A Study of the Improved A* Algorithm Incorporating Road Factors for Path Planning in Off-Road Emergency Rescue Scenarios
Abstract
1. Introduction
2. Three-Dimensional Terrain Surface Modeling
2.1. Study Area and Dataset
2.1.1. Surface Slope Modeling
2.1.2. Surface Attribute Modeling
3. Algorithm Construction and Description
3.1. A* Algorithm
3.2. Improvement of the A* Algorithm
3.2.1. Data Structure Optimization
3.2.2. Heuristic Function Design Considering Off-Road Factors
3.2.3. Improvements to Neighborhood Searches
4. Experiments and Results
4.1. Improved Neighborhood Search Experiment
4.2. Comparative Experiments Regarding the Performance of Heuristic Functions Considering Off-Road Factors
5. Discussion
5.1. Optimal Values of α and β
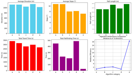
5.2. Algorithm Performance Comparison
6. Conclusions
Author Contributions
Funding
Data Availability Statement
Conflicts of Interest
References
- Cunningham, C.; Wong, U.; Peterson, K.M.; Whittaker, W.L.R. Predicting terrain traversability from thermal diffusivity. In Proceedings of the Field and Service Robotics: Results of the 9th International Conference, Brisbane, Australia, 9–11 December 2013; Springer: Cham, Switzerland, 2015; pp. 61–74. [Google Scholar]
- Ge, S.; Wang, F.-Y.; Yang, J.; Ding, Z.; Wang, X.; Li, Y.; Teng, S.; Liu, Z.; Ai, Y.; Chen, L. Making standards for smart mining operations: Intelligent vehicles for autonomous mining transportation. IEEE Trans. Intell. Veh. 2022, 7, 413–416. [Google Scholar] [CrossRef]
- Ge, S.; Xie, Y.; Liu, K.; Ding, Z.; Hu, E.; Chen, L.; Wang, F.-Y. The use of intelligent vehicles and artificial intelligence in mining operations: Ethics, responsibility, and sustainability. IEEE Trans. Intell. Veh. 2023, 8, 1021–1024. [Google Scholar] [CrossRef]
- González, R.; Jayakumar, P.; Iagnemma, K. Stochastic mobility prediction of ground vehicles over large spatial regions: A geostatistical approach. Auton. Robot. 2017, 41, 311–331. [Google Scholar] [CrossRef]
- Shi, J.; Liu, C.; Xi, H. Improved D* path planning algorithm based on CA model. J. Electron. Meas. Instrum. 2016, 30, 30–37. [Google Scholar] [CrossRef]
- Wang, Z.; Zeng, G.; Huang, B.; Fang, Z. Global optimal path planning for robots with improved A* algorithm. J. Comput. Appl. 2019, 39, 2517. [Google Scholar] [CrossRef]
- Yin, J.; Li, L.; Mourelatos, Z.P.; Liu, Y.; Gorsich, D.; Singh, A.; Tau, S.; Hu, Z. Reliable global path planning of off-road autonomous ground vehicles under uncertain terrain conditions. IEEE Trans. Intell. Veh. 2023, 9, 1161–1174. [Google Scholar] [CrossRef]
- Cheng, C.; Hao, X.; Li, J.; Zhang, Z.; Sun, G. Global dynamic path planning based on fusion of improved A* algorithm and dynamic window approach. J. Xi’an Jiaotong Univ. 2017, 51, 137–143. [Google Scholar] [CrossRef]
- Hu, J.; Hu, Y.; Lu, C.; Gong, J.; Chen, H. Integrated path planning for unmanned differential steering vehicles in off-road environment with 3D terrains and obstacles. IEEE Trans. Intell. Transp. Syst. 2021, 23, 5562–5572. [Google Scholar] [CrossRef]
