Strut Size-Dependent Compressive Behavior and Failure Mechanisms of Laser-Based Powder Bed Fusion NiTi Octahedral Porous Scaffolds
Abstract
1. Introduction
2. Test Method and Finite Element Simulation
2.1. Positive Octahedral Porous Scaffold Design
2.2. Preparation of Compression Specimens
2.3. Static Compression Test
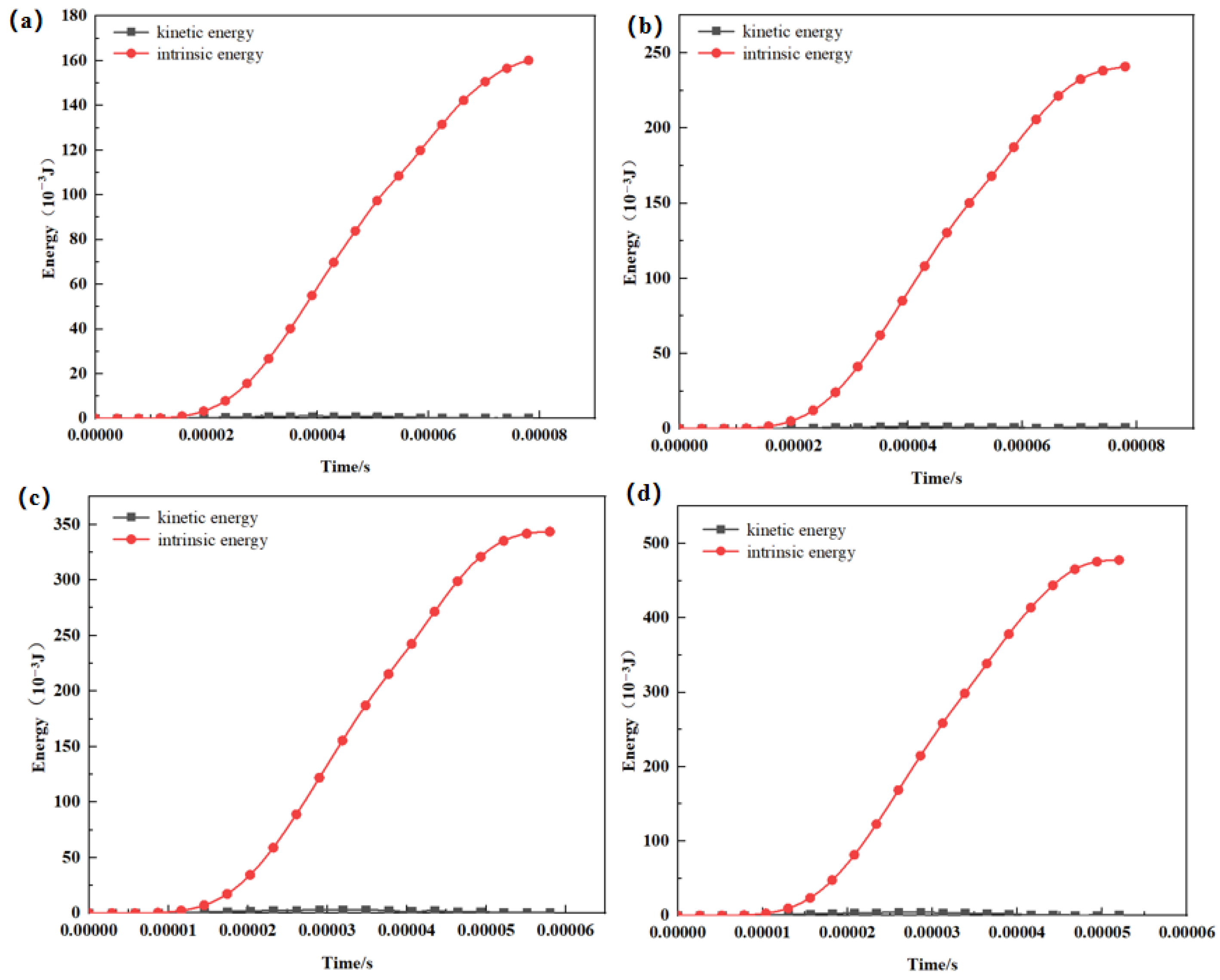
2.4. Modeling of Quasi-Static Compression
3. Results and Discussion
3.1. Characterization of Structure and Morphology
3.2. Quasi-Static Compression Response
3.2.1. Stress–Strain Curves
3.2.2. Deformation Mechanisms
3.3. Finite Element Analysis
3.3.1. Quasi-Static Single-Cell Finite Element Analysis
3.3.2. Analyses of Simulation-Controlled Tests
4. Conclusions
- (1)
- NiTi ortho-octahedral porous scaffolds with four strut sizes were successfully fabricated via selective laser melting, exhibiting good dimensional fidelity to the CAD models and stable build quality across the investigated parameter range. The printed lattices maintained clear strut-size differentiation with no macroscopic defects that would dominate the compressive response, providing a reliable structural basis for mechanical evaluation.
