Sign in to use this feature.

Years

Between: -

Subjects

remove_circle_outline
remove_circle_outline
remove_circle_outline
remove_circle_outline
remove_circle_outline
remove_circle_outline
remove_circle_outline
remove_circle_outline
remove_circle_outline

Journals

Article Types

Countries / Regions

Search Results (103)

Search Parameters:
Keywords = shortest weighted paths

Order results
Result details
Results per page
Select all
Export citation of selected articles as:
21 pages, 2532 KB  
Article
Heuristic-Based Computing-Aware Routing for Dynamic Networks
by Zhiyi Lin, Lingjie Wang, Wenxin Ning, Yuxiang Zhao, Li Yu and Jian Jiang
Electronics 2025, 14(18), 3724; https://doi.org/10.3390/electronics14183724 - 19 Sep 2025
Viewed by 201
Abstract
The development of the computing power network has brought about a revolutionary effect on network routing architecture. As a result, the computing-aware network routing problem has been raised to explore routing various computational tasks to appropriate computing resources in the dynamic network. In [...] Read more.
The development of the computing power network has brought about a revolutionary effect on network routing architecture. As a result, the computing-aware network routing problem has been raised to explore routing various computational tasks to appropriate computing resources in the dynamic network. In this study, we propose a heuristic-based computing-aware routing algorithm to achieve the optimal routing path by considering the dynamic network performance and computing resource status simultaneously. Our proposed approach models the dynamic network using time-varying node and edge weights, which are obtained by mapping basic performance indicators to weights according to quality-of-service requirements. This allows us to improve the user’s experience more effectively during the routing process. Moreover, a novel heuristic-based algorithm, which creatively transforms the computing-aware routing problem into a single-source shortest path problem, has been designed to achieve the comprehensive optimal routing path. The experimental results, based on both simulated networks and a real dedicated network in Zhejiang, demonstrate that our proposed method can obtain the comprehensive optimal routing path with a lower computing time cost than enumerating search. Furthermore, our proposed computing-aware routing method has been proven to be robust to the dynamics of the network, computing resources, and service load changes. Full article
Show Figures

Figure 1

23 pages, 3314 KB  
Article
Optimization of Manifold Learning Using Differential Geometry for 3D Reconstruction in Computer Vision
by Yawen Wang
Mathematics 2025, 13(17), 2771; https://doi.org/10.3390/math13172771 - 28 Aug 2025
Viewed by 624
Abstract
Manifold learning is a significant computer vision task used to describe high-dimensional visual data in lower-dimensional manifolds without sacrificing the intrinsic structural properties required for 3D reconstruction. Isomap, Locally Linear Embedding (LLE), Laplacian Eigenmaps, and t-SNE are helpful in data topology preservation but [...] Read more.
Manifold learning is a significant computer vision task used to describe high-dimensional visual data in lower-dimensional manifolds without sacrificing the intrinsic structural properties required for 3D reconstruction. Isomap, Locally Linear Embedding (LLE), Laplacian Eigenmaps, and t-SNE are helpful in data topology preservation but are typically indifferent to the intrinsic differential geometric characteristics of the manifolds, thus leading to deformation of spatial relations and reconstruction accuracy loss. This research proposes an Optimization of Manifold Learning using Differential Geometry Framework (OML-DGF) to overcome the drawbacks of current manifold learning techniques in 3D reconstruction. The framework employs intrinsic geometric properties—like curvature preservation, geodesic coherence, and local–global structure correspondence—to produce structurally correct and topologically consistent low-dimensional embeddings. The model utilizes a Riemannian metric-based neighborhood graph, approximations of geodesic distances with shortest path algorithms, and curvature-sensitive embedding from second-order derivatives in local tangent spaces. A curvature-regularized objective function is derived to steer the embedding toward facilitating improved geometric coherence. Principal Component Analysis (PCA) reduces initial dimensionality and modifies LLE with curvature weighting. Experiments on the ModelNet40 dataset show an impressive improvement in reconstruction quality, with accuracy gains of up to 17% and better structure preservation than traditional methods. These findings confirm the advantage of employing intrinsic geometry as an embedding to improve the accuracy of 3D reconstruction. The suggested approach is computationally light and scalable and can be utilized in real-time contexts such as robotic navigation, medical image diagnosis, digital heritage reconstruction, and augmented/virtual reality systems in which strong 3D modeling is a critical need. Full article
Show Figures

