Sign in to use this feature.

Years

Between: -

Subjects

remove_circle_outline
remove_circle_outline
remove_circle_outline
remove_circle_outline
remove_circle_outline
remove_circle_outline
remove_circle_outline
remove_circle_outline
remove_circle_outline

Journals

remove_circle_outline
remove_circle_outline
remove_circle_outline
remove_circle_outline
remove_circle_outline
remove_circle_outline
remove_circle_outline
remove_circle_outline
remove_circle_outline
remove_circle_outline
remove_circle_outline
remove_circle_outline

Article Types

Countries / Regions

remove_circle_outline
remove_circle_outline
remove_circle_outline
remove_circle_outline

Search Results (1,754)

Search Parameters:
Keywords = shading effect

Order results
Result details
Results per page
Select all
Export citation of selected articles as:
14 pages, 1536 KB  
Article
Machine Learning Assessment of the Environmental Factors Contributing to Shade Adaptation in Brassica juncea
by Bae Young Choi, Eunji Bae, Ick-Hyun Jo and Jaewook Kim
Plants 2026, 15(5), 780; https://doi.org/10.3390/plants15050780 - 3 Mar 2026
Abstract
Brassica juncea is a widely cultivated leafy vegetable species in Northeast Asia, including Korea, Japan, and China. Under shade conditions, B. juncea exhibits shade avoidance syndrome (SAS), which negatively impacts its market quality. However, B. juncea is cultivated in diverse climates worldwide, including [...] Read more.
Brassica juncea is a widely cultivated leafy vegetable species in Northeast Asia, including Korea, Japan, and China. Under shade conditions, B. juncea exhibits shade avoidance syndrome (SAS), which negatively impacts its market quality. However, B. juncea is cultivated in diverse climates worldwide, including regions with frequent foggy days, highlighting the need to understand its adaptation to shade conditions to improve cultivation quality. To investigate the relationship between SAS phenotypes and environmental factors, including daylength, precipitation, and temperature, we analyzed 30 clones and six commercial cultivars of B. juncea. After 7 days of growth, all six commercial cultivars exhibited a canonical SAS response, with hypocotyl length increasing by 3.25- to 5.18-fold under dim light compared to white light conditions. Among the 30 clones, shade responsiveness varied widely, with hypocotyl elongation ranging from 1.42- to 8.54-fold change. A simple correlation analysis revealed that environmental factors were not highly correlated with shade responsiveness due to their complex interactions. To address this, we applied six machine learning models and found that the random forest algorithm provided the most accurate predictions of environmental influences on hypocotyl length. Using this model, we identified daylength, precipitation, and temperature as key environmental factors contributing to SAS phenotypes in B. juncea. Our findings not only identify clones that can be cultivated under low-light conditions with reduced SAS effects but also establish a link between SAS phenotypes and natural environmental conditions. These insights provide a foundation for future breeding strategies to improve shade adaptation in B. juncea. Full article
34 pages, 7086 KB  
Article
A Performance-Based Methodology for Retrofitting Buildings Guided by Visual Comfort
by Giacomo Caccia, Matteo Cavaglià, Alberto Speroni, Luis Palmero Iglesias, Tiziana Poli and Andrea Giovanni Mainini
Sustainability 2026, 18(5), 2467; https://doi.org/10.3390/su18052467 (registering DOI) - 3 Mar 2026
Abstract
Extensive glazing is a common feature of modern buildings, intended to maximize daylight and strengthen visual connections with the outdoors. While this strategy can enhance energy performance, its effectiveness strongly depends on climate, orientation, and seasonal variations, and it often introduces challenges related [...] Read more.
Extensive glazing is a common feature of modern buildings, intended to maximize daylight and strengthen visual connections with the outdoors. While this strategy can enhance energy performance, its effectiveness strongly depends on climate, orientation, and seasonal variations, and it often introduces challenges related to visual comfort, particularly glare. This paper proposes a refurbishment methodology that systematically integrates the view out, often neglected in current practice, into the decision-making framework, focusing on its relationship with daylight. The methodology follows a stepwise process encompassing the identification of discomfort conditions, evaluation of intervention feasibility, and design of targeted refurbishment strategies. Its main innovation lies in integrating and verifying a balance between view quality and daylight within a unified analytical framework. Validation through a university building in València confirmed that optimizing these parameters represents a significant design challenge, as enhancing one may compromise the other. The analysis also revealed limitations of current standards, such as EN 17037, whose static approach fails to capture the dynamic interactions among daylight, shading operation, and user perception. Furthermore, the proposed methodology introduces a scalable level of analytical granularity, enabling the assessment depth to be adapted to economic resources and time constraints, thereby supporting informed and sustainable decisions in building refurbishment. Full article
28 pages, 6577 KB  
Article
Quantifying the Spatial Antagonism Between Urban Morphology and Ecological Infrastructure on Land Surface Temperature: An Explainable Machine Learning Approach with Spatial Lags
by Huitong Liu, Rihan Hai, Quanyi Zheng and Mengxiao Jin
Buildings 2026, 16(5), 991; https://doi.org/10.3390/buildings16050991 (registering DOI) - 3 Mar 2026
Abstract
Rapid urbanization has significantly exacerbated the Urban Heat Island (UHI) effect in high-density megacities, driven by the intensifying competition between built-up morphology and natural cooling infrastructure. Current research, however, often fails to accurately predict land surface temperatures (LST) because traditional models frequently overlook [...] Read more.
Rapid urbanization has significantly exacerbated the Urban Heat Island (UHI) effect in high-density megacities, driven by the intensifying competition between built-up morphology and natural cooling infrastructure. Current research, however, often fails to accurately predict land surface temperatures (LST) because traditional models frequently overlook the complex spatial dependencies and neighborhood spillover effects inherent in urban environments. Existing studies often ignore the spatial dependence of heat transfer. This study proposes an explainable machine learning framework incorporating spatial lag variables to capture the thermal spillover from adjacent neighborhood context—such as green space cooling diffusion or built-up heat accumulation—which is frequently treated as noise in traditional models. Taking Shenzhen as a case study, we integrated multi-source data (Landsat 8, building vectors, DEM) and developed an XGBoost regression model (R2 = 0.806) augmented with SHAP (Shapley Additive exPlanations) to quantify the contributions of local and contextual features. The results revealed that: (1) Non-linear Thresholds: Vegetation cooling exhibits a saturation effect, with the highest marginal benefit observed in the NDVI range of 0.2–0.4, while building warming effects converge at extremely high densities due to mutual shading; (2) Neighborhood Spillovers: Spatial interaction analysis confirms significant cool island synergy (where clustered green spaces provide amplified cooling) and heat island agglomeration effects—e.g., green spaces surrounded by high ecological backgrounds provide amplified cooling benefits; (3) Spatial Antagonism: A novel Interaction Balance Index (IBI) based on game-theoretic SHAP contributions was constructed to map the source-sink competition patterns, identifying distinct heat-dominated (West) and cool-dominated (East) zones. Unlike traditional area-weighted source-sink landscape metrics, IBI enables a pixel-level additive decomposition of warming and cooling factors, quantifying the net thermal outcome of local morphology and neighborhood spillover. By explicitly encoding spatial context into non-linear modeling, this study provides a more mechanistically robust understanding of urban thermal environments. The identified thresholds and dominant driver maps offer precise, spatially differentiated guidance for urban climate-adaptive planning and ecological restoration. Full article
(This article belongs to the Section Building Energy, Physics, Environment, and Systems)
Show Figures

