Sign in to use this feature.

Years

Between: -

Subjects

remove_circle_outline
remove_circle_outline
remove_circle_outline
remove_circle_outline
remove_circle_outline
remove_circle_outline
remove_circle_outline
remove_circle_outline
remove_circle_outline

Journals

Article Types

Countries / Regions

Search Results (84)

Search Parameters:
Keywords = shape parameter λ

Order results
Result details
Results per page
Select all
Export citation of selected articles as:
23 pages, 464 KB  
Article
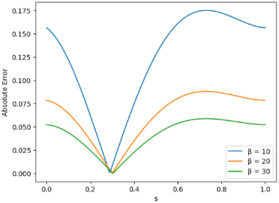
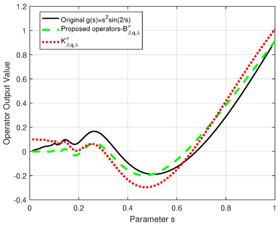
Approximation Associated with Kantorovich Version of Bézier (λ,q)–Bernstein–Schurer Operators
by Md. Nasiruzzaman, Mohammad Farid, Harun Çiçek and Nadeem Rao
Mathematics 2026, 14(4), 644; https://doi.org/10.3390/math14040644 - 12 Feb 2026
Viewed by 162
Abstract
In the present paper, the Kantorovich modification of the Schurer type of (λ,q)-Bernstein operators, which are associated by the shape parameter 1λ1 and the Bézier basis function, is presented. Using Korovkin’s theorem, we [...] Read more.
In the present paper, the Kantorovich modification of the Schurer type of (λ,q)-Bernstein operators, which are associated by the shape parameter 1λ1 and the Bézier basis function, is presented. Using Korovkin’s theorem, we establish several local and global approximation properties. Lastly, we calculate the convergence properties for the functions that belong to Peetre’s K-functional and Lipschitz maximum by using the classical modulus of continuity and second-order modulus of continuity. In the last section, graphical and numerical analysis are studied. Full article
Show Figures

Figure 1

50 pages, 1081 KB  
Article
Guaranteed Tensor Luminality from Symmetry: A PT-Even Palatini Torsion Framework
by Chien-Chih Chen
Symmetry 2026, 18(1), 170; https://doi.org/10.3390/sym18010170 - 16 Jan 2026
Viewed by 278
Abstract
Multimessenger constraints tightly bound the gravitational-wave speed to be luminal, posing a strong filter for modified gravity. This paper develops a symmetry-selected Palatini framework with torsion in which exact luminality at quadratic order is achieved by construction rather than by parameter tuning. Two [...] Read more.
Multimessenger constraints tightly bound the gravitational-wave speed to be luminal, posing a strong filter for modified gravity. This paper develops a symmetry-selected Palatini framework with torsion in which exact luminality at quadratic order is achieved by construction rather than by parameter tuning. Two ingredients shape the observable sector: (i) a scalar PT projector that keeps scalar densities real and parity-even, and (ii) projective invariance implemented via a non-dynamical Stueckelberg compensator that enters only through its gradient. Under an explicit posture (A1–A6), we establish three structural results: (C1) algebraic uniqueness of torsion to a pure-trace form aligned with the compensator gradient; (C2) bulk equivalence, modulo improvements, among a rank-one determinant route, a closed-metric deformation, and a PT-even CS/Nieh–Yan route; and (C3) a coefficient-locking identity that enforces K=G for tensor modes on admissible domains; hence, cT=1 with two propagating polarizations. Beyond leading order, the framework yields a distinctive, falsifiable next-to-leading correction δcT2(k)=bk2/Λ2 (for kΛ), predicting slope 2 in log–log fits across frequency bands (PTA/LISA/LVK). The analysis is formulated to be reproducible, with a public repository providing figure generators, coefficients, and tests that directly validate (C1)–(C3). Full article
(This article belongs to the Special Issue Symmetry, Topology and Geometry in Physics)
Show Figures

