Sign in to use this feature.

Years

Between: -

Subjects

remove_circle_outline
remove_circle_outline
remove_circle_outline
remove_circle_outline
remove_circle_outline
remove_circle_outline
remove_circle_outline
remove_circle_outline
remove_circle_outline

Journals

remove_circle_outline
remove_circle_outline
remove_circle_outline
remove_circle_outline
remove_circle_outline
remove_circle_outline
remove_circle_outline
remove_circle_outline
remove_circle_outline
remove_circle_outline
remove_circle_outline
remove_circle_outline
remove_circle_outline
remove_circle_outline
remove_circle_outline

Article Types

Countries / Regions

remove_circle_outline
remove_circle_outline
remove_circle_outline
remove_circle_outline
remove_circle_outline

Search Results (975)

Search Parameters:
Keywords = service-oriented modeling

Order results
Result details
Results per page
Select all
Export citation of selected articles as:
26 pages, 5087 KB  
Article
Resilience-Oriented Recovery Optimization of Metro Systems Under Extreme Rainfall-Induced Urban Flooding Disruptions
by Lu Huang, Zhigang Liu, Chengcheng Yu and Bing Yan
Sustainability 2026, 18(5), 2597; https://doi.org/10.3390/su18052597 - 6 Mar 2026
Abstract
Climate-induced natural hazards are increasingly disrupting metro operations in megacities, necessitating robust and generalizable frameworks for system-wide resilience. While current studies often treat infrastructure degradation, operational adjustment, and passenger flow redistribution as separate problems, this study proposes a resilience-oriented decision framework that couples [...] Read more.
Climate-induced natural hazards are increasingly disrupting metro operations in megacities, necessitating robust and generalizable frameworks for system-wide resilience. While current studies often treat infrastructure degradation, operational adjustment, and passenger flow redistribution as separate problems, this study proposes a resilience-oriented decision framework that couples these universal processes together to address diverse disruptive events. Taking extreme rainfall as a critical representative scenario, a multi-objective recovery optimization model is developed to jointly optimize repair resource cost and average section saturation. Resilience is quantified through the demand satisfaction ratio over the disruption–recovery process, ensuring the framework’s applicability across different hazard types. A case study of the Shanghai metro system under a real extreme rainfall event demonstrates the model’s efficacy in capturing complex system dynamics. Results show a clear Pareto trade-off between repair resource cost and average section saturation, while increasing service capacity on adjacent lines improves the Pareto frontier. Prioritizing repairs on lines with the fewest damaged sections effectively reduces network saturation by restoring corridor throughput. The resilience curve proves that higher repair resources not only shorten recovery time but also raise the minimum demand satisfaction ratio. These findings provide a scalable methodology for designing resilient metro recovery strategies under various climate-related disruptions globally. Full article
23 pages, 786 KB  
Article
The Impact of the Farmland Protection Policy on the Adjustment of Grain Planting Structure: Evidence in China
by Yongchang Liu, Jing Zhang, Jingchun Wang, Yonghao Hu and Nanyan Hu
Land 2026, 15(3), 425; https://doi.org/10.3390/land15030425 - 5 Mar 2026
Abstract
The quantity and quality of arable land are the basic prerequisites for food security; the arable land balance policy is a key measure to strictly protect farmland, and plays an important role in ensuring arable land use control, sustainable land use and reducing [...] Read more.
The quantity and quality of arable land are the basic prerequisites for food security; the arable land balance policy is a key measure to strictly protect farmland, and plays an important role in ensuring arable land use control, sustainable land use and reducing the contradiction between people and land. Drawing on panel data from 26 Chinese provinces spanning 2004 to 2017, this study employs the Nerlove supply response model to empirically examine the impact mechanism and regional heterogeneity of the arable land balance policy on the structure of grain crop cultivation, considering variations in land use following farmland supplementation. The findings reveal that the policy has induced fluctuations in grain crop structure, oscillating between “grain-oriented” and “non-grain-oriented” patterns. These shifts are primarily driven by the heterogeneous technological effects associated with farmland supplementation, which influence farmers’ planting decisions. Nonetheless, the policy has helped mitigate the adverse effects of farmland development on grain production, with the mitigation effect being more pronounced in non-major grain-producing regions. Furthermore, supporting measures such as land consolidation, outsourcing of agricultural services, and cross-regional mechanized operations have contributed to maintaining grain crop cultivation after land supplementation. Based on these findings, optimizing the arable land balance policy requires greater alignment with crop-specific production characteristics and regional farming practices. This includes refining the farmland supplementation coefficient and enhancing the policy’s differentiation mechanisms. Policy adjustments should also reflect the economic development levels and natural resource endowments of both major and non-major grain-producing regions, to promote a functional equilibrium in farmland utilization. Additionally, efforts to improve soil fertility and mechanization capabilities following land supplementation are essential to sustaining stable grain production. This study provides decision-making information support for optimizing the arable land balance policy and improving crop planting structure. Full article
(This article belongs to the Special Issue Land Use Policy and Food Security: 3rd Edition)
Show Figures

