Sign in to use this feature.

Years

Between: -

Subjects

remove_circle_outline
remove_circle_outline
remove_circle_outline
remove_circle_outline
remove_circle_outline
remove_circle_outline
remove_circle_outline
remove_circle_outline
remove_circle_outline

Journals

remove_circle_outline
remove_circle_outline
remove_circle_outline
remove_circle_outline
remove_circle_outline
remove_circle_outline

Article Types

Countries / Regions

remove_circle_outline
remove_circle_outline
remove_circle_outline
remove_circle_outline
remove_circle_outline
remove_circle_outline
remove_circle_outline

Search Results (1,099)

Search Parameters:
Keywords = seismic zones

Order results
Result details
Results per page
Select all
Export citation of selected articles as:
5394 KB  
Proceeding Paper
Recent Earthquake Activities and Seismic Sources in Northwestern Türkiye
by Feyza Nur Bekler, Alper Demirci and Tolga Bekler
Eng. Proc. 2026, 125(1), 2; https://doi.org/10.3390/engproc2026125002 - 20 Jan 2026
Abstract
Northwestern Türkiye (Biga Peninsula, Edremit Gulf, Saros Bay) is a highly seismically active region at the convergence of the Anatolian, Eurasian, and Aegean tectonic plates. It features numerous active faults, including the Yenice–Gönen and Edremit fault zones, in addition to offshore segments of [...] Read more.
Northwestern Türkiye (Biga Peninsula, Edremit Gulf, Saros Bay) is a highly seismically active region at the convergence of the Anatolian, Eurasian, and Aegean tectonic plates. It features numerous active faults, including the Yenice–Gönen and Edremit fault zones, in addition to offshore segments of the North Anatolian Fault Zone (NAFZ) in Saros Bay. Earthquakes here exhibit various mechanisms: the 2017 Ayvacik earthquake sequence (Mw 5.4) near the Tuzla Fault featured NE–SW normal faulting, reflecting regional extension. Other moderate events display strike–slips with minor normal components, indicating transtensional forces. These findings enhance our understanding of the area’s complex seismotectonic activity and stress the critical need for continuous seismic monitoring and hazard assessment in this geologically complex and densely populated part of Türkiye. Full article
Show Figures

Figure 1

23 pages, 5500 KB  
Article
Low-Damage Seismic Design Approach for a Long-Span Cable-Stayed Bridge in a High Seismic Hazard Zone: A Case Study of the New Panama Canal Bridge
by Zhenghao Xiao, Shan Huang, Sheng Li, Minghua Li and Yao Hu
Buildings 2026, 16(2), 428; https://doi.org/10.3390/buildings16020428 - 20 Jan 2026
Abstract
Designing long-span cable-stayed bridges in high seismic hazard zones presents significant challenges due to their flexible structural systems, the influence of multi-support excitation, and the need to control large displacements while limiting seismic demands on critical components. These difficulties are further amplified in [...] Read more.
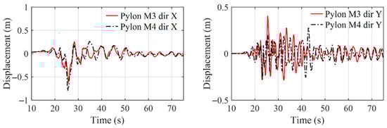
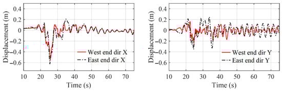
Designing long-span cable-stayed bridges in high seismic hazard zones presents significant challenges due to their flexible structural systems, the influence of multi-support excitation, and the need to control large displacements while limiting seismic demands on critical components. These difficulties are further amplified in regions with complex geology and for bridges required to maintain high levels of post-earthquake serviceability. This study develops a low-damage seismic design approach for long-span cable-stayed bridges and demonstrates its application in the New Panama Canal Bridge. Probabilistic seismic hazard assessment and site response analyses are performed to generate spatially varying ground motions at the pylons and side piers. The pylons adopt a reinforced concrete configuration with embedded steel stiffeners for anchorage, forming a composite zone capable of efficiently transferring concentrated stay-cable forces. The lightweight main girder consists of a lattice-type steel framework connected to a high-strength reinforced concrete deck slab, providing both rigidity and structural efficiency. A coordinated girder–pylon restraint system—comprising vertical bearings, fuse-type restrainers, and viscous dampers—ensures controlled stiffness and effective energy dissipation. Nonlinear seismic analyses show that displacements of the girder remain well controlled under the Safety Evaluation Earthquake, and the dampers and bearings exhibit stable hysteretic behaviours. Cable tensions remain within 500–850 MPa, meeting minimal-damage performance criteria. Overall, the results demonstrate that low-damage seismic performance targets are achievable and that the proposed design approach enhances structural control and seismic resilience in long-span cable-stayed bridges. Full article
(This article belongs to the Section Building Structures)
Show Figures