Figure 1

17 pages, 19521 KB  
Article
Experimental Comparisons of the Wave Attenuation Characteristics Among Different Flexible-Membrane Breakwaters
by Ming-Liang Cai, Jing-Ping Wu, Shao-Min Wang and Xi Yi
J. Mar. Sci. Eng. 2026, 14(1), 78; https://doi.org/10.3390/jmse14010078 - 31 Dec 2025
Viewed by 256
Abstract
In this paper, physical experiments were conducted to analyze the wave attenuation characteristics of a combinational breakwater in a 2D piston-type wave flume. The proposed breakwater consisted of a box and double flexible membranes, one of which was fixed on both sides of [...] Read more.
In this paper, physical experiments were conducted to analyze the wave attenuation characteristics of a combinational breakwater in a 2D piston-type wave flume. The proposed breakwater consisted of a box and double flexible membranes, one of which was fixed on both sides of the box, while the other was positioned at a specific distance from the box sides. The flexible membranes dropped down naturally and formed a U shape. Optimal configuration parameters of the proposed breakwater were determined separately through a series of comparison experiments among mooring breakwaters in regular waves; the box draft d was determined by a box-type breakwater and the membrane spacings Lu and Ld from the box sides were determined by a U-shaped flexible-membrane breakwater, where the wave attenuation coefficients versus kh and B/λ were provided. Then, using the literature, the present box–membrane breakwater with membrane spacings was compared to two similar flexible-membrane breakwaters. One was the above-mentioned U-shaped flexible-membrane breakwater, the other was a box–membrane breakwater in which the flexible membranes were directly fastened on the box sides. The results indicate that with optimal configuration parameters, the wave attenuation performance of the proposed breakwater had been enhanced due to the increase in both dissipating and reflecting wave energy. Full article
(This article belongs to the Section Ocean Engineering)
Show Figures

Figure 1

22 pages, 3868 KB  
Article
Research on the Optimization of Mining Structure Parameters Based on the Pressure Arch Theory
by Weile Geng, Libing Zhen, Tihua Zhang, Shengli Guo, Gun Huang and Yangtao Xiong
Processes 2025, 13(12), 4069; https://doi.org/10.3390/pr13124069 - 17 Dec 2025
Viewed by 380
Abstract
The arching effect of surrounding rock pressure is critical for ground pressure control in mining areas. Taking a stope in Malipo tungsten mine as the engineering background, this study optimizes stope structural parameters based on the arching pressure theory. Analysis of the stope [...] Read more.
The arching effect of surrounding rock pressure is critical for ground pressure control in mining areas. Taking a stope in Malipo tungsten mine as the engineering background, this study optimizes stope structural parameters based on the arching pressure theory. Analysis of the stope pressure arch shape equation shows that the pressure arch shape is mainly determined by the lateral pressure coefficient (λ) and stope span (L), while the actual load on pillars equals the weight of rock mass within the overlying pressure arch shell. Pillar loads differ at various stope locations. Combined with the pillar area bearing theory, the rock weight supported by pillars at different stope positions under the arching pressure theory was determined, and a load calculation formula for pillars at various locations was derived. A stope pillar size optimization method was also proposed, which overcomes the defect of excessively large pillar sizes caused by the pillar area bearing theory. It ensures pillar stability during mining while improving ore recovery rates. Taking an existing 830 m-deep stope in the tungsten mine as an example, the optimization method based on the arching pressure theory determined the actual required widths of pillars at different locations. This increased the ore recovery rate from the original 67.56% to 69.47% (an increase of 1.91%). This study provides a reference for the reasonable setting of pillar sizes. Full article
(This article belongs to the Section Energy Systems)
Show Figures

Figure 1

31 pages, 777 KB  
Article
On a Family of Parameter-Dependent Bernstein-Type Operators with Multiple Shape Parameters: Incorporating Symmetric Basis Structures
by Yeşim Çiçek, Rubayyi T. Alqahtani, Nezihe Turhan and Faruk Özger
Symmetry 2025, 17(12), 2139; https://doi.org/10.3390/sym17122139 - 12 Dec 2025
Viewed by 382
Abstract
In this paper, we introduce and investigate a novel family of parameter-dependent operators incorporating multiple shape parameters λkk=1n, whose underlying basis functions include these parameters and exhibit a symmetry property. This parameter-dependent formulation provides a unified and [...] Read more.
In this paper, we introduce and investigate a novel family of parameter-dependent operators incorporating multiple shape parameters λkk=1n, whose underlying basis functions include these parameters and exhibit a symmetry property. This parameter-dependent formulation provides a unified and flexible framework for constructing positive linear operators with enhanced approximation and shape-preserving capabilities. We establish fundamental properties of the proposed operators, including nonnegativity, linearity, end-point interpolation, monotonicity preservation and partition of unity; derive their central moments; and determine direct approximation theorems and Voronovskaja-type results. Finally, numerical experiments and graphical illustrations demonstrate the improved performance and adaptability of the proposed scheme compared with existing Bernstein-type variants. The presented framework unifies several classical and generalized operator families while providing additional shape control for practical applications in computer-aided geometric design and function approximation. Full article
(This article belongs to the Section Mathematics)
Show Figures

