Sign in to use this feature.

Years

Between: -

Subjects

remove_circle_outline
remove_circle_outline
remove_circle_outline
remove_circle_outline
remove_circle_outline
remove_circle_outline
remove_circle_outline
remove_circle_outline
remove_circle_outline

Journals

remove_circle_outline
remove_circle_outline
remove_circle_outline
remove_circle_outline
remove_circle_outline
remove_circle_outline
remove_circle_outline
remove_circle_outline
remove_circle_outline

Article Types

Countries / Regions

remove_circle_outline
remove_circle_outline
remove_circle_outline
remove_circle_outline

Search Results (354)

Search Parameters:
Keywords = shape anomaly

Order results
Result details
Results per page
Select all
Export citation of selected articles as:
20 pages, 2734 KB  
Article
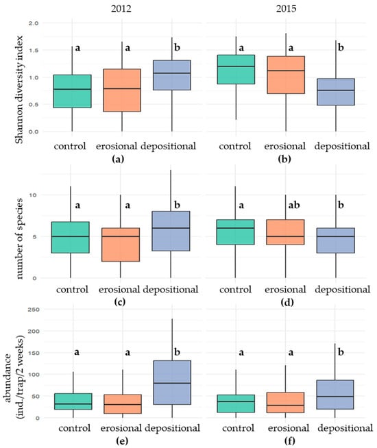
Soil Transport by Water Erosion Affects the Distribution of Ground-Dwelling Invertebrates in Chernozem Agricultural Landscapes
by Bořivoj Šarapatka, Lukáš Puch, Vojtěch Chmelík, Ondřej Machač, Karel Tajovský, Marek Bednář, Patrik Netopil and Ivan Hadrián Tuf
Agriculture 2026, 16(6), 676; https://doi.org/10.3390/agriculture16060676 - 17 Mar 2026
Abstract
Erosion in intensively farmed landscapes threatens above- and below-ground biodiversity. While impacts on soil physical and chemical properties (which affect soil inhabiting biota) are well documented, effects on ground-associated fauna (distribution, diversity, abundance) remain less understood. A likely very strong factor is the [...] Read more.
Erosion in intensively farmed landscapes threatens above- and below-ground biodiversity. While impacts on soil physical and chemical properties (which affect soil inhabiting biota) are well documented, effects on ground-associated fauna (distribution, diversity, abundance) remain less understood. A likely very strong factor is the direct transport of epigeon together with the eroded soil. We assessed how water-erosion processes shape communities of epigeic invertebrates along agricultural slopes in the Chernozem region of South Moravia (Czech Republic). Ground-dwelling invertebrates were sampled over five years (May–September) in conventionally managed maize fields using pitfall traps across 18 sloping fields. Three slope positions were compared per field (control, erosional, depositional; 54 positions in total). Community patterns were evaluated using Canonical Correspondence Analysis with covariates (month, year, slope position, site), and species responses to key drivers were analysed using Generalised Additive Models. Across the full dataset, Shannon diversity and species richness did not differ significantly among slope positions; however, total invertebrate abundance was significantly lower in erosional parts. Interannual variation was pronounced and linked to precipitation: wet conditions increased diversity and richness at depositional positions, whereas dry conditions reduced diversity downslope. Ordination and GAM results identified erosion intensity and relative precipitation/temperature anomalies as important predictors, with most dominant species showing higher abundances under low to moderate erosion. These findings indicate that epigeic invertebrate communities along slopes can serve as indicators of erosion force. Full article
Show Figures

