Soil Transport by Water Erosion Affects the Distribution of Ground-Dwelling Invertebrates in Chernozem Agricultural Landscapes
Abstract
1. Introduction
2. Materials and Methods
2.1. Study Sites
2.2. Sampling Design and Slope Positions
2.3. Invertebrate Sampling and Identification
2.4. Environmental Variables for Studied Fields
2.5. Data Processing and Statistics
3. Results
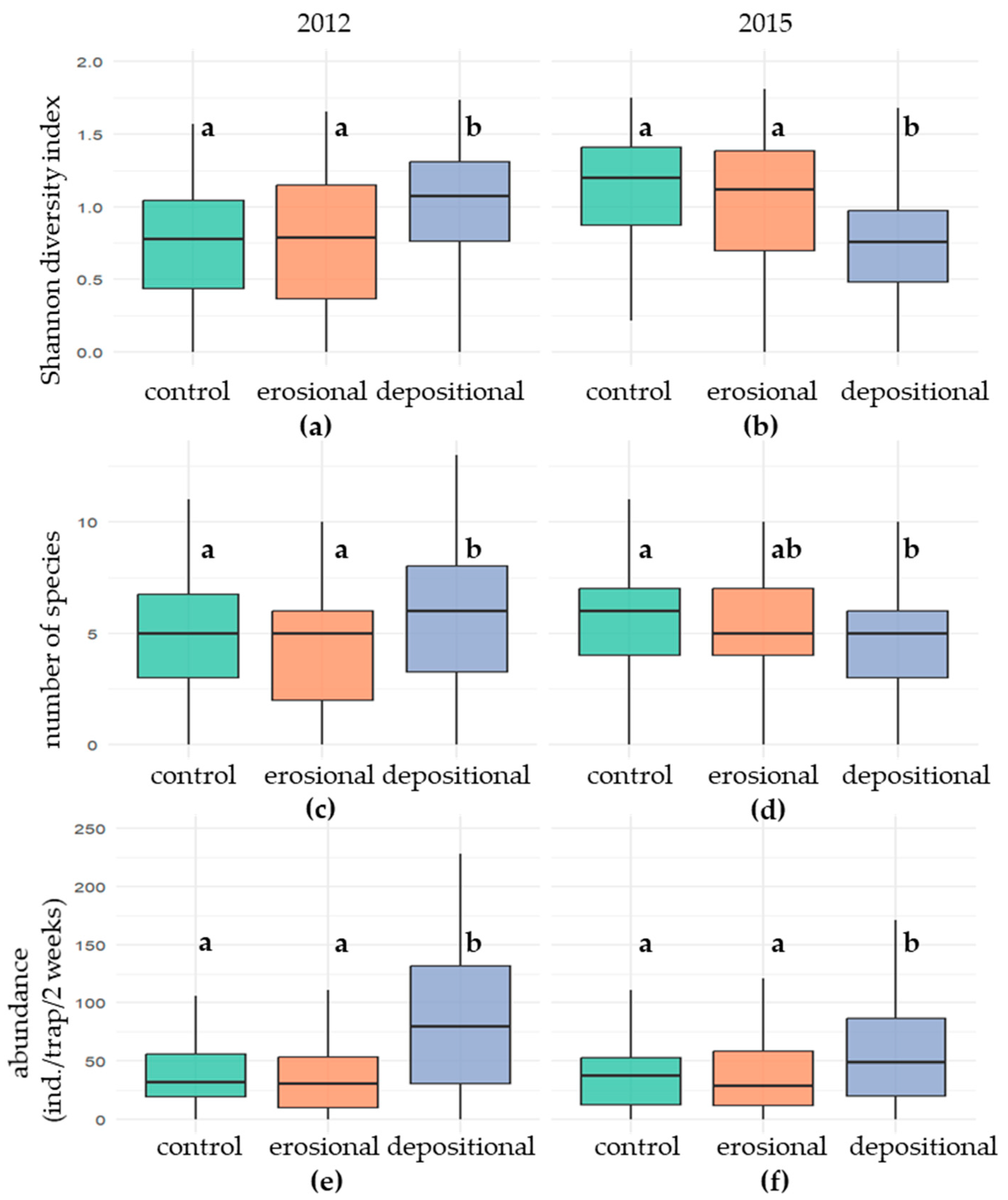
3.1. Invertebrate Community Composition and Abundance
3.2. Influence of Precipitation and Annual Variability on Community Parameters
3.3. Dominant Species and Their Taxonomic Distribution
3.4. Environmental Drivers of Species Distribution
3.5. Relationships Between Environmental Factors and Species-Specific Responses
4. Discussion
4.1. Erosion as a Driver of Habitat Modification and Faunal Redistribution
4.2. Community Composition and Its Correspondence with Central European Agroecosystems
4.3. Differential Responses of Invertebrate Communities to Slope Position and Erosion Intensity
4.4. Species-Specific Responses: Ground Beetles
4.5. Species-Specific Responses: Spiders
4.6. Broader Implications and Limitations
5. Conclusions
Author Contributions
Funding
Data Availability Statement
Acknowledgments
Conflicts of Interest
References
- Lal, R. Soil erosion and the global carbon budget. Environ. Int. 2003, 29, 437–450. [Google Scholar] [CrossRef]
- Panagos, P.; Borelli, P.; Poesen, J.; Ballabio, C.; Lugato, E.; Meusburger, K.; Montanarella, L.; Alewell, C. The new assessment of soil loss by water erosion in Europe. Environ. Sci. Policy 2015, 54, 438–447. [Google Scholar] [CrossRef]
- Panagos, P.; Ballabio, C.; Poesen, J.; Lugato, E.; Scarpa, S.; Montanarella, L.; Borrelli, P.A. Soil erosion indicator for supporting agricultural, environmental and climate policies in the European Union. Remote Sens. 2020, 12, 1365. [Google Scholar] [CrossRef]
- Collective. Situační a Výhledová Zpráva Půda (Report on Current and Anticipated State of Soil); The Ministry of Agriculture of the Czech Republic: Prague, Czech Republic, 2021. [Google Scholar]
- Šarapatka, B.; Čáp, L.; Bílá, P. The varying effect of water erosion on chemical and biochemical soil properties in different parts of Chernozem slopes. Geoderma 2018, 314, 20–26. [Google Scholar] [CrossRef]
- Govers, G.; Vandaele, K.; Desmet, P.; Poesen, J.; Bunte, K. The role of tillage in soil redistribution on hillslopes. Eur. J. Soil Sci. 1994, 45, 469–478. [Google Scholar] [CrossRef]
- DEFRA. Scoping Study of Lowland Soil Loss Through Wind Erosion, Tillage Erosion and Soil Co-Extracted with Root Vegetables—Final Report SP 08007; Department for Environment, Food and Rural Affairs: London, UK, 2006. [Google Scholar]
- Borrelli, P.; Robinson, D.A.; Panagos, P.; Lugato, E.; Yang, J.E.; Alewell, C.; Ballabio, C. Land use and climate change impacts on global soil erosion by water (2015-2070). Proc. Natl. Acad. Sci. USA 2020, 117, 21994–22001. [Google Scholar] [CrossRef] [PubMed]
- Mamedov, A.I.; Shainberg, I.; Levy, G.J. Rainfall energy effects on runoff and interrill erosion in effluent irrigated soils. Soil Sci. 2000, 165, 535–544. [Google Scholar] [CrossRef]
- Verheijen, F.G.A.; Jones, R.J.A.; Rickson, R.J.; Smith, C.J. Tolerable versus actual erosion rates in Europe. Earth-Sci. Rev. 2009, 94, 23–38. [Google Scholar] [CrossRef]