- Huang, J.-K.; Grizzle, J.W. Efficient anytime clf reactive planning system for a bipedal robot on undulating terrain. IEEE Trans. Robot. 2023, 39, 2093–2110. [Google Scholar] [CrossRef]
- Jin, Q.; Tang, C.; Cai, W. Research on dynamic path planning based on the fusion algorithm of improved ant colony optimization and rolling window method. IEEE Access 2021, 10, 28322–28332. [Google Scholar] [CrossRef]
- Jiang, C.; Hu, Z.; Mourelatos, Z.P.; Gorsich, D.; Jayakumar, P.; Fu, Y.; Majcher, M. R2-RRT*: Reliability-based robust mission planning of off-road autonomous ground vehicle under uncertain terrain environment. IEEE Trans. Autom. Sci. Eng. 2021, 19, 1030–1046. [Google Scholar] [CrossRef]
- Chen, M.; Chen, Z.; Luo, L.; Tang, Y.; Cheng, J.; Wei, H.; Wang, J. Dynamic visual servo control methods for continuous operation of a fruit harvesting robot working throughout an orchard. Comput. Electron. Agric. 2024, 219, 108774. [Google Scholar] [CrossRef]
- Ye, L.; Wu, F.; Zou, X.; Li, J. Path planning for mobile robots in unstructured orchard environments: An improved kinematically constrained bi-directional RRT approach. Comput. Electron. Agric. 2023, 215, 108453. [Google Scholar] [CrossRef]
- Lv, T.; Feng, M. A smooth local path planning algorithm based on modified visibility graph. Mod. Phys. Lett. B 2017, 31, 1740091. [Google Scholar] [CrossRef]
- Liu, J.; Ji, J.; Ren, Y.; Huang, Y.; Wang, H. Path planning for vehicle active collision avoidance based on virtual flow field. Int. J. Automot. Technol. 2021, 22, 1557–1567. [Google Scholar] [CrossRef]
- Xia, K. Finite element modeling of tire/terrain interaction: Application to predicting soil compaction and tire mobility. J. Terramechanics 2011, 48, 113–123. [Google Scholar] [CrossRef]
- Hu, Z.; Mourelatos, Z.P.; Gorsich, D.; Jayakumar, P.; Majcher, M. Testing design optimization for uncertainty reduction in generating off-road mobility map using a Bayesian approach. J. Mech. Des. 2020, 142, 021402. [Google Scholar] [CrossRef]
- Hua, C.; Niu, R.; Yu, B.; Zheng, X.; Bai, R.; Zhang, S. A global path planning method for unmanned ground vehicles in off-road environments based on mobility prediction. Machines 2022, 10, 375. [Google Scholar] [CrossRef]
- Jian, Z.; Zhang, S.; Chen, S.; Nan, Z.; Zheng, N. A global-local coupling two-stage path planning method for mobile robots. IEEE Robot. Autom. Lett. 2021, 6, 5349–5356. [Google Scholar] [CrossRef]
- Quann, M.; Ojeda, L.; Smith, W.; Rizzo, D.; Castanier, M.; Barton, K. Off-road ground robot path energy cost prediction through probabilistic spatial mapping. J. Field Robot. 2020, 37, 421–439. [Google Scholar] [CrossRef]
- Paden, B.; Čáp, M.; Yong, S.Z.; Yershov, D.; Frazzoli, E. A survey of motion planning and control techniques for self-driving urban vehicles. IEEE Trans. Intell. Veh. 2016, 1, 33–55. [Google Scholar] [CrossRef]