Figure 1

16 pages, 6655 KB  
Article
Comparative Study on Model Applicability for Longitudinal Seismic Response of Shield Tunnels Under Design Earthquake Loading
by Ben Niu, Yayi Chen, Zhuo Cheng, Shengfeng Yang, Junyi Li and Yadong Li
Buildings 2026, 16(2), 417; https://doi.org/10.3390/buildings16020417 - 19 Jan 2026
Viewed by 36
Abstract
To investigate model applicability for the seismic analysis of shield tunnels in adverse geological sections, this study compares the beam–spring model (BSM) and mass–beam–spring model (MBSM). The Shantou Bay subsea shield tunnel, located in a Seismic Fortification Intensity Degree 8 region (PGA = [...] Read more.
To investigate model applicability for the seismic analysis of shield tunnels in adverse geological sections, this study compares the beam–spring model (BSM) and mass–beam–spring model (MBSM). The Shantou Bay subsea shield tunnel, located in a Seismic Fortification Intensity Degree 8 region (PGA = 0.15 g), is used as the case study. Based on the Response Displacement Method, numerical simulations were conducted via ABAQUS and Python (Version 2.7) scripts to evaluate dynamic responses under unidirectional and tri-directional ground motions. Results indicate that while both models capture longitudinal response patterns, significant amplitude differences exist. Specifically, by accounting for soil inertial effects and shear transfer, the MBSM yields peak relative displacements, joint openings, and internal forces at soft–hard rock interfaces that are approximately 60–130% higher than those of the BSM. Furthermore, tri-directional input significantly amplifies structural responses, exhibiting distinct abrupt changes at geological transition zones. These findings provide a vital reference for the seismic design of shield tunnels traversing complex geological conditions. Full article
Show Figures

Figure 1

25 pages, 9566 KB  
Article
Integrated Geological and Geophysical Approaches for Geohazard Assessment in Salinas, Coastal Ecuador
by María Quiñónez-Macías, Lucrecia Moreno-Alcívar, José Luis Pastor, Davide Besenzon, Pablo B. Palacios and Miguel Cano
Appl. Sci. 2026, 16(2), 938; https://doi.org/10.3390/app16020938 - 16 Jan 2026
Viewed by 523
Abstract
The Santa Elena Peninsula has experienced local subduction earthquakes in 1901 (7.7 Mw) and 1933 (6.9 Mw), during which local ground conditions, including deposits of longshore-current sediments, paleo-lagoon or marsh, sandspit, and ancient tidal channel sediments, exhibited various coseismic deformation behaviors in Quaternary [...] Read more.
The Santa Elena Peninsula has experienced local subduction earthquakes in 1901 (7.7 Mw) and 1933 (6.9 Mw), during which local ground conditions, including deposits of longshore-current sediments, paleo-lagoon or marsh, sandspit, and ancient tidal channel sediments, exhibited various coseismic deformation behaviors in Quaternary soils of inferior geotechnical quality. This study shows that geophysical profiles from seismic refraction and shear-wave velocities are correlated with stratigraphic data from sedimentary sequences obtained from slope cutting and geotechnical drilling. This database is used to create a comprehensive map to describe the lithological units of Salinas’ urban geology. The thickness of the Tertiary–Quaternary sedimentary sequences and the depth to the bedrock of the Piñon and Cayo geological formations determine the periods of sites in these stratigraphic sequences, which range from 0.3 to 1.5 s. This study provides the first geotechnical zoning map for the city of Salinas at a scale of 1:25,000, which is a technical requirement of the Ecuadorian construction standard. This geotechnical zoning information is essential for appropriate land management in Salinas and its neighboring cities, La Libertad and Santa Elena, as well as for outlining municipal restrictions on future construction. Full article
(This article belongs to the Special Issue Earthquake Engineering: Geological Impacts and Disaster Assessment)
Show Figures