- Dungait, J.A.J.; Ghee, C.; Rowan, J.S.; McKenzie, B.M.; Hawes, C.; Dixon, E.R.; Paterson, E.; Hopkins, D.W. Microbial responses to the erosional redistribution of soil organic carbon in arable fields. Soil Biol. Biochem. 2013, 60, 195–201. [Google Scholar] [CrossRef]
- Powlson, D.S.; Gregory, P.J.; Whalley, W.R.; Quinton, J.N.; Hopkins, D.W.; Whitmore, A.P.; Hirsch, P.R.; Goulding, K.W.T. Soil management in relation to sustainable agriculture and ecosystem services. Food Policy 2011, 36, 72–87. [Google Scholar] [CrossRef]
- Lal, R. Restoring soil quality to mitigate soil degradation. Sustainability 2015, 7, 5875–5895. [Google Scholar] [CrossRef]
- Addiscott, T.M.; Thomas, D. Tillage, mineralization and leaching: Phosphate. Soil Tillage Res. 2000, 53, 255–273. [Google Scholar] [CrossRef]
- Bailey, A.; Deasy, C.; Quinton, J.; Silgram, M.; Jackson, B.; Stevens, C. Determining the cost of in-field mitigation options to reduce sediment and phosphorus loss. Land Use Policy 2013, 30, 234–242. [Google Scholar] [CrossRef]
- Van Oost, K.; Govers, G.; De Alba, S.; Quine, T.A. Tillage erosion: A review of controlling factors and implications for soil quality. Prog. Phys. Geogr. 2006, 30, 443–466. [Google Scholar] [CrossRef]
- Dlugoß, V.; Fiener, P.; Van Oost, K.; Schneider, K. Model based analysis of lateral and vertical soil carbon fluxes induced by soil redistribution processes in a small agricultural catchment. Earth Surf. Process. Landf. 2012, 37, 193–208. [Google Scholar] [CrossRef]
- Ferguson, R.I. Channel forms and channel changes. In British Rivers; Lewin, J., Ed.; George Allen and Unwin: London, UK, 1981; pp. 90–120. [Google Scholar] [CrossRef]
- Rhoton, F.E.; Shipitalo, M.J.; Lindbo, D.L. Runoff and soil loss from midwestern and southwestern US silt loam soils as affected by tillage practice and soil organic matter content. Soil Tillage Res. 2002, 66, 1–11. [Google Scholar] [CrossRef]
- Papiernik, S.K.; Lindstrom, M.J.; Schumacher, T.E.; Schumacher, J.A.; Malo, D.D.; Lobb, D.A. Characterization of soil profiles in a landscape affected by long term tillage. Soil Tillage Res. 2007, 93, 335–345. [Google Scholar] [CrossRef]
- Nie, X.J.; Zhao, T.Q.; Qiao, X.N. Impacts of soil erosion on organic carbon and nutrient dynamic in an alpine grassland soil. Soil Sci. Plant Nutr. 2013, 59, 660–668. [Google Scholar] [CrossRef]
- Quinton, J.N.; Govers, G.; Van Oost, K.; Bardgett, R.D. The impact of agricultural soil erosion on biogeochemical cycling. Nat. Geosci. 2010, 3, 430–437. [Google Scholar] [CrossRef]
- Chappell, A.; Baldock, J.; Sanderman, J. The global significance of omitting soil erosion from soil organic carbon cycling schemes. Nat. Clim. Change 2016, 6, 187–191. [Google Scholar] [CrossRef]
- Doetterl, S.; Berhe, A.A.; Nadeu, E.; Wang, Z.; Sommer, M.; Fiener, P. Erosion, deposition and soil carbon: A review of process-level controls, experimental tools and models to address C cycling in dynamic landscapes. Earth-Sci. Rev. 2016, 154, 102–122. [Google Scholar] [CrossRef]
- Qiu, L.; Zhang, Q.; Zhu, H.; Reich, P.B.; Banerjee, S.; van der Heijden, M.G.A.; Sadowsky, M.J.; Ishii, S.; Jia, X.; Shao, M.; et al. Erosion reduces soil microbial diversity, network complexity and multifunctionality. ISME J. 2021, 15, 2474–2489. [Google Scholar] [CrossRef]
- Collins, A.J.; Owens, P.N. Introduction to soil erosion and sediment redistribution in river catchments: Measurement, modelling and management in the 21st Century. In Soil Erosion and Sediment Redistribution in River Catchments: Measurement, Modelling and Management; Collins, A.J., Owens, P.N., Eds.; CABI: Wallingford, UK, 2006; pp. 3–12. [Google Scholar] [CrossRef]
