Next Article in Journal
An Improved Reference Paper Collection System Using Web Scraping with Three Enhancements
Previous Article in Journal
Developing Quantum Trusted Platform Module (QTPM) to Advance IoT Security
 
 
Font Type:
Arial Georgia Verdana
Font Size:
Aa Aa Aa
Line Spacing:
Column Width:
Background:
Article

BPDM-GCN: Backup Path Design Method Based on Graph Convolutional Neural Network

1
College of Software Engineering, Zhengzhou University of Light Industry, Zhengzhou 450001, China
2
College of Electronics & Communication Engineering, Shenzhen Polytechnic University, Shenzhen 518005, China
3
Henan Jiuyu Tenglong Information Engineering Co., Ltd., Zhengzhou 450005, China
*
Author to whom correspondence should be addressed.
Future Internet 2025, 17(5), 194; https://doi.org/10.3390/fi17050194
Submission received: 21 February 2025 / Revised: 11 April 2025 / Accepted: 25 April 2025 / Published: 27 April 2025

Abstract

To address the problems of poor applicability of existing fault link recovery algorithms in network topology migration and backup path congestion, this paper proposes a backup path algorithm based on graph convolutional neural to improve deep deterministic policy gradient. First, the BPDM-GCN backup path algorithm is constructed within a deep deterministic policy gradient training framework. It uses graph convolutional networks to detect changes in network topology, aiming to optimize data transmission delay and bandwidth occupancy within the network topology. After iterative training of the BPDM-GCN algorithm, the comprehensive link weights within the network topology are generated. Then, according to the comprehensive link weight and taking the shortest path as the optimization objective, a backup path implementation method based on the incremental shortest path tree is designed to reduce the phasor data transmission delay in the backup path. In conclusion, the experimental results show that the backup path formulated by this algorithm exhibits reduced data transmission delay, minimal path extension, and a high success rate in recovering failed links. Compared to the superior NRLF-RL algorithm, the BPDM-GCN algorithm achieves a reduction of approximately 14.29% in the average failure link recovery delay and an increase of approximately 5.24% in the failure link recovery success rate.

1. Introduction

With the extensive application of information and communication technology in power facilities, the smart grid—which integrates power systems, communication networks, and advanced sensors—has been deployed and applied worldwide [1]. As a crucial component of the smart grid [2], the wide-area measurement system (WAMS) is crucial for the safe and stable operation of the power grid due to its unique features, such as high-precision synchronous phasor measurement, high-speed communication and rapid response, global optimization coordination control, and online low-frequency oscillation analysis [3]. WAMS collects phasor data from each node in the power topology at a high rate using synchronized phasor measurement units (PMUs), and transmits this data to the phasor data concentrator (PDC) through high-speed communication network. The PDC assesses the operational status of the power system based on the phasor data collected simultaneously from various nodes, and takes appropriate measures in real-time to ensure the safety and stability of the power system’s operation [4]. During the phasor data transmission process, communication network link failures such as optical fiber and satellite link terminals may occur due to communication network link congestion or severe weather conditions. This prevents the PDC from collecting complete phasor data, rendering the wide-area measurement system incapable of accurately monitoring and controlling the operation of the power system [5].
With the advancement of software defined network (SDN), new solutions have been proposed to address link failure recovery in communication networks [6]. SDN offers a comprehensive network view, allowing for real-time network status information retrieval through the controller. This enables more flexible network control and facilitates rapid identification of faulty links in the network topology [7]. SDN uses standardized interaction protocols between planes to decouple the data plane from the control plane. The data plane swiftly forwards data packets over the failed link based on backup path flow table information in the switch, thereby reducing link failure recovery delay in the network topology [8]. In recent years, the SDN-based wide-area measurement system communication network has attracted the attention of many scholars at home and abroad, which provides a new research idea for the problem of fast recovery of phasor transmission link failure in the wide-area measurement system communication network [9].
This paper proposes the integration of SDN into the wide-area measurement communication network. Furthermore, it puts forth a backup path design method based on graph convolutional neural network (BPDM-GCN) with the objective of enhancing the recovery success rate of faulty links in the communication network topology of wide-area measurement systems of varying sizes. The BPDM-GCN method employs an iterative training process based on the transmission delay, bandwidth occupancy, and packet loss rate of the phasor data link within the communication network of the wide-area measurement system. This process involves multiple interactions between the intelligent agent and the communication network, with the objective of identifying the optimal link weight for calculating the backup path. Based on the optimal link weight in the network topology, with link load balancing and shortest path as the optimization goals. A backup path based on the incremental shortest path tree has been designed and implemented to achieve rapid recovery of faulty links in the communication network of the wide-area measurement system. The contributions of this paper can be summarized as follows:
(1) Thoroughly assess the performance of phasor data transmission within the wide-area measurement system communication network, investigate the current fault link recovery algorithms, and summarize the issues related to their limited adaptability to various network topologies.
(2) A backup path design method based on GCN improved DDPG is proposed. Through multiple interactions between the intelligent agent and the wide-area measurement system communication network, iterative training is performed to output the optimal link weight that can achieve link load balancing.
(3) A method for implementing backup paths based on an incremental shortest path tree is designed, with comprehensive optimization objectives of link load balancing and shortest path selection. This approach aims to minimize phasor data transmission delay in the backup path.
(4) Six IEEE benchmark test power system communication networks are utilized, with varying link load conditions set as experimental network topologies. It has been verified that BPDM-GCN can effectively reduce fault link recovery delay, while also improving the success rate of fault link recovery.

2. Related Research

Based on the involvement stage of the SDN controller in the fault link recovery process, fault recovery methods can be classified into control plane fault link fast recovery methods and data plane fault link fast recovery methods [10].

2.1. Fast Recovery Method of Link Failure Based on Control Plane

The fast recovery method for control plane link failures requires the controller to be involved in the recovery process. After the link failure is detected, the controller computes a new forwarding path and configures forwarding rules in the switch. Jia et al. employed reinforcement learning techniques to assess link performance within the network topology and formulated backup paths based on the impact of faulty links, thereby diminishing the likelihood of congestion on backup routes [11]. Duan et al. introduced a hybrid fast path recovery algorithm (HFPR-A). Upon the failure of a communication link, this algorithm swiftly identifies the shortest or an approximately shortest path between nodes to facilitate rapid recovery [12]. Li et al. introduced a backup path search algorithm that takes into account both backup path length and link load balancing. This approach aims to minimize backup path length and optimize link utilization during fault recovery processes [13]. Astaneh et al. introduced a path risk metric designed to reroute end-to-end traffic on failed links with minimal operational disruption, thereby ensuring rapid traffic recovery [14]. The control plane-based method for recovering from fault links begins by identifying the fault link within the network topology. Subsequently, a fault link recovery algorithm is devised to satisfy constraints such as the shortest recovery path and optimal link load. Finally, the SDN controller computes a new data forwarding path within the network topology and updates the switch with a new flow table entry. This type of method may introduce significant delay during the interaction between the controller and the switch, rendering them unsuitable for WAMS where strict limits on end-to-end data transmission delay are critical.