Figure 1

27 pages, 1701 KB  
Article
Mapping Heat Stress and Evaporative Cooling Potentials in South European Cities: Humidity Constraints and Water-Based Cooling Opportunities
by Marko Mančić, Milena Rajić, Hristina Krstić, Nataša Petković, Vladan Jovanović, Milan Đorđević, Giannis Adamos and Tamara Rađenović
Urban Sci. 2026, 10(3), 136; https://doi.org/10.3390/urbansci10030136 - 3 Mar 2026
Abstract
Climate change is driven by global-scale warming, while cities additionally experience local amplification due to the urban heat island (UHI) effect (urban–rural temperature differences caused by urban form, materials, and reduced evapotranspiration). In this study, we address both dimensions by analyzing long-term near-surface [...] Read more.
Climate change is driven by global-scale warming, while cities additionally experience local amplification due to the urban heat island (UHI) effect (urban–rural temperature differences caused by urban form, materials, and reduced evapotranspiration). In this study, we address both dimensions by analyzing long-term near-surface climate variables and derived heat-exposure indicators for multiple South European cities and by translating climate signals into climate-suitability indicators for passive/evaporative cooling. In this study, heat-stress-relevant indicators and evaporative/adiabatic cooling opportunity across paired coastal and inland South European cities are quantified using long-term hourly reanalysis and scenario-based future projections. This paper compares coastal and inland city pairs from three regions: Nicosia and Limassol from Cyprus, Seville and Lisbon on the Iberian Peninsula, and Niš and Thessaloniki on the Balkans, to characterize recent heat stress and the prospective applications and limits of adiabatic cooling. ERA5/ERA5-Land variables from the Copernicus Climate Data Base, focusing on 2 m air temperature, 2 m dew point/relative humidity, and derived indicators: days above heat thresholds and “tropical nights”, were used to determine the differences between the local climate and compare severity of effects of global warming with respect to the specific climatic conditions of the chosen cities. Application of evaporative cooling was then tested with projections up to 2050 using Climate Consultant software, using regional temperature and humidity differences to explore comfort shifts and passive cooling applicability envelopes. Cross-city comparison of climate-suitability hours and cooling needs is included in the analysis. The novelty is a paired coastal–inland, multi-region South European design (Cyprus, Iberia, and Balkans) that combines long-term hourly reanalysis (1950–2025), scenario-based mid-century morphing, and a standardized psychrometric/adaptive-comfort framework to translate climate signals into comparable climate-suitability indicators for evaporative/adiabatic cooling across contrasting humidity regimes. The results provide planning direction by indicating that humid coastal cities should prioritize shading, reduced radiant load, ventilation/urban porosity and humidity-aware cooling, while hotter and drier inland cities retain a wider climatic window for evaporative cooling, subject to water-availability constraints. Full article
(This article belongs to the Section Urban Environment and Sustainability)
Show Figures