- Helming, K.J.; Luis Rubio, J.; Boardman, J. Soil erosion across Europe: Research approaches and perspectives. Catena 2006, 68, 71–72. [Google Scholar] [CrossRef]
- Alewell, C.; Ringeval, B.; Ballabio, C.; Robinson, D.A.; Panagos, P.; Borrelli, P. Global phosphorus shortage will be aggravated by soil erosion. Nat. Commun. 2020, 11, 4546. [Google Scholar] [CrossRef]
- Raffaelli, D.; van der Putten, W.H.; Persson, L.; Wardle, D.A.; Petchey, O.L.; Koricheva, J.; van der Heijden, M.; Mikola, J.; Kennedy, T. Multi-trophic dynamics and ecosystem processes. In Biodiversity and Ecosystem Functioning: Synthesis and Perspectives; Loreau, M., Naeem, S., Inchausti, P., Eds.; Oxford University Press: Oxford, UK, 2002; pp. 147–154. [Google Scholar] [CrossRef]
- Brussaard, L.; de Ruiter, P.C.; Brown, G.G. Soil biodiversity for agricultural sustainability. Agric. Ecosyst. Environ. 2007, 121, 233–244. [Google Scholar] [CrossRef]
- Guerra, C.A.; Rosa, I.M.D.; Valentini, E.; Wolf, F.; Filipponi, F.; Karger, D.N.; Nguyen Xuan, A.; Mathieu, J.; Lavelle, P.; Eisenhauer, N. Global vulnerability of soil ecosystems to erosion. Landsc. Ecol. 2020, 35, 823–842. [Google Scholar] [CrossRef]
- Pimentel, D.; Kounang, N. Ecology of soil erosion in ecosystems. Ecosystems 1998, 1, 416–426. [Google Scholar] [CrossRef]
- Amundson, R.; Berhe, A.A.; Hopmans, J.W.; Olson, C.; Sztein, A.E.; Sparks, D.L. Soil and human security in the 21st century. Science 2015, 348, 1261071. [Google Scholar] [CrossRef]
- Decaëns, T.; Jimenez, J.J.; Gioia, C.; Measey, G.J.; Lavelle, P. The values of soil animals for conservation biology. Eur. J. Soil Biol. 2006, 42, 23–38. [Google Scholar] [CrossRef]
- Giller, K.E.; Beare, M.H.; Lavelle, P.; Izac, A.M.N.; Swift, M.J. Agricultural intensification, soil biodiversity and agroecosystem function. Appl. Soil Ecol. 1997, 6, 3–16. [Google Scholar] [CrossRef]
- Bardgett, R.D.; van der Putten, W.H. Belowground biodiversity and ecosystem functioning. Nature 2014, 515, 505–511. [Google Scholar] [CrossRef]
- Roots, B.I. The water relations of earthworms 2: Resistance to desiccation and immersion, and behaviour when submerged and when allowed a choice of environment. J. Exp. Biol. 1956, 33, 29–44. [Google Scholar] [CrossRef]
- Lavelle, P.; Decaëns, T.; Aubert, M.; Barot, S.; Blouin, M.; Bureau, F.; Margerie, P.; Mora, P.; Rossi, J.P. Soil invertebrates and ecosystem services. Eur. J. Soil Biol. 2006, 42, 3–15. [Google Scholar] [CrossRef]
- Blouin, M.; Hodson, M.E.; Delgado, E.A.; Baker, G.; Brussaard, L.; Butt, K.R.; Mathieu, J. A review of earthworm impact on soil function and ecosystem services. Eur. J. Soil Sci. 2013, 64, 161–182. [Google Scholar] [CrossRef]
- Baxter, C.; Rowan, J.S.; McKenzie, B.M.; Neilson, R. Understanding soil erosion impacts in temperate agroecosystems: Bridging the gap between geomorphology and soil ecology using nematodes as a model organism. Biogeosciences 2013, 10, 7133–7145. [Google Scholar] [CrossRef]
- Morgan, R.P.C. Soil Erosion and Conservation, 3rd ed.; Blackwell Publishing: Oxford, UK, 2005. [Google Scholar]
- Poesen, J. Soil erosion in the Anthropocene: Research needs. Earth Surf. Proc. Landf. 2018, 43, 64–84. [Google Scholar] [CrossRef]