Figure 1

25 pages, 4545 KB  
Article
Symmetry-Guided Analysis of Market Characteristics and Electricity Prices Anomaly: A Comparative Framework of Influencing Factors
by Siting Dai, Wenyang Deng and Mengke Zhang
Symmetry 2026, 18(2), 390; https://doi.org/10.3390/sym18020390 - 23 Feb 2026
Viewed by 198
Abstract
Electricity spot prices jointly encode network physics and strategic bidding outcomes. In a well-functioning market, nodal and temporal price patterns tend to remain approximately invariant under mild perturbations-exhibiting symmetry-preserving regularities in distribution shape, spatial gradients, and temporal variation. Conversely, congestion binding, net-load stress, [...] Read more.
Electricity spot prices jointly encode network physics and strategic bidding outcomes. In a well-functioning market, nodal and temporal price patterns tend to remain approximately invariant under mild perturbations-exhibiting symmetry-preserving regularities in distribution shape, spatial gradients, and temporal variation. Conversely, congestion binding, net-load stress, and abnormal bidding can induce symmetry breaking, manifested as heavy tails, mean shifts, and localized price discontinuities. This study develops a symmetry-guided and explainable diagnostic framework to identify price anomalies and attribute their dominant drivers. First, representative anomaly types (spike and mean shift) are defined using statistically and operationally motivated criteria, together with robustness checks across alternative thresholds. Second, principal component analysis is applied to construct compact, anomaly-specific feature sets, filtering weakly related variables while retaining system stress, congestion proxies, and renewable-induced variability indicators. Third, leveraging the optimization structure of market clearing and the associated KKT conditions, we characterize the price–feature linkage as a piecewise mapping and quantify each feature’s contribution via a sampling-based influence scoring procedure, yielding a ranked causal attribution. Case studies on a regional day-ahead spot market dataset demonstrate that the proposed framework achieves high consistency with expert assessments, with traceability accuracy exceeding 85% overall and particularly strong performance for spike-type anomalies. The method reduces reliance on purely manual diagnosis and black-box learning, and provides symmetry-oriented, actionable evidence for market surveillance and renewable-friendly flexibility and congestion management design. The proposed framework enables transparent identification of dominant structural drivers underlying different types of electricity price anomalies, linking observed price signals to market-clearing mechanisms. The results provide actionable diagnostic insights for market monitoring and regulatory assessment in electricity markets with high renewable penetration. Full article
Show Figures

Figure 1

21 pages, 2363 KB  
Article
Temperature Anomaly and Residential Mobility: Spatial Patterns, Tipping Points, and Implications for Sustainable Adaptation
by Yanmei Li and Diana Mitsova
Sustainability 2026, 18(4), 2040; https://doi.org/10.3390/su18042040 - 17 Feb 2026
Viewed by 254
Abstract
Few studies examine how slow-onset climate change interacts with local structural conditions to shape internal migration and long-term community sustainability. Using 2021 county-to-county migration data for the contiguous United States, this study analyzes spatial variation in in-migration, out-migration, and net migration rates in [...] Read more.
Few studies examine how slow-onset climate change interacts with local structural conditions to shape internal migration and long-term community sustainability. Using 2021 county-to-county migration data for the contiguous United States, this study analyzes spatial variation in in-migration, out-migration, and net migration rates in relation to temperature anomalies and place-based socioeconomic characteristics. Spatial regression results reveal no uniform relationship between recent temperature anomalies and migration outcomes. Instead, migration patterns are more strongly associated with urban status, housing market conditions, population composition, and long-run average climate. In some counties, higher temperature anomalies are associated with reduced out-migration, suggesting constrained mobility where economic and housing conditions limit relocation options. By contrast, extreme anomalies and greater environmental vulnerability are linked to lower in-migration, indicating diminished destination attractiveness. Overall, the findings suggest that internal migration responses to climate stress are mediated by local structural conditions rather than driven by temperature change alone, underscoring the importance of equitable adaption policies and place-based resilience strategies for sustainable regional development. Full article
Show Figures

Figure 1

27 pages, 4075 KB  
Article
Outlier Detection in Functional Data Using Adjusted Outlyingness
by Zhenghui Feng, Xiaodan Hong, Yingxing Li, Xiaofei Song and Ketao Zhang
Entropy 2026, 28(2), 233; https://doi.org/10.3390/e28020233 - 16 Feb 2026
Viewed by 362
Abstract
In signal processing and information analysis, the detection and identification of anomalies present in signals constitute a critical research focus. Accurately discerning these deviations using probabilistic, statistical, and information-theoretic methods is essential for ensuring data integrity and supporting reliable downstream analysis. Outlier detection [...] Read more.
In signal processing and information analysis, the detection and identification of anomalies present in signals constitute a critical research focus. Accurately discerning these deviations using probabilistic, statistical, and information-theoretic methods is essential for ensuring data integrity and supporting reliable downstream analysis. Outlier detection in functional data aims to identify curves or trajectories that deviate significantly from the dominant pattern—a process vital for data cleaning and the discovery of anomalous events. This task is challenging due to the intrinsic infinite dimensionality of functional data, where outliers often appear as subtle shape deformations that are difficult to detect. Moving beyond conventional approaches that discretize curves into multivariate vectors, we introduce a novel framework that projects functional data into a low-dimensional space of meaningful features. This is achieved via a tailored weighting scheme designed to preserve essential curve variations. We then incorporate the Mahalanobis distance to detect directional outlyingness under non-Gaussian assumptions through a robustified bootstrap resampling method with data-driven threshold determination. Simulation studies validated its superior performance, demonstrating higher true positive and lower false positive rates across diverse anomaly types, including magnitude, shape-isolated, shape-persistent, and mixed outliers. The practical utility of our approach was further confirmed through applications in environmental monitoring using seawater spectral data, character trajectory analysis, and population data underscoring its cross-domain versatility. Full article
(This article belongs to the Section Information Theory, Probability and Statistics)
Show Figures