Figure 1

16 pages, 7385 KB  
Article
Temperature Field and Gradient Effects for Concrete-Filled Steel Tubular Truss Arch Bridges Under Construction
by Shijie Song, Ji Qian and Linqiang Zhou
Buildings 2026, 16(5), 969; https://doi.org/10.3390/buildings16050969 (registering DOI) - 1 Mar 2026
Viewed by 44
Abstract
Long-span concrete-filled steel tubular truss arch bridges are extremely sensitive to thermal effects during cantilever construction, with non-uniform temperature distributions arising from mutual shading between members. The current standard JTG/T D65-06—2015 employs a simple gradient model that struggles to capture the temperature gradient [...] Read more.
Long-span concrete-filled steel tubular truss arch bridges are extremely sensitive to thermal effects during cantilever construction, with non-uniform temperature distributions arising from mutual shading between members. The current standard JTG/T D65-06—2015 employs a simple gradient model that struggles to capture the temperature gradient characteristics of complex spatial trusses, failing to meet the demands of high-precision construction. Based on a truss-type steel arch bridge in Yunnan, a thermal conduction analysis framework is proposed to calculate the temperature field of the arch rib truss and its effects, and is validated by long-term monitoring data. The results indicate that the maximum temperature difference between the upper and lower chord tubes reaches 14.53 °C, significantly changing the secondary stress distribution. There is a significant negative correlation mechanism between arch rib elevation and solar radiation temperature, necessitating consideration of solar radiation temperature effects during arch rib assembly and closure. This study establishes an analytical method for the thermal effects of long-span steel truss arch ribs, laying the foundation for arch rib profile control and stress analysis. Full article
(This article belongs to the Special Issue Advances in Building Structure Analysis and Health Monitoring)
Show Figures

Figure 1

20 pages, 3628 KB  
Article
Multi-Criteria Evaluation of Cooling-Oriented Envelope Retrofit Technologies for Energy, Thermal Comfort and Cost Performance
by Angeliki Kitsopoulou, Evangelos Bellos, Evangelos Vidalis, Georgios Mitsopoulos and Christos Tzivanidis
Sci 2026, 8(3), 53; https://doi.org/10.3390/sci8030053 - 1 Mar 2026
Viewed by 112
Abstract
Escalating climate change and the increasing frequency of weather extremes pose a threat to the resilience of urban environments and human health, highlighting the urgent need for implementing energy-efficient interventions and reducing building cooling loads. This study investigates the passive building envelope retrofit [...] Read more.
Escalating climate change and the increasing frequency of weather extremes pose a threat to the resilience of urban environments and human health, highlighting the urgent need for implementing energy-efficient interventions and reducing building cooling loads. This study investigates the passive building envelope retrofit technologies of external shading, electrochromic windows, and thermochromic windows through a multi-criteria evaluation analysis based on energy savings, economic performance, and indoor thermal comfort improvement. Thermochromic windows are discerned by a mean colour transition temperature of 34 °C and operate throughout the entire year, while electrochromic windows are activated only during cooling periods. Both technologies present total solar transmittance indices of 72.6% and 8.4% in the bleached and tinted state, respectively. External shading devices are either static or movable, applied with an inclination angle, and are either standalone interventions or combined with chromogenic glazing. Eight retrofit scenarios are investigated for a single-story, fully electrified residential building in Athens, Greece. The building features south- and east-oriented windows, which is an appropriate case to assess the effectiveness of these passive envelope cooling technologies in regulating solar heat gains. Thermal comfort is assessed using Fanger’s PMV (predicted mean vote) and PPD (Predicted Percentage of Dissatisfied) indices. The combination of electrochromic windows and movable external shading yields the highest annual electricity savings at 22.2% and reduces the PPD by 15.8%. Local static shading, on the other hand, ranks as the optimal retrofit solution in terms of economic performance, with a life-cycle cost of €6378, a 9.3% improvement in thermal comfort, and a corresponding reduction of 626 thermal discomfort hours. While the proposed multi-criteria framework can be applied to other buildings and climates, the quantitative results reported here are linked to the specific case examined: a residential building with south- and east-facing glazing in Athens, Greece, representing Mediterranean climatic conditions. Full article
Show Figures