- Heywood, V.H. Global Biodiversity Assessment; Cambridge University Press: Cambridge, UK, 1995. [Google Scholar]
- Daily, G.C. (Ed.) Nature’s Services: Societal Dependence on Natural Ecosystems; Island Press: Washington, DC, USA, 1997. [Google Scholar]
- Eisenhauer, N.; Bonn, A.; Guerra, C.A. Recognizing the quiet extinction of invertebrates. Nat. Commun. 2019, 10, 50. [Google Scholar] [CrossRef]
- Kromp, B. Carabid beetles in sustainable agriculture: A review on pest control efficacy, cultivation impacts and enhancement. Agric. Ecosyst. Environ. 1999, 74, 187–228. [Google Scholar] [CrossRef]
- Freckman, D.W.; Baldwin, J.G. Nematoda. In Soil Biology Guide; Dindal, D.L., Ed.; John Wiley & Sons: New York, NY, USA, 1990; pp. 155–200. [Google Scholar]
- Dighton, J.; Jones, H.E.; Robinson, C.H.; Beckett, J. The role of abiotic factors, cultivation practices and soil fauna in the dispersal of genetically modified microorganisms in soils. Appl. Soil Ecol. 1997, 5, 109–131. [Google Scholar] [CrossRef]
- Terhivuo, J. The Finnish Lumbricidae (Oligochaeta) fauna and its formation. Ann. Zool. Fenn. 1988, 25, 229–247. [Google Scholar]
- Terhivuo, J.; Saura, A. Dispersal and clonal diversity of North-European parthenogenetic earthworms. Biol. Invasions 2006, 8, 1205–1218. [Google Scholar] [CrossRef]
- Eijsackers, H. Earthworms as colonizers of natural and cultivated soil environments. Appl. Soil Ecol. 2011, 50, 1–13. [Google Scholar] [CrossRef]
- Debeljak, M.; Cortet, J.; Demšar, D.; Krogh, P.H.; Džeroski, S. Hierarchical classification of environmental factors and agricultural practises affecting soil fauna under cropping systems using Bt maize. Pedobiologia 2007, 51, 229–238. [Google Scholar] [CrossRef]
- Joschko, M.; Rogasik, H.; Dannowski, M.; Hierold, W.; Heisler, C. A catena in northeast Brandenburg (Bőlkendorf): Soil biota, root growth and soil structure. Arch. Agron. Soil Sci. 1998, 43, 385–396. [Google Scholar] [CrossRef]
- Cadet, P.; Albergel, J. Passive transport of phytoparasitic nematodes by runoff water in the Sudano-Sahelian climatic area. J. Hydrol. 1999, 214, 91–102. [Google Scholar] [CrossRef]
- Ritz, K.; Trudgill, D.L. Utility of nematode community analysis as an integrated measure of the functional state of soils: Perspectives and challenges. Plant Soil 1999, 212, 1–11. [Google Scholar] [CrossRef]
- IUSS Working Group WRB. World Reference Base for Soil Resources. International Soil Classification System for Naming Soils and Creating Legends for Soil Maps, 4th ed.; International Union of Soil Sciences (IUSS): Vienna, Austria, 2022. [Google Scholar]
- Chlupáč, I.; Brzobohatý, R.; Kovanda, J.; Straník, Z. Geologická Minulost České Republiky (Geological History of the Czech Republic); Academia: Prague, Czech Republic, 2002. [Google Scholar]
- Wischmeier, W.H.; Smith, D.D. Predicting Rainfall Erosion Losses—A Guide to Conservation Planning; Agriculture Handbook No. 537; U.S. Department of Agriculture: Washington, DC, USA, 1978; 57p. [Google Scholar]
- Renard, K.G.; Foster, G.R.; Weesies, G.A.; McCool, D.K.; Yoder, D.C. (Coordinators). Predicting Soil Erosion by Water: A Guide to Conservation Planning with the Revised Universal Soil Loss Equation (RUSLE); Agriculture Handbook No. 703; U.S. Department of Agriculture: Washington, DC, USA, 1997; 404p. [Google Scholar]
- Mitas, L.; Mitasova, H. Distributed soil erosion simulation for effective erosion prevention. Water Resour. Res. 1998, 34, 505–516. [Google Scholar] [CrossRef]