Figure 1

10 pages, 705 KB  
Article
Tillage Effects on Soil Hydraulic Parameters Estimated by Brooks–Corey Function in Clay Loam and Sandy Loam Soils
by Jalal D. Jabro, William B. Stevens, William M. Iversen, Upendra M. Sainju, Brett L. Allen and Sadikshya R. Dangi
Agronomy 2025, 15(10), 2325; https://doi.org/10.3390/agronomy15102325 - 30 Sep 2025
Viewed by 980
Abstract
Tillage practices can significantly impact soil structure and pore size distribution and connectivity, consequently affecting the shape of the soil water retention curve (SWRC) and its related estimated hydraulic parameters in the top layer of soil. This study investigated the effect of no-tillage [...] Read more.
Tillage practices can significantly impact soil structure and pore size distribution and connectivity, consequently affecting the shape of the soil water retention curve (SWRC) and its related estimated hydraulic parameters in the top layer of soil. This study investigated the effect of no-tillage (NT) and conventional tillage (CT) practices on SWRCs and their soil hydraulic parameters, estimated by the Brooks–Corey (BC) function at 0–15 and 15–30 cm depths within sugarbeet and corn planting rows in clay loam and sandy loam soils, respectively. Soil water retention curves were measured using the evaporative method (HYPROP). Measured SWRC results were modeled for both untilled and tilled soils using the BC function for each depth in both soils. In clay loam, results indicated that all soil parameters of the BC function, water contents at 330 (θ330) and 15,000 (θ15,000) hPa, and plant available soil water content (AW) were not significantly affected by the type of tillage at either soil depth. The lack of difference in results between NT and CT may be due to considerable soil disturbance, primarily by the harvest process of sugarbeet roots. However, in sandy loam, results indicated that differences occurred in SWRC’s estimated parameters between the NT and CT practices. Averaged across 4 years and two soil depths, the pore size distribution index (λ) and saturated water content (θs) were significantly larger under CT than under NT due to greater soil loosening and disturbance caused by multiple passes of the CT process, thereby developing more soil macroporosity. However, the θ330 and AW were significantly larger in NT than in CT due to reduced soil disturbance and improved soil structure under NT compared to CT practices. Regardless of tillage, measurements of SWRC are important for determining better irrigation management practices, enabling producers to optimize crop productivity, while saving water and sustaining water quality. Full article
Show Figures

Figure 1

15 pages, 6257 KB  
Article
CFD Simulation of Flow and Heat Transfer of V-Shaped Wavy Microchannels
by Shuzhen Mi, Mengting Chen, Tianyu Li and Lin Yang
Processes 2025, 13(9), 2865; https://doi.org/10.3390/pr13092865 - 8 Sep 2025
Viewed by 1068
Abstract
Due to its high heat transfer property, microchannel heat sink has been widely applied in thermal management, microelectronic cooling and energy conversion. To develop a microchannel heat sink featuring low pressure drop ΔP and a high heat transfer property, a V-shaped wavy [...] Read more.
Due to its high heat transfer property, microchannel heat sink has been widely applied in thermal management, microelectronic cooling and energy conversion. To develop a microchannel heat sink featuring low pressure drop ΔP and a high heat transfer property, a V-shaped wavy microchannel (VWM) is designed and CFD simulation is carried out. Subsequently, the influences of wave amplitude A, wave length λ and inlet velocity u on the Nusselt number Nuave, the Dean Vortexes and ΔP are studied. Furthermore, based on the performance evaluation criteria (PEC), the optimal parameters of A, λ and u are chosen. Next, the influence of microchannel number N is studied at the same pump power. Eventually, the optimal VWM heat sink is compared with the V-shaped straight microchannel (VSM) heat sink and the rectangular-shaped straight microchannel (RSM) heat sink. The results show that many Dean Vortexes periodically emerge in the V-shaped wavy microchannel, particularly at the wave peak and valley. These Dean Vortexes are capable of thinning the thermal boundary layer, which significantly strengthens heat transfer. As A and u increase while λ decreases, the area, number and severity of the Dean Vortexes increase, and thus both Nuave and ΔP also increase. In the present study, the PEC first increases and then decreases, reaching its maximum value when A = 0.3 mm, λ = 5 m and u = 1.0 m/s. At the same pump power, both the heat transfer area and the total Dean Vortex number increase with the increase in N, leading to a decrease in the thermal resistance R and the maximum temperature Tmax. Compared to the VSM and RSM heat sinks, the optimal VWM heat sink decreases Tmax by 29.93 K and 38.03 K, decreases R by 50.46% and 56.68%, increases have by 156.42% and 155.43% and increases PEC by 137% and 130.78%, respectively. Full article
Show Figures