Figure 1

26 pages, 6279 KB  
Article
Seasonal Interaction Effects of Microclimate and Built Environment on Elderly Outdoor Activities: A Case Study in Xi’an, China
by Shiliang Wang, Chenglin Wang, Qiang Liu, Sitong Zhang, Yuhao Xu and Yunqin Xia
Buildings 2026, 16(5), 936; https://doi.org/10.3390/buildings16050936 (registering DOI) - 27 Feb 2026
Viewed by 135
Abstract
Microclimate and built environment jointly influence outdoor activities among the elderly. However, existing studies largely focus on a single season or environmental factor, lacking a comprehensive analysis of seasonal variation and multi-factor coupling effects. This paper investigates the seasonal interaction effects of microclimate [...] Read more.
Microclimate and built environment jointly influence outdoor activities among the elderly. However, existing studies largely focus on a single season or environmental factor, lacking a comprehensive analysis of seasonal variation and multi-factor coupling effects. This paper investigates the seasonal interaction effects of microclimate and built environment on elderly outdoor activities, with implications for elderly-friendly urban design. Using a typical residential neighbourhood in Xi’an as a case, we constructed a multi-source spatio-temporal dataset through high-density microclimate monitoring in winter and summer, fine-grained POI mapping, and computer-vision-based behavioural annotation. Generalised Additive Models (GAM) and SHAP analysis were employed for modelling and mechanism exploration. The results show that: (1) Elderly activity patterns exhibit a fundamental seasonal reversal—characterised as “sun-seeking and wind-avoiding” in winter and “shade-seeking and wind-pursuing” in summer; (2) Environmental factors exhibit marked nonlinear and threshold-dependent influences that vary by season; (3) Microclimate and built environment elements demonstrate synergistic interaction effects, especially pronounced in summer. Quantitatively, GAM and SHAP analyses indicate that the “effective service radius” of Elderly-Friendly POIs (defined as the threshold where positive influence approaches zero) contracted from approximately 45–50 m in winter to 35–40 m in summer, while their peak promotional effect occurred at 20–25 m. Positive POIs exhibited a significantly shorter influence range, and Negative POIs demonstrated negligible distance-dependent effects. This study confirms a “seasonal dynamic interaction” mechanism and proposes the adaptive design strategy of “sunlight and wind-shelter pockets—shade and ventilation corridors,” offering empirical and methodological support for climate-responsive elderly-friendly community planning. Full article
(This article belongs to the Special Issue Advances in Green Building and Environmental Comfort)
Show Figures

Figure 1

17 pages, 3901 KB  
Article
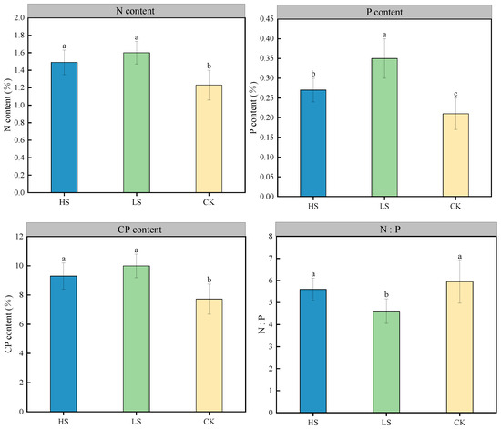
Desert Physio-Ecological Adaptation of Amorpha fruticosa to Dynamic Shading Under Photovoltaic Panels in a Sandy Region
by Lu Liu, Ruidong Wang, Yong Gao and Yifang Su
Plants 2026, 15(5), 717; https://doi.org/10.3390/plants15050717 - 27 Feb 2026
Viewed by 72
Abstract
The construction of photovoltaic (PV) power stations for sand control in northwestern China has exacerbated the conflict between solar resource utilization and ecosystem fragility, creating urgent ecological challenges that demand immediate solutions. This study investigated Amorpha fruticosa growing under fixed adjustable PV panels [...] Read more.
The construction of photovoltaic (PV) power stations for sand control in northwestern China has exacerbated the conflict between solar resource utilization and ecosystem fragility, creating urgent ecological challenges that demand immediate solutions. This study investigated Amorpha fruticosa growing under fixed adjustable PV panels at the CGN DaLate Photovoltaic Leading Base in the eastern hinterland of the Kubuqi Desert. Through long-term field observations, three shading time gradients were established: heavy shading (HS), light shading (LS), and no shading (CK, control). The results clearly demonstrated that: (1) Plants in the LS treatment exhibited significantly greater plant height, basal diameter, and crown width compared to those in HS and CK, indicating optimal growth status and morphological plasticity. They maintained the highest net photosynthetic rate (Pn) and water use efficiency (WUE), while their intercellular CO2 concentration (Ci) was significantly lower than in CK, effectively mitigating photosynthetic inhibition caused by high light intensity. Total chlorophyll (Chl) content increased significantly with increasing shading intensity, whereas the Chl a/b ratio decreased. (2) The LS treatment yielded the highest nitrogen (N), phosphorus (P), and crude protein (CP) contents, along with a more balanced N:P ratio, suggesting a superior state of nutritional metabolism. Growth indicators showed significant positive correlations with WUE and Chl content, and significant negative correlations with transpiration rate (Tr) and Ci, confirming a synergistic “physiological adaptation-growth optimization” mechanism. Our results demonstrate that light shading represents the optimal condition for the growth and biomass accumulation of A. fruticosa, highlighting its potential as a key species for vegetation restoration in PV power stations within arid ecosystems. These findings not only elucidate the plant’s adaptation mechanisms but also provide a crucial physiological basis for selecting and managing understory vegetation, thereby supporting the optimization of integrative “PV-Ecology” systems for sustainable desert restoration. Full article
(This article belongs to the Section Plant Ecology)
Show Figures

