Sign in to use this feature.

Years

Between: -

Subjects

remove_circle_outline
remove_circle_outline
remove_circle_outline
remove_circle_outline
remove_circle_outline
remove_circle_outline
remove_circle_outline
remove_circle_outline
remove_circle_outline

Journals

remove_circle_outline
remove_circle_outline
remove_circle_outline
remove_circle_outline
remove_circle_outline
remove_circle_outline
remove_circle_outline
remove_circle_outline
remove_circle_outline

Article Types

Countries / Regions

remove_circle_outline
remove_circle_outline
remove_circle_outline
remove_circle_outline

Search Results (344)

Search Parameters:
Keywords = sense of danger

Order results
Result details
Results per page
Select all
Export citation of selected articles as:
26 pages, 48109 KB  
Article
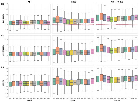
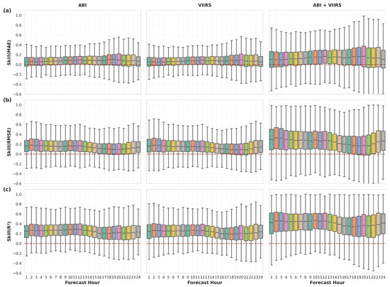
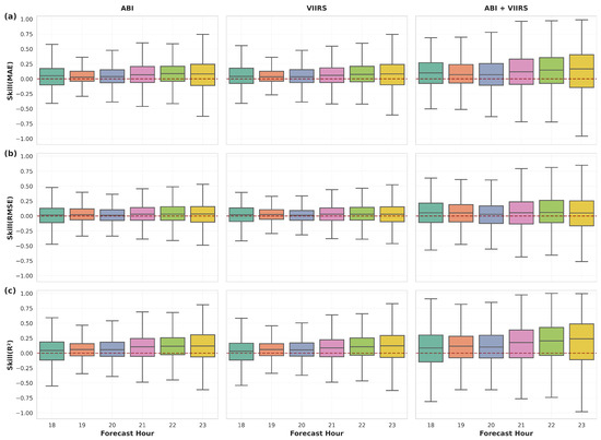
Quantifying VIIRS and ABI Contributions to Hourly Dead Fuel Moisture Content Estimation Using Machine Learning
by John S. Schreck, William Petzke, Pedro A. Jiménez y Muñoz and Thomas Brummet
Remote Sens. 2026, 18(2), 318; https://doi.org/10.3390/rs18020318 - 17 Jan 2026
Viewed by 160
Abstract
Fuel moisture content (FMC) estimation is essential for wildfire danger assessment and fire behavior modeling. This study quantifies the value of integrating satellite observations from the Visible Infrared Imaging Radiometer Suite (VIIRS) aboard Suomi-NPP and the Advanced Baseline Imager (ABI) aboard GOES-16 with [...] Read more.
Fuel moisture content (FMC) estimation is essential for wildfire danger assessment and fire behavior modeling. This study quantifies the value of integrating satellite observations from the Visible Infrared Imaging Radiometer Suite (VIIRS) aboard Suomi-NPP and the Advanced Baseline Imager (ABI) aboard GOES-16 with High-Resolution Rapid Refresh (HRRR) numerical weather prediction data for hourly 10 h dead FMC estimation across the continental United States. We leverage the complementary characteristics of each system: VIIRS provides enhanced spatial resolution (375–750 m), while ABI contributes high temporal frequency observations (hourly). Using XGBoost machine learning models trained on 2020–2021 data, we systematically evaluate performance improvements stemming from incorporating satellite retrievals individually and in combination with HRRR meteorological variables through eight experimental configurations. Results demonstrate that while both satellite systems individually enhance prediction accuracy beyond HRRR-only models, their combination provides substantially greater improvements: 27% RMSE and MAE reduction and 46.7% increase in explained variance (R2) relative to HRRR baseline performance. Comprehensive seasonal analysis reveals consistent satellite data contributions across all seasons, with stable median performance throughout the year. Diurnal analysis across the complete 24 h cycle shows sustained improvements during all hours, not only during satellite overpass times, indicating effective integration of temporal information. Spatial analysis reveals improvements in western fire-prone regions where afternoon overpass timing aligns with peak fire danger conditions. Feature importance analysis using multiple explainable AI methods demonstrates that HRRR meteorological variables provide the fundamental physical framework for prediction, while satellite observations contribute fine-scale refinements that improve moisture estimates. The VIIRS lag-hour predictor successfully maintains observational value up to 72 h after acquisition, enabling flexible operational implementation. This research demonstrates the first systematic comparison of VIIRS versus ABI contributions to dead FMC estimation and establishes a framework for hourly, satellite-enhanced FMC products that support more accurate fire danger assessment and enhanced situational awareness for wildfire management operations. Full article
(This article belongs to the Section AI Remote Sensing)
Show Figures