Figure 1

20 pages, 1919 KB  
Article
Situational Deduction and Active Defense for Distribution Networks Under Complex Conditions: A Service-Oriented Digital Twin Approach
by Yuanyi Xia, Xianbo Du, Xing Chen, Rui Zhang and Ying Zhu
Energies 2026, 19(5), 1323; https://doi.org/10.3390/en19051323 - 5 Mar 2026
Abstract
In modern distribution networks (DNs), extreme weather events and cascading faults pose severe challenges to operational safety. However, existing defense mechanisms struggle with a core question: How to maintain high-fidelity situational awareness and make precise active decisions when physical parameters drift and historical [...] Read more.
In modern distribution networks (DNs), extreme weather events and cascading faults pose severe challenges to operational safety. However, existing defense mechanisms struggle with a core question: How to maintain high-fidelity situational awareness and make precise active decisions when physical parameters drift and historical fault data is scarce? To address this, this paper proposes a situational deduction and active defense framework based on a service-oriented digital twin. First, regarding the modeling fidelity gap, a data–physics fusion mechanism is constructed. By integrating Kirchhoff’s laws with data-driven error correction, it dynamically calibrates time-varying parameters to resolve mapping distortion. Second, regarding the data scarcity bottleneck, a predictive perception method is introduced. Utilizing the digital twin as a generative engine, it augments rare fault samples to enable super-real-time deduction of future trends. Third, regarding the decision-making passivity, a service-driven simulation model is established. It transforms abstract indicators (safety, economy, resilience) into executable constraints, shifting the paradigm from ‘passive response’ to ‘active defense.’ Case studies on a modified IEEE 123-node system demonstrate that the proposed method significantly enhances resilience and decision accuracy under complex conditions. Full article
(This article belongs to the Section F2: Distributed Energy System)
24 pages, 1662 KB  
Article
Optimal Synergistic Attack Strategy Targeting Energy Storage and Load Sides in Integrated Energy Systems
by Shan Cheng, Siyu Wan and Weiwei Liu
Energies 2026, 19(5), 1300; https://doi.org/10.3390/en19051300 - 5 Mar 2026
Abstract
With the large-scale integration of distributed energy resources, modern energy systems are becoming increasingly dependent on communication networks for monitoring and control. This growing reliance exposes integrated energy systems (IESs) to potential cyber threats, as attackers may exploit vulnerabilities in communication protocols to [...] Read more.
With the large-scale integration of distributed energy resources, modern energy systems are becoming increasingly dependent on communication networks for monitoring and control. This growing reliance exposes integrated energy systems (IESs) to potential cyber threats, as attackers may exploit vulnerabilities in communication protocols to disrupt system operation. However, most existing studies primarily investigate the stable operation of electro–thermal coupled systems from a defensive standpoint, while paying limited attention to the potential economic damage that could be induced from an attacker’s perspective. Motivated by this gap, this paper develops an optimal coordinated attack strategy targeting both energy storage units and load-side resources from the attacker’s viewpoint. First, an economic dispatch model for an electricity–heat–gas integrated energy system is established, and a fully distributed solution algorithm is proposed to obtain the optimal economic operating cost. Subsequently, by compromising energy storage and load units with relatively low security levels, a three-stage coordinated cyber-attack framework is designed for the IES. In the first two stages, covert data integrity attacks (DIAs) are launched to inject falsified power information into the system. In the third stage, a denial-of-service (DoS) attack is introduced to operate in synergy with the DIAs, forcing the system to converge to a feasible yet economically suboptimal operating point. The optimal initiation timing of the DoS attack is derived through theoretical analysis. Simulation results demonstrate that the proposed strategy can induce an economic loss of approximately 21.7% while maintaining system feasibility. By revealing these latent vulnerabilities from an attacker-oriented perspective, this study provides a theoretical basis for the development of proactive defense mechanisms, thereby enhancing the long-term economic and operational security of future integrated energy systems. Full article
Show Figures