- Bila, P.; Sarapatka, B.; Hornak, O.; Novotna, J.; Brtnicky, M. Which quality indicators reflect the most sensitive changes in the soil properties of the surface horizons affected by the erosion processes? Soil Water Res. 2020, 15, 116–124. [Google Scholar] [CrossRef]
- Ter Braak, C.J.F.; Šmilauer, P. CANOCO Reference Manual and CanoDraw for Windows User’s Guide: Software for Canonical Community Ordination (Version 4.5); Microcomputer Power: Ithaca, NY, USA, 2002. [Google Scholar]
- Holland, J.M. Carabid beetles: Their ecology, survival and use in agroecosystems. In The Agroecology of Carabid Beetles; Holland, J.M., Ed.; Intercept: Andover, UK, 2002; pp. 1–40. [Google Scholar]
- Nyffeler, M.; Sunderland, K.D. Composition, abundance and pest control potential of spider communities in agroecosystems: A comparison of European and US studies. Agric. Ecosyst. Environ. 2003, 95, 579–612. [Google Scholar] [CrossRef]
- Michalko, R.; Pekár, S.; Entling, M.H. An updated perspective on spiders as generalist predators in biological control. Oecologia 2019, 189, 21–36. [Google Scholar] [CrossRef] [PubMed]
- Polyakov, V.O.; Lal, R. Soil erosion and carbon dynamics under simulated rainfall. Soil Sci. 2004, 169, 590–599. [Google Scholar] [CrossRef]
- Law, J.J.; Gallagher, R.S. Seed distribution and invertebrate seed predation in no-till and minimum-till maize systems. Agron. J. 2018, 110, 2488–2495. [Google Scholar] [CrossRef]
- Svobodova, Z.; Habustova, O.; Holec, J.; Holec, M.; Bohac, J.; Jursik, M.; Soukup, J.; Sehnal, F. Split application of glyphosate in herbicide-tolerant maize provides efficient weed control and favors beneficial epigeic arthropods. Agric. Ecosyst. Environ. 2018, 251, 171–179. [Google Scholar] [CrossRef]
- Palinkas, Z.; Zalai, M.; Szenasi, A.; Kadar, F.; Dorner, Z.; Balog, A. Rove beetles (Coleoptera Staphylinidae)—Their abundance and competition with other predatory groups in Bt maize expressing Cry34Ab1, Cry35Ab1, Cry1F and CP4 EPSPS proteins. Crop Prot. 2016, 80, 87–93. [Google Scholar] [CrossRef]
- Lemic, D.; Cacija, M.; Gasparic, H.V.; Drmic, Z.; Bazok, R.; Zivkovic, I.P. The ground beetle (Coleoptera: Carabidae) community in a intensively managed agricultural landscape. Appl. Ecol. Environ. Res. 2017, 15, 661–674. [Google Scholar] [CrossRef]
- Alford, D.V. (Ed.) Biocontrol of Oilseed Rape Pests; Blackwell: Oxford, UK, 2008. [Google Scholar]
- Kheirodin, A.; Costamagna, A.C.; Carcamo, H.A. Laboratory and field tests of predation on the cereal leaf beetle, Oulema melanopus (Coleoptera: Chrysomelidae). Biocontrol Sci. Technol. 2019, 29, 451–465. [Google Scholar] [CrossRef]
- Svobodova, Z.; Habustova, O.; Sehnal, F.; Holec, M.; Hussein, H.M. Epigeic spiders are not affected by the genetically modified maize MON 88017. J. Appl. Entomol. 2013, 137, 56–67. [Google Scholar] [CrossRef]
- Volkmar, C.; Freier, B. Spider communities in Bt. maize and not genetically modified maize fields. Z. Pflanzenkrankh. Pflanzenschutz 2003, 110, 572–582. [Google Scholar]
- Atlavinyte, O. Distribution of earthworms (Lumbricidae) and larval insects in the eroded soil under cultivated crops. Pedobiologia 1964, 4, 245–250. [Google Scholar] [CrossRef]
- Tsiafouli, M.A.; Thébault, E.; Sgardelis, S.P.; de Ruiter, P.C.; van der Putten, W.H.; Birkhofer, K.; Hemerik, L.; de Vries, F.T.; Bardgett, R.D.; Brady, M.V.; et al. Intensive agriculture reduces soil biodiversity across Europe. Glob. Change Biol. 2015, 21, 973–985. [Google Scholar] [CrossRef]