Figure 1

30 pages, 5018 KB  
Article
The Effect of an Earthquake on the Bearing Characteristics of a Soft-Rock-Embedded Bridge Pile with Sediment
by Xuefeng Ye, Xiaofang Ma, Huijuan Wang and Huina Chen
Buildings 2026, 16(2), 341; https://doi.org/10.3390/buildings16020341 - 14 Jan 2026
Viewed by 86
Abstract
Seismic action significantly affects the mechanical properties and failure characteristics of bridge pile foundations, soft rocks, and sediments. This study, by integrating shaking table tests, numerical simulations, and on-site monitoring, systematically analyzed the influence mechanisms of seismic intensity, sediment characteristics, and pile foundation [...] Read more.
Seismic action significantly affects the mechanical properties and failure characteristics of bridge pile foundations, soft rocks, and sediments. This study, by integrating shaking table tests, numerical simulations, and on-site monitoring, systematically analyzed the influence mechanisms of seismic intensity, sediment characteristics, and pile foundation layout on structural responses. Tests show that the 2.5-layer rock–sand pile exhibits nonlinear bearing degradation under seismic force: when the seismic acceleration increases from 0 to 100 m/s2, the bearing capacity of the pile foundation decreases by 55.3%, and the settlement increases from 3.2 mm to 18.5 mm. When the acceleration is ≥2 m/s2, the cohesion of the sand layer is destroyed, causing a semi-liquefied state. When it is ≥10 m/s2, the resistance loss reaches 80%. The increase in pore water pressure leads to dynamic settlement. When the seismic acceleration is greater than 50 m/s2, the shear modulus of the sand layer drops below 15% of its original value. The thickness of the sediment has a nearly linear relationship with the reduction rate of the bearing capacity. When the thickness increases from 0 to 1.4 cm, the reduction rate rises from 0% to 55.3%. When the thickness exceeds 0.8 cm, it enters the “danger zone”, and the bearing capacity decreases nonlinearly with the increase in thickness. The particle size is positively correlated with the reduction rate. The liquefaction risk of fine particles (<0.1 mm) is significantly higher than that of coarse particles (>0.2 mm). The load analysis of the pile cap shows that when the sediment depth is 140 cm, the final bearing capacity is 156,187.2 kN (reduction coefficient 0.898), and the maximum settlement is concentrated at the top point of the pile cap. Under the longitudinal seismic load of the pile group, the settlement growth rate of the piles containing sediment reached 67.16%, triggering the dual effect of “sediment–earthquake”. The lateral load leads to a combined effect of “torsional inclination”, and the stress at the top of the non-sediment pile reaches 6.41MPa. The seismic intensity (PGA) is positively correlated with the safety factor (FS) (FS increases from 1.209 to 37.654 when 10 m/s2→100 m/s2), while sediment thickness (h) is negatively correlated with FS (FS decreases from 2.510 to 1.209 when 0.05 m→0.20 m). The research results reveal the coupled control mechanism of sediment characteristics, seismic parameters, and pile foundation layout on seismic performance, providing key parameters and an optimization basis for bridge design in high-intensity areas. Full article
(This article belongs to the Section Building Structures)
Show Figures