Figure 1

36 pages, 20632 KB  
Article
Holocene Environmental Changes and Their Drivers in a Mid-Latitude Desert Plateau (Alashan, China) of the Northern Hemisphere
by Chen Sun and Bing-Qi Zhu
Atmosphere 2026, 17(2), 210; https://doi.org/10.3390/atmos17020210 - 15 Feb 2026
Viewed by 592
Abstract
Understanding the Holocene environmental history of desert landscapes in northern China contributes to elucidating the mechanisms driving desertification in the mid-latitudes of the Northern Hemisphere (NH). Based on a systematic and comparative analysis on integrated paleoclimatic data from both China and the international [...] Read more.
Understanding the Holocene environmental history of desert landscapes in northern China contributes to elucidating the mechanisms driving desertification in the mid-latitudes of the Northern Hemisphere (NH). Based on a systematic and comparative analysis on integrated paleoclimatic data from both China and the international community, this paper reviews the environmental evolution history of the Alashan Plateau since the Holocene, drawing upon sedimentary and proxy records from three major sandy deserts on the plateau—the Badanjilin, Tenggeli, Wulanbuhe Deserts. The results indicate that the Alashan Plateau experienced generally humid conditions during the early and middle Holocene, characterized by the development of high-level lakes; in contrast, the late Holocene was marked by aridity and intensified aeolian activity. For the three deserts on the plateau, the environmental evolution of the Tenggeli Desert during the early Holocene diverges from that of the other two. Meanwhile, the mid-Holocene drought event in the Badanjilin Deserts remains debated, centering on whether its spatial scale was local or regional across the plateau. The driving mechanism of environmental evolution in the study area can be fundamentally understood through the atmospheric and oceanic circulation systems, combined with solar insolation in the middle latitudes of NH. This interplay is comprehensively reflected by the interactions between the westerlies and the East Asian summer monsoon (EASM) across different periods. Responses of the Alashan Plateau’s climate to global change involve the combined effects of multiple factors, including the Westerlies, the EASM, the Atlantic-Pacific-Ocean (APO) circulation anomalies, the ‘third polar’ environmental effect of the Qinghai–Tibet Plateau, and the hydrological influence of the Yellow River, etc. The Holocene environmental evolution history of the study area was primarily shaped by climate patterns characterized by cold-dry and cold–wet (or temperate-moist) regimes. Understanding these patterns may provide insights for forecasting future climate trends in the Alashan Plateau under current global warming. Full article
(This article belongs to the Special Issue Weather and Climate Extremes: Past, Current and Future)
Show Figures

Figure 1

23 pages, 3517 KB  
Article
Finite-Size Thermodynamics of the Two-Dimensional Dipolar Q-Clock Model
by Michel Aguilera, Francisco J. Peña, Eugenio E. Vogel and Patricio Vargas
Entropy 2026, 28(2), 181; https://doi.org/10.3390/e28020181 - 5 Feb 2026
Viewed by 319
Abstract
We present a fully controlled thermodynamic study of the two-dimensional dipolar Q-state clock model on small square lattices with free boundaries, combining exhaustive state enumeration with noise-free evaluation of canonical observables. We resolve the complete energy spectra and degeneracies [...] Read more.
We present a fully controlled thermodynamic study of the two-dimensional dipolar Q-state clock model on small square lattices with free boundaries, combining exhaustive state enumeration with noise-free evaluation of canonical observables. We resolve the complete energy spectra and degeneracies {En,cn} for the Ising case (Q=2) on lattices of size L=3,4,5, and for clock symmetries Q=4,6,8 on a 3×3 lattice, tracking how the competition between exchange and long-range dipolar interactions reorganizes the low-energy manifold as the ratio α=D/J is varied. Beyond a finite-size characterization, we identify several qualitatively new thermodynamic signatures induced solely by dipolar anisotropy. First, we demonstrate that ground-state level crossings generated by long-range interactions appear as exact zeros of the specific heat in the limit C(T0,α), establishing an unambiguous correspondence between microscopic spectral rearrangements and macroscopic caloric response. Second, we show that the shape of the associated Schottky-like anomalies encodes detailed information about the degeneracy structure of the competing low-energy states: odd lattices (L=3,5) display strongly asymmetric peaks due to unbalanced multiplicities, whereas the even lattice (L=4) exhibits three critical values of α accompanied by nearly symmetric anomalies, reflecting paired degeneracies and revealing lattice parity as a key organizing principle. Third, we uncover a symmetry-driven crossover with increasing Q: while the Q=2 and Q=4 models retain sharp dipolar-induced critical points and pronounced low-temperature structure, for Q6, the energy landscape becomes sufficiently smooth to suppress ground-state crossings altogether, yielding purely thermal specific-heat maxima. Altogether, our results provide a unified, size- and symmetry-resolved picture of how long-range anisotropy, lattice parity, and discrete rotational symmetry shape the thermodynamics of mesoscopic magnetic systems. We show that dipolar interactions alone are sufficient to generate nontrivial critical-like caloric behavior in clusters as small as 3×3, establishing exact finite-size benchmarks directly relevant for van der Waals nanomagnets, artificial spin-ice arrays, and dipolar-coupled nanomagnetic structures. Full article
(This article belongs to the Section Thermodynamics)
Show Figures