Figure 1

36 pages, 7320 KB  
Article
SL-WLEN, a Novel Semi-Local Centrality Metric with Weighted Lexicographic Extended Neighborhood for Identifying Influential Nodes in Networks with Weighted Edges and Nodal Attributes
by Maricela Fernanda Ormaza Morejón and Rolando Ismael Yépez Moreira
Mathematics 2025, 13(16), 2614; https://doi.org/10.3390/math13162614 - 15 Aug 2025
Viewed by 461
Abstract
The identification of influential nodes in complex networks modeling manufacturing environments is a critical aspect, especially when considering both structure and nodal attributes. This becomes particularly relevant given that conventional weighted centrality measures typically only consider edge weights while ignoring node heterogeneity. We [...] Read more.
The identification of influential nodes in complex networks modeling manufacturing environments is a critical aspect, especially when considering both structure and nodal attributes. This becomes particularly relevant given that conventional weighted centrality measures typically only consider edge weights while ignoring node heterogeneity. We present SL-WLEN (Semi-Local centrality with Weighted Lexicographic Extended Neighborhood), a novel centrality metric designed to overcome these limitations. Based on LRASP (Local Relative Average Shortest Path) and lexicographic ordering, SL-WLEN integrates topological structure and nodal attributes by combining local components (degree and nodal values). The incorporation of lexicographic ordering preserves the relative importance of nodes at each neighborhood level, ensuring that those with high values maintain their influence in the final metric without distortions from statistical aggregations. This method is applied and its robustness evaluated in a quality control network for chip manufacturing, comprising 1555 nodes representing critical process characteristics, with weighted connections indicating their degree of correlation. Finally, the metric was evaluated against other established methods using the SIR propagation model and Kendall’s τ coefficient, demonstrating that SL-WLEN maintains consistent values across all analyzed test networks. Full article
Show Figures

Figure 1

26 pages, 14849 KB  
Article
EAB-BES: A Global Optimization Approach for Efficient UAV Path Planning in High-Density Urban Environments
by Yunhui Zhang, Wenhong Xiao and Shihong Yin
Biomimetics 2025, 10(8), 499; https://doi.org/10.3390/biomimetics10080499 - 31 Jul 2025
Viewed by 544
Abstract
This paper presents a multi-strategy enhanced bald eagle search algorithm (EAB-BES) for 3D UAV path planning in urban environments. EAB-BES addresses key limitations of the traditional bald eagle search (BES) algorithm, including slow convergence, susceptibility to local optima, and poor adaptability in complex [...] Read more.
This paper presents a multi-strategy enhanced bald eagle search algorithm (EAB-BES) for 3D UAV path planning in urban environments. EAB-BES addresses key limitations of the traditional bald eagle search (BES) algorithm, including slow convergence, susceptibility to local optima, and poor adaptability in complex urban scenarios. The algorithm enhances solution space exploration through elite opposition-based learning, balances global search and local exploitation via an adaptive weight mechanism, and refines local search directions using block-based elite-guided differential mutation. These innovations significantly improve BES’s convergence speed, path accuracy, and adaptability to urban constraints. To validate its effectiveness, six high-density urban environments with varied obstacles were used for comparative experiments against nine advanced algorithms. The results demonstrate that EAB-BES achieves the fastest convergence speed and lowest stable fitness values and generates the shortest, smoothest collision-free 3D paths. Statistical tests and box plot analysis further confirm its superior performance in multiple performance metrics. EAB-BES has greater competitiveness compared with the comparative algorithms and can provide an efficient, reliable and robust solution for UAV autonomous navigation in complex urban environments. Full article
(This article belongs to the Special Issue Biomimicry for Optimization, Control, and Automation: 3rd Edition)
Show Figures