2.2. Fast Recovery Method of Link Failure Based on Data Plane

The problem of extended fault link recovery time in control plane-based fault link recovery method is addressed. The fault link recovery method based on the data plane involves pre-calculating primary and backup paths via the SDN controller. In the event of a link failure, the switch directs phasor data packets to follow the backup path without requiring interaction with the controller. This approach effectively minimizes delays in fault link recovery. Liang et al. took reducing the number of interrupted traffic caused by link failures as the optimization goal, and formalized the selection of backup paths as an integer programming problem to reduce the demand for backup flow rules and backup bandwidth [15]. Qin et al. employed the fault-tolerant fast-switching technology and fault recovery mechanism of the SDN controller to establish multiple backup paths between the source and destination points, effectively addressing both single-path and multi-path failure issues [16]. In the approach proposed by Petale et al., backup paths are stored in advance in the switch. In the event of a link failure, the interrupted data packets are aggregated into a flow entry using VLAN ID, thereby reducing the number of traffic packets [17]. Zhu et al. employed Markov chains to assess the significance of links, implemented backup pathways for primary pathways in switches in advance, and stored backup pathways for secondary links in controllers, thereby effectively reducing the consumption of backup resources [18]. The data plane fault link recovery method, which is based on the control plane fault recovery method, addresses the issue of prolonged recovery times. However, the pre-calculated backup path in the switch does not fully consider the link load condition. In the event of a link failure, there is a risk of secondary link failure due to congestion on the backup path, which can impede the stable transmission of phasor data in the communication network of the wide-area measurement system.
In order to address the aforementioned issues, this paper proposes the integration of SDN into the wide-area measurement communication network. Furthermore, it puts forth BPDM-GCN with the objective of enhancing the recovery success rate of faulty links in the communication network topology of wide-area measurement systems of varying sizes. The BPDM-GCN method employs an iterative training process based on the transmission delay, bandwidth occupancy, and packet loss rate of the phasor data link within the communication network of the wide-area measurement system. This process involves multiple interactions between the intelligent agent and the communication network, with the objective of identifying the optimal link weight for calculating the backup path. Based on the optimal link weight in the network topology, with link load balancing and shortest path as the optimization goals. A backup path based on the incremental shortest path tree has been designed and implemented to achieve rapid recovery of faulty links in the communication network of the wide-area measurement system.

3. Construction of Communication Network Model for WAMS

3.1. Communication Network System Model Construction

In this study, an undirected graph G = V , E is employed to represent the communication network topology of the wide-area measurement system. In the context of network topology, the symbol V represents the set of switch nodes, V = v i i 1 , , n , n N . E represents the set of links between switch nodes in the network topology, E = e 1 , 2 , e 1 , 3 , e i , j , i , j N . The link between switch nodes v i and v j is denoted as e i , j , and  w e i , j represents the link weight of link e i , j . Define the switch connected to the PDC in the network topology as the destination node d, the remaining nodes as the source node d, and the phasor data transmission path from the source node d to the destination node d as p a t h s , d .
In compliance with the stringent maximum delay specifications of the wide-area measurement system communication network, it is imperative to uphold the service quality of the wide-area measurement system communication. This paper delineates the phase transmission delay within the communication network of the wide-area measurement system into two components, denoted as d e l a y p a t h s , d and d e l a y v i . In this context, d e l a y p a t h s , d represents the sum of all link delays d e l a y e i , j in the phasor data transmission path p a t h s , d . d e l a y v i represents the delay consumed by the phasor data in the switch forwarding. The calculation process of the data transmission delay D e l a y p a t h s , d between the phasor data from the source node s to the destination node d in the network topology is depicted in Equation (1).
D e l a y p a t h s , d = e i , j p a t h s , d d e l a y ( e i , j ) + i p a t h i , j d e l a y v i
For the sake of argument, let us assume that link e i , j is connected to port n of switch v j through port m of switch v i . The bandwidth utilization rate O c c u p a n c y e i , j of link e i , j is determined by the number of bytes forwarded by port m of switch v i and port n of switch v j in a specified time period T. The calculation process of bandwidth occupancy rate A is illustrated in Equation (2).
O c c u p a n c y e i , j = b i , m t b i , m t T + b j , n t b j , n t T T B a n d w i t h e i , j
In Equation (2), b i , m t and b i , m t T represent the number of bytes forwarded by port m of switch v i at time t and time t T , respectively. The value of B a n d w i t h e i , j denotes the total bandwidth of link e i , j .
In the communication network topology of the WAMS, there exist multiple paths for phasor data transmission between the source node s and the destination node d. The bandwidth occupancy O c c u p a n c y p a t h s , d of the phasor transmission path is contingent upon the bandwidth occupancy max O c c u p a n c y e i , j of link e i , j , as illustrated in Equation (3).
O c c u p a n c y p a t h s , d = max O c c u p a n c y e i , j e i , j p a t h s , d
Due to the fact that the performance parameters such as data transmission delay D e l a y p a t h s , d , bandwidth utilization rate O c c u p a n c y p a t h s , d , and packet loss rate L o s s p a t h s , d associated with the phasor data transmission path p a t h s , d in the network topology have different units of measurement, it is necessary to establish a unified metric standard for parameter comparison. To this end, a standardization procedure is applied to the data transmission delay D e l a y p a t h s , d by performing a min–max normalization as described in Equation (4).
D e l a y p a t h s , d = D e l a y p a t h s , d min D e l a y p a t h s , d max D e l a y p a t h s , d min D e l a y p a t h s , d

3.2. Backup Path Method Architecture Design

The wide-area measurement system communication network plays a pivotal role in facilitating essential operations such as data transmission and command issuance between the PMU and PDC. In order to guarantee the dependability of data transmission in the wide-area measurement system communication network. This paper introduces SDN into the communication network of the wide-area measurement system with the objective of separating the control plane and data plane of the aforementioned system. The controller is responsible for designing the optimal backup path for the network topology, taking into account the real-time status of the network topology operation. This ensures the stable transmission of phasor data in the network topology. The configuration of the backup path algorithm is illustrated in Figure 1.
As illustrated in Figure 1, the backup path design method based on BPDM-GCN comprises three distinct planes: the data plane, control plane, and application plane. The data plane encompasses a range of devices, including OpenFlow switches, PMUs, PDCs, and other similar apparatuses. The OpenFlow switch directs the phasor data generated by the PMU to be transmitted to the PDC in accordance with the flow table items issued by the SDN, and transmits the instructions determined by the PDC to the PMU. The control plane primarily consists of the SDN controller. Its key functions include real-time monitoring of link statuses within the data plane, transmitting this status information to the BPDM-GCN agent in the application plane, and determining the transmission path for phasor data based on the link weights provided by the BPDM-GCN agent. This path is then configured into flow table entries and forwarded to the OpenFlow switch. In the application plane, the BPDM-GCN agent acquires network topology details such as link transmission delay, bandwidth utilization, and packet loss rates from the SDN controller. Following iterative training, it outputs action values, specifically the link weights, which define network topology adjustments.

