Sign in to use this feature.

Years

Between: -

Subjects

remove_circle_outline
remove_circle_outline
remove_circle_outline
remove_circle_outline
remove_circle_outline
remove_circle_outline
remove_circle_outline
remove_circle_outline
remove_circle_outline

Journals

remove_circle_outline
remove_circle_outline
remove_circle_outline
remove_circle_outline
remove_circle_outline
remove_circle_outline
remove_circle_outline
remove_circle_outline
remove_circle_outline
remove_circle_outline

Article Types

Countries / Regions

remove_circle_outline
remove_circle_outline
remove_circle_outline
remove_circle_outline
remove_circle_outline

Search Results (383)

Search Parameters:
Keywords = screening agar

Order results
Result details
Results per page
Select all
Export citation of selected articles as:
21 pages, 7663 KB  
Article
Bioactive Secondary Metabolites and Anti-Infective Properties of Two Sordariomycetes Taxa Characterized by HR-ESI-MS Technique
by Fatma A. Abo Nouh, Ahmed M. Abdel-Azeem, Tamer S. Abdelmoneim, Nivien A. Nafady, Saeed Mohammadi, Najeeb Ur Rehman, Hassan Moghtaderi, Moosa Al Hamadani, Saif Al-Housni, Usama Qayum and Abdullah M. S. Al-Hatmi
Microbiol. Res. 2026, 17(4), 81; https://doi.org/10.3390/microbiolres17040081 - 15 Apr 2026
Abstract
The emergence of antimicrobial resistance and the increasing incidence of cancer have highlighted the urgent need to develop new drugs; therefore, the discovery of new bioactive molecules is an important goal for future research. In this study, freshwater fungi isolated from submerged Phragmites [...] Read more.
The emergence of antimicrobial resistance and the increasing incidence of cancer have highlighted the urgent need to develop new drugs; therefore, the discovery of new bioactive molecules is an important goal for future research. In this study, freshwater fungi isolated from submerged Phragmites australis from Egypt were screened for antimicrobial and cytotoxic activities. Using ITS1 and ITS4 primers, eight frequently occurring Sordariomycetes taxa were identified and were then selected for further evaluation of bioactivity. Ethyl acetate crude extracts (A–H) were evaluated for antimicrobial activity using the agar disk-diffusion method. Extracts A and E, derived from Chaetomium globosum SCUF0000404 (PX596738) and Chaetomium madrasense SCUF0000401 (PX596735), respectively, showed broad-spectrum activity at 100 mg/mL against bacterial pathogens, including Staphylococcus aureus ATCC 29213 (15.33 and 18.00 mm), Streptococcus pyogenes ATCC 19615 (11.00 mm), Escherichia coli ATCC 35218 (10.33 and 10.67 mm), Klebsiella pneumoniae ATCC 700603 (14.00 and 16.67 mm), and Pseudomonas aeruginosa ATCC 27853 (13.33 and 16.33 mm), and show antifungal activity against Candida albicans ATCC 14053 (20.33 mm), Candida krusei ATCC 6258 (15.67 and 15.33 mm), Trichosporon asahii AMS 187 (17.00 and 17.67 mm), Exserohilum rostratum AMS 1077 (34.00 and 33.67 mm), and Trichophyton indotineae AMS 180 (38.33 and 34.00 mm). Selective cytotoxic effects on the breast cancer cell line MDA-MB-231 were observed by extracts A and E at IC50 = 309 and 277 μg/mL, while non-selective cytotoxic effects on the normal HUVEC cell line were found with IC50 = 919 and 796 μg/mL, respectively. Characterization of the most effective extracts A and E by high-resolution electrospray ionization mass spectrometry (HR-ESI-MS) shows that they have a wide range of secondary metabolites, including cytochalasans, azaphilone alkaloids, steroids, terpenoids, flavonoids, and phenols. These findings underscore the chemical diversity and therapeutic potential of freshwater fungi from Egypt. Full article
Show Figures