Figure 1

17 pages, 2954 KB  
Article
Reliability and Failure Probability Analysis of Al-Mg-Si/Al2O3–SiC Composites Cast Under Different Mold Conditions Using Classical and Bayesian Weibull Models
by Mohammed Y. Abdellah, Fadhel T. Alabdullah, Fadhel Alshqaqeeq and Mohamed K. Hassan
Crystals 2025, 15(9), 791; https://doi.org/10.3390/cryst15090791 - 4 Sep 2025
Cited by 2 | Viewed by 815
Abstract
This study analyzes the compressive behavior and reliability of Al-Mg-Si (6061) metal matrix composites reinforced with different weight fractions of Al2O3 and SiC ceramics and cast with graphite and steel molds. Compression tests were carried out according to ASTM E9 [...] Read more.
This study analyzes the compressive behavior and reliability of Al-Mg-Si (6061) metal matrix composites reinforced with different weight fractions of Al2O3 and SiC ceramics and cast with graphite and steel molds. Compression tests were carried out according to ASTM E9 with 0–8 wt.% reinforcement. The mold material significantly influenced the strength due to the cooling rate and interfacial adhesion. A two-parameter Weibull model assessed statistical reliability and extracted the shape (β) and scale (η) parameters using linear regression. Advanced models—lifelines (frequentist) and Bayesian models—were also applied. Graphite molds yielded composites with higher shape parameters (β = 6.27 for Al2O3; 5.49 for SiC) than steel molds (β = 4.66 for Al2O3; 4.79 for SiC). The scale values ranged from 490–523 MPa. The lifelines showed similar trends, with the graphite molds exhibiting higher consistency and scale (ρ = 7.45–9.36, λ = 479.71–517.49 MPa). Bayesian modeling using PyMC provided posterior distributions that better captured the uncertainty. Graphite mold samples had higher shape parameters (α = 6.98 for Al2O3; 8.46 for SiC) and scale values of 489.07–530.64 MPa. Bayesian models provided wider reliability limits, especially for SiC steel. Both methods confirmed the Weibull behavior. Lifelines proved to be computationally efficient, while Bayesian analysis provided deeper insight into reliability and variability. Full article
(This article belongs to the Special Issue Microstructural Characterization and Property Analysis of Alloys)
Show Figures

