Sign in to use this feature.

Years

Between: -

Subjects

remove_circle_outline
remove_circle_outline
remove_circle_outline
remove_circle_outline
remove_circle_outline
remove_circle_outline
remove_circle_outline
remove_circle_outline
remove_circle_outline

Journals

remove_circle_outline
remove_circle_outline
remove_circle_outline
remove_circle_outline
remove_circle_outline
remove_circle_outline
remove_circle_outline
remove_circle_outline
remove_circle_outline
remove_circle_outline
remove_circle_outline
remove_circle_outline
remove_circle_outline
remove_circle_outline
remove_circle_outline

Article Types

Countries / Regions

remove_circle_outline
remove_circle_outline
remove_circle_outline
remove_circle_outline
remove_circle_outline
remove_circle_outline
remove_circle_outline

Search Results (2,624)

Search Parameters:
Keywords = shear-compression

Order results
Result details
Results per page
Select all
Export citation of selected articles as:
17 pages, 2957 KB  
Article
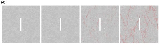
Cracking Mechanisms of Mesoscale Concrete Models Containing Single and Double Fissures Based on DEM
by Jinfang Zhang, Yi Sun, Gongye Sun, Yifei Li and Shuyang Yu
Materials 2026, 19(6), 1071; https://doi.org/10.3390/ma19061071 - 11 Mar 2026
Abstract
Existing theories leave gaps in explaining the mechanism of concrete cracking. To explain the mechanism of concrete cracking, after considering various methods, this paper finally selects the Particle Flow Code (PFC) based on the discrete element method (DEM) for the research. We selected [...] Read more.
Existing theories leave gaps in explaining the mechanism of concrete cracking. To explain the mechanism of concrete cracking, after considering various methods, this paper finally selects the Particle Flow Code (PFC) based on the discrete element method (DEM) for the research. We selected concrete with single cracks and double cracks as the research object, and constructed a mesoscale model in PFC based on the parameters of the concrete. The model was verified by uniaxial compression tests and published experimental data, with simulated results matching experimental data within an acceptable error range. Simulate the situation of concrete cracking, plot the data into images, and analyze the patterns of the development of concrete cracks. During this process, we set the angle of crack formation and the number of cracks as variables. By analyzing the load–displacement curves and the crack evolution curves, we found that the mode of crack propagation changed from a linear extension to a branched expansion. It is also worth noting that when the inclination angle is 90 degrees, the bearing capacity of the specimen is the best, with its peak strength over 40% higher than that at 0° for single-fissure specimens and over 35% higher for double-fissure specimens, and the initial stiffness also reaches the maximum at this angle. Furthermore, throughout the entire testing process, the PFC based on the discrete element method was able to accurately capture the development process of concrete cracks. This study innovatively quantifies the evolution of tensile and shear cracks with inclination angle, clarifies the nonlinear correlation between peak strength and crack angle, and reveals the unique cracking behavior induced by double fissures, which is insufficiently studied in existing continuum simulations. The above findings not only enhance our understanding of the mechanism of concrete cracks, but also provide a reference for improving the strength of concrete. This study is limited to 2D uniaxial compression simulation, with the concrete microstructure idealized in the numerical model. Full article
Show Figures

Figure 1

28 pages, 6156 KB  
Article
Investigation on Seismic Performance of RC Beam–Column Joints Retrofitted with Steel Jackets in Presence of Transverse Beams
by Jiming Li, Zhenxun Dai, Peng Zhang, Xing Wu and Bu Wang
Buildings 2026, 16(6), 1105; https://doi.org/10.3390/buildings16061105 - 10 Mar 2026
Abstract
Steel jackets are widely used for the seismic retrofitting of reinforced concrete (RC) beam–column joints. However, the details and efficiencies of steel jackets are directly impacted by the presence of transverse beams. An in-depth understanding of this issue has been lacking so far. [...] Read more.
Steel jackets are widely used for the seismic retrofitting of reinforced concrete (RC) beam–column joints. However, the details and efficiencies of steel jackets are directly impacted by the presence of transverse beams. An in-depth understanding of this issue has been lacking so far. In this study, using realistic configurations of transverse beams, the seismic performance of exterior RC beam–column joints retrofitted according to the modified steel jacketing method were investigated numerically and theoretically. The refined nonlinear three-dimensional finite element approach was adopted and verified against experimental observations. A series of parameters were considered, including the number of transverse beams; the thickness, width and spacing of the steel strips at joint panels; and the axial compression ratio of columns. The results obtained from twenty specimens in terms of load response, cracking pattern, stress distribution, stiffness degradation and energy dissipation confirmed the effectiveness of the modified steel jacketing method. Significant differences among the roles of the parameters were revealed, and the reasons behind the differences were analyzed. Moreover, by means of significance analysis, the width and thickness of the steel strips were identified as the most influential parameters on the shear capacities of the joint panels with single- and double-sided transverse beams, respectively. Furthermore, based on the softened strut-and-tie model, a design approach for predicting the shear contribution of steel jackets in the presence of transverse beams was proposed for engineering applications. Full article
(This article belongs to the Special Issue Innovative Solutions for Enhancing Seismic Resilience of Buildings)
Show Figures