Figure 1

28 pages, 4063 KB  
Article
Development and Evaluation of a Multi-Robot Path Planning Graph Algorithm
by Fatma A. S. Alwafi, Xu Xu, Reza Saatchi and Lyuba Alboul
Information 2025, 16(6), 431; https://doi.org/10.3390/info16060431 - 23 May 2025
Viewed by 3583
Abstract
A new multi-robot path planning (MRPP) algorithm for 2D static environments was developed and evaluated. It combines a roadmap method, utilising the visibility graph (VG), with the algebraic connectivity (second smallest eigenvalue (λ2)) of the graph’s Laplacian and Dijkstra’s algorithm. The [...] Read more.
A new multi-robot path planning (MRPP) algorithm for 2D static environments was developed and evaluated. It combines a roadmap method, utilising the visibility graph (VG), with the algebraic connectivity (second smallest eigenvalue (λ2)) of the graph’s Laplacian and Dijkstra’s algorithm. The paths depend on the planning order, i.e., they are in sequence path-by-path, based on the measured values of algebraic connectivity of the graph’s Laplacian and the determined weight functions. Algebraic connectivity maintains robust communication between the robots during their navigation while avoiding collisions. The algorithm efficiently balances connectivity maintenance and path length minimisation, thus improving the performance of path finding. It produced solutions with optimal paths, i.e., the shortest and safest route. The devised MRPP algorithm significantly improved path length efficiency across different configurations. The results demonstrated highly efficient and robust solutions for multi-robot systems requiring both optimal path planning and reliable connectivity, making it well-suited in scenarios where communication between robots is necessary. Simulation results demonstrated the performance of the proposed algorithm in balancing the path optimality and network connectivity across multiple static environments with varying complexities. The algorithm is suitable for identifying optimal and complete collision-free paths. The results illustrate the algorithm’s effectiveness, computational efficiency, and adaptability. Full article
(This article belongs to the Special Issue Feature Papers in Information in 2024–2025)
Show Figures

Graphical abstract

20 pages, 2741 KB  
Article
Intelligent Firefighting Technology for Drone Swarms with Multi-Sensor Integrated Path Planning: YOLOv8 Algorithm-Driven Fire Source Identification and Precision Deployment Strategy
by Bingxin Yu, Shengze Yu, Yuandi Zhao, Jin Wang, Ran Lai, Jisong Lv and Botao Zhou
Drones 2025, 9(5), 348; https://doi.org/10.3390/drones9050348 - 3 May 2025
Cited by 1 | Viewed by 2217
Abstract
This study aims to improve the accuracy of fire source detection, the efficiency of path planning, and the precision of firefighting operations in drone swarms during fire emergencies. It proposes an intelligent firefighting technology for drone swarms based on multi-sensor integrated path planning. [...] Read more.
This study aims to improve the accuracy of fire source detection, the efficiency of path planning, and the precision of firefighting operations in drone swarms during fire emergencies. It proposes an intelligent firefighting technology for drone swarms based on multi-sensor integrated path planning. The technology integrates the You Only Look Once version 8 (YOLOv8) algorithm and its optimization strategies to enhance real-time fire source detection capabilities. Additionally, this study employs multi-sensor data fusion and swarm cooperative path-planning techniques to optimize the deployment of firefighting materials and flight paths, thereby improving firefighting efficiency and precision. First, a deformable convolution module is introduced into the backbone network of YOLOv8 to enable the detection network to flexibly adjust its receptive field when processing targets, thereby enhancing fire source detection accuracy. Second, an attention mechanism is incorporated into the neck portion of YOLOv8, which focuses on fire source feature regions, significantly reducing interference from background noise and further improving recognition accuracy in complex environments. Finally, a new High Intersection over Union (HIoU) loss function is proposed to address the challenge of computing localization and classification loss for targets. This function dynamically adjusts the weight of various loss components during training, achieving more precise fire source localization and classification. In terms of path planning, this study integrates data from visual sensors, infrared sensors, and LiDAR sensors and adopts the Information Acquisition Optimizer (IAO) and the Catch Fish Optimization Algorithm (CFOA) to plan paths and optimize coordinated flight for drone swarms. By dynamically adjusting path planning and deployment locations, the drone swarm can reach fire sources in the shortest possible time and carry out precise firefighting operations. Experimental results demonstrate that this study significantly improves fire source detection accuracy and firefighting efficiency by optimizing the YOLOv8 algorithm, path-planning algorithms, and cooperative flight strategies. The optimized YOLOv8 achieved a fire source detection accuracy of 94.6% for small fires, with a false detection rate reduced to 5.4%. The wind speed compensation strategy effectively mitigated the impact of wind on the accuracy of material deployment. This study not only enhances the firefighting efficiency of drone swarms but also enables rapid response in complex fire scenarios, offering broad application prospects, particularly for urban firefighting and forest fire disaster rescue. Full article
Show Figures