Figure 1

22 pages, 5210 KB  
Article
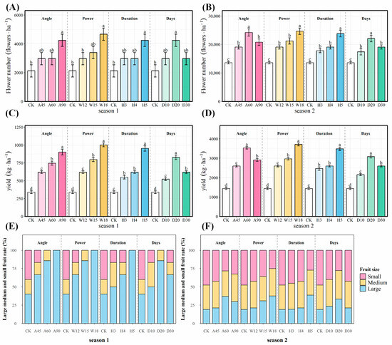
Shaded-Side Supplemental Lighting During Winter Enhances the Overall Productivity of Yellow Pitaya (Hylocereus megalanthus)
by Weiguang Li, Yini Wang, Yuansheng Huang, Jinling Li, Chenglong Wang, Jing Guan, Junfeng Qu, Yunze Ruan and Xin Jin
Horticulturae 2026, 12(3), 274; https://doi.org/10.3390/horticulturae12030274 - 26 Feb 2026
Viewed by 97
Abstract
Yellow pitaya (Hylocereus megalanthus) is highly photosensitive and therefore strongly influenced by light availability. In winter, insufficient sunlight often induces a “yin–yang effect”, characterized by physiological disparities between the sunlit and shaded sides of east–west-oriented orchards. To elucidate the effects of [...] Read more.
Yellow pitaya (Hylocereus megalanthus) is highly photosensitive and therefore strongly influenced by light availability. In winter, insufficient sunlight often induces a “yin–yang effect”, characterized by physiological disparities between the sunlit and shaded sides of east–west-oriented orchards. To elucidate the effects of supplemental lighting parameters on flowering, yield, and fruit quality of shade-grown yellow pitaya, we systematically examined four factors: lighting angle (45°, 60°, 90°), power (12, 15, and 18 W), duration (3, 4, and 5 h per day), and lighting period (10, 20, and 30 days). Compared with no supplemental lighting (net photosynthetic rate = 10.60/11.73 μmol m−2 s−1, yield = 903/3536.5 kg ha−1, net profit = 6435/72,675 CNY ha−1 in two seasons), a 90° angle in the first season and a 60° angle in the second season increased the net photosynthetic rate by 45.87% and 60%, yield by 165.98% and 145.16%, and net profit by 373.82% and 159.42%, respectively. 18 W lighting power raised average yield and net profit by 176.37% and 278.7%, while 5 h lighting duration enhanced them by 161.29% and 267.66%. Meanwhile, a 20-day lighting period increased yield and profit by 128.91% and 240.6% on average. The recommended parameter set of a 60°/90° angle, 18 W power, 5 h duration, and 20-day lighting period markedly improved photosynthetic performance, yield, and net economic returns of shaded-side yellow pitaya. These improvements were attributed to enhanced carbon assimilation and reallocation from source to sink tissues, which contributed to higher fruit yield and quality and effectively mitigated winter shading stress. Full article
(This article belongs to the Section Fruit Production Systems)
Show Figures

Graphical abstract

26 pages, 4518 KB  
Article
Integrating Soft Landscape Strategies for Enhancing Residential Thermal Comfort: A Sustainability-Oriented Decision-Support Framework for Hot–Humid Climates
by Tareq Ibrahim Alrawaf
Sustainability 2026, 18(5), 2245; https://doi.org/10.3390/su18052245 - 26 Feb 2026
Viewed by 106
Abstract
Thermal stress in hot–humid urban environments constitutes a persistent sustainability challenge, driven by the interaction of extreme temperatures, high atmospheric moisture, and heat-retaining urban surfaces, which collectively intensify outdoor discomfort and increase cooling-energy demand. Within this context, soft landscape systems have gained recognition [...] Read more.
Thermal stress in hot–humid urban environments constitutes a persistent sustainability challenge, driven by the interaction of extreme temperatures, high atmospheric moisture, and heat-retaining urban surfaces, which collectively intensify outdoor discomfort and increase cooling-energy demand. Within this context, soft landscape systems have gained recognition as nature-based solutions capable of moderating microclimates and enhancing residential livability; however, their systematic prioritization based on integrated sustainability performance remains insufficiently addressed, particularly in Gulf-region residential developments. This study proposes a sustainability-oriented decision-support framework that evaluates and prioritizes soft landscape strategies for thermal comfort enhancement using the Analytic Hierarchy Process (AHP) as the core analytical method. Expert judgments were elicited and structured across five sustainability-driven criteria—shading effectiveness, evapotranspiration potential, airflow facilitation, aesthetic–psychological comfort, and implementation and maintenance cost—and applied to five soft landscape alternatives. To verify the physical plausibility of the expert-derived prioritization, microclimate simulations were conducted using ENVI-met under extreme summer conditions, representing the hottest day of the year, at key diurnal intervals. The results reveal a clear dominance of shading-based mechanisms, with tree canopy systems emerging as the most effective and sustainable intervention due to their superior radiative control, ecological cooling capacity, and perceptual benefits. Simulation outputs confirm that canopy-driven strategies achieve the most substantial reductions in mean radiant temperature during peak thermal stress, while surface-based interventions provide secondary benefits primarily related to diurnal heat dissipation. At peak thermal stress (14:00), Scenario 2 reduced mean radiant temperature (MRT) from 71.69 °C to 54.23 °C (≈24% reduction) and PMV from 7.33 to 5.70 (≈22% reduction) relative to existing conditions. By integrating expert-based multi-criteria evaluation with simulation-based thermal verification, the study advances a robust and transferable framework for climate-responsive residential landscape planning. The findings reposition soft landscape systems as essential climatic infrastructure, offering actionable guidance for enhancing thermal resilience, reducing cooling-energy dependence, and supporting sustainable residential development in hot–humid regions. Full article
Show Figures