Figure 1

21 pages, 4337 KB  
Article
Study on the Performance of Seedling-Carrying Potting for Mechanical Transplanting of Oilseed Rape and Its Effect on Seedling Growth
by Wei Quan, Jingyuan Sun, Haiyang Chen, Fanggang Shi, Xiaohu Jiang, Dongcai Tao, Hao Zhong and Mingliang Wu
Agriculture 2026, 16(6), 635; https://doi.org/10.3390/agriculture16060635 - 10 Mar 2026
Abstract
This study proposed a standardized oilseed rape seedling-carrying potting molding method to improve the adaptability of mechanical transplanting of potting seedlings. This method aims to address the failure in seedling pick-up and transport during the mechanized transplanting of rapeseed pot seedlings, which is [...] Read more.
This study proposed a standardized oilseed rape seedling-carrying potting molding method to improve the adaptability of mechanical transplanting of potting seedlings. This method aims to address the failure in seedling pick-up and transport during the mechanized transplanting of rapeseed pot seedlings, which is caused by matrix breakage and seedling damage. This study selected cylindrical oilseed rape seedling-carrying potting as the research object and investigated the relationship between the physical characteristics of seedling-carrying potting and the proportion of the composition of the matrix soil as well as the characteristics of seedling growth after planting. The optimal parameter combination of the matrix soil was obtained using Design-Expert 8.0.6 software: dry matter ratio of 4:1, compression ratio of 0.36, and moisture content of 45%. A single-factor test was conducted using a seedling-carrying potting test bed. According to the single-factor test results, the dry matter ratios (commercial substrate: clay loam mass ratios of 2:1, 3:1, and 4:1), matrix soil compression ratios (0.35, 0.40, and 0.45), and matrix soil moisture content (35%, 40%, and 45%) were selected as the factors of influence, while the drop loss rate, shear resistance, and scattering rate were used as the indicators of evaluation. The drop loss rate of seedling-carrying potting under this parameter combination was 1.5%, the shear resistance was 7.1 N, and the scattering rate was 34.9%. Validation tests were conducted on a seedling-carrying potting test bed, and the relative errors between the actual and simulated values of the drop loss rate, shear resistance, and scattering rate were 7.1%, 7.0%, and 8.4%, respectively, verifying the accuracy of the model and the optimized parameters. Comparison tests of the growth characteristics of the optimized seedling-carrying potting, hole-tray seedling, and bare seedling in field transplanting were conducted. The results displayed that root length, root diameter, root dry matter, chlorophyll content, and seedling vigor index consistently followed the same descending order: seedling-carrying potting > hole-tray seedlings > bare seedlings. Compared to hole-tray seedlings, the corresponding growth characteristics of seedling-carrying potting were 11.7%, 10%, 21.7%, 2.8%, and 27.8% higher, respectively. Compared to bare seedlings, they were 17.1%, 12.5%, 32.2%, 10.8%, and 32.7% higher, respectively. The seedling length, seedling width, plant taper angle, and dry matter mass of stem and leaves were, in descending order, greater in hole-tray seedlings, followed by seedling-carrying potting, and then bare seedlings. In comparison, the corresponding growth characteristics of seedling-carrying potting were 8.9%, 9.8%, 2.3%, and 30.6% higher than those of bare seedlings, respectively. Full article
Show Figures

Figure 1

24 pages, 7190 KB  
Article
Effects of Loading Direction on Mechanical Behavior of Core–Shell Cu-Al Nanoparticles Under Uniform Compressive Loading-Molecular Dynamics Study
by Phillip Tomich, Michael Zawadzki and Iman Salehinia
Crystals 2026, 16(3), 186; https://doi.org/10.3390/cryst16030186 - 10 Mar 2026
Abstract
The mechanical behavior of metallic core–shell nanoparticles is critical for their use as reinforcement particles and additive manufacturing feedstocks, yet their deformation mechanisms remain incompletely understood. This study employs molecular dynamics simulations to investigate the compressive response of a Cu-core/Al-shell nanoparticle and compares [...] Read more.
The mechanical behavior of metallic core–shell nanoparticles is critical for their use as reinforcement particles and additive manufacturing feedstocks, yet their deformation mechanisms remain incompletely understood. This study employs molecular dynamics simulations to investigate the compressive response of a Cu-core/Al-shell nanoparticle and compares it with solid Cu, solid Al, and a hollow Al shell of the same size under uniaxial loading along ⟨100⟩, ⟨110⟩, ⟨111⟩, and ⟨112⟩ directions. The single-material nanoparticles show strong anisotropy: solid Cu exhibits orientation-dependent transitions from dislocation slip to deformation twinning, while introducing a void to form a hollow Al shell reduces stiffness and strength, confines plasticity to the shell wall, and suppresses extended load-bearing twins. The Cu–Al core–shell nanoparticle combines these behaviors in an orientation-dependent manner. Under ⟨110⟩ and ⟨112⟩ loading, deformation is largely shell-dominated, whereas ⟨100⟩ and ⟨111⟩ loading more strongly activates the Cu core. Mechanistically, ⟨100⟩ is characterized by Shockley partial activity and junction/lock formation in the Al shell coupled with twinning in the Cu core; ⟨110⟩ shows primarily shell partials with limited core involvement; ⟨111⟩ promotes partial-dislocation activity in both shell and core; and ⟨112⟩ produces localized, twin-dominated bands in the Al shell with shell-thickness-dependent twin extension into the Cu core. These trends are rationalized using Schmid factor considerations for 111110 slip and 111112 partial/twinning shear, together with the effects of faceted free surfaces and the Cu–Al interface. The core–shell geometry enables two concurrent interface-mediated pathways, i.e., (i) stress transfer and reduced cross-interface transmission and (ii) circumferential bypass within the shell, which together yield only slight flow-stress increases over solid Al while markedly reducing stress serrations compared with both solid Cu and solid Al. Across all orientations, the core–shell structures also exhibit delayed yielding (higher yield strain) relative to solid Cu, indicating enhanced ductility. The results provide an atomistic basis for designing Cu–Al core–shell nanoparticles for robust particle-based processing and additive manufacturing feedstock, and for informing multiscale models with mechanism-resolved, orientation-dependent inputs. Full article
Show Figures