- (2)
- All scaffolds displayed the typical three-stage compressive response of cellular metals (linear-elastic regime, post-yield plateau, and densification). Increasing strut size markedly enhanced both stiffness and strength: the elastic modulus increased from 1.17 GPa to 4.28 GPa and the compressive strength increased from 155 MPa to 564 MPa as strut size increased from 280 μm to 400 μm. In parallel, the macroscopic deformation mode evolved from a progressive layer-by-layer collapse (pronounced stress oscillations for 280 μm) to a shear-band-dominated failure characterized by an ~45° fracture zone for larger struts.
- (3)
- Explicit quasi-static finite element simulations reproduced the experimentally observed collapse sequence and confirmed that stress is preferentially localized at nodal junctions of the unit cells. Load transfer was dominated by struts aligned with the loading direction, while horizontally oriented members carried comparatively lower stresses. The increase in effective load-bearing cross-sectional area with strut size provides a direct geometric mechanism for the observed strength enhancement, with the 400 μm design showing the largest cross-sectional area and the highest compressive capacity.
Author Contributions
Funding
Data Availability Statement
Conflicts of Interest
References
- Liu, H.S.; Ge, J.G.; Zhao, G.B.; Chen, Y.; Yue, G.; He, S.L.; Zhan, W.W.; Zhang, Y.H.; Liu, Z.M. An investigation on microstructural characteristics and comprehensive performances of equiatomic ratio NiTi shape-memory alloy produced by selective laser melting. Adv. Eng. Mater. 2024, 26, 2401245. [Google Scholar] [CrossRef]
- Bansiddhi, A.; Sargeant, T.D.; Stupp, S.I.; Dunand, D.C. Porous NiTi for bone implants: A review. Acta Biomater. 2008, 4, 773–782. [Google Scholar] [CrossRef] [PubMed]
- Zhao, M.; Qing, H.B.; Wang, Y.X.; Liang, J.; Zhao, M.Y.; Geng, Y.L.; Liang, J.Z.; Lu, B.H. Superelastic behaviors of additively manufactured porous NiTi shape memory alloys designed with Menger sponge-like fractal structures. Mater. Des. 2021, 200, 109436. [Google Scholar] [CrossRef]
- Li, S.; Zhang, H.; Li, S.; Wang, J.Q.; Wang, Q.W.; Cheng, Z.L. Advances in hierarchically porous materials: Fundamentals, preparation and applications. Renew. Sustain. Energy Rev. 2024, 202, 114815. [Google Scholar] [CrossRef]
- Li, Y.H.; Shang, X.Y. Recent progress in porous TiNb-based alloys for biomedical implant applications. Mater. Sci. Technol. 2020, 36, 385–392. [Google Scholar] [CrossRef]
- Chen, D.Z.; Gong, W.T.; Xu, C.; Zhang, Y.J.; Hao, R.; Yang, Z.B.; Chen, R.R.; Fu, H.Z. Oxidation behavior of Ge-modified Nb-Si alloys at 1250 °C: Self-generated NbGe2 layer with enhanced oxidation resistance. Appl. Surf. Sci. Adv. 2025, 30, 100874. [Google Scholar] [CrossRef]