- Zhu, P.; Ferrari, S.; Morelli, J.; Linares, R.; Doerr, B. Scalable gas sensing, mapping, and path planning via decentralized hilbert maps. Sensors 2019, 19, 1524. [Google Scholar] [CrossRef]
- Abd Algfoor, Z.; Sunar, M.S.; Abdullah, A. A new weighted pathfinding algorithms to reduce the search time on grid maps. Expert Syst. Appl. 2017, 71, 319–331. [Google Scholar] [CrossRef]
- Alazzam, H.; AbuAlghanam, O.; Sharieh, A. Best path in mountain environment based on parallel A* algorithm and Apache Spark. J. Supercomput. 2022, 78, 5075–5094. [Google Scholar] [CrossRef]
- Tang, X.; Zhu, Y.; Jiang, X. Improved A-star algorithm for robot path planning in static environment. J. Phys. Conf. Ser. 2021, 1792, 012067. [Google Scholar] [CrossRef]
- Mora, M.C.; Tornero, J. Predictive and multirate sensor-based planning under uncertainty. IEEE Trans. Intell. Transp. Syst. 2014, 16, 1493–1504. [Google Scholar] [CrossRef]
- Norhafezah, K.; Nurfadzliana, A.; Megawati, O. Simulation of municipal solid waste route optimization by Dijkstra’s algorithm. J. Fundam. Appl. Sci. 2017, 9, 732–747. [Google Scholar] [CrossRef]
- Thoresen, M.; Nielsen, N.H.; Mathiassen, K.; Pettersen, K.Y. Path planning for UGVs based on traversability hybrid A. IEEE Robot. Autom. Lett. 2021, 6, 1216–1223. [Google Scholar] [CrossRef]
- Huang, G.; Yuan, X.; Shi, K.; Liu, Z.; Wu, X. A 3-d multi-object path planning method for electric vehicle considering the energy consumption and distance. IEEE Trans. Intell. Transp. Syst. 2021, 23, 7508–7520. [Google Scholar] [CrossRef]
- Zhang, X.; Zou, Y. Collision-free path planning for automated guided vehicles based on the improved A* algorithm. Syst. Eng. Theory Prat. 2021, 41, 240–246. [Google Scholar] [CrossRef]
- Cao, R.; Zhang, Z.; Li, S.; Zhang, M.; Li, H.; Li, M. Multi-machine collaborative global path planning based on improved A* algorithm and Bezier curve. Comput. Electron. Agric. 2021, 52, 7. [Google Scholar] [CrossRef]
- Guruji, A.K.; Agarwal, H.; Parsediya, D. Time-efficient A* algorithm for robot path planning. Procedia Technol. 2016, 23, 144–149. [Google Scholar] [CrossRef]
- Duan, S.; Wang, Q.; Han, X.; Liu, G. Improved A-star algorithm for safety insured optimal path with smoothed corner turns. J. Mech. Eng. 2020, 56, 205–215. [Google Scholar] [CrossRef]
- Tang, Y.; Qi, S.; Zhu, L.; Zhuo, X.; Zhang, Y.; Meng, F. Obstacle avoidance motion in mobile robotics. J. Syst. Simul. 2024, 36, 1–26. [Google Scholar]
- Yang, F.; Lin, G.; Zhang, W. Terrain classification for terrain parameter estimation based on a dynamic testing system. Sens. Rev. 2015, 35, 329–339. [Google Scholar] [CrossRef]
- Schwarz, M.; Behnke, S. Local navigation in rough terrain using omnidirectional height. In Proceedings of the ISR/Robotik 2014; 41st International Symposium on Robotics, Munich, Germany, 2–3 June 2014; pp. 1–6. [Google Scholar]
- Li, X.; Zheng, H.; Wang, J.; Xia, Y.; Song, H. A Global Path Planning Method for Unmanned Ground Vehicles in Off-Road Scenarios Based on Terrain Data. Available online: https://ssrn.com/abstract=4688079 (accessed on 22 July 2024).