- Sierocinski, P.; Milferstedt, K.; Bayer, F.; Großkopf, T.; Alston, M.; Bastkowski, S.; Swarbreck, D.; Hobbs, P.J.; Soyer, O.S.; Hamelin, J.; et al. A single community dominates structure and function of a mixture of multiple methanogenic communities. Curr. Biol. 2017, 27, 3390–3395. [Google Scholar] [CrossRef]
- Borrelli, P.; Robinson, D.A.; Fleischer, L.R.; Lugato, E.; Ballabio, C.; Alewell, C.; Panagos, P. An assessment of the global impact of 21st century land use change on soil erosion. Nat. Commun. 2017, 8, 2013. [Google Scholar] [CrossRef]
- Sommaggio, D.; Peretti, E.; Burgio, G. The effect of cover plants management on soil invertebrate fauna in vineyard in Northern Italy. Biocontrol 2018, 63, 795–806. [Google Scholar] [CrossRef]
- Pimentel, D.; Stachow, U.; Takacs, D.A.; Brubaker, H.W.; Dumas, A.R.; Meaney, J.J.; O’Neil, J.; Onsi, D.E.; Corzilius, D.B. Conserving biological diversity in agricultural/forestry systems. Bioscience 1992, 42, 354–362. [Google Scholar] [CrossRef]
- Labruyere, S.; Petit, S.; Ricci, B. Annual variation of oilseed rape habitat quality and role of grassy field margins for seed eating carabids in arable mosaics. Agric. For. Entomol. 2018, 20, 234–245. [Google Scholar] [CrossRef]
- Mader, V.; Diehl, E.; Wolters, V.; Birkhofer, K. Agri-environmental schemes affect the trophic niche size and diet of common carabid species in agricultural landscapes. Ecol. Entomol. 2018, 43, 823–835. [Google Scholar] [CrossRef]
- Sint, D.; Guenay, Y.; Mayer, R.; Traugott, M.; Wallinger, C. The effect of plant identity and mixed feeding on the detection of seed DNA in regurgitates of carabid beetles. Ecol. Evol. 2018, 8, 10834–10846. [Google Scholar] [CrossRef]
- Jonason, D.; Smith, H.G.; Bengtsson, J.; Birkhofer, K. Landscape simplification promotes weed seed predation by carabid beetles (Coleoptera: Carabidae). Landsc. Ecol. 2013, 28, 487–494. [Google Scholar] [CrossRef]
- Aydin, G.; Karaca, I. The effects of pesticide application on biological diversity of ground beetle (Coleoptera: Carabidae). Fresenius Environ. Bull. 2018, 27, 9112–9118. [Google Scholar]
- Öberg, S. Diversity of spiders after spring sowing—Influence of farming system and habitat type. J. Appl. Entomol. 2007, 131, 524–531. [Google Scholar] [CrossRef]
- Kalushkov, P.; Blagoev, G.; Deltshev, C. Biodiversity of epigeic spiders in genetically modified (Bt) and conventional (non-Bt) potato fields in Bulgaria. Acta Zool. Bulg. 2008, 60, 61–69. [Google Scholar]
- Kunz, K.; Uhl, G. Short-term nutritional limitation affects mating behaviour and reproductive output in dwarf spiders. Ethology 2015, 121, 874–888. [Google Scholar] [CrossRef]
- Řezáč, M.; Řezáčová, V. Mass spring recolonization of agroecosystems by the spider Oedothorax apicatus (Linyphiidae: Erigoninae). Biologia 2019, 74, 169–172. [Google Scholar] [CrossRef]
- Madeira, F.; Tscharntke, T.; Elek, Z.; Kormann, U.G.; Pons, X.; Rosch, V.; Samu, F.; Scherber, C.; Batary, P. Spillover of arthropods from cropland to protected calcareous grassland—The neighbouring habitat matters. Agric. Ecosyst. Environ. 2016, 235, 127–133. [Google Scholar] [CrossRef]
- Niedobova, J.; Kristofova, L.; Michalko, R.; Hula, V.; Kynicky, J.; Brtnicky, M. Effects of glufosinate-ammonium herbicide and pod sealant on spider Pardosa agrestis. J. Appl. Entomol. 2019, 143, 196–203. [Google Scholar] [CrossRef]
