An Adaptive Vehicle Stability Enhancement Controller Based on Tire Cornering Stiffness Adaptations
Abstract
1. Introduction
2. Vehicle Dynamics Modeling for Control
3. Overall Controller Design
3.1. Upper-Level Controller
3.2. Lower-Level Controller
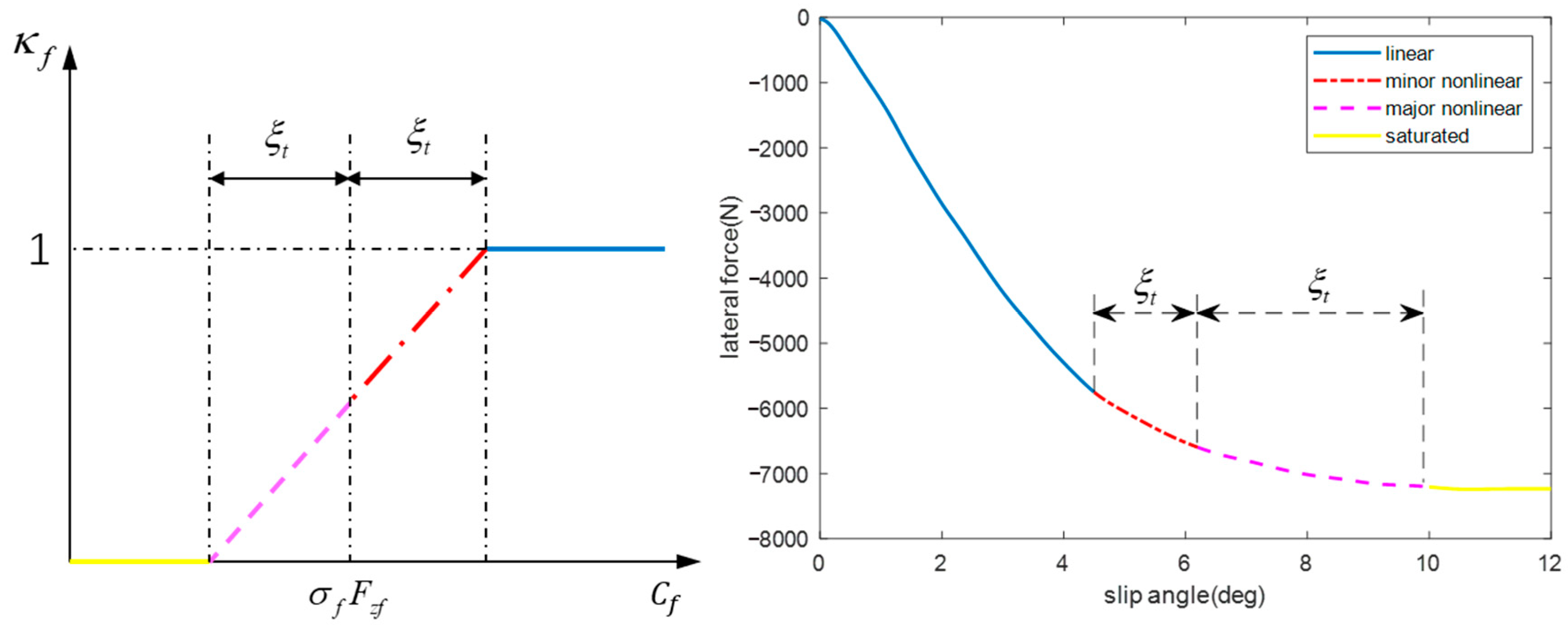
4. Parameter Self-Tuning Mechanism
4.1. Online Adaptation of Tire Cornering Stiffness
4.2. Parameter Self-Tuning Based on a Stability Indicator
5. Simulation Results and Discussion
5.1. High-Friction Road DLC Maneuver
5.2. Low-Friction Road Slalom Maneuver
5.3. Comparative Analysis
6. Conclusions
Author Contributions
Funding
Data Availability Statement
Conflicts of Interest
Abbreviations
| AFS | Active Front Steering |
| DYC | Direct Yaw Moment Control |
| SMC | Sliding Mode Control |
| ASMC | Adaptive Sliding Mode Control |
| MPC | Model Predictive Control |
| WLS | Weighted Least Squares |
References
- Fan, X.; Chen, M.; Huang, Z.; Yu, X. A review of integrated control technologies for four in-wheel motor drive electric vehicle chassis. J. Braz. Soc. Mech. Sci. Eng. 2025, 47, 89. [Google Scholar] [CrossRef]
- Vannuccini, T.; Bartolozzi, R.; Bucchi, F.; Frendo, F.; Gabiccini, M. Assessment of a simple methodology for the identification of inertial parameters of semi-trailers. Transp. Eng. 2025, 20, 100315. [Google Scholar] [CrossRef]
- Deng, Z.; Deng, S. Automatic driving systems considering trajectory tracking and lateral stability control of distributed electric drive semi-trailer truck. Int. J. Veh. Perform. 2025, 11, 1–25. [Google Scholar] [CrossRef]
- Guo, Z.; Jiang, S.; Shen, Y.; Jiang, G.; Xiao, B.; Xu, Q.; Li, M. Nonlinear dynamic analysis and vibration reduction of two sandwich beams connected by a joint with clearance. Mech. Syst. Signal Process. 2025, 223, 111828. [Google Scholar] [CrossRef]
- Indu, K.; Aswatha Kumar, M. Electric vehicle control and driving safety systems: A review. IETE J. Res. 2023, 69, 482–498. [Google Scholar] [CrossRef]
- Zhang, N.; Wang, J.; Li, Z.; Xu, N.; Ding, H.; Zhang, Z.; Guo, K.; Xu, H. Coordinated Optimal Control of AFS and DYC for Four-Wheel Independent Drive Electric Vehicles Based on MAS Model. Sensors 2023, 23, 3505. [Google Scholar] [CrossRef]
- Hu, J.; Hu, Z.; Fu, C.; Nan, F. Integrated control of AFS and DYC for in-wheel-motor electric vehicles based on operation region division. Int. J. Veh. Des. 2019, 79, 221–247. [Google Scholar] [CrossRef]
- Jeong, D.; Ko, G.; Choi, S.B. Estimation of sideslip angle and cornering stiffness of an articulated vehicle using a constrained lateral dynamics model. Mechatronics 2022, 85, 102810. [Google Scholar] [CrossRef]
- Lu, H.; Shi, Y.; He, D.; Yu, F. Model-based vehicle stability control with tyre force and instantaneous cornering stiffness estimation. Proc. Inst. Mech. Eng. Part D J. Automob. Eng. 2016, 230, 754–770. [Google Scholar] [CrossRef]