Figure 1

45 pages, 2799 KB  
Article
Customer Experience Quality and Its Marketing Outcomes in Banking: Evidence from Industry in Transition
by Tanja Džinić, Đorđe Ćelić, Viktorija Petrov and Zoran Drašković
Systems 2026, 14(3), 278; https://doi.org/10.3390/systems14030278 - 4 Mar 2026
Abstract
Human–technology relationships have become core strategic capabilities and enablers of enterprise sustainability. Contemporary interactions between humans and technology are undergoing a profound transformation toward a more human-centric and value-oriented paradigm, aiming for Industry and Society 5.0, a shift that is particularly salient in [...] Read more.
Human–technology relationships have become core strategic capabilities and enablers of enterprise sustainability. Contemporary interactions between humans and technology are undergoing a profound transformation toward a more human-centric and value-oriented paradigm, aiming for Industry and Society 5.0, a shift that is particularly salient in banking. The influence of customer experience quality on the strategic foundations of enterprise management is being fundamentally redefined. The purpose of this research is to assess the influence of customer experience on marketing outcomes in the banking industry. To analyze the directions, strengths, and statistical significance of relationships, structural equation modeling (SEM) using partial least squares (PLS) was employed. The research model was tested on a sample of 616 valid responses from customers of banking services in Serbia. The research shows that customer experience positively impacts customer satisfaction, behavioral loyalty intentions, and word-of-mouth, making it a strong predictor of marketing outcomes. The moderating roles of gender, customer segment, and respondents’ regional affiliation were tested, identifying variables that moderate significant relationships between customer experience and marketing outcomes, unveiling detailed insights into demographic and segmentation disparities. The findings offer robust empirical support for managerial decision making in customer experience enhancement initiatives. Full article
Show Figures

Figure 1

46 pages, 9507 KB  
Review
Recycled Cellulosic Natural Fibers and Their Reinforced Polymer Composites: Processing Methods, Applications, Challenges and Future Directions
by Mulat Alubel Abtew, Esubalew Kasaw Gebeyehu, Bekinew Kitaw Dejene and Desalegn Atalie
Sustainability 2026, 18(5), 2500; https://doi.org/10.3390/su18052500 - 4 Mar 2026
Viewed by 46
Abstract
Recycled cellulosic fiber (RCF) composites offer significant potential to reduce environmental burdens associated with virgin fiber production; however, their broader adoption remains limited by feedstock variability, recycling-induced degradation, and uncertainty regarding long-term performance. This review critically synthesizes recent advances in RCF composites using [...] Read more.
Recycled cellulosic fiber (RCF) composites offer significant potential to reduce environmental burdens associated with virgin fiber production; however, their broader adoption remains limited by feedstock variability, recycling-induced degradation, and uncertainty regarding long-term performance. This review critically synthesizes recent advances in RCF composites using a structure–processing–performance–sustainability framework, treating recycled fibers as secondary materials with distinct morphological, chemical, and mechanical characteristics rather than direct substitutes for virgin reinforcements. Emphasis is placed on the effects of fiber shortening, surface damage, moisture sensitivity, and altered surface chemistry on interfacial adhesion, load transfer efficiency, durability, and failure mechanisms. The analysis reveals that many reported performance discrepancies arise from poorly defined structure–property relationships and the absence of standardized characterization, grading, and durability testing protocols for recycled fibers. Addressing these gaps enables more reliable predictive modeling and application-specific material design. Beyond mechanical behavior, the review evaluates various critical factors for integration into higher-value applications such as durability under realistic service conditions, including environmental aging, fire performance, and long-term stability. Emerging strategies such as hybrid reinforcement, environmentally benign surface functionalization, smart functionalities, and recyclable or bio-based matrices are assessed for their potential to enhance multifunctionality and circularity. Overall, the findings indicate that RCF composites can meaningfully contribute to circular material systems if materials design, performance validation, and life-cycle assessment are integrated systematically. Advancing standardized evaluation and aligning materials innovation with circular economy principles are essential to transition RCF composites from downcycled applications to reliable, performance-oriented components in sustainable engineering systems. Full article
(This article belongs to the Special Issue Advanced Materials and Technologies for Environmental Sustainability)
Show Figures