4. Backup Path Design Method Based on BPDM-GCN

4.1. Data Transmission Path Optimization Algorithm Based on BPDM-GCN

In the backup path design of this study, the BPDM-GCN-based data transmission path optimization algorithm aims to optimize the data transmission path in the communication network topology of the wide-area measurement system by combining the GCN and the DDPG algorithm, which provides a weight basis for key links to determine the backup path in the future. The following is a detailed introduction to the specific contents of the algorithm.
The BPDM-GCN backup path design method employs an enhanced version of the DDPG algorithm that integrates GCN. Specifically, the GCN neural network replaces the original neural network within the DDPG algorithm to optimize the transmission paths for phasor data across the communication network topology of the wide-area measurement system. The DDPG algorithm, structured within the Actor–Critic framework, comprises two primary components: the Actor network and the Critic network. The Actor network employs a neural network to approximate a strategic function, mapping current network topology state information to corresponding actions within the action space. Meanwhile, the Critic network assesses and directs actions generated by the Actor network based on a defined reward function, aiming to refine and optimize the strategic actions generated by the Actor network. The DDPG algorithm commonly integrates Recurrent Neural Networks and Long Short-Term Memory Networks within the Actor and Critic networks. These neural networks typically demand substantial computational resources during training, particularly when optimizing network topology path weights. However, their adaptability and flexibility can be constrained. In order to improve the operating efficiency and generalization ability of the DDPG algorithm, the graph theory based on the GCN neural network is used to efficiently learn the structural information and link state information of the nodes in the communication network topology of the wide-area measurement system, so that the DDPG algorithm improved based on GCN can efficiently adapt to the communication network topologies of wide-area measurement systems of various scales. The DDPG algorithm framework based on GCN is shown in Figure 2.
Figure 2 shows the GCN-based DDPG algorithm framework, where the online policy GCN network, target policy GCN network, online Q GCN network, and target Q GCN network represent the improved online Actor policy network, target Actor policy network, online Q Critic network, and target Q Critic network. The algorithm’s generalization capability is effectively enhanced through the parameter sharing and local connectivity properties inherent in the GCN neural network. The experience replay pool D stores ( s t , a t , r t , s t + 1 ) data generated during interactions between the agent and the network topology environment, thereby reducing data correlation and enhancing algorithm stability. Green nodes represent normal status information nodes, red nodes (such as node 17) represent nodes with abnormal conditions (such as link failures, high packet loss rates, etc.), and nodes are numbered 1–30 to identify each node in the network topology.The update process for the online policy network and the target network in the GCN-based DDPG algorithm proceeds as follows.
(1) Online network update: The online network includes the online policy GCN network and the online Q GCN network. The online strategy GCN network generates action a t = μ s t θ μ based on the current network topology state s t and parameter θ μ . s t and a t are passed to the online Q GCN network to generate function [ Q s t , a t θ Q after iteration. The online Q GCN network transmits gradient information g r a d Q to update the online policy GCN network. The update process of the online policy GCN network is shown in Equation (5).
θ μ G μ θ μ = g r a d Q g r a d μ 1 N i a Q s , a Q a s = s t , a = μ s t θ μ μ s θ μ s t
In Equation (5), θ μ G μ θ μ represents the policy function G with respect to parameter θ μ . g r a d Q is the gradient information transmitted in Q GCN. g r a d μ is provided by the online strategy GCN network, which ensures that the online strategy network selects high-yield actions. N represents the number of randomly sampled samples. a Q s , a Q a s = s t , a = μ s t represents the gradient of the Q function Q ( s , a | Q a ) with respect to action a when action a takes the current μ ( s t ) output of the policy network in state s t . θ μ μ s θ μ s t represents the gradient of the policy network μ ( s | θ μ ) with respect to parameter θ μ in state s t .
(2) Target network update: The target network includes the target policy GCN network and the target Q GCN network. The target strategy GCN network selects the network topology state s t + 1 from the experience replay pool D and generates a t + 1 = μ s t + 1 θ μ after training. The target Q GCN network trains with inputs s t + 1 and a t + 1 to derive Q s t + 1 , μ s t + 1 θ μ θ Q , computes the target reward value y t , and subsequently transmits it to the online Q GCN network. The computation process for y t is illustrated in Equation (6).
y t = r t + γ Q s t + 1 , μ s t + 1 θ μ θ Q
In Equation (6), r t represents the reward value obtained by taking action a t in state s t . γ 0 , 1 represents the discount factor. Q s t + 1 , μ s t + 1 θ μ θ Q represents the value evaluation of action μ s t + 1 θ μ by the target Q GCN network in state s t + 1 . Among them, μ s t + 1 θ μ is the action generated by the target policy GCN network based on state s t + 1 and parameter θ μ . θ Q is obtained by regularly copying online Q GCN network parameter  θ Q .
The GCN-based DDPG algorithm and the wide-area measurement system communication network topology facilitate agent training through multiple interactions. The agent dynamically adjusts the output action according to the phasor data transmission delay, bandwidth occupancy, packet loss rate, and reward value in the network topology until the agent training converges. The processes of state mapping, action mapping, and reward value mapping are as follows.
(1) State mapping: The link state information and network topology in the wide-area measurement system communication network are input in matrix form. The link state information is represented by a vector matrix E R J C . J represents the number of rows in the matrix. Each row represents the feature vector s e i , j = [ d e l a y e i , j , d e l a y v i , O c c u p a n c y e i , j , l o s s ( e i , j ) ] of link e i , j in the wide-area measurement system communication network. C represents the dimension of the node feature vector. The vector matrix is E = s e 1 , 2 , s e 1 , 3 , s e i , j T . The network topology is represented by the adjacency matrix A R J J . To maintain vector scale consistency following multi-layer matrix transformations, matrix A undergoes normalization, A ^ = D 1 2 D A D 1 2 . D is the degree matrix of matrix A.
(2) Action mapping: The action strategy generated by the GCN-based DDPG algorithm after iterative training based on state s t and reward value r t is represented as a c t i o n = a w 1 , 2 , a w 1 , 3 , , a w i , j . The action value a w i , j in the set represents the link weight of link e i , j .
(3) Reward value mapping: The reward value represents the feedback of the agent based on the corresponding action a t made according to state s t . The BPDM-GCN algorithm is optimized to minimize phasor data transmission delay, low bandwidth occupancy, and low packet loss rate. The phasor data transmission delay, bandwidth occupancy, and packet loss rate are standardized and utilized as the foundation for the reward value calculation. The reward value calculation process is illustrated in Equation (7).
r e w a r d = α D e l a y p s , d + β O c c u p a n c y p a t h s , d + δ L o s s p a t h s , d
In Equation (7), the reward factor parameter is designated as α , β , δ 0 , 1 , α + β + δ = 1 . The value of parameter α , β , δ is determined by the relative importance of phasor data transmission delay, link occupancy rate, and packet loss rate within the network topology. In this paper, the values of parameters a, b, and  δ are set to 0.4, 0.4, and 0.2, respectively.
In order to ensure the reliability of the backup path designed in the communication network of the wide-area measurement system, this paper proposes an improved DDPG algorithm based on the GCN. The detailed procedure is shown in Algorithm 1.
Algorithm 1: DDPG algorithm flow improved based on GCN
Input: Link state eigenvector matrix E R J C and structural adjacency matrix A R J J
Output: Link e i , j weight w e i , j
(1)  Initalize θ μ , θ μ , θ Q , θ Q and D
(2)  For episode = 1, M do:
(3)    Initalize s 1 Initalize noise strategy
(4)    For t = 1, T do
(5)        Select action a t = μ s t | θ μ according to the current policy
(6)         A ^ = D 1 2 D A D 1 2
(7)         H 1 = R rLU A ^ ξ E W 0
(8)         Z = soft max A ^ Re L U A ^ ξ e W 0 W 1
(9)        Obtain r t and s t + 1
(10)      Store transition ( s t , a t , r t , s t + 1 ) in D
(11)      Sample a random mini batch of N s t , a t , r t , s t + 1 from D
(12)      Calculate target return value y t , y t = r t + γ Q s t + 1 , μ s t + 1 θ μ θ Q
(13)       L = 1 N i y t Q s t , a t θ Q 2
(14)       θ μ G μ θ μ 1 N i a Q s , a Q a s = s t , a = μ s t θ μ μ s θ μ s t
(15)       θ Q τ θ Q + ( 1 τ ) θ Q
(16)       θ μ τ θ μ + ( 1 τ ) θ μ
(17)    End for
(18)  End for
In Algorithm 1, the initial step initializes variables θ μ , θ μ , θ Q , and  θ Q . Subsequent lines 2–16 outline the training and parameter update procedures of the DDPG algorithm enhanced with GCN. Specifically, lines 5–9 delineate the process of updating GCN neural network parameters, states, actions, and reward values during interactions between the algorithm and its environment. Line 10 involves storing information s t , a t , r t , s t + 1 within the experience replay pool D. Lines 11–16 indicate how the algorithm utilizes data from the experience replay pool to conduct training for both the Actor and Critic networks. In formula H 1 = R rLU A ^ ξ E W 0 , ξ is a scaling parameter used to adjust the scale of the link state feature vector matrix E, each row of E R J C represents the eigenvector of the link e i , j , W 0 is the weight matrix of the GCN layer, A ^ ξ E is the matrix multiplication of the normalized adjacency matrix A ^ and the scaled link state feature matrix ξ E , and  H 1 is obtained by nonlinear transformation by modifying the linear unit activation function R rLU .In formula Z = soft max A ^ Re L U A ^ ξ e W 0 W 1 , the result of A ^ ξ E W 0 is applied to the modified linear unit Re L U activation function, the  Re L U function introduces nonlinear factors, multiplies with A ^ , and performs matrix multiplication with another weight matrix W 1 . Finally, Z is normalized by the soft max function.
The backup path design in BPDM-GCN is divided into two cooperative stages:
(1) Route establishment stage: Through iterative training of DDPG-GCN, the link weight matrix is dynamically optimized to reflect the real-time status of the network topology (such as latency and bandwidth utilization).
(2) Route selection stage: Based on the link weight matrix, the incremental shortest path tree algorithm (Algorithm 2) is used to calculate the load balanced and shortest backup path.
Algorithm 2: Algorithm flow of backup path based on incremental shortest path tree
Input: Network topology G = ( V , E ) , link e i , j weight w e i , j in the topology
Output: The maximum disjoint backup path b a c k u p _ p a t h s , d from the starting node s to the destination node d
(1)    Initalize w e i , j T , G = ( V , E )
(2)    Function build shortest path tree T 1
(3)      dist = { } , parent= { } ,visited = { }
(4)      For each neighbor v of s
(5)      End for
(6)      return (dist, parent)
(7)    End function
(8)    Function build incremental shortest path tree T 2
(9)    For each neighbor v of s
(10)    remove link e s , v
(11)  End for
(12)  Output backup path b a c k u p _ p a t h s , d
(13)  End function
Two-stage dynamic correlation by link weight matrix: When the network topology changes, DDPG-GCN retrains and updates the link weight matrix, triggering real-time adjustment of the incremental shortest path tree to ensure that the backup paths always adapt to the latest network conditions.