- Gonzalez, R.; Jayakumar, P.; Iagnemma, K. An efficient method for increasing the accuracy of mobility maps for ground vehicles. J. Terramechanics 2016, 68, 23–35. [Google Scholar] [CrossRef]
- Lu, Z.; Sun, S.; Yuan, M.; Yang, F.; Yin, H. Fire Path Fighting in Forest Off-Road Using Improved ACA—An Example of The Northern Primitive Forest Region of The Great Xing’an Range in Inner Mongolia, China. Forests 2022, 13, 1717. [Google Scholar] [CrossRef]
- Wang, H.; Zhang, H.; Wang, K.; Zhang, C.; Yin, C.; Kang, X. Off-road path planning based on improved ant colony algorithm. Wirel. Pers. Commun. 2018, 102, 1705–1721. [Google Scholar] [CrossRef]
- Zhang, J.; Xie, F.; Wang, C.; Liu, Q.; Hong, R.; Du, J. Global Off-Road Path Planning of Unmanned Ground Vehicles Based on the Raw Remote Sensing Map; SAE Technical Paper; SAE International: Warrendale, PA, USA, 2023. [Google Scholar]
- Liu, L.; Wang, X.; Yang, X.; Liu, H.; Li, J.; Wang, P. Path planning techniques for mobile robots: Review and prospect. Expert Syst. Appl. 2023, 227, 120254. [Google Scholar] [CrossRef]
- Liu, Q.; Zhao, L.; Tan, Z.; Chen, W. Global path planning for autonomous vehicles in off-road environment via an A-star algorithm. Int. J. Veh. Auton. Syst. 2017, 13, 330–339. [Google Scholar] [CrossRef]
- Jia, Q.; Chen, G.; Sun, H.; Zheng, S. Path planning for space manipulator to avoid obstacle based on A* algorithm. J. Mech. Eng. 2010, 46, 109–115. [Google Scholar] [CrossRef]
- Xie, G.; Fang, L.; Su, X.; Guo, D.; Qi, Z.; Li, Y.; Che, J. A Path-Planning Approach for an Unmanned Vehicle in an Off-Road Environment Based on an Improved A* Algorithm. World Electr. Veh. J. 2024, 15, 234. [Google Scholar] [CrossRef]
- Hong, Z.; Sun, P.; Tong, X.; Pan, H.; Zhou, R.; Zhang, Y.; Han, Y.; Wang, J.; Yang, S.; Xu, L. Improved A-Star algorithm for long-distance off-road path planning using terrain data map. ISPRS Int. J. Geo-Inf. 2021, 10, 785. [Google Scholar] [CrossRef]













| Hierarchy | Elevation | Slope Weight |
|---|---|---|
| 0 | 0°~5° | 1 |
| 1 | 5°~10° | 0.8 |
| 2 | 10°~15° | 0.6 |
| 3 | 15°~20° | 0.4 |
| 4 | 20°~25° | 0.2 |
| 5 | 25°~31° | 0.1 |
| 6 | ≥31° | 0 |
| Topography | Velocity Decay | Feature Weighting Factor |
|---|---|---|
| Open road | 0 | 1 |
| Saline soil | 0.228 | 0.8 |
| Grasslands | 0.337 | 0.7 |
| Grave | 0.565 | 0.4 |
| Sandy beach or river bank | 0.699 | 0.3 |
| Form | Angle (Between Two Intersecting Lines) θ | Deleted Nodes |
|---|---|---|
| I | [0°, 22.5°] ∪ (337.5°, 360°] | a, d, g, 3, 5 |
| II | (22.5°, 90°] | d, g, h, 5, 7 |
| III | (90°, 157.5°] | f, i, h, 6, 8 |
| IV | (157.5°, 202.5°] | c, f, i, 4, 6 |
| V | (202.5°, 270°] | b, c, f, 2, 4 |
| VII | (270°, 337.5°] | a, b, d, 1, 3 |
| Neighborhood | Distance (m) | Number of Nodes | Search Time (s) |
|---|---|---|---|
| 16-neighborhood | 6540.29 | 875 | 88.83 |
| Multi-directional search | 6675.19 | 619 | 150.70 |
| Optimize your search strategy | 6542.65 | 873 | 112.96 |
| Improved neighborhood | 6820.19 | 758 | 24.68 |