Figure 1

13 pages, 2593 KB  
Essay
Effect of Outlet Pressure on Foam Performance in a Compressed Air Foam System
by Qing Ma, Chang Liu, Xiaobin Li, Dawei Li, Xinzhe Li and Yixuan Wu
Fire 2026, 9(3), 120; https://doi.org/10.3390/fire9030120 - 10 Mar 2026
Abstract
This study investigates how outlet pressure influences the fire suppression performance of a compressed air foam system (CAFS), with the aim of supporting system optimization and engineering applications. An experimental apparatus for foam performance testing is used to measure changes in foam flow [...] Read more.
This study investigates how outlet pressure influences the fire suppression performance of a compressed air foam system (CAFS), with the aim of supporting system optimization and engineering applications. An experimental apparatus for foam performance testing is used to measure changes in foam flow rate, expansion, initial velocity, initial momentum, and drainage time at different outlet pressures. On the basis of relevant theoretical models, the factors causing discrepancies between model predictions and experimental results are examined, and the models are then refined. How the outlet pressure of CAFS affects foam performance is thereby clarified. The results show that foam flow rate increases as outlet pressure increases. At higher pressures, shear-thinning and intensified gas–liquid mixing affect the foam. As a result, the growth of flow rate in the range of 0.01–0.03 MPa is significantly higher than that in the range of 0.06–0.10 MPa. Both initial velocity and initial momentum increase significantly with increasing pressure, whereas the expansion decreases. Within the outlet pressure range of 0.01–0.10 MPa, the initial velocity increases from 1.23 m/s to 6.65 m/s, the initial momentum rises from 4.6 kg·m/s to 34.1 kg·m/s, and the expansion decreases from 9.2 to 5.4, indicating reduced foam stability. Drainage time and drained mass vary non-monotonically with outlet pressure. The longest drainage time and the smallest drained mass occur at 0.06 MPa. Fire suppression performance improves as outlet pressure increases. A higher outlet pressure enables the foam solution to penetrate the flame zone more effectively and to cover the surface of the burning material. In addition, changes in foam properties enhance the thermal insulation and smothering effects of the foam layer, as well as its heat absorption and cooling capacity. These effects together improve the efficiency of fire source cooling. Full article
Show Figures

Figure 1

22 pages, 2729 KB  
Article
Polymer-Modified Fiber-Reinforced Electrically Conductive Composites with Enhanced Bond Properties
by Abdulkader El-Mir, Mohammad Ghamlush, Joseph J. Assaad, Amr El-Dieb and Hilal El-Hassan
Buildings 2026, 16(5), 1074; https://doi.org/10.3390/buildings16051074 - 8 Mar 2026
Viewed by 159
Abstract
This study examines the combined effects of styrene–butadiene rubber (SBR) latex and fiber reinforcement on the mechanical and electrical properties of a high-performance fiber-reinforced composite (HPFRC). Mixtures incorporating steel fibers (SF, 0–4.5%), carbon fibers (CF, 0–1%), and hybrid SF/CF systems were evaluated, with [...] Read more.
This study examines the combined effects of styrene–butadiene rubber (SBR) latex and fiber reinforcement on the mechanical and electrical properties of a high-performance fiber-reinforced composite (HPFRC). Mixtures incorporating steel fibers (SF, 0–4.5%), carbon fibers (CF, 0–1%), and hybrid SF/CF systems were evaluated, with 10–20% of the mixing water replaced by SBR. Electrical resistivity, rheological behavior, mechanical properties, and durability-related parameters were assessed and compared with plain and fiber-reinforced mixtures. Results showed that SBR significantly improved rheological behavior, flexural performance, durability, and interfacial bonding, while moderately enhancing compressive strength. The incorporation of fibers led to reduced electrical resistivity, with CF being more effective than SF, and the lowest resistivity of 4 Ω·m was achieved using a hybrid system of 0.25% CF and 1.5% SF. The addition of SF up to 1.5% increased compressive strength by up to 21%, whereas CF at 0.5% yielded the highest strength of 120 MPa. Durability indicators, including water absorption, sorptivity, and ultrasonic pulse velocity, were significantly improved at low SBR and fiber dosages. Interfacial treatment with SBR enhanced slant shear and pull-off strengths by up to 75% and 121%, respectively, confirming the effectiveness of polymer modification for multifunctional and repair-oriented HPFRC applications. Full article
(This article belongs to the Section Building Materials, and Repair & Renovation)
Show Figures