Figure 1

22 pages, 7617 KB  
Article
DAS-YOLO: Adaptive Structure–Semantic Symmetry Calibration Network for PCB Defect Detection
by Weipan Wang, Wengang Jiang, Lihua Zhang, Siqing Chen and Qian Zhang
Symmetry 2026, 18(2), 222; https://doi.org/10.3390/sym18020222 - 25 Jan 2026
Viewed by 465
Abstract
Industrial-grade printed circuit boards (PCBs) exhibit high structural order and inherent geometric symmetry, where minute surface defects essentially constitute symmetry-breaking anomalies that disrupt topological integrity. Detecting these anomalies is quite challenging due to issues like scale variation and low contrast. Therefore, this paper [...] Read more.
Industrial-grade printed circuit boards (PCBs) exhibit high structural order and inherent geometric symmetry, where minute surface defects essentially constitute symmetry-breaking anomalies that disrupt topological integrity. Detecting these anomalies is quite challenging due to issues like scale variation and low contrast. Therefore, this paper proposes a symmetry-aware object detection framework, DAS-YOLO, based on an improved YOLOv11. The U-shaped adaptive feature extraction module (Def-UAD) reconstructs the C3K2 unit, overcoming the geometric limitations of standard convolutions through a deformation adaptation mechanism. This significantly enhances feature extraction capabilities for irregular defect topologies. A semantic-aware module (SADRM) is introduced at the backbone and neck regions. The lightweight and efficient ESSAttn improves the distinguishability of small or weak targets. At the same time, to address information asymmetry between deep and shallow features, an iterative attention feature fusion module (IAFF) is designed. By dynamically weighting and calibrating feature biases, it achieves structured coordination and balanced multi-scale representation. To evaluate the validity of the proposed method, we carried out comprehensive experiments using publicly accessible datasets focused on PCB defects. The results show that the Recall, mAP@50, and mAP@50-95 of DAS-YOLO reached 82.60%, 89.50%, and 46.60%, respectively, which are 3.7%, 1.8%, and 2.9% higher than those of the baseline model, YOLOv11n. Comparisons with mainstream detectors such as GD-YOLO and SRN further demonstrate a significant advantage in detection accuracy. These results confirm that the proposed framework offers a solution that strikes a balance between accuracy and practicality in addressing the key challenges in PCB surface defect detection. Full article
(This article belongs to the Section Computer)
Show Figures

