address the cost and complexity of maintaining two high-fidelity models, we leverage generative AI agents to automate the creation of the secondary digital twin, significantly reducing engineering overhead. The proposed framework enhances scalability, accelerates training, and improves the reliability of sim-to-real transfer, paving the way for more efficient and adaptive robotic systems. Full article
(This article belongs to the Special Issue Generative AI and Its Transformative Potential, 2nd Edition)
Show Figures

Figure 1

21 pages, 2478 KB  
Article
Road Adhesion Coefficient Estimation Method for Distributed Drive Electric Vehicles Based on SR-UKF
by Jinhui Li, Xinyu Wei and Hui Peng
Vehicles 2025, 7(4), 154; https://doi.org/10.3390/vehicles7040154 - 6 Dec 2025
Viewed by 144
Abstract
To improve recognition accuracy, convergence speed, and numerical stability in estimating the road adhesion coefficient for distributed-drive electric vehicles, a nonlinear seven-degree-of-freedom vehicle dynamics model was developed based on a modified Dugoff tire model. Using the Unscented Kalman Filter (UKF) as a foundation, [...] Read more.
To improve recognition accuracy, convergence speed, and numerical stability in estimating the road adhesion coefficient for distributed-drive electric vehicles, a nonlinear seven-degree-of-freedom vehicle dynamics model was developed based on a modified Dugoff tire model. Using the Unscented Kalman Filter (UKF) as a foundation, a Square-Root Unscented Kalman Filter (SR-UKF) algorithm was derived through covariance-square-root processing and Singular Value Decomposition (SVD). A co-simulation platform was built with CarSim and Simulink, and a vehicle speed-following model was developed for simulation analysis. The results show that the SR-UKF algorithm for road identification consistently maintains matrix positive definiteness, ensures numerical stability, speeds up convergence, and fully utilizes measurement information. Simulations under various road conditions (high-adhesion, low-adhesion, split-μ, and opposite-μ) and driving scenarios demonstrate that, compared to the traditional UKF, the SR-UKF converges faster and provides higher estimation accuracy, enabling real-time, accurate estimation of the road adhesion coefficient across multiple scenarios. Final results confirm that the SR-UKF exhibits excellent estimation accuracy and robustness on low-adhesion surfaces, confirming its superiority under high-risk conditions. This offers a dependable basis for improving vehicle active safety. Full article
(This article belongs to the Topic Dynamics, Control and Simulation of Electric Vehicles)
Show Figures

Figure 1

35 pages, 4295 KB  
Article
Simulation-Driven Deep Transfer Learning Framework for Data-Efficient Prediction of Physical Experiments
by Soo-Young Lim, Han-Bok Seo and Seung-Yop Lee
Mathematics 2025, 13(23), 3884; https://doi.org/10.3390/math13233884 - 4 Dec 2025
Viewed by 219
Abstract
Transfer learning, which utilizes extensive simulation data to overcome the limitations of scarce and expensive experimental data, has emerged as a powerful approach for predictive modeling in various physical domains. This study presents a comprehensive framework to improve the predictive performance of transfer [...] Read more.
Transfer learning, which utilizes extensive simulation data to overcome the limitations of scarce and expensive experimental data, has emerged as a powerful approach for predictive modeling in various physical domains. This study presents a comprehensive framework to improve the predictive performance of transfer learning, focusing on quasi-zero stiffness (QZS) systems with limited experimental datasets. The proposed framework systematically examines the interplay among three critical factors in the target domain: data augmentation, layer-freezing configurations, and neural network architecture. Simulation-driven synthetic data are generated to capture dynamic features not represented in the sparse experimental data. The optimal transfer depth is explored by evaluating different scenarios of selective layer freezing and fine-tuning. Results show that partial transfer strategies outperform both full-transfer and non-transfer approaches, leading to more stable and accurate predictions. To investigate hierarchical transfer, both symmetric and asymmetric network architectures are designed, embedding physically meaningful representations from simulations into the deeper layers of the target model. Furthermore, an attention mechanism is integrated to emphasize material-specific characteristics. Building on these components, the proposed simulation-driven framework predicts the full force–displacement responses of QZS systems using only 12 experimental samples. Through a systematic comparison of three datasets (direct transfer, linear correction, FEM-based correction), three network architectures, and seven layer-freezing scenarios, the framework achieves a best test performance of R2 = 0.978 and MAE = 0.34 Newtons. Full article
(This article belongs to the Special Issue Advances in Neural Networks and Their Applications)
Show Figures