- Bechtoff, J.; Isermann, R. Cornering stiffness and sideslip angle estimation for integrated vehicle dynamics control. IFAC-PapersOnLine 2016, 49, 297–304. [Google Scholar] [CrossRef]
- Qi, G.; Yue, M.; Shangguan, J.; Guo, L.; Zhao, J. Integrated control method for path tracking and lateral stability of distributed drive electric vehicles with extended Kalman filter–based tire cornering stiffness estimation. J. Vib. Control. 2024, 30, 2582–2595. [Google Scholar] [CrossRef]
- Yang, W.; Lu, D. Research on prediction method of driving/braking stiffness based on tire cornering stiffness. Proc. Inst. Mech. Eng. Part D J. Automob. Eng. 2025. [Google Scholar] [CrossRef]
- Yang, H.; He, Y.; Mu, C.; Li, P. Data-driven model predictive longitudinal control for autonomous vehicles with unknown chassis. IEEE Trans. Veh. Technol. 2025, 1–11. [Google Scholar] [CrossRef]
- Li, X.; Xu, N.; Guo, K.; Huang, Y. An adaptive SMC controller for EVs with four IWMs handling and stability enhancement based on a stability index. Veh. Syst. Dyn. 2021, 59, 1509–1532. [Google Scholar] [CrossRef]
- Zheng, Z.; Zhao, X.; Wang, S.; Yu, Q.; Zhang, H.; Li, Z.; Chai, H.; Han, Q. Extension coordinated control of distributed-driven electric vehicles based on evolutionary game theory. Control. Eng. Pract. 2023, 137, 105583. [Google Scholar] [CrossRef]
- Tang, X.; Yan, Y.; Wang, B. Adaptive multi-mode control system for stability and tracking control of distributed drive automated electric vehicle. Proc. Inst. Mech. Eng. Part D J. Automob. Eng. 2023, 239, 142–159. [Google Scholar] [CrossRef]
- Zhang, L.; Ma, L.; Chen, S. Design of the integrated AFS and DYC scheme for vehicles via FTSM and SOSM techniques. Discret. Contin. Dyn. Syst.-S 2022, 15, 3331–3350. [Google Scholar] [CrossRef]
- Ahmadian, N.; Khosravi, A.; Sarhadi, P. Driver assistant yaw stability control via integration of AFS and DYC. Veh. Syst. Dyn. 2022, 60, 1742–1762. [Google Scholar] [CrossRef]
- Asiabar, A.N.; Kazemi, R. A direct yaw moment controller for a four in-wheel motor drive electric vehicle using adaptive sliding mode control. Proc. Inst. Mech. Eng. Part K J. Multi-Body Dyn. 2019, 233, 549–567. [Google Scholar] [CrossRef]
- Mirzaei, M. A new strategy for minimum usage of external yaw moment in vehicle dynamic control system. Transp. Res. Part C Emerg. Technol. 2010, 18, 213–224. [Google Scholar] [CrossRef]
- Muhammad, E.; Vali, A.R.; Kashaninia, A.; Behnamgol, V. Coordination of Active Front Steering and Direct Yaw Control Systems Using MIMO Sliding Mode Control. Int. J. Control. Autom. Syst. 2024, 22, 1–15. [Google Scholar] [CrossRef]
- Joa, E.; Park, K.; Koh, Y.; Yi, K.; Kim, K. A tyre slip-based integrated chassis control of front/rear traction distribution and four-wheel independent brake from moderate driving to limit handling. Veh. Syst. Dyn. 2017, 56, 579–603. [Google Scholar] [CrossRef]