Figure 1

25 pages, 1039 KB  
Review
Interferon Regulatory Factors in Alcohol-Associated Liver Disease: Cell-Type Programs, Danger Signaling, and Therapeutic Opportunities
by Haibo Dong, Wei Guo and Zhanxiang Zhou
Curr. Issues Mol. Biol. 2026, 48(1), 92; https://doi.org/10.3390/cimb48010092 - 16 Jan 2026
Viewed by 165
Abstract
Alcohol-associated liver disease (ALD) contributes substantially to the global burden of cirrhosis and liver-related mortality, driven by ethanol metabolism, oxidative stress, and dysregulated immune signaling. Despite rapidly growing evidence implicating interferon regulatory factors (IRFs) in ALD pathogenesis, an integrated framework linking ethanol-induced danger [...] Read more.
Alcohol-associated liver disease (ALD) contributes substantially to the global burden of cirrhosis and liver-related mortality, driven by ethanol metabolism, oxidative stress, and dysregulated immune signaling. Despite rapidly growing evidence implicating interferon regulatory factors (IRFs) in ALD pathogenesis, an integrated framework linking ethanol-induced danger signals to cell-type-specific IRF programs is lacking. In this comprehensive review, we summarize current knowledge on IRF-centered signaling networks in ALD, spanning DAMP–PAMP sensing, post-translational IRF regulation, and downstream inflammatory, metabolic, and fibrogenic outcomes across various cell types in the liver, including hepatocytes and immune-related cells such as Kupffer cells, monocyte-derived macrophages, dendritic cells, T cells, hepatic stellate cells (HSC), and neutrophils. We also focus on how ethanol-driven DAMP and PAMP signals activate TLR4, TLR9, and cGAS–STING pathways to engage a coordinated network of IRFs—including IRF1, IRF3, IRF4, IRF5, IRF7, and IRF9—that collectively shape inflammatory, metabolic, and cell-fate programs across hepatic cell populations. We further highlight emerging therapeutic strategies such as STING/TBK1 inhibition, NETosis blockade, IL-22-based epithelial repair, and JAK-STAT modulation that converge on IRF pathways. In summary, this review outlines how IRFs contribute to ALD pathogenesis and discusses the potential implications for the development of targeted therapies. Full article
Show Figures

Figure 1

21 pages, 14110 KB  
Article
Estimating Cloud Base Height via Shadow-Based Remote Sensing
by Lipi Mukherjee and Dong L. Wu
Remote Sens. 2026, 18(1), 147; https://doi.org/10.3390/rs18010147 - 1 Jan 2026
Viewed by 292
Abstract
Low clouds significantly impact weather, climate, and multiple environmental and economic sectors such as agriculture, fire risk management, aviation, and renewable energy. Accurate knowledge of cloud base height (CBH) is critical for optimizing crop yields, improving fire danger forecasts, enhancing flight safety, and [...] Read more.
Low clouds significantly impact weather, climate, and multiple environmental and economic sectors such as agriculture, fire risk management, aviation, and renewable energy. Accurate knowledge of cloud base height (CBH) is critical for optimizing crop yields, improving fire danger forecasts, enhancing flight safety, and increasing solar energy efficiency. This study evaluates a shadow-based CBH retrieval method using Moderate Resolution Imaging Spectroradiometer (MODIS) satellite visible imagery and compares the results against collocated lidar measurements from the Micro-Pulse Lidar Network (MPLNET) ground stations. The shadow method leverages sun–sensor geometry to estimate CBH from the displacement of cloud shadows on the surface, offering a practical and high-resolution passive remote sensing technique, especially useful where active sensors are unavailable. The validation results show strong agreement, with a correlation coefficient (R) = 0.96 between shadow-based and lidar-derived CBH estimates, confirming the robustness of the approach for shallow, isolated cumulus clouds. The method’s advantages include direct physical height estimation without reliance on cloud top heights or stereo imaging, applicability across archived datasets, and suitability for diurnal studies. This work highlights the potential of shadow-based retrievals as a reliable, cost-effective tool for global low cloud monitoring, with important implications for atmospheric research and operational forecasting. Full article
Show Figures