Figure 1

44 pages, 16501 KB  
Article
Morphotectonic Analysis of Upper Guajira Region, Colombia Using Multi-Resolution DEMs, Landsat-8, and WGM-12 Data
by Juan David Solano-Acosta, Jillian Pearse and Ana Ibis Despaigne-Diaz
Geosciences 2026, 16(1), 52; https://doi.org/10.3390/geosciences16010052 - 22 Jan 2026
Viewed by 749
Abstract
This study utilizes Digital Elevation Models (DEMs) with different spatial resolutions (SRTM 90 m, ASTER DEM 30 m, and ALOS PALSAR 12.5 m), Landsat-8 satellite imagery, and the Bouguer WGM-12 gravity model to analyze morphotectonic features in the Upper Guajira region of Colombia, [...] Read more.
This study utilizes Digital Elevation Models (DEMs) with different spatial resolutions (SRTM 90 m, ASTER DEM 30 m, and ALOS PALSAR 12.5 m), Landsat-8 satellite imagery, and the Bouguer WGM-12 gravity model to analyze morphotectonic features in the Upper Guajira region of Colombia, a desert area in northern South America, area that is composed by low-relief serranías of Cabo de la Vela, Carpintero, Cosinas, Simarua, Jarara, and Macuira. Three DEMs were used to extract and map morphotectonic lineaments, drainage networks, and morphological features. Lineaments were characterised by azimuth frequency, length, density, lithological distributions, and geological timeframes, with support from a digitized geological map from the Colombian Geological Service (SGC). The analysis of the east–west (E-W) Cuisa fault, using the Riedel shear model, suggests a transtensional/transpressional tectonic regime influenced by the Caribbean and South American plates, characterised by NE-SW and E-W fault orientations. Lineaments were grouped into five geochronological categories based on the geological map, revealing a shift from NE-SW to E-W orientations from the Cretaceous period onward, reflecting the ongoing movement of the Caribbean plate. Folds and faults from this tectonic activity were enhanced using Landsat-8 band combinations. The WGM-12 model was separated into regional and residual signals, with the latter highlighting the serranías subregions. Residual gravity analysis revealed significant negative anomalies, suggesting lower-density lithologies surrounded by higher-density blocks. This pattern aligns with the regional geological framework and may reflect a crustal root or terrain dragging linked to the tectonic processes that shaped the serranías. Derivative residual gravity data also revealed lineaments oriented NE–SW, whose distribution extends beyond the morphometric boundaries of the subregions. The study found a strong correlation between structural and drainage patterns, demonstrating structural control over geomorphology. This study establishes a solid morphotectonic and geophysical framework for the Upper Guajira region, demonstrating how multi-resolution DEM analysis combined with gravity data can resolve regional deformation patterns, crustal architecture, and tectonic development along the Caribbean–South American plate boundary. Full article
(This article belongs to the Section Structural Geology and Tectonics)
Show Figures

Figure 1

27 pages, 5415 KB  
Article
Deep Learning-Based 3D Reconstruction for Defect Detection in Shipbuilding Sub-Assemblies
by Paula Arcano-Bea, Agustín García-Fischer, Pedro-Pablo Gómez-González, Francisco Zayas-Gato, José Luis Calvo-Rolle and Héctor Quintián
Sensors 2026, 26(2), 660; https://doi.org/10.3390/s26020660 - 19 Jan 2026
Viewed by 472
Abstract
Overshooting defects in shipbuilding subassemblies are essential to ensure the final product’s overall integrity and safety. In this work, we focus on the automatic detection of overshooting defects in simple and T-shaped sub-assemblies by employing reconstruction-based unsupervised learning on 3D point clouds. To [...] Read more.
Overshooting defects in shipbuilding subassemblies are essential to ensure the final product’s overall integrity and safety. In this work, we focus on the automatic detection of overshooting defects in simple and T-shaped sub-assemblies by employing reconstruction-based unsupervised learning on 3D point clouds. To this purpose, we implemented and compared four state-of-the-art architectures, including a Variational Autoencoder (VAE), FoldingNet, a Dynamic Graph CNN (DGCNN) autoencoder, and a PointNet++ autoencoder. These architectures were trained exclusively on defect-free samples, anticipating the possibility of overshooting defects occurring in different locations and with varying geometric patterns that are difficult to characterize explicitly in advance. Those defects are then identified by applying an Isolation Forest to the reconstruction error features, enabling fully unsupervised anomaly detection and allowing us to study how the detection performance changes with the contamination parameter. The results show that reconstruction-based anomaly detection on point clouds is a viable strategy for identifying defects in an industrial environment and the importance of choosing architectures that balance detection performance, stability across different geometries, and computational cost. Full article
(This article belongs to the Special Issue Feature Papers in Fault Diagnosis & Sensors 2025)
Show Figures