Figure 1

25 pages, 8895 KB  
Article
Residual Axial Resistance of Cross-Shaped Steel-Reinforced Concrete Columns After Impact Loading: Experimental and Numerical Investigations
by Yongwei Guo, Xiang Zhu, Wenbo Li and Guangze Lei
Buildings 2026, 16(5), 1072; https://doi.org/10.3390/buildings16051072 - 8 Mar 2026
Viewed by 72
Abstract
To investigate how lateral impact influences the residual axial resistance capacity of cross-shaped steel-reinforced concrete (CSRC) columns, the residual axial resistance test was carried out following impact test. A finite element model (FEM) was developed to simulate axial and lateral impact loading, and [...] Read more.
To investigate how lateral impact influences the residual axial resistance capacity of cross-shaped steel-reinforced concrete (CSRC) columns, the residual axial resistance test was carried out following impact test. A finite element model (FEM) was developed to simulate axial and lateral impact loading, and its accuracy was confirmed through comparison with test results. The analysis shows that the numerical model can simulate the impact force, deflection, deformation mode and residual axial resistance of the column with adequate accuracy. With the verified finite element models, the residual axial resistance (Nr) of CSRC columns under six different parameters was further analyzed. Results demonstrate that the column primarily undergoes flexural deformation under impact, whereas shear effects are localized at the impact zone. A higher structural steel ratio (α) and yield strength of the cross-shaped steel (q) contribute to improved Nr and reduced mid-span displacement (Δmax). With the increase in compressive strength of concrete (c) and axial compression ratio (n), the Nr increases to a certain level and then decreases, and the Δmax decreases first and then increases in a similar manner. The change in slenderness ratio (γ) in a small range can improve the Nr of the column, and the significant increase in γ results in instability and failure. In particular, when the slenderness ratio increases from 8 to 12, the residual bearing capacity of the column decreases by 19.4%. This study proposes a residual bearing capacity-prediction formula based on seven key influencing parameters, which shows high accuracy (R2 = 0.93). A damage evaluation index based on flexural bearing capacity (Ddag) is introduced, and the structural state is accordingly classified into four damage levels. Compared with conventional numerical simulations that typically require more than 3 h of computation time, the proposed method can rapidly complete the damage assessment of columns within 5 min, providing an efficient approach for structural safety evaluation and response strategies. Full article
(This article belongs to the Section Building Structures)
Show Figures

Figure 1

17 pages, 2682 KB  
Article
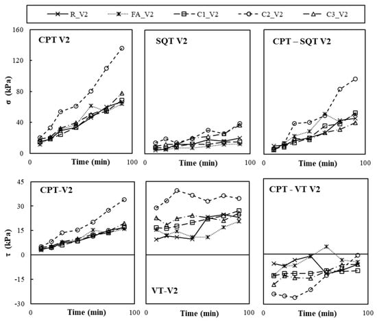
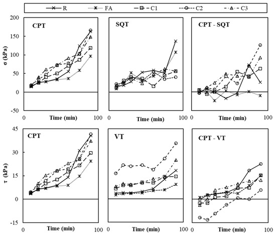
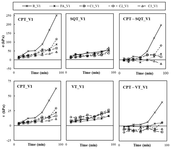
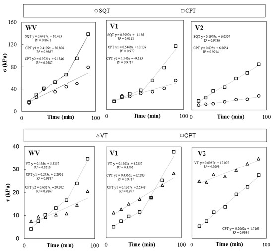
Evaluation of Cone-Penetration Test as a Rheology Quality-Control Field-Oriented Test for 3D Printing Cement-Based Systems
by Enrique Gomez, Hugo Varela and Gonzalo Barluenga
Materials 2026, 19(5), 1029; https://doi.org/10.3390/ma19051029 - 7 Mar 2026
Viewed by 141
Abstract
3D printing (3DP) of cement-based systems (CBSs) is a highly demanded technology in the construction field. Material requirements include specific rheological conditions for proper extrusion, followed by fast stiffening and strength gain to allow the construction process to continue, taking into account variable [...] Read more.
3D printing (3DP) of cement-based systems (CBSs) is a highly demanded technology in the construction field. Material requirements include specific rheological conditions for proper extrusion, followed by fast stiffening and strength gain to allow the construction process to continue, taking into account variable environmental conditions if the construction is on-site. To guarantee quality control of the process, it is essential to define field-oriented testing methodologies that allow real-time monitoring of mechanical properties’ evolution of the printed material, which will govern construction speed. This study evaluates the cone penetration test (CPT) method as a field-oriented test method to estimate the mechanical properties of 3DP CBSs over time. CPT penetration depth measurements were used to calculate shear yield stress and fresh compressive strength over time for 90 min. The experimental results were compared to two widely used laboratory tests: the fresh compressive strength test (squeeze test—SQT) and DSR test (vane test—VT). CBS pastes with and without fly ash and with three inorganic modifiers (nanoclays) and two types of organic rheology-modifying admixtures were considered. The results showed that CPT is highly conditioned by the stiffness of the paste, measured by the compressive Young Modulus (E), overestimating CBSs’ strength. The increase in E over time showed an inflection point at 130 kPa, corresponding to the evolution from plastic to pseudo-rigid behavior in the pastes. The corresponding time was used to define a linear adjustment for the average strength calculated using the CPT regarding both the fresh compressive SQT and shear yield stress VT. Full article
(This article belongs to the Special Issue 3D Printing Materials in Civil Engineering)
Show Figures