Figure 1

25 pages, 1050 KB  
Review
IoT-Based Approaches to Personnel Health Monitoring in Emergency Response
by Jialin Wu, Yongqi Tang, Feifan He, Zhichao He, Yunting Tsai and Wenguo Weng
Sustainability 2026, 18(1), 365; https://doi.org/10.3390/su18010365 - 30 Dec 2025
Viewed by 396
Abstract
The health and operational continuity of emergency responders are fundamental pillars of sustainable and resilient disaster management systems. These personnel operate in high-risk environments, exposed to intense physical, environmental, and psychological stress. This makes it crucial to monitor their health to safeguard their [...] Read more.
The health and operational continuity of emergency responders are fundamental pillars of sustainable and resilient disaster management systems. These personnel operate in high-risk environments, exposed to intense physical, environmental, and psychological stress. This makes it crucial to monitor their health to safeguard their well-being and performance. Traditional methods, which rely on intermittent, voice-based check-ins, are reactive and create a dangerous information gap regarding a responder’s real-time health and safety. To address this sustainability challenge, the convergence of the Internet of Things (IoT) and wearable biosensors presents a transformative opportunity to shift from reactive to proactive safety monitoring, enabling the continuous capture of high-resolution physiological and environmental data. However, realizing a field-deployable system is a complex “system-of-systems” challenge. This review contributes to the field of sustainable emergency management by analyzing the complete technological chain required to build such a solution, structured along the data workflow from acquisition to action. It examines: (1) foundational health sensing technologies for bioelectrical, biophysical, and biochemical signals; (2) powering strategies, including low-power design and self-powering systems via energy harvesting; (3) ad hoc communication networks (terrestrial, aerial, and space-based) essential for infrastructure-denied disaster zones; (4) data processing architectures, comparing edge, fog, and cloud computing for real-time analytics; and (5) visualization tools, such as augmented reality (AR) and heads-up displays (HUDs), for decision support. The review synthesizes these components by discussing their integrated application in scenarios like firefighting and urban search and rescue. It concludes that a robust system depends not on a single component but on the seamless integration of this entire technological chain, and highlights future research directions crucial for quantifying and maximizing its impact on sustainable development goals (SDGs 3, 9, and 11) related to health, sustainable cities, and resilient infrastructure. Full article
Show Figures

Figure 1

17 pages, 575 KB  
Article
Custodian of Autonomous AI Systems in the UAE: An Adapted Legal Framework
by Mohamed Morsi Abdou
Laws 2026, 15(1), 2; https://doi.org/10.3390/laws15010002 - 25 Dec 2025
Viewed by 684
Abstract
The existence of a legal framework for Artificial Intelligence systems is of great importance for the growth and development of this advanced technology, especially given the growing sense of legal insecurity that may arise from potential irreparable harm. Therefore, the issue of legal [...] Read more.
The existence of a legal framework for Artificial Intelligence systems is of great importance for the growth and development of this advanced technology, especially given the growing sense of legal insecurity that may arise from potential irreparable harm. Therefore, the issue of legal liability for AI systems is one of the most critical legal topics that should receive the attention of legal literature. This paper critically examines the tempting analogy between the liability of custodians and the liability of operators of AI systems under UAE law. This paper seeks to address this legal gap, by offering suggestions and sharing examples of the legal requirements necessary to establish appropriate liability rules for AI. This legal gap can be filled by improving the provisions of custodian liability in UAE law. Our analysis focuses on three main concerns: (i) proposing an expansion of the concept of thingness; (ii) discussing the challenges of applying legal custodianship; and (iii) concluding that autonomous AI systems are inherently dangerous. In this context, it is particularly important to analyse the specific aspects that should be taken into consideration when operating advanced AI systems, which include mandatory registration and insurance. The article concludes that applying the custodian liability provisions to the operators of AI systems ensures the protection of third parties from potential damage on one hand. On the other hand, the specific regulations governing the operation of these AI systems encourage investment in this vital field. Full article
Show Figures