| α and β | Average Altitude (m) | Average Slope (°) | Path Length (m) | Travel Time (s) | Search Efficiency (s) |
|---|---|---|---|---|---|
| 0.1,0.9 | 1024.00 | 8.70 | 14,331.73 | 2819.00 | 43.65 |
| 0.2,0.8 | 1024.09 | 8.73 | 14,153.93 | 2796.06 | 42.49 |
| 0.3,0.7 | 1024.60 | 8.84 | 13,968.37 | 2764.76 | 42.36 |
| 0.4,0.6 | 1024.65 | 8.80 | 13,916.20 | 2745.44 | 42.37 |
| 0.5,0.5 | 1127.61 | 10.82 | 11,306.03 | 3188.21 | 186.93 |
| 0.6,0.4 | 1122.46 | 11.13 | 11,067.71 | 3232.78 | 289.23 |
| 0.7,0.3 | 1122.46 | 11.13 | 11,067.71 | 3232.78 | 295.32 |
| 0.8,0.2 | 1122.46 | 11.13 | 11,067.71 | 3232.78 | 287.98 |
| 0.9,0.1 | 1122.46 | 11.13 | 11,067.71 | 3232.78 | 290.39 |
| Algorithm Category | Average Altitude (m) | Average Slope (°) | Length of Path (m) | Travel Time (s) | Search Efficiency (s) |
|---|---|---|---|---|---|
| Traditional A* (8-way) | 1122.51 | 10.71 | 11,380.43 | 3397.29 | 448.80 |
| Traditional A* (16 directions) | 1120.71 | 10.68 | 11,327.63 | 3160.34 | 231.86 |
| Multi-directional search | 1043.60 | 8.01 | 13,459.69 | 2784.9 | 203.35 |
| Optimize your search strategy | 1142.56 | 8.15 | 11,710.01 | 2980.76 | 489.19 |
| Improved A* | 1024.90 | 7.19 | 13,804.03 | 2673.71 | 27.37 |
Disclaimer/Publisher’s Note: The statements, opinions and data contained in all publications are solely those of the individual author(s) and contributor(s) and not of MDPI and/or the editor(s). MDPI and/or the editor(s) disclaim responsibility for any injury to people or property resulting from any ideas, methods, instructions or products referred to in the content. |
© 2024 by the authors. Licensee MDPI, Basel, Switzerland. This article is an open access article distributed under the terms and conditions of the Creative Commons Attribution (CC BY) license (https://creativecommons.org/licenses/by/4.0/).
Share and Cite
Zhao, D.; Ni, L.; Zhou, K.; Lv, Z.; Qu, G.; Gao, Y.; Yuan, W.; Wu, Q.; Zhang, F.; Zhang, Q. A Study of the Improved A* Algorithm Incorporating Road Factors for Path Planning in Off-Road Emergency Rescue Scenarios. Sensors 2024, 24, 5643. https://doi.org/10.3390/s24175643
Zhao D, Ni L, Zhou K, Lv Z, Qu G, Gao Y, Yuan W, Wu Q, Zhang F, Zhang Q. A Study of the Improved A* Algorithm Incorporating Road Factors for Path Planning in Off-Road Emergency Rescue Scenarios. Sensors. 2024; 24(17):5643. https://doi.org/10.3390/s24175643
Chicago/Turabian StyleZhao, Dequan, Li Ni, Kefa Zhou, Zhihong Lv, Guangjun Qu, Yue Gao, Weiting Yuan, Qiulan Wu, Feng Zhang, and Qing Zhang. 2024. "A Study of the Improved A* Algorithm Incorporating Road Factors for Path Planning in Off-Road Emergency Rescue Scenarios" Sensors 24, no. 17: 5643. https://doi.org/10.3390/s24175643
APA StyleZhao, D., Ni, L., Zhou, K., Lv, Z., Qu, G., Gao, Y., Yuan, W., Wu, Q., Zhang, F., & Zhang, Q. (2024). A Study of the Improved A* Algorithm Incorporating Road Factors for Path Planning in Off-Road Emergency Rescue Scenarios. Sensors, 24(17), 5643. https://doi.org/10.3390/s24175643