Figure 1

29 pages, 1901 KB  
Systematic Review
From Urban Heat Islands to Resilient Cities: A Conceptual Framework for Resilient and Sustainable Urban Environments
by Agam Podi Kalindu Dhaneesha Mendis and Chamindi Malalgoda
Architecture 2026, 6(1), 32; https://doi.org/10.3390/architecture6010032 - 25 Feb 2026
Viewed by 169
Abstract
Urbanisation and climate change are intensifying heat risks in cities worldwide through the combined effects of global warming and the urban heat island (UHI) phenomenon. Elevated urban temperatures threaten human health, strain infrastructure, increase energy demand and exacerbate socio-spatial inequalities. While architectural and [...] Read more.
Urbanisation and climate change are intensifying heat risks in cities worldwide through the combined effects of global warming and the urban heat island (UHI) phenomenon. Elevated urban temperatures threaten human health, strain infrastructure, increase energy demand and exacerbate socio-spatial inequalities. While architectural and urban design decisions are central to the formation and mitigation of UHI, moving from UHI mitigation to heat-resilient cities requires linking physical interventions with governance capacity, equity, and adaptive learning over time. This paper, therefore, develops a conceptual framework for resilient and sustainable urban environments that embeds built-environment strategies within a broader resilience-oriented governance context. The study combines a narrative review of UHI mechanisms, impacts and mitigation approaches with a systematic review of local-government strategies implemented between 2015 and 2025. Following preferred reporting items for systematic reviews and meta-analyses (PRISMA) guidelines and a population, intervention, comparison, and outcome (PICO)-based search strategy, 100 studies were selected from Scopus and Web of Science and analysed thematically. The review identifies four main domains of local action: green infrastructure; cool and permeable materials; water-based and blue–green infrastructure; and policy, governance and technology. Within these domains, the paper highlights architectural and design-relevant interventions, including shade-oriented streetscapes, climate-responsive building envelopes, ventilation-sensitive urban form, and blue–green corridors, while also examining institutional, financial and social factors that shape implementation and effectiveness. The findings show that combinations of green infrastructure, cool materials and blue–green systems can reduce surface and near-surface air temperatures and improve thermal comfort, with co-benefits for public health, energy efficiency, biodiversity and liveability. However, implementation is frequently constrained by limited financial and technical capacity, fragmented institutions, context-specific trade-offs, and insufficient attention to equity. Building on these insights, the paper proposes a conceptual framework comprising ten components that connect context and drivers; assessment and diagnosis; intervention strategies; implementation mechanisms; enablers; barriers; equity operationalisation; outcomes and effectiveness; monitoring and evaluation; and feedback and iteration. The paper concludes that advancing from urban heat islands to resilient cities requires design innovation supported by enabling governance, equity-centred prioritisation, and iterative monitoring and learning. Full article
(This article belongs to the Special Issue Advancing Resilience in Architecture, Urban Design and Planning)
Show Figures