Figure 1

18 pages, 399 KB  
Article
Enhancing Cybersecurity Monitoring in Battery Energy Storage Systems with Graph Neural Networks
by Danilo Greco and Giovanni Battista Gaggero
Energies 2026, 19(2), 479; https://doi.org/10.3390/en19020479 - 18 Jan 2026
Viewed by 313
Abstract
Battery energy storage systems (BESSs) play a vital role in contemporary smart grids, but their increasing digitalisation exposes them to sophisticated cyberattacks. Existing anomaly detection approaches typically treat sensor measurements as flat feature vectors, overlooking the intrinsic relational structure of cyber–physical systems. This [...] Read more.
Battery energy storage systems (BESSs) play a vital role in contemporary smart grids, but their increasing digitalisation exposes them to sophisticated cyberattacks. Existing anomaly detection approaches typically treat sensor measurements as flat feature vectors, overlooking the intrinsic relational structure of cyber–physical systems. This work introduces an enhanced Graph Neural Network (GNN) autoencoder for unsupervised BESS anomaly detection that integrates multiscale graph construction, multi-head graph attention, manifold regularisation via latent compactness and graph smoothness, contrastive embedding shaping, and an ensemble anomaly scoring mechanism. A comprehensive evaluation across seven BESS and firmware cyberattack datasets demonstrates that the proposed method achieves near-perfect Receiver Operating Characteristic (ROC) and Precision–Recall Area Under the Curve (PR AUC) (up to 1.00 on several datasets), outperforming classical one-class models such as Isolation Forest, One-Class Support Vector Machine (One-Class SVM), and Local Outlier Factor on the most challenging scenarios. These results illustrate the strong potential of graph-informed representation learning for cybersecurity monitoring in distributed energy resource infrastructures. Full article
(This article belongs to the Section A1: Smart Grids and Microgrids)
Show Figures

Figure 1

22 pages, 2157 KB  
Article
Nonextensive Statistics in Nanoscopic Quantum Dots
by John A. Gil-Corrales, Alvaro L. Morales and Carlos A. Duque
Nanomaterials 2026, 16(2), 94; https://doi.org/10.3390/nano16020094 - 12 Jan 2026
Cited by 1 | Viewed by 381
Abstract
Nanoscopic quantum dots exhibit discrete energy spectra and size- and shape-dependent thermal properties that cannot always be adequately described within the conventional Boltzmann–Gibbs statistical framework. In systems with strong confinement, finite size, and reduced symmetry, deviations from extensivity may emerge, affecting the occupation [...] Read more.
Nanoscopic quantum dots exhibit discrete energy spectra and size- and shape-dependent thermal properties that cannot always be adequately described within the conventional Boltzmann–Gibbs statistical framework. In systems with strong confinement, finite size, and reduced symmetry, deviations from extensivity may emerge, affecting the occupation of energy levels and the resulting thermodynamic response. In this context, this work elucidates how GaAs quantum dot geometry, external electric fields, and nonextensive statistical effects jointly influence the thermal response of quantum dots with different geometries—cubic, cylindrical, ellipsoidal, and pyramidal. These energy levels are calculated by solving the Schrödinger equation under the effective mass approximation, employing the finite element method for numerical computation. These energy levels are then incorporated into an iterative numerical procedure to calculate the specific heat for different values of the nonextensivity parameter, thereby enabling exploration of both extensive (Boltzmann–Gibbs) and nonextensive regimes. The results demonstrate that the shape of the quantum dots strongly influences the energy spectrum and, consequently, the thermal properties, producing distinctive features such as Schottky-type anomalies and geometry-dependent shifts under an external electric field. In subextensive regimes, a discrete behavior in the specific heat emerges due to natural cutoffs in the accessible energy states. In contrast, in superextensive regimes, a smooth, saturation-like behavior is observed. These findings highlight the importance of geometry, external-field effects, and nonextensive statistics as complementary tools for tailoring the energy distribution and thermal response in nanoscopic quantum systems. Full article
(This article belongs to the Section Theory and Simulation of Nanostructures)
Show Figures

Graphical abstract

21 pages, 12613 KB  
Article
The Evolution and Impact of Glacier and Ice-Rock Avalanches in the Tibetan Plateau with Sentinel-2 Time-Series Images
by Duo Chu, Linshan Liu and Zhaofeng Wang
GeoHazards 2026, 7(1), 10; https://doi.org/10.3390/geohazards7010010 - 9 Jan 2026
Viewed by 742
Abstract
Catastrophic mass flows originating from the high mountain cryosphere often cause cascading hazards. With increasing human activities in the alpine region and the sensitivity of the cryosphere to climate warming, cryospheric hazards are becoming more frequent in the mountain regions. Monitoring the evolution [...] Read more.
Catastrophic mass flows originating from the high mountain cryosphere often cause cascading hazards. With increasing human activities in the alpine region and the sensitivity of the cryosphere to climate warming, cryospheric hazards are becoming more frequent in the mountain regions. Monitoring the evolution and impact of the glaciers and ice-rock avalanches and hazard consequences in the mountain regions is crucial to understand nature and drivers of mass flow process in order to prevent and mitigate potential hazard risks. In this study, the glacier and ice-rock avalanches that occurred in the Tibetan Plateau (TP) were investigated based on the Sentinel-2 satellite data and in situ observations, and the main driving forces and impacts on the regional environment, landscape, and geomorphological conditions were also analyzed. The results showed that the avalanche deposit of Arutso glacier No. 53 completely melted away in 2 years, while the deposit of Arutso glacier No. 50 melted in 7 years. Four large-scale ice-rock avalanches in the Sedongpu basin not only had significant impacts on the river flow, landscape, and geomorphologic shape in the basin, but also caused serious disasters in the region and beyond. These glacier and ice-rock avalanches were caused by temperature anomaly, heavy precipitation, climate warming, and seismic activity, etc., which act on the specific glacier properties in the high mountain regions. The study highlights scientific advances should support and benefit the remote and vulnerable mountain communities to make mountain regions safer. Full article
Show Figures