Figure 1

26 pages, 8185 KB  
Article
Scenario-Based Economic Valuation of Forest Carbon Sequestration in Nepal: Implications for REDD+ (2030–2050)
by Gita Bhushal and Pankaj Lal
Sustainability 2026, 18(5), 2468; https://doi.org/10.3390/su18052468 - 3 Mar 2026
Viewed by 105
Abstract
Land use and land cover (LULC) change strongly influences national carbon dynamics and the effectiveness of forest-based climate mitigation strategies, particularly in mountainous developing countries. This study integrates scenario-based LULC modeling, spatially explicit carbon accounting, and economic valuation to assess how alternative development [...] Read more.
Land use and land cover (LULC) change strongly influences national carbon dynamics and the effectiveness of forest-based climate mitigation strategies, particularly in mountainous developing countries. This study integrates scenario-based LULC modeling, spatially explicit carbon accounting, and economic valuation to assess how alternative development pathways affect carbon storage and its economic value in Nepal over the 2020–2050 period. LULC projections for four scenarios: Business-as-Usual (BAU), Rapid Urban Development (RUD), Forest Degradation and Terai Contraction (FDTC), and Agricultural Land Abandonment and Ecological Recovery (ALER), were generated using the TerrSet Land Change Modeler, with 2020 as the baseline. These projections were then used as inputs to the Integrated Valuation of Ecosystem Services and Tradeoffs (InVEST) Carbon Storage and Sequestration model to estimate changes in ecosystem carbon stocks, integrating aboveground biomass, belowground biomass, soil organic carbon, and dead organic matter pools. Carbon stock changes were monetized using a constant carbon price of USD 5/tCO2e and a 3% discount rate to estimate net present values (NPV). Results reveal strong divergence across scenarios. National carbon storage remains near-neutral under BAU (−0.46% by 2050), declines under RUD (−2.42%) and FDTC (−5.32%), and increases substantially under ALER (+11.74%). These biophysical outcomes translate into contrasting economic values: BAU yields a small negative NPV, RUD and FDTC generate large discounted losses, and ALER produces a strongly positive NPV exceeding USD 800 million by 2050. Spatially, forest and other wooded land dominate national carbon dynamics, while urban expansion and forest degradation drive disproportionate losses. Overall, the study results demonstrate that recovery-oriented land-use pathways offer substantially greater long-term carbon and economic benefits than development trajectories dominated by urban expansion or forest degradation, providing a policy-relevant framework to support Reducing Emissions from Deforestation and Forest Degradation, together with conservation, sustainable forest management, and enhancement of forest carbon stocks (REDD+) planning and long-term mitigation assessment in Nepal. Full article
Show Figures

Figure 1

38 pages, 3393 KB  
Article
Synergistic Optimization of Land Use and Ecosystem Services in Arid Regions: Scenario Simulation of the Hexi Corridor Based on the PLUS Model
by Qian Wang, Zhengang Yan and Wei Li
Land 2026, 15(3), 414; https://doi.org/10.3390/land15030414 - 3 Mar 2026
Viewed by 59
Abstract
Arid ecological transition zones are highly sensitive to climate change and human activities, but land use optimization strategies for them often lack policy-oriented quantitative analysis. This study uses the Hexi Corridor in China as a case study, integrating multi-level policy planning indicators with [...] Read more.
Arid ecological transition zones are highly sensitive to climate change and human activities, but land use optimization strategies for them often lack policy-oriented quantitative analysis. This study uses the Hexi Corridor in China as a case study, integrating multi-level policy planning indicators with the PLUS model to construct four scenarios: natural changes, economic growth, ecological protection, and planning-constrained development. This approach enhances policy compatibility (Kappa = 0.86). The study analyzes land use changes from 2000 to 2020 and simulates changes for 2030, with a focus on their impact on ecosystem service value (ESV). Key findings include the following: (1) Between 2000 and 2020, unused land and grassland dominated the area, with construction land expanding by 164.73%. (2) The planning-constrained development scenario maximized ESV (CNY 220.46 billion, up 7.7% from 2020), while controlling construction land growth (+30.11%). (3) Hydrological and climate regulation are the primary contributors to ESV, with the expansion of water areas by 113,032.60 hectares under ecological protection showing the effectiveness of policy intervention. Innovations in this study include the proposal of a “policy–model” coupling framework, offering actionable guidance for ecological protection and economic development in arid regions. Full article
Show Figures