- Arunrat, N.; Mhuantong, W.; Sereenonchai, S. Land-use legacies shape soil microbial communities and nutrient cycling functions in rotational shifting cultivation fields of Northern Thailand. Microb. Ecol. 2025, 88, 102. [Google Scholar] [CrossRef]
- Cerdá, A.; Jurgensen, M.F. The influence of ants on soil and water losses from an orange orchard in eastern Spain. J. Appl. Entomol. 2008, 132, 306–314. [Google Scholar] [CrossRef]
- Rabot, E.; Wiesmeier, M.; Schlüter, S.; Vogel, H.J. Soil structure as an indicator of soil functions: A review. Geoderma 2018, 314, 122–137. [Google Scholar] [CrossRef]
- Wu, D.; Du, E.; Eisenhauer, N.; Mathieu, J.; Chu, C. Global engineering effects of soil invertebrates on ecosystem functions. Nature 2025, 640, 120–129. [Google Scholar] [CrossRef]
- Guhra, T.; Stolze, K.; Totsche, K.U. The functional role of earthworm mucus during aggregation. J. Plant Nutr. Soil Sci. 2024, 187, 63–76. [Google Scholar] [CrossRef]
- Triquet, C.; Fabian, Y.; Jeanneret, P. Investigating the effects of the main agronomic interventions on carabids and spiders in European arable fields: A systematic review protocol. Environ. Evid. 2025, 14, 6. [Google Scholar] [CrossRef] [PubMed]
- Makwela, M.M.; Slotow, R.; Munyai, T.C. Ecological response of carabid beetles (Coleoptera: Carabidae) to contrasting agroecosystem management. Community Ecol. 2025, 26, 705–716. [Google Scholar] [CrossRef]





| Soil Characteristics | Control Position | Erosional Position | Depositional Position |
|---|---|---|---|
| Sand (%) | 23.06 ± 6.65 | 25.09 ± 7.17 | 30.28 ± 15.21 |
| Silt (%) | 49.21 ± 6.99 | 50.31 ± 6.51 | 46.43 ± 11.98 |
| Clay (%) | 27.74 ± 4.92 | 24.75 ± 3.81 | 23.31 ± 5.17 |
| USDA category | clay loam | silt loam | loam |
| Aggregates stability (%) | 33.14 ± 18.97 | 28.61 ± 14.76 | 30.02 ± 12.69 |
| pH/H2O | 7.52 ± 0.46 | 7.67 ± 0.42 | 7.56 ± 0.31 |
| Cox (%) | 2.3 ± 0.39 | 2.0 ± 0.36 | 2.1 ± 0.49 |
| Ntot (%) | 0.16 ± 0.03 | 0.13 ± 0.03 | 0.16 ± 0.02 |
| Ca (mg/kg) | 6588 ± 2213 | 7561 ± 2107 | 5951 ± 1541 |
| P (mg/kg) | 77 ± 71 | 41 ± 28 | 62 ± 29 |
| altitude (dmr4g, m a.s.l.) | 228.5 ± 15.2 | 220.6 ± 14.6 | 209.7 ± 13.0 |
| Slope (°) | 4.0 ± 1.8 | 9.0 ± 3.8 | 3.2 ± 2.1 |
| g_usl02 (t/ha/year) | 3.7 ± 3.2 | 17.6 ± 12.2 | 9.6 ± 8.7 |
| EASheet_us | −20.6 ± 15.9 | −66.9 ± 83.0 | 27.4 ± 273.0 |
| Name | Explains % | Pseudo-F |
|---|---|---|
| Altitude (dmr4g, m a.s.l.) | 2.51 | 27.4 |
| Relative temperature (V-IX) | 2.19 | 23.8 |
| Relative precipitation (V-IX) | 1.93 | 20.9 |
| Number of days of exposition | 1.59 | 17.1 |
| pH/H2O | 1.53 | 16.4 |
| Temperature | 1.47 | 15.8 |
| Conductivity | 1.46 | 15.7 |
| Clay (%) | 1.22 | 13.2 |
| Calcium | 1.14 | 12.2 |
| Organic Carbon | 1.13 | 12.2 |
| Slope (°) | 1.10 | 11.8 |
| g_usl02 [t/ha/year] | 0.96 | 10.3 |
| Sand (%) | 0.93 | 10.0 |
| Precipitations | 0.85 | 9.1 |
| N | 0.84 | 9.0 |
| Humus quality | 0.82 | 8.8 |
| C:N | 0.82 | 8.8 |
| EASheet_us | 0.71 | 7.6 |
| Silt (%) | 0.62 | 6.7 |
| Total Nitrogen (%) | 0.45 | 4.8 |
| Humus (%) | 0.39 | 4.2 |
| A | B | C | D | E | F | G | H | I | J | K | L | M | N | O | P | Q | R | S | T | |
|---|---|---|---|---|---|---|---|---|---|---|---|---|---|---|---|---|---|---|---|---|
| A | 1.0 | |||||||||||||||||||
| B | 0.0 | 1.0 | ||||||||||||||||||