Figure 1

26 pages, 10580 KB  
Article
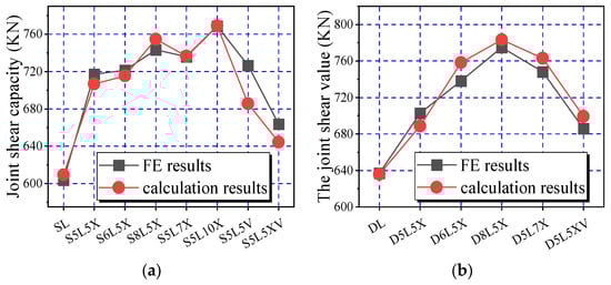
Investigations and Improvement of the Joint Between Narrow Steel Beams and CFST Columns
by Neng-Ming Cheng, Yao-Lin Zhang, Ke-Jun Li, Ming-Yuan Chang, Hua-Jian Jin, Tian Chu, Wen-Bo Li and Rong Zhang
Buildings 2026, 16(5), 1028; https://doi.org/10.3390/buildings16051028 - 5 Mar 2026
Viewed by 98
Abstract
In this paper, the forked-web joint configuration was introduced first, in order to transfer the shear and moment forces better and avoid the local buckling problem that usually happens in narrow steel beams and concrete-filled steel tubular (CFST) column joints. Experiments including three [...] Read more.
In this paper, the forked-web joint configuration was introduced first, in order to transfer the shear and moment forces better and avoid the local buckling problem that usually happens in narrow steel beams and concrete-filled steel tubular (CFST) column joints. Experiments including three specimens of that joint were then conducted, considering different axial compression ratios of the column. The test results indicated that no failure phenomenon happened to the proposed joint when the equivalent rotational angle was no more than 1/50. However, the final failure mode of each specimen was still local buckling and tearing failure of beam flanges due to the excessively large stress. Finally, based on the tests and FEA results, a corresponding improvement, including a single-web configuration with U-shape and triangular stiffeners, was thus brought forward and numerically verified in terms of rotational stiffness, failure mode, and the hysteretic curve. The FEA results revealed that the rotational stiffness of the proposed single-web joint with triangular stiffeners for beams and U-shape stiffeners for CFST columns efficiently increased from 0.87 to 3.83, and it was almost twice that of the narrow beam-column joint with internal horizontal diaphragms. Moreover, the previous undesirable tearing failure mode was finally avoided by adopting high-strength steel Q550 for the joint beam part. Full article
Show Figures