- Guo, J.; Li, K.; Luo, Y. Coordinated Control of Autonomous Four Wheel Drive Electric Vehicles for Platooning and Trajectory Tracking Using a Hierarchical Architecture. J. Dyn. Syst. Meas. Control. 2015, 137, 101001. [Google Scholar] [CrossRef]
- Feng, J.; Wang, Y.; Yang, J.; Qi, Z. Design of a lateral velocity observer based on synthesis of different sources. Proc. Inst. Mech. Eng. Part D J. Automob. Eng. 2021, 235, 2791–2801. [Google Scholar] [CrossRef]
- Chen, Z.; Zhang, Z.; Cao, Y. Fal function improvement of ADRC and its application in quadrotor aircraft attitude control. Control. Decis. 2018, 33, 1901–1907. [Google Scholar]
- Ma, L.; Cheng, C.; Guo, J.; Shi, B.; Ding, S.; Mei, K. Direct yaw-moment control of electric vehicles based on adaptive sliding mode. Math. Biosci. Eng. 2023, 20, 13334–13355. [Google Scholar] [CrossRef]








| Type | Unit | Value |
|---|---|---|
| kg | 2162 | |
| mm | 1104.3 | |
| mm | 1595.7 | |
| 3234.0 | ||
| ms | 10 | |
| mm | 375 | |
| mm | 1555 |
| Case No. | Aspects | DYC Controller | ASMC | Proposed Controller |
|---|---|---|---|---|
| Case 1 | Accuracy | 1.8253 | 1.2650 | 0.9487 |
| Response Time (ms) | 1.2592 | 1.2675 | 1.2802 | |
| ) | 2.1370 | 2.0605 | 2.0194 | |
| Case 2 | Accuracy | 2.7375 | 2.2601 | 2.1203 |
| Response Time (ms) | 1.2359 | 1.2378 | 1.2961 | |
| ) | 3.2054 | 2.6786 | 2.4233 |
Disclaimer/Publisher’s Note: The statements, opinions and data contained in all publications are solely those of the individual author(s) and contributor(s) and not of MDPI and/or the editor(s). MDPI and/or the editor(s) disclaim responsibility for any injury to people or property resulting from any ideas, methods, instructions or products referred to in the content. |
© 2025 by the authors. Published by MDPI on behalf of the World Electric Vehicle Association. Licensee MDPI, Basel, Switzerland. This article is an open access article distributed under the terms and conditions of the Creative Commons Attribution (CC BY) license (https://creativecommons.org/licenses/by/4.0/).
Share and Cite
Feng, J.; Gao, Z.; Guo, B. An Adaptive Vehicle Stability Enhancement Controller Based on Tire Cornering Stiffness Adaptations. World Electr. Veh. J. 2025, 16, 377. https://doi.org/10.3390/wevj16070377
Feng J, Gao Z, Guo B. An Adaptive Vehicle Stability Enhancement Controller Based on Tire Cornering Stiffness Adaptations. World Electric Vehicle Journal. 2025; 16(7):377. https://doi.org/10.3390/wevj16070377
Chicago/Turabian StyleFeng, Jianbo, Zepeng Gao, and Bingying Guo. 2025. "An Adaptive Vehicle Stability Enhancement Controller Based on Tire Cornering Stiffness Adaptations" World Electric Vehicle Journal 16, no. 7: 377. https://doi.org/10.3390/wevj16070377
APA StyleFeng, J., Gao, Z., & Guo, B. (2025). An Adaptive Vehicle Stability Enhancement Controller Based on Tire Cornering Stiffness Adaptations. World Electric Vehicle Journal, 16(7), 377. https://doi.org/10.3390/wevj16070377