Figure 1

20 pages, 2137 KB  
Article
Comparing Microclimate Conditions Induced by Semi-Transparent and Conventional Agrivoltaic Systems and Their Effects on Arugula Response (Eruca vesicaria) in Southern Italy
by Hiba Chebli, Giovanna Dragonetti and Abdelouahid Fouial
Resources 2026, 15(2), 33; https://doi.org/10.3390/resources15020033 - 23 Feb 2026
Viewed by 261
Abstract
Agrivoltaic Systems (AV) constitute a viable alternative to mitigate land-use competition by enabling the simultaneous production of agricultural crops and solar photovoltaic energy. However, the heterogeneous shading and microclimatic modifications induced by AV systems can alter solar radiation, crop physiological performance, and, consequently, [...] Read more.
Agrivoltaic Systems (AV) constitute a viable alternative to mitigate land-use competition by enabling the simultaneous production of agricultural crops and solar photovoltaic energy. However, the heterogeneous shading and microclimatic modifications induced by AV systems can alter solar radiation, crop physiological performance, and, consequently, its biomass. This study evaluated the effects of two static ground-mounted AV systems—semi-transparent (ST) and conventional opaque (CON) panels—on the growth, physiology, soil water variations, and yield of Arugula (Eruca vesicaria) cultivated in southern Italy from August to October 2022; compared with an open-field control (REF). Daily soil temperature and water content were monitored, alongside leaf-level gas exchange measurements at three vegetative stages. Global solar radiation was reduced by 70% under ST and 80% under CON, reducing Photosynthetically Active Radiation (PAR), transpiration, and net photosynthesis, while leaf water use efficiency remained comparable to REF. Sequential harvests showed that although yields were consistently highest in REF, ST 50% and CON 50% exhibited partial recovery in fresh and dry biomass by the third cutting, reflecting the mitigating effect of seasonal temperature declines on shading. Notably, soil water uniformity improved under AV systems, reaching 90% under ST and 94% under CON compared with 85% in REF, due to reduced evaporative losses and enhanced lateral soil water redistribution. Overall, while AV-induced shading limits radiation and yield in short-cycle leafy arugula, microclimate modulation under AV systems can enhance soil water distribution and partially buffer growth under less favorable seasonal conditions. These findings highlight the trade-offs between crop productivity and resource-use efficiency in AV systems and emphasize the importance of tailoring their design to crop type and local climatic conditions, providing valuable guidance for future experimental research and for policymakers aiming to support sustainable agrivoltaic deployment. Full article
Show Figures

Figure 1

13 pages, 890 KB  
Article
Effects of At-Home Bleaching on Color Stability and Surface Roughness of Single-Shade, ORMOCER-Based, and Conventional Resin Composites
by Colwin Yee, Hassan Ziada and Neamat Hassan Abubakr
Dent. J. 2026, 14(2), 124; https://doi.org/10.3390/dj14020124 - 22 Feb 2026
Viewed by 161
Abstract
Background/Objectives: This study evaluated the effects of at-home bleaching on color stability (ΔE) and surface roughness (Ra) of a single-shade nanohybrid composite, an ORMOCER-based composite, and a conventional nanohybrid resin composite, acknowledging that bleaching represents only one of several clinical ageing challenges. [...] Read more.
Background/Objectives: This study evaluated the effects of at-home bleaching on color stability (ΔE) and surface roughness (Ra) of a single-shade nanohybrid composite, an ORMOCER-based composite, and a conventional nanohybrid resin composite, acknowledging that bleaching represents only one of several clinical ageing challenges. Methods: One hundred and five extracted, non-carious human molars received standardized Class I restorations and were randomly allocated to five groups (n = 21): an ORMOCER-based composite (Admira Fusion), a single-shade composite (Omnichroma), Omnichroma bonded with an alternative universal adhesive, and two conventional nanohybrid composites (Filtek Supreme Ultra and Harmonize). Baseline and experimental color (CIELAB, ΔE) were measured with a spectrophotometer, and surface roughness (Ra) was measured using a 3D optical profilometer. Specimens underwent five bleaching cycles using 22% carbamide peroxide, with each cycle consisting of 8 h of bleaching followed by 16 h of storage in artificial saliva at 37 °C. Measurements were taken at baseline and after each cycle. The data were analyzed using a repeated-measures ANOVA, with bleaching cycle as the within-subject factor, the effect sizes reported as partial eta-squared (ηp2), and the statistical significance set at α = 0.05. Results: All restorative materials exhibited progressive color change with repeated bleaching, and ΔE values exceeded established clinical acceptability thresholds across materials. The extent of color change varied among materials. None of the evaluated materials maintained clinically acceptable color stability following repeated bleaching cycles. The single-shade composite (Omnichroma) demonstrated the greatest magnitude of color change, particularly when bonded with Scotchbond Universal Bond. Admira Fusion and Filtek Supreme Ultra had lower ΔE values but still exceeded acceptability thresholds. Surface roughness generally decreased following bleaching, with statistically significant reductions in Ra observed for multiple materials. Admira Fusion and Omnichroma bonded with Tokuyama Universal Bond showed minimal surface alteration. Conclusions: All restorative materials demonstrated clinically unacceptable color changes following bleaching, indicating limited esthetic stability under bleaching conditions. ORMOCER-based composites showed comparatively greater resistance to surface roughness alterations. Full article
(This article belongs to the Special Issue Dental Materials Design and Application)
Show Figures