Figure 1

22 pages, 5311 KB  
Article
Spatio-Temporal Local Sensitivity and Structural Attribution of Coordinated High-Quality New-Type Urbanization Towards Sustainable Development in China: Evidence from GTWR and OPGD Models
by Guanjun Huang, Liang Qiao and Qunli Fang
Sustainability 2026, 18(5), 2459; https://doi.org/10.3390/su18052459 - 3 Mar 2026
Viewed by 67
Abstract
New-type urbanization (NTU) is a key driver of high-quality development and progress toward the Sustainable Development Goals (SDGs) in China. While existing studies acknowledge the multidimensional nature of this process, they often measure it as a single composite aggregate. This approach masks the [...] Read more.
New-type urbanization (NTU) is a key driver of high-quality development and progress toward the Sustainable Development Goals (SDGs) in China. While existing studies acknowledge the multidimensional nature of this process, they often measure it as a single composite aggregate. This approach masks the system’s local sensitivity to internal structural changes and obscures the spatially stratified heterogeneity of dominant drivers. To address this gap, this study constructs construct a comprehensive evaluation index system using panel data for 280 prefecture-level and above cities in China from 2001 to 2023. This study integrates the entropy-weighted TOPSIS method, a modified coupling coordination degree model (MCCD), geographically and temporally weighted regression (GTWR), and the optimal parameters geographical detector (OPGD). Using this framework, this study investigates the spatio-temporal characteristics of the coordinated high-quality development (CHQD) in NTU, systematically dissecting the spatial heterogeneity of local sensitivities and dominant drivers. The results indicate that the following: (1) CHQD exhibits a continuous upward trajectory characterized by significant regional convergence, with the center of gravity gradually shifting southwest. Structurally, green and social dimensions demonstrate the most rapid growth, progressively superseding spatial expansion as primary growth poles. (2) The structural decomposition reveals clear spatially stratified heterogeneity in local sensitivity. The coastal East faces “diminishing marginal utility” of traditional factor inputs, whereas the Central and Western regions continue to reap “structural dividends” from factor accumulation. (3) The dominant drivers shaping spatial heterogeneity have undergone a sequential evolution from an early “resource-space orientation” to a later “innovation-service orientation.” For instance, in the eastern region, the proportion of construction land (L2) had a single-factor explanatory power (q-statistic) of 0.791. However, its interactions with science and technology expenditure (E3) and other factors yielded q-statistics exceeding 0.820, indicating a marked synergistic effect. These findings support region-specific policy recommendations to promote CHQD and inform sustainable urbanization pathways in China. Full article
Show Figures