- Xiong, Z.W.; Li, Z.H.; Sun, Z.; Hao, S.J.; Yang, Y.; Li, M.; Song, C.H.; Qiu, P.; Cui, L.S. Selective laser melting of NiTi alloy with superior tensile property and shape memory effect. J. Mater. Sci. Technol. 2019, 35, 2238–2242. [Google Scholar] [CrossRef]
- Xu, K.K.; Gong, Y.D.; Zhao, Q.Z. Comparison of traditional processing and additive manufacturing technologies in various performance aspects: A review. Arch. Civ. Mech. Eng. 2023, 23, 100. [Google Scholar] [CrossRef]
- Sabban, R.; Bahl, S.; Chatterjee, K.; Suwas, S. Globularization using heat treatment in additively manufactured Ti-6Al-4V for high strength and toughness. Acta Mater. 2018, 162, 239–254. [Google Scholar] [CrossRef]
- Qiu, C.L.; Adkins, N.J.E.; Attallah, M.M. Microstructure and tensile properties of selectively laser-melted and HIPed laser-melted Ti-6Al-4V. Mater. Sci. Eng. A 2013, 578, 230–239. [Google Scholar] [CrossRef]
- Mishra, A.K.; Kumar, A. Numerical and experimental analysis of the effect of volumetric energy absorption in powder layer on thermal-fluidic transport in selective laser melting of Ti-6Al-4V. Opt. Laser Technol. 2019, 111, 227–239. [Google Scholar] [CrossRef]
- Zhang, Y.M.; Huang, W.B. Comparisons of 304 austenitic stainless steel manufactured by laser metal deposition and selective laser melting. J. Manuf. Process. 2020, 57, 324–333. [Google Scholar] [CrossRef]
- Chen, D.Z.; Wang, Y.X.; Yu, J.Y.; Xu, C.; Wang, D.X.; Dai, G.X.; Xu, Q.; Wang, Q.; Chen, R.R. Er-Induced Microstructural Refinement and Internal Oxidation Enhancing Fracture Toughness in Nb-Si Alloys. J. Alloys Compd. 2025, 1045, 184777. [Google Scholar] [CrossRef]
- Li, R.D.; Niu, P.D.; Yuan, T.C.; Cao, P.; Chen, C.; Zhou, K.C. Selective laser melting of an equiatomic CoCrFeMnNi high-entropy alloy: Processability, non-equilibrium microstructure and mechanical property. J. Alloys Compd. 2018, 746, 125–134. [Google Scholar] [CrossRef]
- Zhang, Y.; Shi, X.Z.; Du, Z.Q.; Yang, Y.H.; Liu, X.C.; Li, Y.L.; Shen, J.H. Microstructural strengthening and plastic degradation of Ti-6Al-4V induced by laser ablation. Met. Mater. Int. 2023, 30, 895–908. [Google Scholar] [CrossRef]
- Sallica-Leva, E.; Jardini, A.L.; Fogagnolo, J.B. Microstructure and mechanical behavior of porous Ti-6Al-4V parts obtained by selective laser melting. J. Mech. Behav. Biomed. Mater. 2013, 26, 98–108. [Google Scholar] [CrossRef]
- Bormann, T.; Schumacher, R.; Müller, B.; Mertmann, M.; Wild, M. Tailoring selective laser melting process parameters for NiTi implants. J. Mater. Eng. Perform. 2012, 21, 2519–2524. [Google Scholar] [CrossRef]
- Dadbakhsh, S.; Speirs, M.; Kruth, J.P.; Schrooten, J.; Luyten, J.; Van Humbeeck, J. Effect of SLM parameters on transformation temperatures of shape memory nickel titanium parts. Adv. Eng. Mater. 2014, 16, 1140–1146. [Google Scholar] [CrossRef]