Figure 1

25 pages, 5373 KB  
Article
Temperature Control of Nonlinear Continuous Stirred Tank Reactors Using an Enhanced Nature-Inspired Optimizer and Fractional-Order Controller
by Serdar Ekinci, Davut Izci, Aysha Almeree, Vedat Tümen, Veysel Gider, Ivaylo Stoyanov and Mostafa Jabari
Biomimetics 2026, 11(2), 153; https://doi.org/10.3390/biomimetics11020153 - 19 Feb 2026
Viewed by 330
Abstract
The temperature regulation of nonlinear continuous stirred tank reactor (CSTR) processes remains a challenging control problem due to strong nonlinearities, time-delay effects, and sensitivity to disturbances and parameter variations. Conventional proportional–integral–derivative (PID)-based control strategies often fail to provide the robustness and precision required [...] Read more.
The temperature regulation of nonlinear continuous stirred tank reactor (CSTR) processes remains a challenging control problem due to strong nonlinearities, time-delay effects, and sensitivity to disturbances and parameter variations. Conventional proportional–integral–derivative (PID)-based control strategies often fail to provide the robustness and precision required under such conditions, motivating the use of more flexible controller structures and advanced optimization techniques. In this study, an enhanced joint-opposition artificial lemming algorithm (JOS-ALA) is proposed for the optimal tuning of a fractional-order PID (FOPID) controller applied to CSTR temperature control. The proposed JOS-ALA incorporates a joint opposite selection mechanism into the original ALA to improve population diversity, convergence stability, and resistance to local optima stagnation. A nonlinear CSTR model is linearized around a stable operating point, and the resulting model is employed for controller design and optimization. The FOPID controller parameters are tuned by minimizing a composite cost function that simultaneously accounts for tracking accuracy, overshoot suppression, and instantaneous error behavior. The effectiveness of the proposed approach is assessed through extensive simulation studies and benchmarked against state-of-the-art and high-performance metaheuristic optimizers, including ALA, electric eel foraging optimization (EEFO), linear population size reduction success-history based adaptive differential evolution (L-SHADE), and the improved artificial electric field algorithm (iAEFA). The benchmarking set is further extended with the success rate-based adaptive differential evolution variant (L-SRTDE) to broaden the comparative evaluation. Simulation results demonstrate that the JOS-ALA-based FOPID controller consistently achieves superior performance across multiple criteria. Specifically, it attains the lowest mean cost function value of 0.1959, eliminates overshoot, and yields a normalized steady-state error of 4.7290 × 10−4. In addition, faster transient response and improved robustness under external disturbances and measurement noise are observed when compared with competing methods. Statistical reliability of the observed performance differences is additionally examined using a Wilcoxon signed-rank test conducted over 25 independent runs. The resulting p-values confirm that the improvements achieved by the proposed approach are statistically significant at the 5% level across all pairwise algorithm comparisons. These findings indicate that the proposed JOS-ALA provides an effective and reliable optimization framework for high-precision temperature control in nonlinear CSTR systems and offers strong potential for broader application in complex process control problems. Full article
(This article belongs to the Section Bioinspired Sensorics, Information Processing and Control)
Show Figures

Figure 1

22 pages, 1487 KB  
Systematic Review
Urban Blue Spaces and Urban Heat Island Mitigation: A Bibliometric and Systematic Review of Spatiotemporal Dynamics, Morphology, and Planning Integration
by Jinhua Li, Limei Wang, Xubin Xie and Xin Zhang
Buildings 2026, 16(4), 834; https://doi.org/10.3390/buildings16040834 - 19 Feb 2026
Viewed by 269
Abstract
Urban blue spaces, including rivers, lakes, and ponds, are increasingly recognized as nature-based solutions for mitigating the Urban Heat Island (UHI) effect. However, fragmented evidence and inconsistent evaluation frameworks have limited their effective integration into climate-adaptive urban planning. This study conducts a comprehensive [...] Read more.
Urban blue spaces, including rivers, lakes, and ponds, are increasingly recognized as nature-based solutions for mitigating the Urban Heat Island (UHI) effect. However, fragmented evidence and inconsistent evaluation frameworks have limited their effective integration into climate-adaptive urban planning. This study conducts a comprehensive bibliometric analysis and systematic review to synthesize current knowledge on the cooling effects of urban blue spaces. A total of 110 peer-reviewed publications published between 2015 and 2025 were retrieved from the Web of Science Core Collection and analyzed using the Bibliometric-Systematic Literature Review (B-SLR) framework. The results reveal a rapidly growing research field characterized by increasing interdisciplinary integration. Evidence consistently indicates that the cooling effects of blue spaces exhibit pronounced diurnal and seasonal variability, highlighting a “diurnal paradox” of daytime cooling versus nighttime warming risks, with stronger impacts in summer than in winter. Cooling performance is governed by non-linear morphological thresholds regarding size, shape, spatial configuration, and upwind location, where aerodynamic ventilation is critical for extending the cooling range. Moreover, the interaction between blue spaces, building morphology (gray infrastructure), and green infrastructure plays a decisive role: specific density thresholds in built environments can constrain cooling diffusion, whereas synergistic blue–green integration significantly enhances thermal regulation through coupled evaporative, shading, and ventilation processes. Overall, this review demonstrates a clear shift from isolated temperature-based assessments toward systemic, planning-oriented approaches emphasizing multi-scale integration and context-sensitive design. The findings provide operational parameters and demand-based strategies for optimizing blue infrastructure in climate-resilient urban planning. Full article
Show Figures

Figure 1

Back to TopTop