4.2. Backup Path Implementation Method Based on Incremental Shortest Path Tree

Because of variations in the physical distances between nodes within the communication network topology of the wide-area measurement system, selecting a longer link as the backup path can lead to increased recovery delays when transmitting phasor data from a faulty link along this backup route. In order to reduce the phasor data transmission delay in the backup path, this paper considers link load balancing and the shortest path in depth and designs a backup path implementation method based on the incremental shortest path tree according to the link weights output by the improved DDPG algorithm based on GCN in Section 3.1. This paper employs the incremental shortest path tree algorithm to compute the shortest backup path from origin node s to destination node d within the communication network of the wide-area measurement system. This algorithm dynamically adjusts to real-time changes in network topology, efficiently updating the shortest path between nodes as required. In the context of a WAMS communication network, the transmission characteristics of phasor data dictate that all switches connected to the PMU transmit phasor data to the switch that is linked to the PDC. This paper utilizes the Dijkstra algorithm to establish the shortest path tree T, with the switch connected to the PDC designated as destination node d, based on the link weights detailed in Section 3.1. This tree serves as the primary route for transmitting phasor data within the communication network of the wide-area measurement system. The source node s transmits phasor data to the root node d following the path delineated in the shortest path tree.
In order to ensure the reliability of phasor data transmission in the shortest path tree T in the communication network of the wide-area measurement system, the backup path b a c k u p _ p a t h s , d is calculated for the shortest path tree T from the source node s to the root node d based on the incremental shortest path tree algorithm. During the backup path calculation process, the incremental shortest path tree algorithm efficiently updates shortest path information through incremental updates, thereby minimizing computational resources and time required. The algorithmic steps for computing the backup path using the incremental shortest path tree are as follows: (1) Initialize the link weights in tree T to infinity and establish the link relationships between nodes in the communication network topology of the wide-area measurement system. (2) Using node s as the root node in the network topology, employ the Dijkstra algorithm to construct the shortest path tree T 1 . (3) Disconnect the links between node s and its neighboring nodes in the shortest path tree T 1 sequentially. Based on the priority principle of the incremental shortest path tree, generate an incremental shortest path tree T 2 with node s as the root node. The shortest path from source node s to destination node d is selected from the incremental shortest path tree T 2 as the backup path. In the event of a malfunction in the network topology, the switch promptly transitions to the designated backup path, ensuring the uninterrupted transmission of phasor data. The particular methodology is illustrated in Algorithm 2.
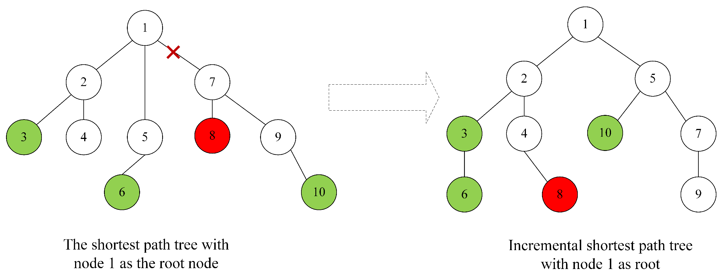
As illustrated in Figure 3, the communication network topology of the wide-area measurement system comprises three distinct nodes: the red node 8, which is a switch node connected to the PDC; the green node, which represents a switch node connected to the PDC; and the node without color marking, which is a regular switch node. According to the link weights obtained in Section 3.1, the shortest path tree is constructed with node 1 as the root node. The main path for transmitting phasor data from node 1 to destination node 8 is p 1 , 8 = e 1 , 7 : : e 7 , 8 . Disconnect the link e 1 , 7 , build an incremental shortest path tree with node 1 as the root node, and perform phasor transmission from node 1 to destination node 8 along the backup path p 1 , 8 = e 1 , 2 : : e 2 , 4 : : e 4 , 8 to ensure data transmission between node 1 and node 8. Green nodes (such as nodes 3, 6, and 10) represent nodes that have valid path connections to the root node (node 1). Red nodes (such as node 8) are nodes that are experiencing errors, congestion, or other abnormal conditions. The special symbol between Node 1 and Node 7 indicates a disconnection between these two nodes.