Figure 1

20 pages, 1267 KB  
Article
BPDM-GCN: Backup Path Design Method Based on Graph Convolutional Neural Network
by Wanwei Huang, Huicong Yu, Yingying Li, Xi He and Rui Chen
Future Internet 2025, 17(5), 194; https://doi.org/10.3390/fi17050194 - 27 Apr 2025
Viewed by 521
Abstract
To address the problems of poor applicability of existing fault link recovery algorithms in network topology migration and backup path congestion, this paper proposes a backup path algorithm based on graph convolutional neural to improve deep deterministic policy gradient. First, the BPDM-GCN backup [...] Read more.
To address the problems of poor applicability of existing fault link recovery algorithms in network topology migration and backup path congestion, this paper proposes a backup path algorithm based on graph convolutional neural to improve deep deterministic policy gradient. First, the BPDM-GCN backup path algorithm is constructed within a deep deterministic policy gradient training framework. It uses graph convolutional networks to detect changes in network topology, aiming to optimize data transmission delay and bandwidth occupancy within the network topology. After iterative training of the BPDM-GCN algorithm, the comprehensive link weights within the network topology are generated. Then, according to the comprehensive link weight and taking the shortest path as the optimization objective, a backup path implementation method based on the incremental shortest path tree is designed to reduce the phasor data transmission delay in the backup path. In conclusion, the experimental results show that the backup path formulated by this algorithm exhibits reduced data transmission delay, minimal path extension, and a high success rate in recovering failed links. Compared to the superior NRLF-RL algorithm, the BPDM-GCN algorithm achieves a reduction of approximately 14.29% in the average failure link recovery delay and an increase of approximately 5.24% in the failure link recovery success rate. Full article
Show Figures