Figure 1

19 pages, 9417 KB  
Article
Global–Local Linkage Patterns of Guangdong’s Industries: Evidence from Multi-Scale Input–Output Network Analysis
by Lingxiao Mao, Yi Liu, Xiaoying Qian, Weishi Zhang and Chaoyu Zhang
Systems 2026, 14(3), 272; https://doi.org/10.3390/systems14030272 - 3 Mar 2026
Viewed by 129
Abstract
Globalization has reorganized industrial spatial patterns, embedding regional economies into complex global production systems. However, the existing literature primarily focuses on the national level, leaving the “global-national-local” multi-scale linkages of sub-national regions underexplored. Focusing on Guangdong, which is China’s most open economic gateway, [...] Read more.
Globalization has reorganized industrial spatial patterns, embedding regional economies into complex global production systems. However, the existing literature primarily focuses on the national level, leaving the “global-national-local” multi-scale linkages of sub-national regions underexplored. Focusing on Guangdong, which is China’s most open economic gateway, this study constructs a nested Multi-Regional input–output (MRIO) model to systematically reveal its industrial linkage paths across multiple scales. The results demonstrate that Guangdong features “strong local services and extensive global connections.” Specifically, the network is led by the high-R&D-intensity category and supported by energy and low-R&D categories, highlighted by two core supply paths, which are non-metallic mineral supply for construction and metal product support for optical–electrical manufacturing. Four heterogeneous modes are identified: resource security, innovation-driven dual circulation, cost-competitive regional division, and export-oriented service support. Crucially, the provincial “domestic intermediate chains plus international core chains” logic underscores Guangdong’s role as a bridge connecting Global and Domestic Value Chains. Theoretically, this work enriches the local dimension of Global Production Network theory. Methodologically, it provides an operational tool for nested analysis. Practically, it offers policy evidence for open economies to optimize industrial layouts and enhance supply chain resilience. Full article
(This article belongs to the Section Systems Practice in Social Science)
Show Figures

Figure 1

19 pages, 1090 KB  
Article
Facilitating AI-Driven Sustainability: A Service-Oriented Architecture for Interoperable Environmental Data Access
by Babak Jalalzadeh Fard, Sadid A. Hasan and Jesse E. Bell
Sustainability 2026, 18(5), 2445; https://doi.org/10.3390/su18052445 - 3 Mar 2026
Viewed by 234
Abstract
Advances in artificial intelligence (AI), particularly agentic AI, have created opportunities to enhance global sustainability by improving the efficiency and accuracy of environmental monitoring and response systems. Agentic AIs autonomously plan and execute towards specific goals with minimal or no human intervention; however, [...] Read more.
Advances in artificial intelligence (AI), particularly agentic AI, have created opportunities to enhance global sustainability by improving the efficiency and accuracy of environmental monitoring and response systems. Agentic AIs autonomously plan and execute towards specific goals with minimal or no human intervention; however, accessing environmental data is challenging and requires expertise due to inherent fragmentation and the diversity of data formats. The Model Context Protocol (MCP) is an open standard that allows AI systems to securely access and interact with diverse software tools and data sources through unified interfaces, reducing the need for custom integrations while enabling more accurate, context-aware assistance. This study introduces WeatherInfo_MCP, an interface that provides the required expertise for AI agents to access National Weather Service (NWS) data. Built on a service-oriented architecture, the system uses a centralized engine to handle robust geocoding and data extraction while providing AI agents with simple, independent tools to retrieve weather data from the NWS API. The system was validated through 14 unit tests and 23 comprehensive protocol compliance tests against the MCP 2025-06-18 specification, achieving a 100% pass rate across all categories, demonstrating its reliability when working with AI agents. We also successfully tested our model alongside a memory MCP to showcase its performance in a multi-MCP environment. While in its earliest version, WeatherInfo_MCP connects to the NWS API, its modular design and compliance with software development and MCP standards facilitate immediate expansion to additional environmental data and tools. WeatherInfo_MCP is released as an open-source tool to support the sustainable development community, enabling broad adoption of AI agents for environmental use cases. Full article
(This article belongs to the Special Issue Artificial Intelligence and Sustainable Development)
Show Figures