4.3. Theoretical and Practical Correlation of GCN and DDPG Fusion Mechanism

4.3.1. Benefits of GCN for Dynamic Network Topology Modeling

The traditional DDPG algorithm uses a fully connected neural network (FCN) or a recurrent neural network (RNN) to process the state space. However, in the communication network of a wide-area measurement system, the connection relationship between nodes has a graph structure characteristic. It is difficult for FCN to capture the dynamic correlation of the topology. Its fixed input dimension and local perception ability are difficult to adapt to the dynamic graph structure characteristics of the wide-area measurement system communication network [19]. This paper uses a graph convolutional neural network (GCN) as the core network of DDPG for the following reasons:
(1) Graph structure perception capability: GCN directly models the connection relationship between switch nodes through the spectral domain convolution operation of the adjacency matrix and the node feature matrix, capturing the dynamic changes of the network topology.
(2) Parameter sharing and generalization: The convolutional layer of GCN shares the weight matrix between different nodes, avoiding the parameter explosion problem caused by changes in network scale in traditional FCN, and supports generalization training from 14 nodes to 118 nodes.
(3) Multi-scale feature fusion: By stacking multiple layers of GCN, the algorithm can simultaneously aggregate local link status (latency, bandwidth) and global topology (node degree, path redundancy), providing high-dimensional semantic features for DDPG.
Zheng et al. focused mainly on data center networks. To solve the problem that existing algorithms ignore network energy consumption, energy saving and network performance are taken as joint optimization goals. The improved DDPG algorithm is combined with a convolutional neural network to achieve energy-saving routing scheduling [20]. This paper focuses on the communication network of wide-area measurement systems. To solve the problems of poor applicability of existing faulty link recovery algorithms and backup path congestion during network topology migration, the graph convolutional neural network (GCN) and deep deterministic policy gradient algorithms are integrated to optimize the backup path. The differences and innovations in the algorithm design and experimental verification of this paper can be summarized as follows.
(1) Innovative algorithm fusion: A backup path algorithm BPDM-GCN based on graph convolutional neural network is proposed to improve deep deterministic policy gradient. When dealing with network topology path weight optimization, the traditional DDPG algorithm, such as the recurrent neural network, has the problems of large computational resource requirement and limited adaptability. In this paper, GCN is used to directly model the node connection relationship in the network topology. Through the spectral domain convolution operation of the adjacency matrix and the node feature matrix, the dynamic changes of the network topology are captured, and the adaptability of the algorithm to the communication network topology of different scales of wide-area measurement systems is improved.
(2) Optimization of backup path implementation: A backup path implementation method based on the incremental shortest path tree is designed. Considering the difference in physical distance of nodes in the communication network of the wide-area measurement system, the long backup path will increase the delay of faulty link recovery. According to the link weight output by the BPDM-GCN algorithm, this method uses the incremental shortest path tree algorithm to calculate the shortest backup path from the source node to the destination node. It can dynamically adapt to the changes in network topology and reduce the transmission delay of phasor data in the backup path.
(3) Comprehensive experimental verification: Six IEEE benchmark test power system communication networks are used for experiments, and different link load conditions are set as experimental network topologies. Compared with algorithms such as NRLF-RL, LIR-LFR, and FR-VLAN, the method is evaluated by several key indicators such as fault link recovery delay and fault link recovery success rate. The results show that the BPDM-GCN algorithm can effectively reduce the fault link recovery delay and improve the recovery success rate.

4.3.2. DDPG-GCN Collaborative Link Weight Optimization Implementation Mechanism

The synergy between GCN and DDPG is reflected in the following key relationships:
(1) State representation and feature extraction: The network topology state is encoded as the adjacency matrix A and the node feature matrix X (including link delay, bandwidth occupancy, etc.). GCN generates the node embedding H through a graph convolution operation as shown in Equation (8).
H ( l + 1 ) = σ ( D 1 2 A D 1 2 H ( l ) W ( l ) )
In Equation (8), A = A + I is the adjacency matrix with self-connection added, D is the degree matrix, and W ( l ) is the trainable weight. The embedding vector H is used as input to the actor network to guide the link weight adjustment strategy.
(2) Action generation and strategy optimization: The Actor network adjusts action a t based on the link weight output by H, and the Critic network calculates the value of Q based on H and a t to evaluate the long-term benefits of the action. GCN’s feature propagation mechanism enables the Critic network to predict link congestion risks and avoid strategy oscillations caused by traditional DDPG ignoring the topology structure.
(3) Dynamic weighting of the reward function: The latency, bandwidth utilization, and packet loss rate indicators in the reward value are dynamically weighted by the topological features extracted by GCN. For example, the neighbor node features of high-load links are automatically enhanced by GCN, prompting DDPG to prioritize the optimization of critical path weights and achieve load balancing.

4.3.3. Deep Integration Between BPDM-GCN and SDN Architecture

In the SDN control plane, the specific association of BPDM-GCN is as follows [21]:
(1) Data plane awareness: The SDN controller collects link status data (latency, bandwidth usage) in real time via the OpenFlow protocol and builds a dynamic topology map G ( V , E ) .
(2) Control plane reasoning: BPDM-GCN receives topology data and uses the pre-trained DDPG-GCN model to output the optimal link weight matrix W.
(3) Application level decision: Generate the primary path and backup path based on the W increment shortest path tree algorithm and send them to the switch through the flow table entry. The comparative analysis of BPDM-GCN and traditional methods is shown in Table 1.
In the BPDM-GCN algorithm, GCN is used to compute link weights. The calculation of GCN mainly revolves around the adjacency matrix and the node feature matrix. When computing each layer of GCN, as in formula H ( l + 1 ) = σ ( D 1 2 A D 1 2 H ( l ) W ( l ) ) , it involves matrix multiplication operations, and its computational complexity is roughly related to the number of edges E, with each layer being approximately O ( E ) . Due to the usually small number of GCN layers, the total computational complexity of the GCN part can be approximated as O ( E ) . In addition, the complexity of constructing the shortest path tree in the algorithm (using Dijkstra’s algorithm) in sparse graphs (actual power system communication networks are mostly sparse graphs) is approximately O ( E ) , and the complexity of other auxiliary operations is relatively small and can be ignored. Considering these factors, the computational complexity of the BPDM-GCN method is finally O ( E + V ) .

5. Experiment and Result Analysis

5.1. Experimental Environment and Parameter Configuration

The experimental hardware setup features high-performance components, including an Intel Core i7-13700H processor clocked at 5.0 GHz, an NVIDIA RTX 4060 graphics card, 16 GB of RAM, and a 1 TB solid-state drive. These specifications ensure robust performance and stable operation throughout the experiment. The operating system used is Ubuntu version 18.0, paired with Python environment version 3.6.9. The BPDM-GCN backup path algorithm computes backup paths utilizing the SDN architecture as its framework. The DDPG algorithm, which has been enhanced through the integration of GCN in the application plane, is trained iteratively in accordance with the link status information, thereby generating a comprehensive link weight. In the control plane, the V 4.34 Ryu controller is employed to collect link status information in the data plane in real time and transmit it to the enhanced DDPG agent. The primary and secondary path information is calculated according to the comprehensive link weight and then sent to the OpenFlow switch via the flow table item. The data plane employs OpenFlow switches and links in the V 2.3.0 Mininet simulation software to simulate the communication network topology environment of the wide-area measurement system integrated with SDN. Although the IEEE benchmark provides a standard basis for network feature evaluation, Mininet’s ability to customize network topology, configure network parameters in detail, simulate network protocols and applications, and perform network testing can more accurately reflect the complexity and dynamics of different network environments, providing more comprehensive simulation support for network research and development. The V 1.3 OpenFlow protocol is employed between the control plane and the data plane to guarantee the secure transmission of information between the Ryu controller and the OpenFlow switch.
To comprehensively validate the performance of the BPDM-GCN backup path algorithm, this study conducts performance testing using six standard IEEE benchmark power system communication network topologies [22]. This paper defines the bandwidth of each link in the communication network topology as 1 Gbps and sets a transmission delay of 1 ms/200 km for the link. Iperf is employed for the simulation and generation of phasor data flow within the network topology of the wide-area measurement system. In order to facilitate the calculation of the path weight of the communication network topology in the IEEE benchmark power system, this paper follows the simplified method in reference [23] and sets the communication network topology to be laid 1:1 with the power cables in the IEEE benchmark power system. According to the PDC and PMU installation algorithms in references [24,25], the positions of switches connected to PDC and PMU in the network topology are determined. The communication network topology data of six standard IEEE benchmark power systems are shown in Table 2.