Figure 1

21 pages, 13799 KB  
Article
Delineating the Central Anatolia Transition Zone (CATZ): Constraints from Integrated Geodetic (GNSS/InSAR) and Seismic Data
by Şenol Hakan Kutoğlu, Elif Akgün and Mustafa Softa
Sensors 2026, 26(2), 505; https://doi.org/10.3390/s26020505 - 12 Jan 2026
Viewed by 206
Abstract
Understanding how strain is transferred across the interior of tectonic plates is fundamental to quantifying lithospheric deformation. The Central Anatolia Transition Zone (CATZ), situated between the North and East Anatolian fault systems, provides a unique natural laboratory for investigating how continental deformation evolves [...] Read more.
Understanding how strain is transferred across the interior of tectonic plates is fundamental to quantifying lithospheric deformation. The Central Anatolia Transition Zone (CATZ), situated between the North and East Anatolian fault systems, provides a unique natural laboratory for investigating how continental deformation evolves from localized faulting to distributed shear. In this study, we integrate InSAR analysis with Global Navigation Satellite System (GNSS) velocity data, and stress tensor inversion with supporting gravity and seismic datasets to characterize the geometry, kinematics, and geodynamic significance of the CATZ. The combined geodetic and geophysical observations reveal that the CATZ is a persistent, left-lateral deformation corridor (i.e., elongated zone of Earth’s crust that accommodates movement where the landmass on the opposite side of a fault system moves to the left relative to an observer) accommodating ~4 mm/yr of shear between the oppositely moving eastern and western sectors of the Anatolian Plate. Spatial coherence among LiCSAR-derived shear patterns, GNSS velocity gradients, and regional stress-field rotations defines the CATZ as a crustal- to lithospheric-scale transition zone linking the strike-slip domains of central Anatolia with the subduction zones of the Hellenic and Cyprus arcs. Stress inversion analyses delineate four subzones with systematic kinematic transitions: compressional regimes in the north, extensional fields in the central domain, and complex compressional–transtensional deformation toward the south. The CATZ coincides with zones of variable Moho depth, crustal thickness, and inferred lithospheric tearing within the retreating African slab, indicating a deep-seated origin. Its S-shaped curvature and long-term evolution since the late Miocene reflect progressive coupling between upper-crustal faulting and deeper lithospheric reorganization. Recognition of the CATZ as a lithospheric-scale transition zone, rather than a discrete active fault, refines the current understanding of Anatolia’s kinematic framework. This study demonstrates the capability of integrated satellite geodesy and stress modeling to resolve diffuse intra-plate deformation, offering a transferable approach for delineating similar transition zones in other continental regions. Full article
(This article belongs to the Special Issue Sensing Technologies for Geophysical Monitoring)
Show Figures

Figure 1

30 pages, 3386 KB  
Article
Constructing Artificial Features with Grammatical Evolution for Earthquake Prediction
by Constantina Kopitsa, Glykeria Kyrou, Vasileios Charilogis and Ioannis G. Tsoulos
Appl. Sci. 2026, 16(2), 746; https://doi.org/10.3390/app16020746 - 11 Jan 2026
Viewed by 161
Abstract
Earthquakes are the result of the dynamic processes occurring beneath the Earth’s crust; specifically, the movement and interaction of tectonic/lithospheric plates. When one plate shifts relative to another, stress accumulates and is eventually released as seismic energy. This process is continuous and unstoppable. [...] Read more.
Earthquakes are the result of the dynamic processes occurring beneath the Earth’s crust; specifically, the movement and interaction of tectonic/lithospheric plates. When one plate shifts relative to another, stress accumulates and is eventually released as seismic energy. This process is continuous and unstoppable. This phenomenon is well recognized in the Mediterranean region, where significant seismic activity arises from the northward convergence (4–10 mm per year) of the African plate relative to the Eurasian plate along a complex plate boundary. Consequently, our research will focus on the Mediterranean region, specifically examining seismic activity from 1990 to 2015 within the latitude range of 33–44° and longitude range of 17–44°. These geographical coordinates encompass 28 seismic zones, with the most active areas being Turkey and Greece. In this paper, we applied Grammatical Evolution for artificial feature construction in earthquake prediction, evaluated against machine learning approaches including MLP(GEN), MLP(PSO), SVM, and NNC. Experiments showed that feature construction (FC) achieved the best performance, with a mean error of 9.05% and overall accuracy of 91%, outperforming SVM. Further analysis revealed that a single constructed feature Nf=1 yielded the lowest average error (8.21%), while varying the number of generations indicated that Ng=200 provided an effective balance between computational cost and predictive accuracy. These findings confirm the efficiency of FC in enhancing earthquake prediction models through artificial feature construction. Our results, as will be discussed in greater detail within the research, yield an average error of approximately 9%, corresponding to an overall accuracy of 91%. Full article
Show Figures