Figure 1

13 pages, 2245 KB  
Article
Swarm Drones with QR Code Formation for Real-Time Vehicle Detection and Fusion Using Unreal Engine
by Alaa H. Ahmed and Henrietta Tomán
Automation 2025, 6(4), 87; https://doi.org/10.3390/automation6040087 - 3 Dec 2025
Viewed by 340
Abstract
A single drone collects data, but a fleet builds a complete picture, and this is the primary objective of this study. To address this goal, a swarm-based drone system has been designed in which multiple drones follow one another to collect data from [...] Read more.
A single drone collects data, but a fleet builds a complete picture, and this is the primary objective of this study. To address this goal, a swarm-based drone system has been designed in which multiple drones follow one another to collect data from diverse perspectives. Such a strategy demonstrates strong potential for use in critical fields such as search and rescue operations. This study introduces the first unified framework that integrates autonomous formation control, real-time object detection, and multi-source data fusion within a single operational UAV-swarm system. A high-fidelity simulation environment was built using Unreal Engine with the AirSim plugin, featuring a lightweight QR code tracking algorithm for inter-drone coordination. The drones were employed to detect vehicles from various angles in real time. Two types of experiments were conducted: the first used a pretrained YOLO model, and the second used a custom-trained YOLOv8-nano model, which outperformed the baseline by achieving an average detection confidence of 90%. Finally, the results from multiple drones were fused using various techniques including temporal, probabilistic, and geometric fusion methods to produce more reliable and robust detection results. Full article
Show Figures

Figure 1

30 pages, 1247 KB  
Article
Impact of the Deadlock Handling Method on the Energy Efficiency of a System of Multiple Automated Guided Vehicles in a Production Environment Described as a Square Topology
by Waldemar Małopolski, Jerzy Zając, Wojciech Klein and Rafał Cupek
Energies 2025, 18(23), 6321; https://doi.org/10.3390/en18236321 - 1 Dec 2025
Viewed by 282
Abstract
Efficient control a system of multiple Automated Guided Vehicles (AGVs) is crucial for modern intralogistics given the growing importance of energy consumption and operating costs. This study investigates the impact of two deadlock handling methods: Chain Of Reservations (COR) and Structural On-line Control [...] Read more.
Efficient control a system of multiple Automated Guided Vehicles (AGVs) is crucial for modern intralogistics given the growing importance of energy consumption and operating costs. This study investigates the impact of two deadlock handling methods: Chain Of Reservations (COR) and Structural On-line Control Policy (SOCP), on the energy efficiency and performance of AGV systems operating in a production environment described as square topology. A simulation model developed in FlexSim implemented both methods using real AGV data on electricity consumption during various tasks. The analysis also discusses the adopted battery charging strategy. Simulation experiments combined each deadlock handling method with two path-planning strategies: shortest path and fastest path. Pseudocode algorithms for determining these paths in an environment described as square topology are provided. System performance was evaluated across a wide range of AGV fleet sizes, focusing on key indicators such as total energy consumption, time to complete transportation tasks, and AGV utilization rate. Multi-criteria optimization reduced the problem to two conflicting objectives: energy consumption and completion time, with Pareto fronts generated for each configuration studied. The results demonstrate that both the deadlock handling strategy and the selected pathfinding algorithm significantly influence the evaluation criteria. This original research integrates solving the deadlock problem with controlling energy efficiency and task completion time in structured transportation environments that are not deadlock-free by design. Full article
(This article belongs to the Special Issue New Solutions in Electric Machines and Motor Drives: 2nd Edition)
Show Figures

Figure 1

Back to TopTop