Figure 1

16 pages, 278 KB  
Article
Through a Heideggerian Lens: Fear, Comportment, and the Poetics of Nihilism in Naipaul’s Tell Me Who to Kill
by Suhail Ahmad
Philosophies 2026, 11(1), 2; https://doi.org/10.3390/philosophies11010002 - 24 Dec 2025
Viewed by 413
Abstract
This article re-interprets V. S. Naipaul’s “Tell Me Who to Kill” from In a Free State (1971) through a Heideggerian lens, focusing on the ‘groundlessness’ of existence and the dialectics of ‘danger’ that structure the unnamed narrator’s life within colonial ‘modernity’. Using Hiedegger’s [...] Read more.
This article re-interprets V. S. Naipaul’s “Tell Me Who to Kill” from In a Free State (1971) through a Heideggerian lens, focusing on the ‘groundlessness’ of existence and the dialectics of ‘danger’ that structure the unnamed narrator’s life within colonial ‘modernity’. Using Hiedegger’s phenomenology as a rhetorical hermeneutic, it traces how ordinary existential structures—fear, anxiety, boredom, curiosity, idle talk, and ambiguity—surface in the narrator’s and other characters’ comportments and speech. In Heidegger’s sense, these moods do not simply describe psychological states but reveal the conditions of Dasein’s being-in-the-world and the ontological disclosures of a being unhomed by empire. By situating Heidegger’s concepts of Dasein, thrownness, and fallenness within Naipaul’s world of migration, labour, and racial precarity, the paper reveals how metaphysical homelessness becomes historically tangible. The narrator’s obsessive drive for success, his failed fraternal duty, and his descent into estrangement dramatize a colonial subjectivity torn between aspiration and abjection. In reframing Heidegger through the postcolonial experience, the article both deprovincializes European existentialism and reclaims phenomenology as a site for interrogating the psychic economies of empire. Ultimately, the novella becomes a poetics of nihilism—where the search for authenticity collapses under the weight of displacement. Full article
1001 KB  
Proceeding Paper
Real-Time Air Quality and Weather Monitoring System Utilizing IoT for Sustainable Urban Development and Environmental Management
by Akash Ram Kondeti, Leelavathi Rudraksha, Silpa Chinnaiahgari and Anitha Bujunuru
Eng. Proc. 2025, 118(1), 56; https://doi.org/10.3390/ECSA-12-26599 - 7 Nov 2025
Viewed by 413
Abstract
Environmental conditions like temperature, humidity, light, and gas levels directly affect human health, agriculture, and industrial processes. Monitoring these factors in real time is necessary for detecting dangerous situations early and making informed choices. This work presents a compact, mobile, IoT-enabled device that [...] Read more.
Environmental conditions like temperature, humidity, light, and gas levels directly affect human health, agriculture, and industrial processes. Monitoring these factors in real time is necessary for detecting dangerous situations early and making informed choices. This work presents a compact, mobile, IoT-enabled device that measures environmental data and sends it wirelessly for remote access. The system uses the ESP32 microcontroller, chosen for its low power use, built-in Wi-Fi, and ease of connecting with sensors and cloud services. Key sensors include the DHT22 for temperature and humidity, MQ135 for ammonia and gas detection, and an LDR for checking light intensity. An infrared (IR) sensor identifies obstacles, and a buzzer alerts users to dangerous conditions. The collected data appears on a 16X2 LCD for local monitoring. It is also transmitted to the ThingSpeak cloud platform for long-term storage and visualization. Users can view this data in real time through the Blynk mobile application, which also enables remote control of the device. The system is built for mobility. It operates with DC motors powered by an L298N motor driver. This lets it navigate different environments and collect data from various locations. This feature gives more flexibility and improves the system’s effectiveness compared to traditional stationary monitoring units. The innovative part of this project is the mix of real-time sensing, autonomous movement, and cloud connectivity in a low-cost, portable setup. The system was tested in controlled environments and consistently provided reliable readings. Its practical uses include smart agriculture, urban air quality monitoring, and industrial safety. Full article
Show Figures