Figure 1

16 pages, 3834 KB  
Article
Background Seismicity Highlights Tectonic Asperities
by Alexey Ostapchuk and Ilmir Nugmanov
Geosciences 2026, 16(1), 38; https://doi.org/10.3390/geosciences16010038 - 11 Jan 2026
Viewed by 286
Abstract
The heterogeneity of a tectonic fault interface controls both the spatial features of seismicity and the locations of the foci of shallow earthquakes. Strong earthquakes are associated with ruptures of asperities. We present the Seismogenic Patches Detection (SPAD) algorithm to analyze background seismicity [...] Read more.
The heterogeneity of a tectonic fault interface controls both the spatial features of seismicity and the locations of the foci of shallow earthquakes. Strong earthquakes are associated with ruptures of asperities. We present the Seismogenic Patches Detection (SPAD) algorithm to analyze background seismicity to reveal tectonic asperities. In the first stage, the algorithm detects background seismicity based on the nearest-neighbor method. In the second stage, fuzzy clustering of the background mode is performed. Dense clusters of background seismicity, called seismogenic patches, can be interpreted as tectonic asperities. The SPAD algorithm does not use a priori data about the localizations of strong earthquakes. Using SPAD, we analyzed the seismicity of the Kamchatka segment of the Kuril–Kamchatka subduction zone for the period from 1 January 1990 to 23 September 2025. The Kamchatka regional seismic catalog includes 39,104 events, and the magnitude of completeness Mc equals 3.0. We have identified seven seismogenic patches with a size of 170–270 km. Seismogenic patches correlate with the tectonic asperity determined by the maps of the slip distributions for the four largest earthquakes—Mw7.5 (8 June 1993), Mw7.8 (5 December 1997), Mw8.8 (30 July 2025), and Mw7.8 (13 September 2025). Full article
(This article belongs to the Special Issue Editorial Board Members' Collection Series: Natural Hazards)
Show Figures

Figure 1

15 pages, 5131 KB  
Article
Dynamic Population Distribution and Perceived Impact Area of the Tibet Dingri MS6.8 Earthquake Based on Mobile Phone Location Data
by Huayue Li, Chaoxu Xia, Yunzhi Zhang, Yahui Chen, Wenhua Qi, Fan Yang and Xiaoshan Wang
Sensors 2026, 26(2), 457; https://doi.org/10.3390/s26020457 - 9 Jan 2026
Viewed by 188
Abstract
Based on the collected mobile phone location data, this paper analyzes changes in four mobile location-based indicators and their spatiotemporal distribution characteristics before and after the earthquake, summarizing crowd movement patterns and communication behaviors after the MS6.8 Dingri earthquake. By comparing [...] Read more.
Based on the collected mobile phone location data, this paper analyzes changes in four mobile location-based indicators and their spatiotemporal distribution characteristics before and after the earthquake, summarizing crowd movement patterns and communication behaviors after the MS6.8 Dingri earthquake. By comparing natural neighbor interpolation and Thiessen polygon interpolation methods, we explore novel rapid assessment approaches for earthquake perception ranges, combined with actual seismic intensity maps. The results indicate an uneven distribution of population and differing dynamics in mobile phone signal activity. This reflects different behavioral patterns and the potential perceived extent of the earthquake. Within 50 km of the epicenter, all four indicators showed varying degrees of decline post-earthquake, while areas beyond 100 km exhibited short-term surges, reflecting differentiated behavioral responses based on seismic impact severity. In areas experiencing strong shaking, risk avoidance behavior predominated, while in areas where shaking was noticeable but less severe, communication behavior was more prominent. Mobile data decline zones showed high spatial correlation with intensity VIII+ regions, proving their effectiveness as rapid indicators for identifying strongly affected areas. Notably, mobile location data enabled accurate identification of strongly affected zones within 30 min post-earthquake. Full article
(This article belongs to the Special Issue Sensors and Their Applications in Seismology)
Show Figures