- Habijan, T.; Haberland, C.; Meier, H.; Frenzel, J.; Wittsiepe, J.; Wuwer, C.; Greulich, C.; Schildhauer, T.A.; Köller, M. The biocompatibility of dense and porous nickel–titanium produced by selective laser melting. Mater. Sci. Eng. C 2013, 33, 419–426. [Google Scholar] [CrossRef]
- Liu, S.; Guo, R.Q.; Niu, H.Z.; Wang, X.P.; Yang, J.H.; Zhang, D.L. Mechanical properties and energy absorption characteristics of additively manufactured lattice structures of a high-temperature titanium matrix composite. Adv. Eng. Mater. 2024, 26, 2401397. [Google Scholar] [CrossRef]
- Gao, Y.; Liu, B.; Hao, Y.B.; Li, Z.H.; Li, Y.D.; Guo, X.T.; Zhang, F.Y.; Zhang, K.F. Effect of cell size on the mechanical properties of the porous structure of a CuCrZr alloy formed by selective laser melting technology. Adv. Eng. Mater. 2024, 26, 2401059. [Google Scholar] [CrossRef]
- Li, Z.; Mo, H.T.; Tian, J.H.; Li, J.H.; Xia, S.Q.; Jia, X.S.; Zhou, L.B.; Lu, Y. Compressive properties and fracture behaviours of Ti/Al interpenetrating phase composites with additively manufactured TPMS porous structures. Met. Mater. Int. 2024; in press. [Google Scholar]
- Fan, Z.F.; Huang, G.H.; Lu, Y.J.; Yan, C.; Zeng, F.Y.; Lin, J.X. Full compression response of FG-based scaffolds with varying porosity via an effective numerical scheme. Int. J. Mech. Sci. 2022, 223, 107263. [Google Scholar] [CrossRef]
- Fousová, M.; Vojtěch, D.; Kubásek, J.; Jablonská, E.; Fojt, J. Promising characteristics of gradient porosity Ti-6Al-4V alloy prepared by SLM process. J. Mech. Behav. Biomed. Mater. 2017, 69, 368–376. [Google Scholar] [CrossRef]
- Huang, X.; Ding, S.B.; Lang, L.H.; Gong, S.L. Compressive response of selective laser-melted lattice structures with different strut sizes based on theoretical, numerical and experimental approaches. Rapid Prototyp. J. 2023, 29, 209–217. [Google Scholar] [CrossRef]
- Weaire, D.; Fortes, M.A. Stress and strain in liquid and solid foams. Adv. Phys. 2006, 43, 685–738. [Google Scholar] [CrossRef]
- Zhang, G.Q.; Li, J.X.; Li, J.; Zhang, C.G.; Xiao, Z.F. Simulation analysis and performance study of CoCrMo porous structure manufactured by selective laser melting. J. Mater. Eng. Perform. 2018, 27, 2271–2280. [Google Scholar]
- Ge, J.G.; Yuan, B.; Zhao, L.; Yan, M.; Chen, W.; Zhang, L. Effect of volume energy density on selective laser melting NiTi shape memory alloys: Microstructural evolution, mechanical and functional properties. J. Mater. Res. Technol. 2022, 20, 2872–2888. [Google Scholar] [CrossRef]
- Bai, L.; Gong, C.; Chen, X.H.; Zheng, J.; Xin, L.M.; Xiong, Y.; Wu, X.Y.; Hu, M.J.; Li, K.; Sun, Y.X. Quasi-static compressive responses and fatigue behaviour of Ti-6Al-4V graded lattice structures fabricated by laser powder bed fusion. Mater. Des. 2021, 210, 110073. [Google Scholar] [CrossRef]