5.2. Experimental Comparison

To assess the performance of the proposed BPDM-GCN algorithm for fast recovery of faulty links, this experiment compared BPDM-GCN with other contemporary methods for faulty link recovery. The comparison algorithms include network recovery for large-cale failures in smart grid by reinforcement learning (NRLF_RL) [11], low interruption ratio link fault recovery scheme (LIR_LFR) [15] and implementation failure recovery mechanism using VLAN ID in software defined networks (FR_VLAN) [17]. The primary comparison focuses on key metrics such as fault link recovery delay, fault link recovery success rate, and other relevant indicators.

5.2.1. Average Fault Link Recovery Delay

In order to verify the performance of the BPDM-GCN backup path algorithm in the fault link recovery in the communication network topology of the IEEE benchmark power system, the experiment set the link load to 20%, 40%, 60%, and 80% network topology environments in the communication network topology of six IEEE benchmark power systems, and took the fault link recovery delay as the key indicator for experimental comparison. The fault link recovery delay is composed of the delay consumed by the phasor data at the switch and the time consumed by the phasor data from the source node s to the destination node d in the backup path. In order to guarantee the veracity of the experimental outcomes, the algorithm randomly generates faulty links in the network topology simulation of six IEEE benchmark test power systems. The BPDM-GCN backup path algorithm is then employed in conjunction with the NRLF_RL, LIR_LFR, and FR_VLAN faulty link recovery methods in multiple experiments, with the objective of statistically analyzing the experimental outcomes in order to guarantee the credibility of the experimental results. The results of the experiments are presented in Figure 4.
As shown in Figure 4, the fault link recovery delay of the BPDM-GCN backup path algorithm is lower than that of other fault link recovery algorithms as the link load increases. The fault link recovery delays of the NRLF_RL algorithm, the FR_VLAN method, and the LIR_LFR method all increase to varying degrees as the link load increases. The LIR_LFR fault link recovery method designs the backup path with the optimization goal of reducing the number of flow rules and the backup path bandwidth. Due to the special topology of the communication network of the wide-area measurement system, a long backup path is generated, resulting in a large fault recovery delay. The FR_VLAN fault recovery method utilizes VLAN IDs to aggregate data affected by a faulty link and forwards it along the backup path, resulting in reduced transmission delays compared to the LIR_LFR fault recovery method. The NRLF_RL algorithm for large-scale fault network recovery employs reinforcement learning techniques to assess link performance within the network topology and to devise backup paths based on the severity of faulty link impacts, thereby lowering congestion likelihood on these alternate routes. Nonetheless, due to insufficient optimization in backup path design, its fault recovery performance requires further enhancement. The BPDM-GCN backup path algorithm is based on GCN enhanced DDPG for iterative training to obtain load-balanced link weights, and then uses the incremental shortest path tree to compute the backup path, so that the faulty link recovery delay is minimized. However, as the link length in the network increases, it leads to a large recovery delay in the IEEE 118 benchmark test power system communication network topology. Compared with the better NRLF_RL fault network recovery algorithm, the BPDM-GCN backup path algorithm reduces the average recovery delay by about 14.29%.

5.2.2. Average Success Rate of Faulty Link Restoration

To verify the fault link recovery performance of the BPDM-GCN backup path algorithm, the experiment uses the fault link recovery success rate as the evaluation criterion. The experiment is carried out in six IEEE benchmark test power system communication network topologies, and sets the link load network topology environment of 20%, 40%, 60%, and 80%. The ratio of the number of links successfully recovered during the experiment to the total number of failed links in the topology is defined as the recovery success rate. The failure link recovery success rates of the BPDM-GCN backup path algorithm and the failure link recovery algorithms of the NRLF_RL algorithm, FR_VLAN method, and LIR_LFR method are compared experimentally. The experimental results are shown in Figure 5.
As depicted in Figure 5, across diverse link loads in communication network topologies of six IEEE benchmark power systems, the BPDM-GCN backup path algorithm consistently achieves an average fault recovery success rate of 95.2%. Conversely, the other three fault link recovery algorithms exhibit varying degrees of decline in their average fault recovery success rates with increasing link loads in the network topologies. The LIR_LFR fault link recovery method is deficient in optimizing under varying link load conditions. As link load increases, this algorithm exhibits the lowest recovery success rate among comparable fault recovery methods, clearly demonstrating a downward trend. The FR_VLAN fault recovery method employs data aggregation for fault recovery, but its performance diminishes in network topologies with high link loads. Despite this, its average recovery success rate for faulty links is higher compared to the LIR_LFR fault link recovery method. The NRLF_RL algorithm for large-scale fault network recovery utilizes reinforcement learning techniques to assess link performance within network topologies. However, it suffers from suboptimal backup path optimization, leading to a need for improvement in the average recovery success rate of faulty links across varying network loads. Traditional techniques such as shortest path algorithm and static/dynamic weight setting have limitations, while BPDM-GCN technology learns network features through GCN to achieve adaptive weight determination and multi-objective optimization, thereby more accurately reflecting network status and designing better backup paths. The BPDM-GCN backup path algorithm modifies the link weights in the network topology based on the GCN improved DDPG algorithm, and utilizes the incremental shortest path tree to calculate the backup path, thereby enabling the backup path to cope with network topologies with varying link load conditions. In comparison to the NRLF_RL fault recovery algorithm, which exhibits superior performance, the fault link recovery success rate has been enhanced by approximately 5.24%.