Figure 1

40 pages, 12777 KB  
Systematic Review
A Systematic Review of Diffusion Models for Medical Image-Based Diagnosis: Methods, Taxonomies, Clinical Integration, Explainability, and Future Directions
by Mohammad Azad, Nur Mohammad Fahad, Mohaimenul Azam Khan Raiaan, Tanvir Rahman Anik, Md Faraz Kabir Khan, Habib Mahamadou Kélé Toyé and Ghulam Muhammad
Diagnostics 2026, 16(2), 211; https://doi.org/10.3390/diagnostics16020211 - 9 Jan 2026
Viewed by 1120
Abstract
Background and Objectives: Diffusion models, as a recent advancement in generative modeling, have become central to high-resolution image synthesis and reconstruction. Their rapid progress has notably shaped computer vision and health informatics, particularly by enhancing medical imaging and diagnostic workflows. However, despite these [...] Read more.
Background and Objectives: Diffusion models, as a recent advancement in generative modeling, have become central to high-resolution image synthesis and reconstruction. Their rapid progress has notably shaped computer vision and health informatics, particularly by enhancing medical imaging and diagnostic workflows. However, despite these developments, researchers continue to face challenges due to the absence of a structured and comprehensive discussion on the use of diffusion models within clinical imaging. Methods: This systematic review investigates the application of diffusion models in medical imaging for diagnostic purposes. It provides an integrated overview of their underlying principles, major application areas, and existing research limitations. The review followed the Preferred Reporting Items for Systematic Reviews and Meta-Analyses (PRISMA) 2020 guidelines and included peer-reviewed studies published between 2013 and 2024. Studies were eligible if they employed diffusion models for diagnostic tasks in medical imaging; non-medical studies and those not involving diffusion-based methods were excluded. Searches were conducted across major scientific databases prior to the review. Risk of bias was assessed based on methodological rigor and reporting quality. Given the heterogeneity of study designs, a narrative synthesis approach was used. Results: A total of 68 studies met the inclusion criteria, spanning multiple imaging modalities and falling into eight major application categories: anomaly detection, classification, denoising, generation, reconstruction, segmentation, super-resolution, and image-to-image translation. Explainable AI components were present in 22.06% of the studies, clinician engagement in 57.35%, and real-time implementation in 10.30%. Overall, the findings highlight the strong diagnostic potential of diffusion models but also emphasize the variability in reporting standards, methodological inconsistencies, and the limited validation in real-world clinical settings. Conclusions: Diffusion models offer significant promise for diagnostic imaging, yet their reliable clinical deployment requires advances in explainability, clinician integration, and real-time performance. This review identifies twelve key research directions that can guide future developments and support the translation of diffusion-based approaches into routine medical practice. Full article
Show Figures