Figure 1

16 pages, 695 KB  
Article
Risk Factors for the Development of Pressure Injury in the Heel Area in Critically Ill Patients
by Anna Surmacz, Izabela Sałacińska, Maria Kózka, Maria Teresa Szewczyk, Robert Ślusarz and Dariusz Bazaliński
J. Clin. Med. 2026, 15(5), 1969; https://doi.org/10.3390/jcm15051969 - 4 Mar 2026
Viewed by 813
Abstract
Background/Objectives: Pressure injuries on the heels of critically ill patients occurring during hospitalization are a global problem. Risk factors include comorbidities, distal perfusion disorders, multiple organ failure, pharmacotherapy, and immobilization associated with mechanical ventilation. These factors affect microperfusion quality in the heels. The [...] Read more.
Background/Objectives: Pressure injuries on the heels of critically ill patients occurring during hospitalization are a global problem. Risk factors include comorbidities, distal perfusion disorders, multiple organ failure, pharmacotherapy, and immobilization associated with mechanical ventilation. These factors affect microperfusion quality in the heels. The presence of friction, shear, and compressive forces contributes directly to local tissue hypoxia and secondary tissue destruction in the heels. This study aimed to assess the impact of risk factors on the development of pressure injuries on the heels of patients in intensive care. Methods: A prospective observational study using controlled observation and assessment was conducted on 120 patients treated in the Department of Anesthesiology and Intensive Care. The initial risk assessment for pressure injuries was conducted within 24 h of admission to the ward, with a follow-up assessment conducted between five and ten days after admission. Data were collected using a scientific research protocol consisting of three parts (A, B, and C). Part A contained sociodemographic data, selected biochemical results, an ankle-brachial index assessment, and a pressure injury risk assessment using the Braden scale within the first 24 h of admission. Parts B and C involved re-evaluating selected biochemical parameters and assessing areas particularly vulnerable to pressure injury development. Statistical analysis was performed using IBM SPSS Statistics v. 21. Results: It was shown that the high risk of pressure injuries in the heel area in critically ill patients is dependent on catecholamine infusion (p < 0.001, r = 0.45) and distal perfusion dysfunction, which is assessed using the ankle-brachial index (ABI-PAD) (p = 0.026, r = 0.23). The ABI (PAD) index is an important factor in the development of pressure ulcers associated with peripheral artery disease, which is associated with an approximately fivefold increase in the likelihood of heel pressure injuries compared to patients with normal ABI values (OR = 5.10, 95% CI: 1.56–16.65, p = 0.007). A correlation was demonstrated between CRP values (chi-square = 5.795, df = 1, p = 0.016) and creatinine levels (chi-square = 7.512, degrees of freedom = 2, p = 0.023, r = 0.25) and the occurrence of pressure ulcers in the heels of critically ill patients. It was shown that the strongest prognostic factor for the occurrence of heel pressure injury was a below-normal creatinine level (OR = 8.75, 95% CI: 1.20–64.13, p = 0.033). Conclusions: Distal perfusion disorders resulting from circulatory failure and low peripheral perfusion increase the risk of pressure ulcer development in critically ill patients. The use of catecholamines to stabilize the circulatory system increases the risk of pressure ulcers on the heels of critically ill patients. Specific pharmacotherapy and invasive medical procedures may contribute to the development of pressure ulcers regardless of the level of pressure ulcer prevention. Full article
(This article belongs to the Special Issue Anesthesia and Intensive Care: Clinical Practices and Prospects)
Show Figures

Figure 1

18 pages, 2012 KB  
Article
Electromechanical Coupling and Piezoelectric Behaviour of (PDMS)–Graphene Elastomer Nanocomposites
by Murat Çelik, Miguel A. Lopez-Manchado and Raquel Verdejo
Polymers 2026, 18(5), 623; https://doi.org/10.3390/polym18050623 - 2 Mar 2026
Viewed by 283
Abstract
Elastomer-based nanocomposites combining polymer flexibility with conductive nanofillers provide lightweight, stretchable systems with tunable electromechanical properties for wearable electronics, soft robotics, and self-powered sensors. However, predicting their nonlinear response remains challenging because the observed piezoelectric-like response arises from strain-dependent interfacial polarization and evolving [...] Read more.
Elastomer-based nanocomposites combining polymer flexibility with conductive nanofillers provide lightweight, stretchable systems with tunable electromechanical properties for wearable electronics, soft robotics, and self-powered sensors. However, predicting their nonlinear response remains challenging because the observed piezoelectric-like response arises from strain-dependent interfacial polarization and evolving piezoresistive conduction pathways within heterogeneous microstructures. We introduce a continuum electro-hyperelastic framework combining the Mooney–Rivlin model for large-strain elasticity with a Helmholtz free-energy approach for electrostatic coupling. Analytical expressions for stress, electric displacement, and apparent piezoelectric coefficients are derived and implemented in finite element simulations. The model accurately reproduces the experimental mechanical, dielectric, and electromechanical behaviour of polydimethylsiloxane (PDMS) nanocomposites with 0.1–1 wt% graphene. These show increased stiffness, relative permittivity (from 3.4 to 4.0, ≈18%), and quasi-static d33 coefficients (from −5.6 to −10.0 pC N−1, ≈80% enhancement). Analytical and finite element method (FEM) results show consistent trends across the full deformation range, with Maxwell stress agreement within 10% at lower deformation levels, while deviations of 33–40% for coupled electromechanical quantities at an axial displacement uz = ~−1 mm (~16.7% compressive strain) are attributable to three-dimensional shear effects absent from the uniaxial analytical assumption. Simulations reveal that graphene boosts Maxwell stress, yielding a four-fold increase at lower stretch ratios. This reframes PDMS–graphene composites as electro-hyperelastic materials, offering a predictive, extensible framework. It highlights apparent piezoelectricity as an emergent, tunable effect from charge redistribution in a compliant hyperelastic matrix—guiding the design of next-generation flexible devices leveraging field-induced coupling over intrinsic polarization. Full article
(This article belongs to the Section Smart and Functional Polymers)
Show Figures