Figure 1

22 pages, 585 KB  
Article
Fragmentation of a Trapped Multi-Species Bosonic Mixture
by Ofir E. Alon and Lorenz S. Cederbaum
Physics 2025, 7(3), 38; https://doi.org/10.3390/physics7030038 - 1 Sep 2025
Cited by 1 | Viewed by 1484
Abstract
We consider a multi-species mixture of interacting bosons, N1 bosons of mass m1, N2 bosons of mass m2, and N3 bosons of mass m3, in a harmonic trap with frequency ω. The corresponding [...] Read more.
We consider a multi-species mixture of interacting bosons, N1 bosons of mass m1, N2 bosons of mass m2, and N3 bosons of mass m3, in a harmonic trap with frequency ω. The corresponding intra-species interaction strengths are λ11, λ22, and λ33, and the inter-species interaction strengths are λ12, λ13, and λ23. When the shape of all interactions is harmonic, the system corresponds to the generic multi-species harmonic-interaction model, which is exactly solvable. We start by solving the many-particle Hamiltonian and concisely discussing the ground-state wavefunction and energy in explicit forms as functions of all parameters, the masses, numbers of particles, and the intra-species and inter-species interaction strengths. We then explicitly compute the reduced one-particle density matrices for all the species and diagonalize them, thus generalizing the treatment by the authors earlier. The respective eigenvalues determine the degree of fragmentation of each species. As an application, we focus on phenomena that do not arise in the corresponding single-species or two-species systems. For instance, we consider a mixture of two kinds of bosons in a bath made by a third kind, controlling the fragmentation of the former by coupling to the latter. Another example exploits the possibility of different connectivities (i.e., which species interacts with which species) in the mixture, and demonstrates how the fragmentation of species 3 can be manipulated by the interaction between species 1 and species 2, when species 3 and 1 do not interact with each other. We highlight the properties of fragmentation that only appear in the multi-species mixture. Further applications are briefly discussed. Full article
(This article belongs to the Special Issue Complexity in High Energy and Statistical Physics)
Show Figures

Figure 1

16 pages, 3727 KB  
Article
Thermal Conductivity Characteristics and Prediction Model of Silty Clay Based on Actively Heated Fiber-Optic FBG Method
by Shijun Hu, Honglei Sun, Miaojun Sun, Guochao Lou and Mengfen Shen
Sensors 2025, 25(17), 5393; https://doi.org/10.3390/s25175393 - 1 Sep 2025
Viewed by 3717
Abstract
Soil thermal conductivity (λ) is a critical parameter governing heat transfer in geothermal exploitation, nuclear waste disposal, and landfill engineering. This study explores the thermal conductivity characteristics of silty clay and develops a prediction model using the actively heated fiber-optic method [...] Read more.
Soil thermal conductivity (λ) is a critical parameter governing heat transfer in geothermal exploitation, nuclear waste disposal, and landfill engineering. This study explores the thermal conductivity characteristics of silty clay and develops a prediction model using the actively heated fiber-optic method based on fiber Bragg grating technology. Tests analyze the effects of particle content (silt and sand), dry density, moisture content, organic matter (sodium humate and potassium humate), and salt content on λ. Results show λ decreases with increasing silt, sand, and organic matter content, while it increases exponentially with dry density. The critical moisture content is 50%, beyond which λ declines, and λ first rises then falls with salt content exceeding 2%. Sensitivity analysis reveals dry density is the most influential factor, followed by sodium humate and silt content. A modified Johansen model, incorporating shape factors correlated with influencing variables, improves prediction accuracy. The root mean squared error decreases to 0.087, and coefficient of determination increases to 0.866. The study provides an accurate method for measuring thermal conductivity and enhances understanding of the heat-transfer mechanism in silty clay. Full article
(This article belongs to the Section Optical Sensors)
Show Figures

Figure 1

21 pages, 778 KB  
Article
Dynamical Systems Analysis of Timelike Geodesics in a Lorentz-Violating Black Hole Spacetime
by Aqeela Razzaq, Jianwen Liu and Fabao Gao
Universe 2025, 11(9), 283; https://doi.org/10.3390/universe11090283 - 23 Aug 2025
Viewed by 650
Abstract
This paper investigates the global dynamics of timelike geodesics of a spherically symmetric black hole under Lorentz-violating effects governed by parameters λ (scaling exponent) and Υ (Lorentz violation strength). By employing dynamical system techniques, including Poincaré compactification and blow-up methods, we systematically explore [...] Read more.
This paper investigates the global dynamics of timelike geodesics of a spherically symmetric black hole under Lorentz-violating effects governed by parameters λ (scaling exponent) and Υ (Lorentz violation strength). By employing dynamical system techniques, including Poincaré compactification and blow-up methods, we systematically explore finite and infinite equilibrium states of the system derived from a black hole solution with power-law corrections to the Schwarzschild metric. For varying λ (ranging from −2 to 2) and fixed Υ values, we classify the nature of equilibrium states (saddle, center, and node) and analyze their stability. Key findings reveal that the number of equilibrium states increases as λ decreases: two states for λ=2, three for λ=1, four for λ=2/3, and additional configurations for λ=2. The phase plane diagrams and global dynamics demonstrate distinct topological structures, including attractors at infinity and multi-horizon black hole solutions. Furthermore, degenerate equilibrium states at infinity are resolved through directional blow-ups, elucidating their non-hyperbolic behavior. This study highlights the critical role of Lorentz-violating parameters in shaping the stability and long-term evolution of timelike geodesics, offering new insights into modified black hole physics and spacetime dynamics. Full article
(This article belongs to the Section Cosmology)
Show Figures