Graphical abstract

23 pages, 644 KB  
Article
A Deployment-Oriented Hybrid Semantic–QoS Framework for Web Service Selection: A Comparative Study of Transformer Encoders
by Vijayalakshmi Mahanra Rao, R Kanesaraj Ramasamy and Md Shohel Sayeed
Information 2026, 17(3), 242; https://doi.org/10.3390/info17030242 - 2 Mar 2026
Viewed by 110
Abstract
Transformer-based language models have been increasingly adopted to enhance semantic awareness in web service selection systems. However, the computational cost of large transformer encoders poses significant challenges for real-time and resource-constrained deployment scenarios. This study presents a deployment-oriented hybrid semantic–QoS framework that integrates [...] Read more.
Transformer-based language models have been increasingly adopted to enhance semantic awareness in web service selection systems. However, the computational cost of large transformer encoders poses significant challenges for real-time and resource-constrained deployment scenarios. This study presents a deployment-oriented hybrid semantic–QoS framework that integrates transformer-based domain-level semantic signals with traditional Quality of Service (QoS) metrics to support scalable service selection pipelines. Rather than aiming to establish end-to-end ranking optimality, this work focuses on a comparative analysis of transformer encoders within a unified pipeline, emphasizing accuracy–latency trade-offs, resource utilization, and deployment feasibility. Four representative BERT family models—BERT, DistilBERT, RoBERTa, and ALBERT—are evaluated under identical experimental conditions. The semantic component operates at the level of domain relevance estimation, and its output is combined with QoS indicators using a controllable weighting mechanism to examine sensitivity to deployment priorities. The results reveal clear trade-offs between semantic expressiveness and computational efficiency, with lightweight models such as DistilBERT demonstrating favorable scalability and response-time characteristics despite reduced semantic capacity. The findings provide practical insights for selecting transformer encoders in QoS-aware service selection pipelines deployed in cloud, edge, or real-time environments. By framing evaluation around deployment feasibility rather than ranking optimality, this study offers guidance for balancing semantic enrichment with operational constraints in real-world service selection systems. Full article
(This article belongs to the Section Information Systems)
Show Figures

Graphical abstract

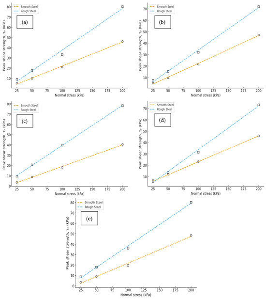
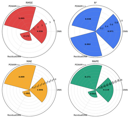
50 pages, 13200 KB  
Article
Sand–Steel Interface Performance Using Fibre Reinforcement: Experimental and Physics-Guided Artificial Intelligence Prediction
by Rayed Almasoudi, Abolfazl Baghbani and Hossam Abuel-Naga
Sustainability 2026, 18(5), 2368; https://doi.org/10.3390/su18052368 - 28 Feb 2026
Viewed by 170
Abstract
Soil–steel interface shear governs load transfer and long-term serviceability in piles, retaining systems, and buried infrastructure; yet the large-displacement interface mechanics of fibre-reinforced sands remain poorly resolved, limiting sustainable design. This study couples large-displacement ring-shear testing with physics-guided hybrid AI to quantify and [...] Read more.
Soil–steel interface shear governs load transfer and long-term serviceability in piles, retaining systems, and buried infrastructure; yet the large-displacement interface mechanics of fibre-reinforced sands remain poorly resolved, limiting sustainable design. This study couples large-displacement ring-shear testing with physics-guided hybrid AI to quantify and predict the peak and residual resistance of sand–polypropylene fibre mixtures sliding on smooth and rough steel. Two quartz sands with contrasting particle morphology were tested under 25–200 kPa normal stress and 0–1.0% fibre content, producing a design-oriented database that captures post-peak evolution and residual states. The experiments reveal a strongly nonlinear reinforcement law: an optimum fibre range enhances dilation, stabilises the shear band, suppresses post-peak softening, and increases residual strength, whereas excessive fibres disrupt the granular skeleton and reduce mobilisation efficiency. Roughness and confinement act as amplifiers, intensifying fibre-driven dilation and asperity interlock. To translate mechanisms into prediction, three strategies were benchmarked: a deep neural network (DNN), the Physics-Guided Neural Additive Model (PG-NAM++), and the physics-anchored Residual-DNN that learns only the correction to a mechanical baseline. Residual-DNN achieved the tightest agreement and the highest physical consistency for both peak and residual strength, enabling robust parameter selection with reduced uncertainty and overdesign. The combined experimental–AI framework advances the United Nations Sustainable Development Goals (SDGs) by supporting SDG 9 through resilient, innovation-led infrastructure design and contributing to SDG 12 by enabling optimised (rather than maximal) use and reuse of reinforcement materials within circular ground-improvement practice. Full article
Show Figures