Figure 1

16 pages, 3073 KB  
Article
Mitigation of Risks Associated with Distrustful Routers in OSPF Networks—An Enhanced Method
by Kvitoslava Obelovska, Yaromyr Snaichuk, Oleh Liskevych, Stergios-Aristoteles Mitoulis and Rostyslav Liskevych
Computers 2025, 14(2), 43; https://doi.org/10.3390/computers14020043 - 29 Jan 2025
Cited by 2 | Viewed by 1173
Abstract
Packet routing in computer networks provides complex challenges in environments with distrustful routers due to security vulnerabilities or potential malicious behaviors. The literature offers solutions to the problem designed for different types of networks. This paper introduces a novel method to mitigate risks [...] Read more.
Packet routing in computer networks provides complex challenges in environments with distrustful routers due to security vulnerabilities or potential malicious behaviors. The literature offers solutions to the problem designed for different types of networks. This paper introduces a novel method to mitigate risks associated with distrustful routers by constructing secure and efficient routing paths in Open Shortest Path First (OSPF) networks. Networks in which routing is carried out based on OSPF protocols are currently the most widespread, hence ensuring the security of data transmission in such networks is urgently needed. In turn, distrustful routers can degrade the overall security and performance of the network, creating vulnerabilities that can be used for malicious purposes. The proposed method is based on the Dijkstra algorithm which is enhanced to identify and mitigate the risk connected with potential distrustful network nodes. Analysis of the proposed method shows its ability to build efficient routes exclusively through trusted routers if such paths exist. As a criterion for effectiveness, a metric such as the channel weight is used. The proposed method is validated using applications across networks of varying topologies and sizes, including large-scale networks. For networks containing post-distrustful routers to which there is no path without distrustful nodes, the proposed method is able to build the shortest paths that are marked as not secure but have a minimum number of distrustful nodes on their path. In scenarios with multiple compromised routers with different locations in the network, the proposed method significantly increases network resilience. Full article
(This article belongs to the Special Issue Multimedia Data and Network Security)
Show Figures

Figure 1

23 pages, 7195 KB  
Article
Unmanned Aerial Vehicle-Enabled Aerial Radio Environment Map Construction: A Multi-Stage Approach to Data Sampling and Path Planning
by Junyi Lin, Hongjun Wang, Tao Wu, Zhexian Shen, Ruhao Jiang and Xiaochen Fan
Drones 2025, 9(2), 81; https://doi.org/10.3390/drones9020081 - 21 Jan 2025
Viewed by 1443
Abstract
An aerial Radio Environment Map (REM) characterizes the spatial distribution of Received Signal Strength (RSS) across a geographic space of interest, which is crucial for optimizing wireless communication in the air. Aerial REM construction can rely on Unmanned Aerial Vehicles (UAVs) to autonomously [...] Read more.
An aerial Radio Environment Map (REM) characterizes the spatial distribution of Received Signal Strength (RSS) across a geographic space of interest, which is crucial for optimizing wireless communication in the air. Aerial REM construction can rely on Unmanned Aerial Vehicles (UAVs) to autonomously select interesting positions for sampling RSS data, enhancing the quality of construction. However, due to the lack of prior information about the environment, it is challenging for UAVs to determine suitable sampling positions online. Additionally, achieving efficient exploration of the target area through collaboration among multiple UAVs is difficult. To address this issue, this paper proposes a multi-stage approach to data sampling and path planning with multiple UAVs. Specifically, the UAVs’ data sampling task over the target area is divided into multiple stages. By selecting an appropriate stage position, we use the RSS values at that position to determine whether additional data need to be sampled in a specific local area. At each stage, the area is divided into Voronoi diagrams based on the current position of each UAV, assigning each UAV its own region to explore. In our sampling strategy, the probability distribution for sampling is obtained by estimating the RSS and uncertainty of unsampled positions and then taking the weighted sum of these two values. To obtain the shortest flight path for selected sampling positions, we employ a network structure based on self-attention as the policy network, which is trained through the actor–critic framework to obtain an improvement heuristic strategy, replacing traditional manually designed strategies. Experimental results across three different scenarios indicate that the approach improves the quality of aerial REM construction while efficiently planning the shortest paths for UAVs between sampling positions. Full article
Show Figures