5.3. Discussion of Results

Improved deep reinforcement learning (IDRL) differs significantly from existing methods in terms of algorithmic principles. For example, methods such as adaptive ranking-based energy-efficient opportunistic routing protocol (AREOR), improved-adaptive ranking-based energy-efficient opportunistic routing protocol (I-AREOR), and adaptive ranking-based improved opportunistic routing in wireless sensor networks (ARIOR) often select routes based on relatively fixed rules or simple heuristic strategies when dealing with dynamic changes in the network. The IDRL method uses enhanced deep reinforcement learning techniques that allow agents to learn through continuous interaction with the network environment, dynamically adjust routing decisions, and better adapt to complex and changing network topology and traffic changes.
From the perspective of adapting to the network environment, it is difficult for existing methods to quickly and effectively re-plan routes in the face of complex situations such as network congestion and node failures, which can easily lead to increased data transmission delays and packet loss rates. The IDRL method, with its reinforcement learning mechanism, can detect real-time changes in network state and continuously optimize routing strategies based on reward functions, thereby maintaining low latency and high transmission success rates in complex network environments.
In terms of optimization objectives for decision making, AREOR, I-AREOR, and ARIOR focus on a single metric, such as shortest path or minimum hop count. The IDRL method considers multiple factors such as bandwidth utilization, latency, packet loss rate, etc. By balancing and optimizing these metrics, it achieves more efficient routing selection and improves overall network performance.
The advantages of BPDM-GCN over traditional methods such as AREOR, I-AREOR, and ARIOR are not only reflected in the statistical indicators, but also stem from a fundamental innovation in its algorithm design:
(1) Dynamic weight optimization: AREOR-based methods rely on static link weights (such as fixed hop count or bandwidth), while BPDM-GCN learns the network state (delay, load, etc.) in real time through GCN-DDPG, generates dynamic weight matrices, and adapts to topology changes (such as link failures or congestion).
(2) Global topology awareness: I-AREOR and others are based on local heuristic rules and cannot capture remote dependencies between nodes; GCN’s spectral domain convolution directly models node connectivity relationships to achieve global load balancing.
(3) Incremental path computation: ARIOR uses a static shortest path tree, and error recovery requires recomputing the entire path; BPDM-GCN’s incremental shortest path tree (Algorithm 2) updates only the affected links, reducing computational overhead.
Although the BPDM-GCN algorithm performs well in terms of fault link recovery delay and success rate, it inevitably has some drawbacks. On the one hand, this algorithm requires high computational resources. In large-scale network topologies, the fusion of GCN and DDPG may lead to complex operations, increase the computational cost, and limit its application on resource-constrained devices. On the other hand, although it performs well in various common network topologies, its performance may degrade for special network structures or extreme network environments. In addition, the effectiveness of the algorithm depends on accurate information about the status of the network. If there are data collection errors or transmission delays, it may affect the selection of backup paths and the effectiveness of fault recovery.
Specifically, during the inference phase, a single-path calculation takes 3.4 ms, which meets the real-time requirement of less than 10 ms, but requires significant GPU acceleration and consumption. In a 14-node network, the BPDM-GCN latency (12.1 ms) is only 6.2% faster than AREOR (12.9 ms), but the training cost is 20 times higher. The experimental setting is that the interval between topology changes is ≥1 s. When the frequency of link state mutations is >10 Hz (such as in ultra-low-latency 5 G scenarios), the success rate drops to 83.5%.

6. Conclusions

In SDN-oriented WAMS communication networks, this paper introduces a novel backup path algorithm, BPDM-GCN, which leverages the GCN enhanced DDPG method. This approach aims to tackle challenges such as ineffective application of existing backup path algorithms for fault link recovery across diverse network topologies and congestion in backup paths. The BPDM-GCN backup path algorithm outputs the comprehensive link weight in the network topology after iterative training based on the improved DDPG algorithm based on GCN. Subsequently, in order to reduce the phasor data transmission delay in the backup path, the comprehensive link weight is employed as the shortest path in order to implement the backup path method based on the incremental shortest path tree. The experimental results demonstrate that the backup path designed by this algorithm exhibits superior performance in terms of low data transmission delay and high failure link recovery success rate.
The communication network of the wide-area measurement system is divided into two categories: single-link failures and multi-link failures. Given that the probability of large-scale multi-link failures is lower than that of single-link failures, this paper primarily addresses the issue of rapid recovery from single-link failures. In subsequent research, the problem of multi-link failure recovery in the communication network of the wide-area measurement system will be further investigated.

Author Contributions

Conceptualization, W.H. and H.Y.; software, W.H. and Y.L.; validation, W.H., H.Y. and X.H.; formal analysis, W.H. and R.C.; investigation, W.H. and H.Y.; data curation, W.H., Y.L. and X.H.; writing—original draft preparation, W.H. and H.Y.; writing—review and editing, H.Y., Y.L. and X.H.; supervision, R.C.; project administration, H.Y.; funding acquisition, W.H. and Y.L. All authors have read and agreed to the published version of the manuscript.

Funding

This work was supported by the Major Science and Technology Programs in Henan Province (No. 241100210100), Henan Provincial Science and Technology Research Project (No. 242102211068, No. 232102210078), The Special Project for Research and Development in Key areas of Guangdong Province (No. 2021ZDZX1098), The China University Research Innovation Fund (No. 2021FNB3001, No. 2022IT020) and The Stabilization Support Program of Science, Technology and Innovation Commission of Shenzhen Municipality (No. 20231128083944001).

Data Availability Statement

The data that support the findings of this study are available from the corresponding author upon reasonable request.

Conflicts of Interest

Xi He was employed by the company Henan Jiuyu Tenglong Information Engineering Co., Ltd. The authors declare no conflicts of interest.