- Jalali, M.; Mohammadi, K.; Movahhedy, M.R.; Karimi, F.; Sadmezhaad, S.K.; Chemyshikhin, S.V.; Shishkovsky, L.V. SLM additive manufacturing of NiTi porous implants: A review of constitutive models, finite element simulations, manufacturing, heat treatment, mechanical, and biomedical studies. Met. Mater. Int. 2023, 29, 2458–2491. [Google Scholar] [CrossRef]
- Bai, L.; Xu, Y.; Chen, X.H.; Xin, L.M.; Zhang, J.F.; Li, K.; Sun, Y.X. Improved mechanical properties and energy absorption of Ti-6Al-4V LPBF lattice structures using curving lattice struts. Mater. Des. 2021, 211, 110148. [Google Scholar] [CrossRef]
- Wang, P.; Yang, F.; Lu, G.X.; Bian, Y.J.; Zhang, S.Y.; Zheng, B.L.; Fan, H.L. Anisotropic compression behaviors of bio-inspired modified body-centered cubic lattices validated by additive manufacturing. Compos. Part B Eng. 2022, 234, 109724. [Google Scholar] [CrossRef]
- Yan, S.T.; Li, Y.; Tian, Z.F.; Ming, W.J.; Wang, X.L. A review of additive manufacturing technology and its application to foundry in China. China Foundry 2021, 18, 249–264. [Google Scholar] [CrossRef]
- Ge, J.G.; Yan, X.C.; Lei, Y.P.; Ahmed, M.; Reilly, P.; Zhang, C.; Lupoi, R.; Yin, S. A detailed analysis on the microstructure and compressive properties of selective laser melted Ti-6Al-4V lattice structures. Mater. Des. 2020, 198, 109292. [Google Scholar] [CrossRef]
- Yang, L.; Mertens, R.; Ferrucci, M.; Yan, C.Z.; Shi, Y.S.; Yang, S.F. Continuous graded gyroid cellular structures fabricated by selective laser melting: Design, manufacturing and mechanical properties. Mater. Des. 2019, 162, 394–404. [Google Scholar] [CrossRef]
- Zhai, Y.; He, S.B.; Lei, L.; Guan, T.M. Mechanical property of octahedron Ti-6Al-4V fabricated by selective laser melting. Rev. Adv. Mater. Sci. 2021, 60, 894–911. [Google Scholar] [CrossRef]
- Liu, T.; Chen, D.Z.; Gao, X.F.; Qin, G.; Chen, R.R. Microstructure and strengthening mechanism of non-equiatomic AlCoCrFeNi high entropy alloy via Ta alloying. Intermetallics 2026, 189, 109114. [Google Scholar] [CrossRef]
- Khrapov, D.; Koptyug, A.; Manabaev, K.; Léonard, F.; Mishurova, T.; Bruno, G.; Cheneler, D.; Loza, K.; Epple, M.; Surmenev, R.; et al. The impact of post-manufacturing treatment of functionally graded Ti-6Al-4V scaffolds on surface morphology and mechanical strength. J. Mater. Res. Technol. 2020, 9, 1866–1881. [Google Scholar] [CrossRef]
- Mora Sierra, D.C.; Heydari Astaraee, A.; Guagliano, M.; Bagherifard, S. Numerical investigation of Ti-6Al-4V gradient lattice structures with tailored mechanical response. Adv. Eng. Mater. 2022, 24, 2101204. [Google Scholar] [CrossRef]
- Yu, G.S.; Li, Z.B.; Li, S.J.; Zhang, Q.; Hua, Y.L.; Liu, H.; Zhao, X.Y.; Dhaidhai, D.T.; Li, W.; Wang, X.J. The selection of internal architecture for porous Ti alloy scaffold: A compromise between mechanical properties and permeability. Mater. Des. 2020, 192, 108754. [Google Scholar] [CrossRef]