Figure 1

17 pages, 4678 KB  
Article
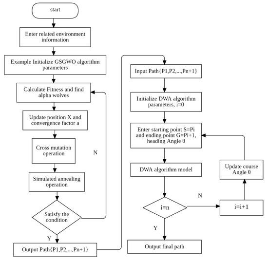
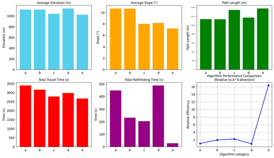
A Fusion Algorithm of Robot Path Planning Based on Improved Gray Wolf Algorithm and Dynamic Window Approach
by Fei Liu, Xiankun Wu, Li Ma and Dazhang You
Electronics 2025, 14(2), 302; https://doi.org/10.3390/electronics14020302 - 14 Jan 2025
Cited by 3 | Viewed by 987
Abstract
To tackle the problems of sluggish convergence rates, low precision, and limited applicability to static settings, a fusion algorithm of the improved Gray Wolf Algorithm and the improved Dynamic Window Approach is proposed. With regard to the Gray Wolf Algorithm, an adjustable nonlinear [...] Read more.
To tackle the problems of sluggish convergence rates, low precision, and limited applicability to static settings, a fusion algorithm of the improved Gray Wolf Algorithm and the improved Dynamic Window Approach is proposed. With regard to the Gray Wolf Algorithm, an adjustable nonlinear convergence factor is used to search and optimize the balance of the algorithm in the initial phase of the iteration process, and the candidate wolves are accepted through a simulated annealing operation in the late stage of iteration to prevent local optima and achieve the global path planning. With regard to the Dynamic Window Approach, an adaptive weight is introduced to safely control the speed for passing obstacles and an offset evaluation function is enrolled to prevent excessive local path deviation. Then, the algorithm extracts key waypoints from the global path for detailed local planning, so that the initial orientation angle succeeds the orientation angle that attained the local target point on the previous occasion and generate the shortest and smooth path from the start point to the target point. Finally, the algorithm is applied to various test scenarios for path planning simulation tests, demonstrating that the proposed algorithm is feasible and possesses superior exploration capabilities. Full article
Show Figures

Figure 1

17 pages, 3028 KB  
Article
Numerical Solutions to the Variational Problems by Dijkstra’s Path-Finding Algorithm
by Thanaporn Arunthong, Laddawan Rianthakool, Khanchai Prasanai, Chakrit Na Takuathung, Sakchai Chomkokard, Wiwat Wongkokua and Noparit Jinuntuya
Appl. Sci. 2024, 14(22), 10674; https://doi.org/10.3390/app142210674 - 19 Nov 2024
Cited by 2 | Viewed by 1637
Abstract
In this work, we propose the general idea of using a path-finding algorithm to solve a variational problem. By interpreting a variational problem of finding the function that minimizes a functional integral as a shortest path finding, we can apply the shortest path-finding [...] Read more.
In this work, we propose the general idea of using a path-finding algorithm to solve a variational problem. By interpreting a variational problem of finding the function that minimizes a functional integral as a shortest path finding, we can apply the shortest path-finding algorithm to numerically estimate the optimal function. This can be achieved by discretizing the continuous domain of the variational problem into a spatially weighted graph. The weight of each edge is defined according to the function of the original problem. We adopt the Moser lattice as the discretization scheme since it provides adjustable connections around a vertex. We find that this number of connections is crucial to the estimation of an accurate optimal path. Dijkstra’s shortest path-finding algorithm was chosen due to its simplicity and convenience in implementation. We validate our proposal by applying Dijkstra’s path-finding algorithm to numerically solve three famous variational problems, i.e., the optical ray tracing, the brachistochrone, and the catenary problems. The first two are examples of problems with no constraint. The standard Dijkstra’s algorithm can be directly applied. The third problem is an example of a problem with an isoperimetric constraint. We apply the Lagrangian relaxation technique to relax the optimization in the standard Dijkstra algorithm to incorporate the constraint. In all cases, when the number of sublattices is large enough, the results agree well with the analytic solutions. In all cases, the same path-finding code is used, regardless of the problem details. Our approaches provide more insight and promise to be more flexible than conventional numerical methods. We expect that our method can be useful in practice when an investigation of the optimal path in a complex problem is needed. Full article
Show Figures