References

  1. Hasan, M.K.; Habib, A.A.; Shukur, Z.; Ibrahim, F.; Islam, S.; Razzaque, M.A. Review on cyber-physical and cyber-security system in smart grid: Standards, protocols, constraints, and recommendations. J. Netw. Comput. Appl. 2023, 209, 103540. [Google Scholar] [CrossRef]
  2. Shahraeini, M.; Soltanifar, R. A Complex Network-based Approach for Designing of Wide Area Measurement Systems in Smart Grids using Adam-Eve Like Genetic Algorithm. Int. J. Eng. 2024, 37, 298–311. [Google Scholar] [CrossRef]
  3. Vahidi, S.; Ghafouri, M.; Au, M.; Kassouf, M.; Mohammadi, A.; Debbabi, M. Security of wide-area monitoring, protection, and control (WAMPAC) systems of the smart grid: A survey on challenges and opportunities. IEEE Commun. Surv. Tutorials 2023, 25, 1294–1335. [Google Scholar] [CrossRef]
  4. Arpanahi, M.K.; Torkzadeh, R.; Safavizadeh, A.; Ashrafzadeh, A.; Eghtedarnia, F. A novel comprehensive optimal PMU placement considering practical issues in design and implementation of a wide-area measurement system. Electr. Power Syst. Res. 2023, 214, 108940. [Google Scholar] [CrossRef]
  5. Castello, P.; Gallus, G.; Pegoraro, P.A.; Sulis, S. Measurement platform for latency characterization of wide area monitoring, protection and control systems. IEEE Trans. Instrum. Meas. 2023, 73, 5500812. [Google Scholar] [CrossRef]
  6. Menaceur, A.; Drid, H.; Rahouti, M. Fault Tolerance and Failure Recovery Techniques in Software-Defined Networking: A Comprehensive Approach. J. Netw. Syst. Manag. 2023, 31, 83. [Google Scholar] [CrossRef]
  7. Khan, N.; Bin Salleh, R.; Koubaa, A.; Khan, Z.; Khan, M.K.; Ali, I. Data plane failure and its recovery techniques in SDN: A systematic literature review. J. King Saud Univ.-Comput. Inf. Sci. 2023, 35, 176–201. [Google Scholar] [CrossRef]
  8. Kumar, P.; Kumar, R.; Aljuhani, A.; Javeed, D.; Jolfaei, A.; Islam, A.N. Digital twin-driven SDN for smart grid: A deep learning integrated blockchain for cybersecurity. Sol. Energy 2023, 263, 111921. [Google Scholar] [CrossRef]
  9. Rezaee, M.; Moghaddam, M.H.Y. SDN-based quality of service networking for wide area measurement system. IEEE Trans. Ind. Inform. 2019, 16, 3018–3028. [Google Scholar] [CrossRef]
  10. Yu, Y.; Li, X.; Leng, X.; Song, L.; Bu, K.; Chen, Y.; Yang, J.; Zhang, L.; Cheng, K.; Xiao, X. Fault management in software-defined networking: A survey. IEEE Commun. Surv. Tutor. 2018, 21, 349–392. [Google Scholar] [CrossRef]
  11. Jia, H.; Gai, Y.; Zheng, H. Network recovery for large-scale failures in smart grid by reinforcement learning. In Proceedings of the 2018 IEEE 4th International Conference on Computer and Communications (ICCC), Chengdu, China, 7–10 December 2018; IEEE: Piscataway, NJ, USA, 2018; pp. 2658–2663. [Google Scholar]
  12. Duan, T.; Dinavahi, V. Fast path recovery for single link failure in SDN-enabled wide area measurement system. IEEE Trans. Smart Grid 2021, 13, 1645–1653. [Google Scholar] [CrossRef]
  13. Li, J.; Qi, X.; Ma, W.; Liu, L. Path selection for link failure protection in hybrid SDNs. Future Gener. Comput. Syst. 2022, 137, 201–215. [Google Scholar] [CrossRef]
  14. Astaneh, S.A.; Shah Heydari, S.; Taghavi Motlagh, S.; Izaddoost, A. Trade-offs between risk and operational cost in SDN failure recovery plan. Future Internet 2022, 14, 263. [Google Scholar] [CrossRef]
  15. Liang, D.; Liu, Q.; Yan, B.; Hu, Y.; Zhao, B.; Hu, T. Low interruption ratio link fault recovery scheme for data plane in software-defined networks. Peer—Netw. Appl. 2021, 14, 3806–3819. [Google Scholar] [CrossRef]
  16. Qin, H.; Chen, J.; Qiu, X.; Zhang, X.; Cui, M. FAPR: An Adaptive Approach to Link Failure Recovery in SDN with High Speed and Low Interruption Rate. Appl. Sci. 2024, 14, 4719. [Google Scholar] [CrossRef]
  17. Petale, S.; Thangaraj, J. Link failure recovery mechanism in software defined networks. IEEE J. Sel. Areas Commun. 2020, 38, 1285–1292. [Google Scholar] [CrossRef]
  18. Zhu, Z.; Yu, H.; Liu, Q.; Liu, D.; Mei, B. FFRLI: Fast fault recovery scheme based on link importance for data plane in SDN. Comput. Netw. 2023, 237, 110062. [Google Scholar] [CrossRef]
  19. Zeng, X.; Wu, L.; Li, Z.; Jing, Y. Deep reinforcement learning with graph convolutional networks for load balancing in SDN-based data center networks. In Proceedings of the 2021 18th International Computer Conference on Wavelet Active Media Technology and Information Processing (ICCWAMTIP), Chengdu, China, 17–19 December 2021; pp. 344–352. [Google Scholar]
  20. Zheng, X.; Huang, W.; Wang, S.; Zhang, J.; Zhang, H. Research on Energy-Saving Routing Technology Based on Deep Reinforcement Learning. Electronics 2022, 11, 2035. [Google Scholar] [CrossRef]
  21. Wang, S.; Cao, H.; Yang, L.; Garg, S.; Kaddoum, G.; Alrashoud, M. GCN-based multi-agent deep reinforcement learning for dynamic service function chain deployment in IoT. IEEE Trans. Consum. Electron. 2024, 70, 6105–6118. [Google Scholar] [CrossRef]
  22. Müller, S.C.; Georg, H.; Nutaro, J.J.; Widl, E.; Deng, Y.; Palensky, P.; Awais, M.U.; Chenine, M.; Küch, M.; Stifter, M.; et al. Interfacing power system and ICT simulators: Challenges, state-of-the-art, and case studies. IEEE Trans. Smart Grid 2016, 9, 14–24. [Google Scholar] [CrossRef]
  23. Chakrabarti, S.; Kyriakides, E. Optimal placement of phasor measurement units for power system observability. IEEE Trans. Power Syst. 2008, 23, 1433–1440. [Google Scholar] [CrossRef]
  24. Zhu, X.; Wen, M.H.; Li, V.O.; Leung, K.C. Optimal PMU-communication link placement for smart grid wide-area measurement systems. IEEE Trans. Smart Grid 2018, 10, 4446–4456. [Google Scholar] [CrossRef]
  25. Islam, M.T.; Islam, N.; Refat, M.A. Node to node performance evaluation through RYU SDN controller. Wirel. Pers. Commun. 2020, 112, 555–570. [Google Scholar] [CrossRef]
Figure 1. Backup path method architecture.
Figure 1. Backup path method architecture.
Futureinternet 17 00194 g001
Figure 2. DDPG algorithm framework improved based on GCN.
Figure 2. DDPG algorithm framework improved based on GCN.
Futureinternet 17 00194 g002
Figure 3. Backup path based on incremental shortest path tree.
Figure 3. Backup path based on incremental shortest path tree.
Futureinternet 17 00194 g003
Figure 4. Average fault link recovery delay under different link loads.
Figure 4. Average fault link recovery delay under different link loads.
Futureinternet 17 00194 g004
Figure 5. Average recovery success rate of fault link recovery algorithm.
Figure 5. Average recovery success rate of fault link recovery algorithm.
Futureinternet 17 00194 g005
Table 1. Comparative analysis of BPDM-GCN and traditional methods.
Table 1. Comparative analysis of BPDM-GCN and traditional methods.
MethodTopology AdaptabilityComputational ComplexityDynamic Optimization Capabilities
DDPG-FCNLow (relies on fixed input dimensions) O ( N 2 ) Optimize only local links
HFPR-AMedium (manual tuning required) O ( E log V ) None (static path)
BPDM-GCNHigh (supports graphs of any size) O ( E + V ) Global collaborative optimization
Table 2. IEEE benchmark test power system communication network topology.
Table 2. IEEE benchmark test power system communication network topology.
IEEE Benchmark Power System NameNumber of NodesPDC LocationPMU Location
14-bus14Bus 112,6,7,9
24-bus24Bus 112,3,8,10,16,21,23
30-bus30Bus 171,2,6,9,10,12,15,19,25,27
39-bus39Bus 162,6,9,10,11,14,17,20,22,23,25,29
57-bus57Bus 221,4,8,10,20,21,24,28,31,
32,36,41,44,46,49,52,55,57
118-bus118Bus 692,5,10,11,12,17,20,23,
25,29,34,37,40,45,49,50,
51,52,59,65,66,71,75,77,80,
85,87,91,94,101,105,110,114,116
Disclaimer/Publisher’s Note: The statements, opinions and data contained in all publications are solely those of the individual author(s) and contributor(s) and not of MDPI and/or the editor(s). MDPI and/or the editor(s) disclaim responsibility for any injury to people or property resulting from any ideas, methods, instructions or products referred to in the content.

Share and Cite

MDPI and ACS Style

Huang, W.; Yu, H.; Li, Y.; He, X.; Chen, R. BPDM-GCN: Backup Path Design Method Based on Graph Convolutional Neural Network. Future Internet 2025, 17, 194. https://doi.org/10.3390/fi17050194

AMA Style

Huang W, Yu H, Li Y, He X, Chen R. BPDM-GCN: Backup Path Design Method Based on Graph Convolutional Neural Network. Future Internet. 2025; 17(5):194. https://doi.org/10.3390/fi17050194

Chicago/Turabian Style

Huang, Wanwei, Huicong Yu, Yingying Li, Xi He, and Rui Chen. 2025. "BPDM-GCN: Backup Path Design Method Based on Graph Convolutional Neural Network" Future Internet 17, no. 5: 194. https://doi.org/10.3390/fi17050194

APA Style

Huang, W., Yu, H., Li, Y., He, X., & Chen, R. (2025). BPDM-GCN: Backup Path Design Method Based on Graph Convolutional Neural Network. Future Internet, 17(5), 194. https://doi.org/10.3390/fi17050194

Note that from the first issue of 2016, this journal uses article numbers instead of page numbers. See further details here.

Article Metrics

Back to TopTop