Figure 1

17 pages, 3903 KB  
Article
Innovative Cross-Shaped SRC Column–RC Slab Connection: Experimental Investigation and Finite Element Analysis of Punching Shear Behavior
by Wei Zhang, Jianyang Xue, Jinjun Xu and Baoxin Li
Materials 2025, 18(13), 3159; https://doi.org/10.3390/ma18133159 - 3 Jul 2025
Cited by 1 | Viewed by 837
Abstract
Flat slab structures are extensively utilized in modern construction owing to their efficient load transfer mechanisms and optimized space utilization. Nevertheless, the persistent issue of brittle punching shear failure at connection zones continues to pose significant engineering challenges. This study proposes an innovative [...] Read more.
Flat slab structures are extensively utilized in modern construction owing to their efficient load transfer mechanisms and optimized space utilization. Nevertheless, the persistent issue of brittle punching shear failure at connection zones continues to pose significant engineering challenges. This study proposes an innovative cross-shaped steel-reinforced concrete (SRC) column–slab connection. Through combining test and numerical analyses, the failure mechanisms and performance control principles are systematically analyzed. A refined finite element model incorporating material nonlinearity, geometric characteristics, and interface effects is developed, demonstrating less than 3% error upon test validation. Using the validated model, the influence of key parameters—including concrete strength (C30–C60), reinforcement ratio (ρ = 0.65–1.77%), shear span–depth ratio (λ = 3–6), and limb height-to-thickness ratio (c1/c2 = 2–4)—on the punching shear behavior is thoroughly investigated. The results demonstrate that increasing concrete strength synergistically improves both punching shear capacity (by up to 49%) and ductility (by 33%). A critical reinforcement ratio threshold (0.8–1.2%) is identified. When exceeding this range, the punching shear capacity increases by 12%, but reduces ductility by 34%. Additionally, adjusting the shear span–depth ratio enables controlled failure mode transitions and a 24% reduction in punching shear capacity, as well as a 133% increase in displacement capacity. These results offer theoretical support for the design and promotion of this novel structural system. Full article
Show Figures

Figure 1

20 pages, 4783 KB  
Article
Prediction of the Ultimate Impact Response of Concrete Strengthened with Polyurethane Grout as the Repair Material
by Sadi I. Haruna, Yasser E. Ibrahim and Sani I. Abba
Infrastructures 2025, 10(6), 128; https://doi.org/10.3390/infrastructures10060128 - 23 May 2025
Cited by 2 | Viewed by 980
Abstract
The monolithic composite action of structures relies on the interface bond strength between concrete and the repair material. This study uses explainable deep learning techniques to evaluate the ultimate strength capacity (Us) of U-shaped normal concrete (NC) strengthened with polyurethane grouting [...] Read more.
The monolithic composite action of structures relies on the interface bond strength between concrete and the repair material. This study uses explainable deep learning techniques to evaluate the ultimate strength capacity (Us) of U-shaped normal concrete (NC) strengthened with polyurethane grouting (PUG) materials. Machine learning algorithms (ML) such as Long Short-Term Memory (LSTM), Random Forest (RF), and Wide Neural Network (WNN) models were developed to estimate Us by considering five input parameters: the initial crack strength (Cs), thickness of the grouting materials (T), mid-span deflection (λ), and peak applied load (P). The results indicated that LSTM models, particularly LSTM-M2 and LSTM-M3, demonstrated superior predictive accuracy and consistency in both the calibration and verification phases, as evidenced by high Pearson’s correlation coefficients (PCC = 0.9156 for LSTM-M2) and Willmott indices (WI = 0.7713 for LSTM-M2), and low error metrics (MSE = 0.0017, RMSE = 0.0418). The SHAP (SHapley Additive exPlanations) analysis showed that the thickness of the grouting materials and maximum load were the most significant parameters affecting the ultimate capacity of the composite U-shaped specimen. The RF model showed moderate improvements, with RF-M3 performing better than RF-M1 and RF-M2. The WNN models displayed varied performance, with WNN-M2 performing poorly due to significant scatter and deviation. The findings highlight the potential of LSTM models for the accurate and reliable prediction of the ultimate strength of composite U-shaped specimens. Full article
Show Figures