Graphical abstract

14 pages, 2055 KB  
Article
A Compressive Flow Prediction Model of Zr56Co28Al16 Bulk Metallic Glass in Supercooled Liquid Region
by Min Li, Xuefei Zhang, Zhongfen Yu and Jun Tan
Metals 2026, 16(3), 280; https://doi.org/10.3390/met16030280 - 2 Mar 2026
Viewed by 214
Abstract
Bulk metallic glasses exhibit unique viscoplastic flow behavior within their supercooled liquid region. Their high-temperature deformation mechanisms diverge markedly from the highly localized deformation at room temperature. This contrast offers a critical window for investigating their compressive flow models and assessing their forming [...] Read more.
Bulk metallic glasses exhibit unique viscoplastic flow behavior within their supercooled liquid region. Their high-temperature deformation mechanisms diverge markedly from the highly localized deformation at room temperature. This contrast offers a critical window for investigating their compressive flow models and assessing their forming potential. This study aims to systematically reveal the high-temperature compressive flow behavior of bulk metallic glasses within the supercooled liquid region and to establish a corresponding flow model. Through constant strain rate high-temperature compression experiments conducted on Zr56Co28Al16 bulk metallic glass within its supercooled liquid region, the variations in flow stress, crystallinity, and surface deformation characteristics with temperature were systematically investigated. The results indicate that the compressive behavior of the bulk metallic glass exhibits significant temperature dependence within this temperature range. The compressive strength decreased from 689 MPa at 487 °C to 330 MPa at 507 °C, and then increased to 435 MPa at 527 °C. The angle between the fracture/bulging direction and the loading direction increased from 45° at 487 °C to 88° at 507 °C, and then decreased to 60° at 527 °C. The shear band average spacing increased from 1.797 μm at 487 °C to 2.060 μm at 507 °C, and then decreased to 1.189 μm at 527 °C. These results consistently indicate that the plastic deformability is optimal at a compression temperature of around 510 °C. By integrating the analysis of mechanical curves and morphological characteristics, the applicability of three deformation mechanisms was evaluated: highly localized shear banding, homogeneous viscoplastic flow, and dynamic structural relaxation hardening. A constitutive relationship between compressive strength and temperature was established, which accurately describes their correlation. Simultaneously, it reveals that the dominant deformation mechanism evolves through highly localized shear banding and homogeneous viscoplastic flow, ultimately transforming into dynamic structural relaxation hardening as the temperature increases. This study provides theoretical guidance for predicting the compressive flow behavior of bulk metallic glasses in the supercooled liquid region and offers critical model support for precisely controlling their thermoplastic forming processes. Full article
(This article belongs to the Section Metal Failure Analysis)
Show Figures

Figure 1

23 pages, 3462 KB  
Article
Shear–Flexure Integrated Strengthening of RC Beams with Near-Surface Mounted Carbon Fiber-Reinforced Polymer (CFRP) Ropes and Geopolymer Overlays
by Gathot Heri Sudibyo, Laurencius Nugroho, Yanuar Haryanto, Hsuan-Teh Hu, Fu-Pei Hsiao, Paulus Setyo Nugroho, Nanang Gunawan Wariyatno, Banu Ardi Hidayat and Dahlan Titis Kuncoro
C 2026, 12(1), 21; https://doi.org/10.3390/c12010021 - 1 Mar 2026
Viewed by 184
Abstract
The strengthening of reinforced concrete (RC) beams requires repair systems that can enhance strength, stiffness, and energy dissipation without significantly increasing self-weight or compromising durability. This study explores the structural response of RC beams strengthened using an integrated shear–flexure system combining near-surface-mounted carbon [...] Read more.
The strengthening of reinforced concrete (RC) beams requires repair systems that can enhance strength, stiffness, and energy dissipation without significantly increasing self-weight or compromising durability. This study explores the structural response of RC beams strengthened using an integrated shear–flexure system combining near-surface-mounted carbon fiber-reinforced polymer (NSM-CFRP) ropes and steel-reinforced geopolymer overlays in the compression zone. Monotonic three-point bending tests were performed on two RC beam specimens, one unstrengthened control and one strengthened beam, to obtain preliminary observations of load–deflection behavior, stiffness, ductility, and energy absorption. The strengthened specimen exhibited increases in ultimate load (28.6%), stiffness (13.6%), and energy absorption (7.65%) relative to the control beam, suggesting the potential for effective composite action between the CFRP ropes and geopolymer material. A three-dimensional nonlinear finite element model was developed using ATENA to support interpretation of the experimental response, incorporating detailed constitutive models for concrete, steel reinforcement, and CFRP ropes. The numerical predictions showed reasonable agreement with the experimental results. Within the limitations of the test matrix, the results indicate that the proposed dual strengthening system may offer a viable and sustainable approach for enhancing the shear–flexural performance of RC beams. Full article
(This article belongs to the Section Carbon Materials and Carbon Allotropes)
Show Figures