- Zhou, M.; Li, H.H.; Xiong, Z.W.; Li, X.; Li, X.Y.; Yang, Y.; Chen, J.; Hao, S.J. NiTi alloy helical lattice structure with high reusable energy absorption and enhanced damage tolerance. J. Mater. Sci. Technol. 2025, 217, 237–244. [Google Scholar] [CrossRef]
- Li, J.L.; Wang, X.F.; Guo, Y.; Yu, X. Vertical bearing capacity of pile foundation with restriction plate via centrifuge modelling. Ocean Eng. 2019, 181, 109–120. [Google Scholar] [CrossRef]
- Doan, M.Q.; Nguyen, V.L.; Le, V.T.; Ho, D.T.; Dang, T.H.H.; Dinh, V.H.; Le, V.L. Enhanced energy absorption and unusual mechanical behaviors of continuously graded diamond-shellular nanostructures. Met. Mater. Int. 2024; in press. [Google Scholar] [CrossRef]















| Serial Number | Strut Size | Cell Size | Cell Volume | Relative Density | Number of Individuals | Size/mm | Cross-Section |
|---|---|---|---|---|---|---|---|
| μm | mm | mm3 | % | x-y-z | x-y-z | mm2 | |
| 1 | 280 | 2 | 1.21 | 15.13 | 5-5-7 | 10-10-14 | 9.52 |
| 2 | 320 | 2 | 1.51 | 18.88 | 5-5-7 | 10-10-14 | 10.56 |
| 3 | 360 | 2 | 1.83 | 22.88 | 5-5-7 | 10-10-14 | 11.52 |
| 4 | 400 | 2 | 2.16 | 27.00 | 5-5-7 | 10-10-14 | 12.40 |
Disclaimer/Publisher’s Note: The statements, opinions and data contained in all publications are solely those of the individual author(s) and contributor(s) and not of MDPI and/or the editor(s). MDPI and/or the editor(s) disclaim responsibility for any injury to people or property resulting from any ideas, methods, instructions or products referred to in the content. |
© 2026 by the authors. Licensee MDPI, Basel, Switzerland. This article is an open access article distributed under the terms and conditions of the Creative Commons Attribution (CC BY) license.
Share and Cite
Zhang, N.; Zhan, W.; Liu, H.; Huang, C.; Zhang, G.; Zhang, Y.; Ge, J. Strut Size-Dependent Compressive Behavior and Failure Mechanisms of Laser-Based Powder Bed Fusion NiTi Octahedral Porous Scaffolds. Materials 2026, 19, 951. https://doi.org/10.3390/ma19050951
Zhang N, Zhan W, Liu H, Huang C, Zhang G, Zhang Y, Ge J. Strut Size-Dependent Compressive Behavior and Failure Mechanisms of Laser-Based Powder Bed Fusion NiTi Octahedral Porous Scaffolds. Materials. 2026; 19(5):951. https://doi.org/10.3390/ma19050951
Chicago/Turabian StyleZhang, Ning, Wangwei Zhan, Hongsen Liu, Chuanhui Huang, Guangqing Zhang, Yinghong Zhang, and Jinguo Ge. 2026. "Strut Size-Dependent Compressive Behavior and Failure Mechanisms of Laser-Based Powder Bed Fusion NiTi Octahedral Porous Scaffolds" Materials 19, no. 5: 951. https://doi.org/10.3390/ma19050951
APA StyleZhang, N., Zhan, W., Liu, H., Huang, C., Zhang, G., Zhang, Y., & Ge, J. (2026). Strut Size-Dependent Compressive Behavior and Failure Mechanisms of Laser-Based Powder Bed Fusion NiTi Octahedral Porous Scaffolds. Materials, 19(5), 951. https://doi.org/10.3390/ma19050951