Figure 1

26 pages, 603 KB  
Article
Sustainable Operations of SMEs in the Southern Thailand Special Economic Corridor: The Roles of Dynamic Capabilities and Business Model Innovation
by Supawadee Sutthirak, Buntarika Jaikrajang, Somnuek Lertkaew and Somnuk Aujirapongpan
Sustainability 2026, 18(5), 2348; https://doi.org/10.3390/su18052348 - 28 Feb 2026
Viewed by 131
Abstract
As Thailand advances regional economic revitalization through the Southern Thailand Special Economic Corridor (SSEC), small and medium-sized enterprises (SMEs) have become pivotal to sustainable economic transformation. However, limited empirical evidence explains how environmental pressures are translated into sustained firm-level performance within policy-driven regional [...] Read more.
As Thailand advances regional economic revitalization through the Southern Thailand Special Economic Corridor (SSEC), small and medium-sized enterprises (SMEs) have become pivotal to sustainable economic transformation. However, limited empirical evidence explains how environmental pressures are translated into sustained firm-level performance within policy-driven regional economies. To address this gap, this study examines the structural relationships among the external environment, dynamic capabilities, business model innovation, and SMEs’ business success across four SSEC provinces. Drawing on Dynamic Capabilities Theory (DCT) and the Resource-Based View (RBV), the study proposes that external conditions stimulate internal adaptive capabilities, which subsequently enable firms to reconfigure business models and achieve durable business performance. Using stratified sampling, data were collected from 412 SMEs in the manufacturing, trade, and service sectors. The data were analyzed using covariance-based structural equation modeling. The results reveal that while the external environment does not exert a significant direct effect on business success, it influences performance indirectly through a sequential capability–innovation pathway, supporting an indirect-only mediation pattern. Dynamic capabilities significantly enhance both business model innovation and business success, whereas business model innovation emerges as the strongest direct predictor of performance. By identifying an indirect-only mediation mechanism, the study specifies the structural boundary condition under which environmental dynamism translates into sustainable firm performance within regional economic corridors. From a sustainability perspective, the findings further demonstrate that long-term regional resilience in emerging economic corridors depends not solely on macro-level policy initiatives but on SMEs’ capability to continuously reconfigure resources, renew business models, and adapt strategically under structural volatility. Accordingly, the study provides integrated theoretical and policy insights for capability-driven sustainability and innovation-oriented regional development. Full article
(This article belongs to the Section Economic and Business Aspects of Sustainability)
Show Figures

Figure 1

40 pages, 4853 KB  
Article
Government Regulation and Safe Production in Agricultural Enterprises: Panel Tracking of Regulatory Perceptions and Cross-Sectional Analysis from China
by Mingjian Xie and Zhibin Tao
Agriculture 2026, 16(5), 535; https://doi.org/10.3390/agriculture16050535 - 27 Feb 2026
Viewed by 161
Abstract
With the rapid advancement of agricultural modernization, ensuring production safety has become a pressing concern, yet the mechanisms through which government regulation fosters safe production remain underexplored. This study addresses this gap using a two-stage survey design: first, panel-tracked survey data collected from [...] Read more.
With the rapid advancement of agricultural modernization, ensuring production safety has become a pressing concern, yet the mechanisms through which government regulation fosters safe production remain underexplored. This study addresses this gap using a two-stage survey design: first, panel-tracked survey data collected from 2021 to 2024 are used to document the evolution of regulatory perceptions among agricultural enterprises; second, a cross-sectional analytical design based on three survey waves conducted in 2024 is employed to examine the effect mechanisms using structural equation modeling method. Drawing on survey data from 485 Chinese agricultural enterprises in 2024, the findings show that four regulatory types—normative, punitive, incentive, and service—promote safe production both directly and indirectly through dual pathways: knowledge acquisition (cognitive–technical capacity building) and risk awareness (preventive attitudinal orientation). Mediation comparison analysis reveals that these two mechanisms exert equivalent effects across all regulatory pathways, indicating complementary rather than competing roles. Theoretically, the study advances regulatory pluralism and dual-mediation frameworks in organizational safety research; practically, it offers guidance for policymakers to design integrated regulatory portfolios and for managers to strengthen both knowledge systems and risk-aware cultures. Full article
(This article belongs to the Section Agricultural Economics, Policies and Rural Management)
Show Figures

Figure 1

Back to TopTop