Figure 1

19 pages, 5901 KB  
Article
Scaling Relations of Early-Type Galaxies in MOND
by Robin Eappen and Pavel Kroupa
Galaxies 2025, 13(2), 22; https://doi.org/10.3390/galaxies13020022 - 14 Mar 2025
Viewed by 2234
Abstract
We investigate the shape and morphology of early-type galaxies (ETGs) within the framework of Modified Newtonian Dynamics (MOND). Building on our previous studies, which demonstrated that the monolithic collapse of primordial gas clouds in MOND produces galaxies (noted throughout as ‘model relics’ in [...] Read more.
We investigate the shape and morphology of early-type galaxies (ETGs) within the framework of Modified Newtonian Dynamics (MOND). Building on our previous studies, which demonstrated that the monolithic collapse of primordial gas clouds in MOND produces galaxies (noted throughout as ‘model relics’ in the context of this work) with short star formation timescales and a downsizing effect as observationally found, we present new analyses on the resulting structural and morphological properties of these systems. Initially, the monolithically formed galaxies display disk-like structures. In this study, we further analyze the transformations that occur when these galaxies merge, observing that the resulting systems (noted throughout as ‘merged galaxies’ in the context of this work) take on elliptical-like shapes, with the (Vrot/Vσ)–ellipticity relations closely matching observational data across various projections. We extend this analysis by examining the isophotal shapes and rotational parameter (λR) of both individual relics and merged galaxies. The results indicate that ETGs may originate in pairs in dense environments, with mergers subsequently producing elliptical structures that align well with the observed kinematic and morphological characteristics. Finally, we compare both the model relics and merged galaxies with the fundamental plane and Kormendy relation of observed ETGs, finding close agreement. Together, these findings suggest that MOND provides a viable physical framework for the rapid formation and morphological evolution of ETGs. Full article
(This article belongs to the Special Issue Alternative Interpretations of Observed Galactic Behaviors)
Show Figures

Figure 1

19 pages, 12800 KB  
Article
Pareto Front Transformation in the Decision-Making Process for Spectral and Energy Efficiency Trade-Off in Massive MIMO Systems
by Eni Haxhiraj, Desar Shahu and Elson Agastra
Sensors 2025, 25(5), 1451; https://doi.org/10.3390/s25051451 - 27 Feb 2025
Cited by 2 | Viewed by 1649
Abstract
This paper presents a method of choosing a single solution in the Pareto Optimal Front of the multi-objective problem of the spectral and energy efficiency trade-off in Massive MIMO (Multiple Input, Multiple Output) systems. It proposes the transformation of the group of non-dominated [...] Read more.
This paper presents a method of choosing a single solution in the Pareto Optimal Front of the multi-objective problem of the spectral and energy efficiency trade-off in Massive MIMO (Multiple Input, Multiple Output) systems. It proposes the transformation of the group of non-dominated alternatives using the Box–Cox transformation with values of λ < 1 so that the graph with a complex shape is transformed into a concave graph. The Box–Cox transformation solves the selection bias shown by the decision-making algorithms in the non-concave part of the Pareto Front. After the transformation, four different MCDM (Multi-Criteria Decision-Making) algorithms were implemented and compared: SAW (Simple Additive Weighting), TOPSIS (Technique for Order of Preference by Similarity to Ideal Solution), PROMITHEE (Preference Ranking Organization Method for Enrichment Evaluations) and VIKOR (Vlse Kriterijumska Optimizacija Kompromisno Resenje). The simulations showed that the best value of the λ parameter is 0, and the MCDM algorithms which explore the Pareto Front completely for different values of weights of the objectives are VIKOR as well as SAW and TOPSIS when they include the Max–Min normalization technique. Full article
(This article belongs to the Special Issue Energy-Efficient Communication Networks and Systems: 2nd Edition)
Show Figures

Figure 1

Back to TopTop