Figure 1

589 KB  
Proceeding Paper
Defence Pal: A Prototype of Smart Wireless Robotic Sensing System for Landmine and Hazard Detection
by Uttam Narendra Thakur, Angshuman Khan and Sikta Mandal
Eng. Proc. 2025, 118(1), 50; https://doi.org/10.3390/ECSA-12-26578 - 7 Nov 2025
Viewed by 217
Abstract
Landmines remain a significant hazard in contemporary warfare and post-conflict areas, jeopardizing the safety of both civilians and military personnel. This work suggests “Defence Pal,” a cost-effective and portable robotic prototype for landmine detection and environmental monitoring. Its primary objective is to minimize [...] Read more.
Landmines remain a significant hazard in contemporary warfare and post-conflict areas, jeopardizing the safety of both civilians and military personnel. This work suggests “Defence Pal,” a cost-effective and portable robotic prototype for landmine detection and environmental monitoring. Its primary objective is to minimize human risk while improving detection speed and accuracy. The system consists of a wireless-controlled vehicle equipped with a metal detector, gas sensors, and obstacle avoidance features, enabling real-time terrain surveillance while ensuring operator safety. Built with components including a Flysky FS-i6 transmitter and receiver, the prototype was tested under hazardous conditions. It demonstrated reliable detection of buried metallic objects and dangerous gases such as methane and carbon dioxide. The autonomous response system halts the robot and activates visual and auditory alarms upon detecting threats. Our experiments achieved average detection accuracies of 83% for metallic objects and 87% for hazardous gases, validating their performance. These results highlight the practicality and effectiveness of Defence Pal compared to conventional manual detection methods. The results confirm that Defence Pal is a practical, scalable, and cost-effective alternative to traditional manual detection methods for improving landmine identification and environmental hazard monitoring. Therefore, the novelty of this work lies in a low-cost dual-sensing prototype that enables simultaneous detection of gas and metal, providing a practical alternative to conventional single-target, high-cost systems. Full article
Show Figures

Figure 1

33 pages, 2039 KB  
Review
Monitoring Wildfire Risk with a Near-Real-Time Live Fuel Moisture Content System: A Review and Roadmap for Operational Application in New Zealand
by Michael S. Watt, Shana Gross, John Keithley Difuntorum, Jessica L. McCarty, H. Grant Pearce, Jacquelyn K. Shuman and Marta Yebra
Remote Sens. 2025, 17(21), 3580; https://doi.org/10.3390/rs17213580 - 29 Oct 2025
Viewed by 1663
Abstract
Live fuel moisture content (LFMC) is a critical variable influencing wildfire behavior, ignition potential, and suppression difficulty, yet it remains challenging to monitor consistently across landscapes due to sparse field observations, rapid temporal changes, and vegetation heterogeneity. This study presents a comprehensive review [...] Read more.
Live fuel moisture content (LFMC) is a critical variable influencing wildfire behavior, ignition potential, and suppression difficulty, yet it remains challenging to monitor consistently across landscapes due to sparse field observations, rapid temporal changes, and vegetation heterogeneity. This study presents a comprehensive review of satellite-based approaches for estimating LFMC, with emphasis on methods applicable to New Zealand, where wildfire risk is increasing due to climate change. We assess the suitability of different remote sensing data sources, including multispectral, thermal, and microwave sensors, and evaluate their integration for characterizing both LFMC and fuel types. Particular attention is given to the trade-offs between data resolution, revisit frequency, and spectral sensitivity. As knowledge of fuel type and structure is critical for understanding wildfire behavior and LFMC, the review also outlines key limitations in existing land cover products for fuel classification and highlights opportunities for improving fuel mapping using remotely sensed data. This review lays the groundwork for the development of an operational LFMC prediction system in New Zealand, with broader relevance to fire-prone regions globally. Such a system would support real-time wildfire risk assessment and enhance decision-making in fire management and emergency response. Full article
Show Figures