Figure 1

32 pages, 836 KB  
Article
Path Algebra-Driven Classification Solution to Realize User-Centric Performance-Oriented Virtual Network Embeddings
by Stelios Prekas, Panagiotis A. Karkazis and Panagiotis Trakadas
Telecom 2024, 5(4), 1129-1160; https://doi.org/10.3390/telecom5040057 - 5 Nov 2024
Viewed by 1540
Abstract
The intense diversity of the Next-Generation Networking environments like 6G and the forthcoming deployment of immersive applications with varied user-specific requirements transform the efficient allocation of resources into a real challenge. Traditional solutions like the shortest path algorithm and mono-constraint methodologies are inadequate [...] Read more.
The intense diversity of the Next-Generation Networking environments like 6G and the forthcoming deployment of immersive applications with varied user-specific requirements transform the efficient allocation of resources into a real challenge. Traditional solutions like the shortest path algorithm and mono-constraint methodologies are inadequate to handle customized user-defined performance parameters and effectively classify physical resources according to these intricate demands. This research offers a new evaluation mechanism to successfully replace the aforementioned traditional path ranking and path selection techniques. Specifically, the proposed framework is integrated with optimization-oriented metrics, each indicating a unique aspect of performance for evaluating candidate network paths. The deployed metrics are then algebraically synthesized to provide a distinctive multidimensional description of the examined substrate resources. These primary and composite metrics adhere to the fundamental monotonicity and isotonicity properties of a Path Algebra; hence, the validity and optimality of the proposed evaluation mechanism is guaranteed by design. To tackle the complexity created by the variety of human-centric customization, a novel methodology that analyzes and determines the weighted influence of the synthesized metrics depending on the characteristics of the served user-centric application is also introduced. The chosen suitable weights address performance-oriented mission-critical tailored objectives for adaptive optimizations. Its innovative algebraic design allows it to successfully describe and rank candidate paths in a versatile way, whether in legacy or modern architectures. The experimental data of the first scenario show that 62.5% and 50% of highlighted path evaluations proposed by the shortest path and unidimensional constraint strategies, respectively, suffer from moderate performance-oriented values compared to the proposed framework. Likewise, the results of the second examined scenario reveal that the proposed composite metric yields more suitable path rankings by 50% in contrast to its traditional counterparts, rendering the contested evaluation mechanisms obsolete. Full article
Show Figures

Figure 1

19 pages, 6565 KB  
Article
Research on AGV Path Planning Based on Improved Directed Weighted Graph Theory and ROS Fusion
by Yinping Li and Li Liu
Actuators 2024, 13(10), 404; https://doi.org/10.3390/act13100404 - 7 Oct 2024
Cited by 2 | Viewed by 2714
Abstract
This article addresses the common issues of insufficient computing power and path congestion for automated guided vehicles (AGVs) in real-world production environments, as well as the shortcomings of traditional path-planning algorithms that mainly consider the shortest path while ignoring vehicle turning time and [...] Read more.
This article addresses the common issues of insufficient computing power and path congestion for automated guided vehicles (AGVs) in real-world production environments, as well as the shortcomings of traditional path-planning algorithms that mainly consider the shortest path while ignoring vehicle turning time and stability. We propose a secondary path-planning method based on an improved directed weighted graph theory integrated with an ROS. Firstly, the production environment is modeled in detail to identify the initial position of the AGV. Secondly, the operational area is systematically divided, key nodes are selected and optimized, and a directed weighted graph is constructed with optimized weights. It is integrated with the ROS for path planning, using the Floyd algorithm to find the optimal path. The effectiveness and superiority of this method have been demonstrated through simulation verification and actual AGV operation testing. The path planning strategy and fusion algorithm proposed in this article that comprehensively considers distance and angle steering are simple and practical, effectively reducing production costs for enterprises. This method is suitable for logistics sorting and small transport AGVs with a shorter overall path-planning time, higher stability, and limited computing power, and it has reference significance and practical value. Full article
(This article belongs to the Section Actuators for Robotics)
Show Figures