Figure 1

22 pages, 18075 KB  
Article
Geodynamic Characterization of Hydraulic Structures in Seismically Active Almaty Using Lineament Analysis
by Dinara Talgarbayeva, Andrey Vilayev, Tatyana Dedova, Oxana Kuznetsova, Larissa Balakay and Aibek Merekeyev
GeoHazards 2026, 7(1), 11; https://doi.org/10.3390/geohazards7010011 - 9 Jan 2026
Viewed by 198
Abstract
Monitoring the stability of hydraulic structures such as dams and reservoirs in seismically active regions is essential for ensuring their safety and operational reliability. This study presents a comprehensive geospatial approach combining lineament analysis and geodynamic zoning to assess the structural stability of [...] Read more.
Monitoring the stability of hydraulic structures such as dams and reservoirs in seismically active regions is essential for ensuring their safety and operational reliability. This study presents a comprehensive geospatial approach combining lineament analysis and geodynamic zoning to assess the structural stability of the Voroshilov and Priyut reservoirs located in the Almaty region, Kazakhstan. A regional lineament map was generated using ASTER GDEM data, while ALOS PALSAR data were used for detailed local analysis. Lineaments were extracted and analyzed through automated processing in PCI Geomatica. Lineament density maps and azimuthal rose diagrams were constructed to identify zones of tectonic weakness and assess regional structural patterns. Integration of lineament density, GPS velocity fields, InSAR deformation data, and probabilistic seismic hazard maps enabled the development of a detailed geodynamic zoning model. Results show that the studied sites are located within zones of low local geodynamic activity, with lineament densities of 0.8–1.2 km/km2, significantly lower than regional averages of 3–4 km/km2. GPS velocities in the area do not exceed 4 mm/year, and InSAR analysis indicates minimal surface deformation (<5 mm/year). Despite this apparent local stability, the 2024 Voroshilov Dam failure highlights the cumulative effect of regional seismic stresses (PGA up to 0.9 g) and localized filtration along fracture zones as critical risk factors. The proposed geodynamic zoning correctly identified the site as structurally stable under normal conditions but indicates that even low-activity zones are vulnerable under cumulative seismic loading. This demonstrates that an integrated approach combining remote sensing, geodetic, and seismic data can provide quantitative assessments for dam safety, predict potential high-risk zones, and support preventive monitoring in tectonically active regions. Full article
Show Figures

Figure 1

18 pages, 16226 KB  
Article
Liquefaction Hazard Assessment and Mapping Across the Korean Peninsula Using Amplified Liquefaction Potential Index
by Woo-Hyun Baek and Jae-Soon Choi
Appl. Sci. 2026, 16(2), 612; https://doi.org/10.3390/app16020612 - 7 Jan 2026
Viewed by 140
Abstract
Liquefaction is a critical mechanism amplifying earthquake-induced damage, necessitating systematic hazard assessment through spatially distributed mapping. This study presents a nationwide liquefaction hazard assessment framework for South Korea, integrating site classification, liquefaction potential index (LPI) computation, and probabilistic damage evaluation. Sites across the [...] Read more.
Liquefaction is a critical mechanism amplifying earthquake-induced damage, necessitating systematic hazard assessment through spatially distributed mapping. This study presents a nationwide liquefaction hazard assessment framework for South Korea, integrating site classification, liquefaction potential index (LPI) computation, and probabilistic damage evaluation. Sites across the Korean Peninsula were stratified into five geotechnical categories (S1–S5) based on soil characteristics. LPI values were computed incorporating site-specific amplification coefficients for nine bedrock acceleration levels corresponding to seismic recurrence intervals of 500, 1000, 2400, and 4800 years per Korean seismic design specifications. Subsurface characterization utilized standard penetration test (SPT) data from 121,821 boreholes, with an R-based analytical program enabling statistical processing and spatial visualization. Damage probability assessment employed Iwasaki’s LPI severity classification across site categories. Results indicate that at 0.10 g peak ground acceleration (500-year event), four regions exhibit severe liquefaction susceptibility. This geographic footprint expands to seven regions at 0.14 g (1000-year event) and eight regions at 0.18 g. For the 2400-year design basis earthquake (0.22 g), all eight identified high-risk zones reach critical thresholds simultaneously. Site-specific analysis reveals stark contrasts in vulnerability: S2 sites demonstrate 99% very low to low damage probability, whereas S3, S4, and S5 sites face 33%, 51%, and 99% severe damage risk, respectively. This study establishes a scalable, evidence-based framework enabling efficient large-scale liquefaction hazard assessment for governmental risk management applications. Full article
(This article belongs to the Special Issue Soil Dynamics and Earthquake Engineering)
Show Figures