Figure 1

30 pages, 6019 KB  
Review
A Review of Strain-Distributed Optical Fiber Sensors for Geohazard Monitoring: An Update
by Agnese Coscetta, Ester Catalano, Emilia Damiano, Martina de Cristofaro, Aldo Minardo, Erika Molitierno, Lucio Olivares, Raffaele Vallifuoco, Giovanni Zeni and Luigi Zeni
Sensors 2025, 25(20), 6442; https://doi.org/10.3390/s25206442 - 18 Oct 2025
Cited by 1 | Viewed by 2442
Abstract
Geohazards pose significant dangers to human safety, infrastructures, and the environment, highlighting the need for advanced monitoring techniques for early damage detection and structure management. The distributed optical fiber sensors (DFOS) are strain, temperature, and vibration monitoring tools characterized by minimal intrusiveness, accuracy, [...] Read more.
Geohazards pose significant dangers to human safety, infrastructures, and the environment, highlighting the need for advanced monitoring techniques for early damage detection and structure management. The distributed optical fiber sensors (DFOS) are strain, temperature, and vibration monitoring tools characterized by minimal intrusiveness, accuracy, ease of deployment, and the ability to perform measurements with high spatial resolution. Although these sensors rely on well-established measurement techniques, available for over 40 years, their diffusion within monitoring and early warning systems is still limited, and there is a certain mistrust towards them. In this regard, based on several case studies, the implementation of DFOS for early warning of various geotechnical hazards, such as landslides, earthquakes and subsidence, is discussed, providing a comparative analysis of the typical advantages and limitations of the different systems. The results show that real-time monitoring systems based on well-established distributed fiber-optic sensing techniques are now mature enough to enable reliable and long-term geotechnical applications, identifying a market segment that is only minimally saturated by using other monitoring techniques. More challenging remains the application of the technique for vibration detection that still requires improved interrogation technologies and standardized practices before it can be used in large-scale, real-time early warning systems. Full article
(This article belongs to the Special Issue Feature Review Papers in Optical Sensors)
Show Figures

Figure 1

8 pages, 4127 KB  
Proceeding Paper
A Multidimensional Framework for Flood Risk Analysis in the Garyllis Catchment, Cyprus
by Josefina Kountouri, Constantinos F. Panagiotou, Alexia Tsouni, Stavroula Sigourou, Vasiliki Pagana, Charalampos (Haris) Kontoes, Chris Danezis and Diofantos Hadjimitsis
Environ. Earth Sci. Proc. 2025, 35(1), 74; https://doi.org/10.3390/eesp2025035074 - 17 Oct 2025
Viewed by 611
Abstract
Flooding events have increased in frequency and severity worldwide in recent years, a trend that has been made worse by human activity and climate change. Floods are one of the world’s most dangerous natural catastrophes because of the serious risks they represent to [...] Read more.
Flooding events have increased in frequency and severity worldwide in recent years, a trend that has been made worse by human activity and climate change. Floods are one of the world’s most dangerous natural catastrophes because of the serious risks they represent to property, human life, and cultural heritage. The necessity for efficient flood management techniques to reduce the growing dangers is what motivated this study. It specifically examines the flood risk in the Garyllis River Basin in Cyprus, a region recognized for it high susceptibility to extreme weather conditions Adopting an integrates approach that combines modeling tools and techniques, such as remote sensing, Geographic Information Systems (GIS) and hydraulic modeling, along with multiple data types of data and in situ measures, this study evaluates flood risk and proposed shelters and escapes routes for the worst-case scenarios. The research utilizes the open-access software HEC-RAS to simulate the spatio-temporal progression of surface water depth and water velocity for different return periods. The vulnerability levels are enumerated through a weighted linear combination of relevant factors, in specific population density and age distribution, according to the last official government reports. Exposure levels were calculated in terms of land value. For each flood component, all factors are assigned equal weighting coefficients. Subsequently, flood risk levels are assessed for each location as the product of hazard, vulnerability, and exposure levels. The validity of the proposed methodology is assessed by comparing the critical points identified during in situ visits with the flood risk level estimates. As a result, escape routes and refuge areas were proposed for the worst-case scenario. Full article
Show Figures