| C | −0.4 | 0.1 | 1.0 | |||||||||||||||||
| D | 0.1 | 0.0 | −0.2 | 1.0 | ||||||||||||||||
| E | 0.3 | −0.1 | −0.8 | 0.2 | 1.0 | |||||||||||||||
| F | 0.1 | 0.0 | 0.0 | 0.0 | 0.1 | 1.0 | ||||||||||||||
| G | 0.2 | −0.1 | −0.2 | 0.1 | 0.2 | 0.3 | 1.0 | |||||||||||||
| H | 0.2 | −0.1 | −0.3 | 0.1 | 0.3 | −0.2 | 0.0 | 1.0 | ||||||||||||
| I | 0.0 | 0.0 | 0.0 | 0.0 | 0.2 | 0.7 | 0.2 | 0.0 | 1.0 | |||||||||||
| J | 0.3 | 0.0 | −0.4 | 0.1 | 0.2 | 0.1 | 0.2 | 0.0 | 0.0 | 1.0 | ||||||||||
| K | 0.1 | 0.0 | 0.1 | 0.0 | 0.2 | 0.5 | 0.4 | 0.1 | 0.4 | −0.3 | 1.0 | |||||||||
| L | 0.0 | 0.0 | −0.2 | 0.0 | 0.4 | 0.3 | 0.3 | 0.0 | 0.2 | −0.2 | 0.4 | 1.0 | ||||||||
| M | −0.1 | 0.0 | 0.5 | −0.1 | −0.1 | 0.4 | 0.4 | 0.0 | 0.4 | −0.3 | 0.7 | 0.1 | 1.0 | |||||||
| N | −0.1 | 0.1 | 0.1 | −0.1 | 0.0 | −0.4 | −0.4 | 0.1 | −0.3 | −0.2 | −0.3 | −0.3 | −0.3 | 1.0 | ||||||
| O | −0.2 | 0.0 | 0.0 | 0.0 | 0.2 | −0.3 | −0.1 | −0.1 | −0.2 | 0.0 | −0.2 | 0.0 | −0.1 | 0.3 | 1.0 | |||||
| P | 0.0 | −0.1 | −0.3 | 0.1 | 0.2 | −0.2 | 0.1 | 0.1 | 0.0 | 0.3 | −0.2 | −0.1 | 0.0 | −0.4 | 0.0 | 1.0 | ||||
| Q | 0.0 | 0.2 | 0.3 | −0.1 | −0.1 | 0.2 | 0.0 | −0.1 | 0.1 | −0.2 | 0.2 | 0.0 | 0.1 | 0.5 | 0.0 | −0.8 | 1.0 | |||
| R | 0.0 | 0.0 | 0.2 | −0.1 | −0.3 | 0.0 | −0.1 | −0.1 | −0.3 | −0.2 | 0.0 | 0.1 | −0.1 | 0.0 | 0.0 | −0.5 | −0.1 | 1.0 | ||
| S | −0.3 | 0.1 | 0.5 | −0.1 | −0.4 | −0.4 | −0.3 | 0.0 | −0.3 | −0.1 | −0.2 | −0.3 | 0.0 | 0.3 | 0.1 | −0.1 | 0.1 | 0.1 | 1.0 | |
| T | −0.4 | 0.0 | −0.2 | 0.0 | 0.2 | −0.3 | −0.1 | 0.1 | −0.2 | 0.0 | −0.1 | 0.2 | 0.0 | 0.0 | 0.2 | 0.2 | −0.3 | 0.0 | 0.3 | 1.0 |
Disclaimer/Publisher’s Note: The statements, opinions and data contained in all publications are solely those of the individual author(s) and contributor(s) and not of MDPI and/or the editor(s). MDPI and/or the editor(s) disclaim responsibility for any injury to people or property resulting from any ideas, methods, instructions or products referred to in the content. |
© 2026 by the authors. Licensee MDPI, Basel, Switzerland. This article is an open access article distributed under the terms and conditions of the Creative Commons Attribution (CC BY) license.
Share and Cite
Šarapatka, B.; Puch, L.; Chmelík, V.; Machač, O.; Tajovský, K.; Bednář, M.; Netopil, P.; Tuf, I.H. Soil Transport by Water Erosion Affects the Distribution of Ground-Dwelling Invertebrates in Chernozem Agricultural Landscapes. Agriculture 2026, 16, 676. https://doi.org/10.3390/agriculture16060676
Šarapatka B, Puch L, Chmelík V, Machač O, Tajovský K, Bednář M, Netopil P, Tuf IH. Soil Transport by Water Erosion Affects the Distribution of Ground-Dwelling Invertebrates in Chernozem Agricultural Landscapes. Agriculture. 2026; 16(6):676. https://doi.org/10.3390/agriculture16060676
Chicago/Turabian StyleŠarapatka, Bořivoj, Lukáš Puch, Vojtěch Chmelík, Ondřej Machač, Karel Tajovský, Marek Bednář, Patrik Netopil, and Ivan Hadrián Tuf. 2026. "Soil Transport by Water Erosion Affects the Distribution of Ground-Dwelling Invertebrates in Chernozem Agricultural Landscapes" Agriculture 16, no. 6: 676. https://doi.org/10.3390/agriculture16060676
APA StyleŠarapatka, B., Puch, L., Chmelík, V., Machač, O., Tajovský, K., Bednář, M., Netopil, P., & Tuf, I. H. (2026). Soil Transport by Water Erosion Affects the Distribution of Ground-Dwelling Invertebrates in Chernozem Agricultural Landscapes. Agriculture, 16(6), 676. https://doi.org/10.3390/agriculture16060676