Figure 1

24 pages, 2433 KB  
Article
Generalized Shortest Path Problem: An Innovative Approach for Non-Additive Problems in Conditional Weighted Graphs
by Adrien Durand, Timothé Watteau, Georges Ghazi and Ruxandra Mihaela Botez
Mathematics 2024, 12(19), 2995; https://doi.org/10.3390/math12192995 - 26 Sep 2024
Viewed by 3535
Abstract
The shortest path problem is fundamental in graph theory and has been studied extensively due to its practical importance. Despite this aspect, finding the shortest path between two nodes remains a significant challenge in many applications, as it often becomes complex and time [...] Read more.
The shortest path problem is fundamental in graph theory and has been studied extensively due to its practical importance. Despite this aspect, finding the shortest path between two nodes remains a significant challenge in many applications, as it often becomes complex and time consuming. This complexity becomes even more challenging when constraints make the problem non-additive, thereby increasing the difficulty of finding the optimal path. The objective of this paper is to present a broad perspective on the conventional shortest path problem. It introduces a new method to classify cost functions associated with graphs by defining distinct sets of cost functions. This classification facilitates the exploration of line graphs and an understanding of the upper bounds on the transformation sizes for these types of graphs. Based on these foundations, the paper proposes a practical methodology for solving non-additive shortest path problems. It also provides a proof of optimality and establishes an upper bound on the algorithmic cost of the proposed methodology. This study not only expands the scope of traditional shortest path problems but also highlights their computational complexity and potential solutions. Full article
(This article belongs to the Special Issue Advances in Graph Theory: Algorithms and Applications)
Show Figures

Figure 1

21 pages, 15745 KB  
Article
A Study of the Improved A* Algorithm Incorporating Road Factors for Path Planning in Off-Road Emergency Rescue Scenarios
by Dequan Zhao, Li Ni, Kefa Zhou, Zhihong Lv, Guangjun Qu, Yue Gao, Weiting Yuan, Qiulan Wu, Feng Zhang and Qing Zhang
Sensors 2024, 24(17), 5643; https://doi.org/10.3390/s24175643 - 30 Aug 2024
Cited by 6 | Viewed by 2635
Abstract
To address the problem of ignoring unpaved roads when planning off-road emergency rescue paths, an improved A* algorithm that incorporates road factors is developed to create an off-road emergency rescue path planning model in this study. To reduce the number of search nodes [...] Read more.
To address the problem of ignoring unpaved roads when planning off-road emergency rescue paths, an improved A* algorithm that incorporates road factors is developed to create an off-road emergency rescue path planning model in this study. To reduce the number of search nodes and improve the efficiency of path searches, the current node is classified according to the angle between the line connecting the node and the target point and the due east direction. Additionally, the search direction is determined in real time through an optimization method to improve the path search efficiency. To identify the path with the shortest travel time suitable for emergency rescue in wilderness scenarios, a heuristic function based on the fusion of road factors and a path planning model for off-road emergency rescue is developed, and the characteristics of existing roads are weighted in the process of path searching to bias the selection process toward unpaved roads with high accessibility. The experiments show that the improved A* algorithm significantly reduces the travel time of off-road vehicles and that path selection is enhanced compared to that with the traditional A* algorithm; moreover, the improved A* algorithm reduces the number of nodes by 16.784% and improves the search efficiency by 27.18% compared with the traditional 16-direction search method. The simulation results indicate that the improved algorithm reduces the travel time of off-road vehicles by 21.298% and improves the search efficiency by 93.901% compared to the traditional A* algorithm, thus greatly enhancing off-road path planning. Full article
(This article belongs to the Section Sensors and Robotics)
Show Figures

Figure 1

Back to TopTop