Figure 1

18 pages, 5333 KB  
Article
Application of Various Geophysical Methods in the Characterization of the Xiannüshan Fault Zone
by Jingan Luo, Song Lin, Wenxiu Ding, Cong Jin, Miao Cheng, Xiaohu Deng, Yanlin Fu and Hongwei Zhou
Appl. Sci. 2026, 16(2), 594; https://doi.org/10.3390/app16020594 - 6 Jan 2026
Viewed by 303
Abstract
The Xiannüshan Fault Zone, located in the southwestern part of the Huangling Anticline within the Three Gorges Reservoir area of Hubei Province, is one of the largest and most complex faults in the region. The geological structures of its different segments vary significantly. [...] Read more.
The Xiannüshan Fault Zone, located in the southwestern part of the Huangling Anticline within the Three Gorges Reservoir area of Hubei Province, is one of the largest and most complex faults in the region. The geological structures of its different segments vary significantly. Previous studies have primarily focused on the northern segment and often relied on single geophysical methods, which are insufficient for detailed characterization of the entire fault zone. Based on existing geological data, field reconnaissance results, and the geological characteristics of different segments of the fault zone, we employed multiple geophysical methods for a varied investigation: shallow seismic reflection in the northern segment; a combination of waterborne seismic exploration and microtremor survey in the middle segment; and high-density resistivity in the southern segment. The integrated approach revealed the spatial extent, fault geometry, and activity characteristics of each segment, confirming that the Xiannüshan Fault Zone is a pre-Quaternary structure dominated by thrusting. The findings provide a critical scientific basis for regional seismic hazard assessment and disaster mitigation planning, while also establishing a technical framework with significant practical application value for detailed fault characterization in geologically complex environments. Full article
(This article belongs to the Special Issue State-of-the-Art Earth Sciences and Geography in China)
Show Figures

Figure 1

21 pages, 20951 KB  
Article
Study of the Mining Depth of Tailings Considering the Stability of Existing Open-Pit Slopes
by Haiyu Ji, Chong Li, Xinfeng Yang, Yanchang Li, Shaodong Li and Shuzhao Feng
Appl. Sci. 2026, 16(2), 577; https://doi.org/10.3390/app16020577 - 6 Jan 2026
Viewed by 202
Abstract
The recovery and comprehensive utilization of tailings resources can effectively mitigate or eliminate safety hazards in the upper zones of open-pit mines. To ensure the safe recovery of accumulated tailings and enhance resource utilization efficiency, this study establishes a two-dimensional model based on [...] Read more.
The recovery and comprehensive utilization of tailings resources can effectively mitigate or eliminate safety hazards in the upper zones of open-pit mines. To ensure the safe recovery of accumulated tailings and enhance resource utilization efficiency, this study establishes a two-dimensional model based on the Discrete Element Method (DEM) for the overall stability of tailings recovery, which is integrated with the existing slope and ore pillar models of the open-pit mine. Leveraging the mechanical parameters of tailings and waste rock obtained from laboratory tests, this study systematically investigates the effects of tailings recovery on the stability of existing slopes. Results show that due to differences in fracture characteristics and tailings reserves, complete tailings extraction causes no landslides in some sections, but large-scale or varying landslides occur on southern/northern flank slopes in specific sections at certain excavation depths or after full extraction. Targeted recovery recommendations are proposed: “segmented excavation with bench reservation” prevents overall landslides on southern flank slopes of landslide-prone sections; 35° slope cutting ensures stability of northern flank slopes in all sections. Further field verification considering rainfall and seismic loading factors is required for practical applications. Full article
Show Figures