Figure 1

16 pages, 3165 KB  
Article
Combining GPR and VES Techniques for Detecting Shallow Urban Cavities in Quaternary Deposits: Case Studies from Sefrou and Bhalil, Morocco
by Oussama Jabrane, Ilias Obda, Driss El Azzab, Pedro Martínez-Pagán, Mohammed Jalal Tazi and Mimoun Chourak
Quaternary 2026, 9(1), 4; https://doi.org/10.3390/quat9010004 - 6 Jan 2026
Viewed by 593
Abstract
The detection of underground cavities and dissolution features is a critical component in assessing geohazards within karst terrains, particularly where natural processes interact with long-term human occupation. This study investigates two contrasting sites in the Sefrou region of northern Morocco: Binna, a rural [...] Read more.
The detection of underground cavities and dissolution features is a critical component in assessing geohazards within karst terrains, particularly where natural processes interact with long-term human occupation. This study investigates two contrasting sites in the Sefrou region of northern Morocco: Binna, a rural travertine-dolomite system shaped by Quaternary karstification, and the urban Old Medina of Bhalil, where traditional cave dwellings are carved into carbonate formations. A combined geophysical and geological approach was applied to characterize subsurface heterogeneities and assess the extent of near-surface void development. Vertical electrical soundings (VES) at Binna site delineated high-resistivity anomalies consistent with air-filled cavities, dissolution conduits, and brecciated limestone horizons, all indicative of an active karst system. In the Bhalil old Medina site, ground-penetrating radar (GPR) with low-frequency antennas revealed strong reflection contrasts and localized signal attenuation zones corresponding to shallow natural cavities and potential anthropogenic excavations beneath densely constructed areas. Geological observations, including lithostratigraphic logging and structural cross-sections, provided additional constraints on cavity geometry, depth, and spatial distribution. The integrated results highlight a high degree of subsurface karstification across both sites and underscore the associated geotechnical risks for infrastructure, cultural heritage, and land-use stability. This work demonstrates the value of combining electrical and radar methods with geological analysis for mapping hazardous subsurface voids in cavity-prone Quaternary landscapes, offering essential insights for risk mitigation and sustainable urban and rural planning. Full article
(This article belongs to the Special Issue Environmental Changes and Their Significance for Sustainability)
Show Figures

Figure 1

19 pages, 20423 KB  
Article
Spherical Gravity Inversion Reveals Crustal Structure and Microplate Tectonics in the Caribbean Sea
by Feiyu Zhao, Chunrong Zhan, Junling Pei, Yumin Chen, Mengxue Dai, Bin Hu, Lifu Hou, Zixi Ning and Rongrong Xu
J. Mar. Sci. Eng. 2026, 14(1), 109; https://doi.org/10.3390/jmse14010109 - 5 Jan 2026
Viewed by 553
Abstract
As a convergent zone of multiple plates, the Caribbean Sea and its adjacent areas have experienced a complex tectonic evolution process and are characterized by prominent microplate development. This region provides a natural laboratory for studying the formation mechanism of continental margins, the [...] Read more.
As a convergent zone of multiple plates, the Caribbean Sea and its adjacent areas have experienced a complex tectonic evolution process and are characterized by prominent microplate development. This region provides a natural laboratory for studying the formation mechanism of continental margins, the evolution process of ocean basins, and the tectonics of microplates. However, the crustal structure and microplate tectonics in this region remain unclear due to limitations of conventional planar gravity inversion methods, which neglect the Earth’s curvature in large-scale areas, as well as the uneven coverage of regional seismic networks. To precisely delineate the crustal structure and microplate boundaries in the Caribbean Sea region, this study employs a nonlinear gravity inversion method based on a spherical coordinate system. By utilizing GOCO06s satellite gravity data, ETOPO1 topographic data, and the CRUST1.0 crustal model, we performed inversion calculations for the Moho depth in the Caribbean Sea and its adjacent regions and systematically analyzed the crustal structure and microplate tectonic characteristics of the region. The results indicate that the gravity inversion method in the spherical coordinate system has good applicability in complex tectonic regions. The inversion results show that the Moho depth in the study area generally presents a spatial distribution pattern of “shallow in the central part and deep in the surrounding areas”. Among them, the Moho depth is the largest (>39 km) at the junction of the Northern Andes and the South American Plate, while it is relatively shallow (<6 km) in regions such as the Cayman Trough, the Colombian Basin, and the Venezuelan Basin. Based on the Moho undulation, gravity anomalies, and topographic features, this study divides the Caribbean Sea and its adjacent areas into 22 microplates and identifies three types of microplates, including oceanic, continental, and accretionary. Among them, there are 10 microplates with oceanic crust, 6 with continental crust, and 5 with accretionary crust, while the Northern Andes Microplate exhibits a mixed type. The crustal structure characteristics revealed in this study support the Pacific origin model of the Caribbean Plate, indicating that most of the plate is a component of the ancient Pacific Plate with standard oceanic crust properties. Locally, the Caribbean Large Igneous Province developed due to hotspot activity, and the subsequent eastward drift and tectonic wedging processes collectively shaped the complex modern microplate tectonic framework of this region. This study not only reveals the variation pattern of crustal thickness in the Caribbean Sea region but also provides new geophysical evidence for understanding the lithospheric structure and microplate evolution mechanism in the area. Full article
(This article belongs to the Special Issue Advances in Ocean Plate Motion and Seismic Research)
Show Figures

Figure 1

Back to TopTop