Figure 1

16 pages, 2201 KB  
Article
Electrochemical Immunodetection of Bacillus anthracis Spores
by Karolina Morawska, Tomasz Sikora, Aleksandra Nakonieczna, Renata Tyśkiewicz, Monika Wiśnik-Sawka, Łukasz Osuchowski, Paulina Osuchowska, Michał Grabka and Zygfryd Witkiewicz
Sensors 2025, 25(19), 5948; https://doi.org/10.3390/s25195948 - 24 Sep 2025
Viewed by 1188
Abstract
The Centers for Disease Control and Prevention (CDC) classifies Bacillus anthracis as one of the most dangerous pathogens that may affect public health and national security. Due to its importance as a potential biological weapon, this bacteria has been classified in the highest [...] Read more.
The Centers for Disease Control and Prevention (CDC) classifies Bacillus anthracis as one of the most dangerous pathogens that may affect public health and national security. Due to its importance as a potential biological weapon, this bacteria has been classified in the highest category A, together with such pathogens as variola virus or botulinum neurotoxin. Characteristic features of this pathogen that increase its military importance are the ease of its cultivation, transport, and storage and its ability to create survival forms that are extremely resistant to environmental conditions. However, beyond bioterrorism, B. anthracis is also a naturally occurring pathogen. Anthrax outbreaks occur in livestock and wildlife, particularly in spore-contaminated regions of Africa, Asia, and North America. Spores persist for decades, leading to recurrent infections and zoonotic transmission through direct contact, inhalation, or consumption of contaminated meat. This work presents a new electrochemical method for detecting and quantifying B. anthracis in spore form using a selective immune reaction. The developed method is based on the thiol-modified electrodes that constitute the sensing element of the electrochemical system. Tests with the B. anthracis spore suspension showed that the detection limit for this pathogen is as low as 103 CFU/mL. Furthermore, it was possible to quantify the analyte with a sensitivity of 11 mV/log (CFU/mL). Due to several features, such as low unit cost, portability, and minimal apparatus demands, this method can be easily implemented in field analyzers for this pathogen and provides an alternative to currently used techniques and devices. Full article
Show Figures

Figure 1

25 pages, 8260 KB  
Article
A Novel Approach for Inverting Forest Fuel Moisture Content Utilizing Multi-Source Remote Sensing and Deep Learning
by Wenjun Wang, Cui Zhou, Junxiang Zhang, Yuanzong Li, Zhenyu Chen and Yongfeng Luo
Forests 2025, 16(9), 1423; https://doi.org/10.3390/f16091423 - 5 Sep 2025
Cited by 1 | Viewed by 2712
Abstract
Fuel Moisture Content (FMC) is a critical indicator for assessing forest fire risk and formulating early warning strategies, as its spatiotemporal dynamics directly influence the accuracy of fire danger rating. To improve the accuracy of forest FMC estimation, this study proposes an innovative [...] Read more.
Fuel Moisture Content (FMC) is a critical indicator for assessing forest fire risk and formulating early warning strategies, as its spatiotemporal dynamics directly influence the accuracy of fire danger rating. To improve the accuracy of forest FMC estimation, this study proposes an innovative deep learning method integrating multi-source remote sensing data. By combining the global feature extraction capability of the Transformer architecture with the local temporal modeling advantages of Gated Recurrent Units (GRU) (referred to as the Transformer-GRU model), a high-precision FMC estimation framework is established. The study focuses on forested areas in California, USA, utilizing ground-measured FMC data alongside multi-source remote sensing datasets from MODIS, Sentinel-1, and Sentinel-2. A systematic comparison was conducted among Transformer-GRU model, standalone Transformer models, single GRU models, and two classical machine learning models (Random Forest, RF, and Support Vector Regression, SVR). Additionally, forward feature selection was employed to evaluate the performance of different models and feature combinations. The results demonstrate that (1) All models effectively utilize the derived features from multi-source remote sensing data, confirming the significant enhancement of multi-source data fusion for forest FMC estimation; (2) The Transformer-GRU model outperforms other models in capturing the nonlinear relationship between FMC and remote sensing data, achieving superior estimation accuracy (R2 = 0.79, MAE = 8.70%, RMSE = 11.44%, rRMSE = 12.60%); (3) The spatiotemporal distribution patterns of forest FMC in California generated by the Transformer-GRU model align well with regional geographic characteristics and climatic variability, while exhibiting a strong relationship with historical wildfire occurrences. The proposed Transformer-GRU model provides a novel approach for high-precision FMC estimation, offering reliable technical support for dynamic forest fire risk early warning and resource management. Full article
(This article belongs to the Section Natural Hazards and Risk Management)
Show Figures