Figure 1

19 pages, 20423 KB  
Article
Spherical Gravity Inversion Reveals Crustal Structure and Microplate Tectonics in the Caribbean Sea
by Feiyu Zhao, Chunrong Zhan, Junling Pei, Yumin Chen, Mengxue Dai, Bin Hu, Lifu Hou, Zixi Ning and Rongrong Xu
J. Mar. Sci. Eng. 2026, 14(1), 109; https://doi.org/10.3390/jmse14010109 - 5 Jan 2026
Viewed by 356
Abstract
As a convergent zone of multiple plates, the Caribbean Sea and its adjacent areas have experienced a complex tectonic evolution process and are characterized by prominent microplate development. This region provides a natural laboratory for studying the formation mechanism of continental margins, the [...] Read more.
As a convergent zone of multiple plates, the Caribbean Sea and its adjacent areas have experienced a complex tectonic evolution process and are characterized by prominent microplate development. This region provides a natural laboratory for studying the formation mechanism of continental margins, the evolution process of ocean basins, and the tectonics of microplates. However, the crustal structure and microplate tectonics in this region remain unclear due to limitations of conventional planar gravity inversion methods, which neglect the Earth’s curvature in large-scale areas, as well as the uneven coverage of regional seismic networks. To precisely delineate the crustal structure and microplate boundaries in the Caribbean Sea region, this study employs a nonlinear gravity inversion method based on a spherical coordinate system. By utilizing GOCO06s satellite gravity data, ETOPO1 topographic data, and the CRUST1.0 crustal model, we performed inversion calculations for the Moho depth in the Caribbean Sea and its adjacent regions and systematically analyzed the crustal structure and microplate tectonic characteristics of the region. The results indicate that the gravity inversion method in the spherical coordinate system has good applicability in complex tectonic regions. The inversion results show that the Moho depth in the study area generally presents a spatial distribution pattern of “shallow in the central part and deep in the surrounding areas”. Among them, the Moho depth is the largest (>39 km) at the junction of the Northern Andes and the South American Plate, while it is relatively shallow (<6 km) in regions such as the Cayman Trough, the Colombian Basin, and the Venezuelan Basin. Based on the Moho undulation, gravity anomalies, and topographic features, this study divides the Caribbean Sea and its adjacent areas into 22 microplates and identifies three types of microplates, including oceanic, continental, and accretionary. Among them, there are 10 microplates with oceanic crust, 6 with continental crust, and 5 with accretionary crust, while the Northern Andes Microplate exhibits a mixed type. The crustal structure characteristics revealed in this study support the Pacific origin model of the Caribbean Plate, indicating that most of the plate is a component of the ancient Pacific Plate with standard oceanic crust properties. Locally, the Caribbean Large Igneous Province developed due to hotspot activity, and the subsequent eastward drift and tectonic wedging processes collectively shaped the complex modern microplate tectonic framework of this region. This study not only reveals the variation pattern of crustal thickness in the Caribbean Sea region but also provides new geophysical evidence for understanding the lithospheric structure and microplate evolution mechanism in the area. Full article
(This article belongs to the Special Issue Advances in Ocean Plate Motion and Seismic Research)
Show Figures

Figure 1

33 pages, 6282 KB  
Article
Numerical Simulation of Liquefaction Behaviour in Coastal Reclaimed Sediments
by Pouyan Abbasimaedeh
GeoHazards 2026, 7(1), 8; https://doi.org/10.3390/geohazards7010008 - 3 Jan 2026
Viewed by 221
Abstract
This study presents a validated numerical investigation into the seismic liquefaction potential of fine-grained reclaimed sediments commonly encountered in coastal, containment, and reclamation projects. Fine-grained reclaimed sediments pose a particular challenge for seismic liquefaction assessment due to their low permeability, high fines content, [...] Read more.
This study presents a validated numerical investigation into the seismic liquefaction potential of fine-grained reclaimed sediments commonly encountered in coastal, containment, and reclamation projects. Fine-grained reclaimed sediments pose a particular challenge for seismic liquefaction assessment due to their low permeability, high fines content, and complex cyclic response under earthquake loading. A fully coupled, nonlinear finite element model was developed using the Pressure-Dependent Multi-Yield (PDMY) constitutive framework, calibrated against laboratory Cyclic Direct Simple Shear (CDSS) tests and verified using in situ Cone Penetration Tests with pore pressure measurement (CPTu). The model effectively captured the dynamic response of saturated sediments, including excess pore pressure generation, cyclic mobility, and post-liquefaction behavior, under three earthquake ground motions: Livermore, Chi-Chi, and Loma Prieta. Results showed that near-surface layers (0–2.3 m) experienced full liquefaction within two to three cycles, with excess pore pressure ratios (Ru) approaching 1.0 and peak pressures closely matching laboratory data with less than 10% deviation. The numerical approach revealed that traditional CPT-based cyclic resistance methods underestimated liquefaction susceptibility in intermediate layers due to limitations in accounting for pore pressure redistribution, evolving permeability, and seismic amplification effects. In contrast, the finite element model captured progressive strength degradation, revealing strength gain in deeper layers due to consolidation, while upper zones remained vulnerable due to low confinement and resonance effects. A critical threshold of Ru ≈ 0.8 was identified as the onset of rapid shear strength loss. The findings confirm the advantage of advanced numerical modeling over empirical methods in capturing the complex cyclic behavior of reclaimed sediments and support the adoption of performance-based seismic design for such geotechnically sensitive environments. Full article
Show Figures

Figure 1

Back to TopTop