Figure 1

18 pages, 6476 KB  
Article
On the Adiabatic Shear Band Sensitivity of Extruded Ti-6Al-4V Alloy Under Dynamic Compression Along the Extrusion and Transverse Directions
by Chenxing Zheng, Weikang Fu, Tianyuan Gong, Yingqian Fu and Xinlu Yu
Materials 2026, 19(5), 955; https://doi.org/10.3390/ma19050955 - 1 Mar 2026
Viewed by 187
Abstract
Adiabatic shear banding (ASB) is a critical failure mechanism in titanium alloys subjected to high-strain-rate deformation, and its initiation is strongly influenced by the initial crystallographic texture. The dynamic response and ASB sensitivity of extruded and annealed Ti-6Al-4V (TC4) alloy rods were investigated [...] Read more.
Adiabatic shear banding (ASB) is a critical failure mechanism in titanium alloys subjected to high-strain-rate deformation, and its initiation is strongly influenced by the initial crystallographic texture. The dynamic response and ASB sensitivity of extruded and annealed Ti-6Al-4V (TC4) alloy rods were investigated under dynamic compression of cubic specimens along the extrusion direction (ED) and the transverse direction (TD) at a strain rate of 2500 s−1. Split Hopkinson pressure bar (SHPB) tests combined with digital image correlation (DIC) were employed to obtain the stress–strain response and the evolution of strain localization. A dislocation density-based crystal plasticity finite element model (CPFEM), incorporating the measured texture, was established to elucidate the correlation between texture and ASB behavior. The experimental results show that TD specimens exhibit a yield strength approximately 100 MPa higher than that of ED specimens, while both orientations display comparable post-yield hardening behavior. ASB initiation occurs earlier in TD (compressive strain ~0.13) than in ED (~0.23), indicating greater ASB sensitivity in the TD orientation. The CPFEM successfully reproduces the directional stress–strain responses and the observed localization morphology, enabling mechanistic interpretation in terms of slip activity and thermomechanical coupling. The simulations indicate that ED loading is dominated by prismatic ⟨a⟩ slip, resulting in lower flow stress and more dispersed strain localization. In contrast, TD loading is governed primarily by pyramidal ⟨c + a⟩ slip, leading to elevated flow stress and intensified localization. The higher ASB sensitivity in the TD orientation is therefore attributed to texture-controlled slip-mode partitioning, enhanced thermomechanical coupling, and a more concentrated crystallographic orientation distribution that facilitates intergranular slip transfer. These findings provide guidance for tailoring microtexture to mitigate dynamic failure in titanium alloys subjected to high-strain-rate loading. Full article
(This article belongs to the Section Metals and Alloys)
Show Figures

Graphical abstract

22 pages, 8806 KB  
Article
Strut Size-Dependent Compressive Behavior and Failure Mechanisms of Laser-Based Powder Bed Fusion NiTi Octahedral Porous Scaffolds
by Ning Zhang, Wangwei Zhan, Hongsen Liu, Chuanhui Huang, Guangqing Zhang, Yinghong Zhang and Jinguo Ge
Materials 2026, 19(5), 951; https://doi.org/10.3390/ma19050951 - 28 Feb 2026
Viewed by 245
Abstract
Nickel-titanium (NiTi) alloys are attractive for functional and biomedical applications due to their shape memory effect, superelasticity, and favorable corrosion resistance and biocompatibility. In this work, the influence of strut size on the compressive response of laser-based powder bed fusion (PBF-LB/M) fabricated NiTi [...] Read more.
Nickel-titanium (NiTi) alloys are attractive for functional and biomedical applications due to their shape memory effect, superelasticity, and favorable corrosion resistance and biocompatibility. In this work, the influence of strut size on the compressive response of laser-based powder bed fusion (PBF-LB/M) fabricated NiTi ortho-octahedral porous scaffolds was systematically investigated using combined experiments and finite element simulations. Four scaffold designs with identical unit-cell size (2 mm) but different strut sizes (280, 320, 360, and 400 μm) were fabricated, and their forming quality and deformation behaviors were examined. The as-built scaffolds exhibited high geometric fidelity to the CAD models and stable manufacturability across the investigated parameter range. Quasi-static compression tests revealed a typical three-stage response (linear-elastic regime, plateau/collapse regime, and densification), with both elastic modulus and compressive strength increasing markedly with strut size. Specifically, the modulus increased from 1.17 to 4.28 GPa and the compressive strength increased from 155 to 564 MPa as the strut size increased from 280 to 400 μm. A pronounced oscillatory plateau was observed for the 280 μm scaffolds, indicating progressive layer-by-layer collapse, whereas larger struts promoted a shear-band-dominated failure mode characterized by an approximately 45° fracture zone. Explicit quasi-static simulations reproduced the experimentally observed collapse sequence and demonstrated that stress preferentially concentrates at nodal junctions, with load transfer dominated by struts aligned with the loading direction. The agreement between experiments and simulations confirms the predictive capability of the proposed modeling framework and provides mechanistic insights into geometry-controlled failure. These findings establish a structure-property-failure relationship for PBF-LB/M-fabricated NiTi octahedral scaffolds and offer practical guidance for tailoring stiffness, strength, and collapse mode through strut-size design. Full article
Show Figures

Figure 1

Back to TopTop