Figure 1

20 pages, 2443 KB  
Article
Optimization of Chromium Removal Conditions from Tanned Leather Waste for Collagen Valorization
by Ana-Maria Nicoleta Codreanu (Manea), Daniela Simina Stefan, Lidia Kim, Ionut Cristea and Rachid Aziam
Polymers 2025, 17(17), 2319; https://doi.org/10.3390/polym17172319 - 27 Aug 2025
Viewed by 1672
Abstract
The large amounts of chrome-tanned leather waste (CLTW) produced annually can be valorized by applying circular economy principles in various fields due to the valuable substances contained (mainly collagen). The main problem for the direct valorization of these wastes is the presence in [...] Read more.
The large amounts of chrome-tanned leather waste (CLTW) produced annually can be valorized by applying circular economy principles in various fields due to the valuable substances contained (mainly collagen). The main problem for the direct valorization of these wastes is the presence in their composition of dangerous substances, such as chromium. Thus, before being used as raw material in new processes, chrome-tanned leather waste must be subjected to a preliminary stage of chromium removal. In this article, we propose to identify the optimal working conditions for the extraction of chromium ions from chrome-tanned hides in the presence of oxalic acid with various concentrations, at various temperatures and contact times, so that the degree of collagen hydrolysis is minimal. In this sense, the response surface methodology (RSM) method was used to optimize the working conditions, to maximize the efficiency of chrome extraction from the leather, and to minimize the efficiency of collagen hydrolysis: An undesirable process. To optimize both the extraction yield (%) and the degree of hydrolysis (%), the key operational variables, namely oxalic acid concentration (%), contact time (%), and temperature (°C), were systematically adjusted using the Box–Behnken design within the response surface methodology (RSM). The most favorable extraction conditions were identified at an oxalic acid concentration of approximately 7%, a contact time close to 120 min, and a temperature near 49 °C. Under these optimized parameters, the hydrolysis degree remained very low, around 0.38%, indicating minimal degradation during the process. Full article
(This article belongs to the Special Issue Recycling and Circularity of Polymeric Materials)
Show Figures

Graphical abstract

16 pages, 298 KB  
Article
A Socioecological Approach to Understanding Why Teachers Feel Unsafe at School
by Verónica López, Luis González, Rami Benbenishty, Ron Avi Astor, Javier Torres-Vallejos, Tabata Contreras-Villalobos and Juan San Martin
Behav. Sci. 2025, 15(9), 1149; https://doi.org/10.3390/bs15091149 - 23 Aug 2025
Viewed by 1454
Abstract
Despite the increased research on violence toward teachers and public policies aimed at protecting teachers from violence, knowledge of the factors contributing to teachers’ sense of safety at school remains limited. Drawing from socioecological theory, we examined the contributions of both teachers’, parents’, [...] Read more.
Despite the increased research on violence toward teachers and public policies aimed at protecting teachers from violence, knowledge of the factors contributing to teachers’ sense of safety at school remains limited. Drawing from socioecological theory, we examined the contributions of both teachers’, parents’, students’, and schools’ characteristics to teachers’ sense of feeling unsafe in school. Specifically, we examined teachers’ individual and work characteristics (sex, age, years of experience, and working in the regular classroom or not), their perceptions of school violence, and their relationships with students and their peers. At the school level, we examined the school size, poverty level, and school-level reports of parents’, students’, and teachers’ perception of the school climate and school violence. The sample consisted of 9625 teachers (73% female), 126,301 students, and 56,196 parents from 2116 schools with a low socioeconomic status in Chile. Descriptive statistics showed that most teachers do not feel afraid (72.9%) nor thought that their job was dangerous (74.6%). A hierarchical multivariate regression analysis and multilevel analyses showed that teachers with higher perceptions of feeling unsafe were females or reported being “other sex”, had fewer years of experience, worked mainly in the classroom, perceived a higher level of school violence, and had worse perceptions of peer relationships and teacher–student relationships. These teachers were mostly in schools with higher poverty levels, larger enrollment, and higher student-reported and parent-reported school violence compared to the rest of the sample of low-SES Chilean schools. We discuss the implications of these findings for preventive school interventions and programs regarding school violence and teacher turnover. Full article
Back to TopTop