Figure 1

17 pages, 1444 KB  
Article
Characterization of the Biosurfactant Produced by Indigenous Bacteria from Mature Fine Tailings
by Shima Shojaei and Catherine N. Mulligan
Bioengineering 2026, 13(4), 452; https://doi.org/10.3390/bioengineering13040452 - 13 Apr 2026
Viewed by 414
Abstract
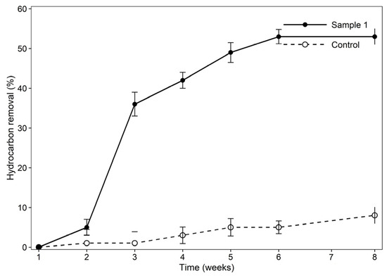
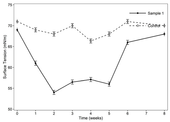
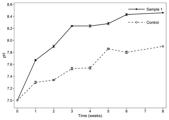
Biosurfactants offer a green, sustainable approach to many environmental bioremediations, especially for oil contamination. In this study, the aim is to evaluate the effectiveness of biosurfactants in accelerating hydrocarbon removal from mature fine tailings under anaerobic conditions. The bacteria were isolated from mature [...] Read more.
Biosurfactants offer a green, sustainable approach to many environmental bioremediations, especially for oil contamination. In this study, the aim is to evaluate the effectiveness of biosurfactants in accelerating hydrocarbon removal from mature fine tailings under anaerobic conditions. The bacteria were isolated from mature fine tailings and tested for biosurfactant production using different biosurfactant screening methods (i.e., blood agar, cetyltrimethylammonium bromide (CTAB) blue agar, oil displacement, and drop collapse). The most efficient strain showed high similarity to Stutzerimonas stutzeri by 16S rRNA gene sequencing. Results showed that this strain produces rhamnolipids with a critical micelle concentration (CMC) of 600 mg/L and a minimum surface tension of 38.70 ± 0.08 mN/m. Moreover, when supplemented with whey, the strain showed a high emulsification index of 24 toward toluene (66%) and hexane (60%). The bioremediation of mature fine tailings (MFTs) was conducted under anaerobic conditions by adding a consortium of the four strains that were positive in biosurfactant screening tests. The results showed 53% removal of n-alkane C9-C30 and a reduction in surface tension from 69 ± 0.5 mN/m to a minimum of 54.33 ± 0.5 mN/m. The results suggest the potential successful application of bioaugmentation for in situ biological treatment in the oil sands industry. Full article
Show Figures

Figure 1

24 pages, 5493 KB  
Article
Polyherbal-Mediated Synthesis of Copper Nanoparticles Using Hygrophila auriculata and Leucas aspera: Cytotoxicity, Antioxidant Effect, and Antibacterial Potential Against Healthcare-Associated Pathogens
by Gayathri Vijayakumar, Amrutha Raja, Swathi Ganesan, Teja Sri Senthil, Jainitha Kandasamy, Prathiksha Senthil Kumaran and Senthil Kumaran Rangarajulu
J. Funct. Biomater. 2026, 17(4), 169; https://doi.org/10.3390/jfb17040169 - 1 Apr 2026
Viewed by 393
Abstract
An eco-friendly green synthesis approach was employed to produce copper nanoparticles (CuNPs) using a polyherbal extract derived from two medicinally important plant species, Hygrophila auriculata (Schumach.) Heine and Leucas aspera (Willd.) Link. The plant extracts were initially subjected to phytochemical screening to identify [...] Read more.
An eco-friendly green synthesis approach was employed to produce copper nanoparticles (CuNPs) using a polyherbal extract derived from two medicinally important plant species, Hygrophila auriculata (Schumach.) Heine and Leucas aspera (Willd.) Link. The plant extracts were initially subjected to phytochemical screening to identify bioactive constituents potentially involved in nanoparticle synthesis. The synthesized CuNPs were characterized using UV-visible spectroscopy, Fourier-transform infrared spectroscopy (FTIR), gas chromatography–mass spectrometry (GC-MS), field-emission scanning electron microscopy coupled with energy-dispersive X-ray analysis (FESEM-EDAX), X-ray diffraction (XRD), and thin-layer chromatography (TLC). UV-visible spectroscopy revealed a characteristic absorption peak at 233.6 nm. FTIR analysis indicated the presence of functional groups associated with nanoparticle reduction and stabilization, whereas FESEM imaging showed predominantly spherical particles with sizes ranging 63–68 nm. Elemental composition was confirmed using EDAX analysis. XRD analysis demonstrated polycrystalline nature of the CuNPs, with an average crystallite size of 11.5 nm. GC-MS analysis and phytochemical screening further confirmed the presence of bioactive compounds, whereas TLC analysis revealed differences in mobility between the plant extract and synthesized CuNPs. Antibacterial activity of the synthesized CuNPs was evaluated using the agar well diffusion method against clinically relevant bacterial strains, including those of Staphylococcus aureus, Pseudomonas aeruginosa, Escherichia coli, and Streptococcus pyogenes. The polyherbal-derived CuNPs produced larger inhibition zones than the individual plant extracts, particularly against multidrug-resistant pathogens such as P. aeruginosa and S. aureus. Additionally, the nanoparticles exhibited concentration-dependent antioxidant activity in the 2,2-diphenyl-1-picrylhydrazyl assay at concentrations ranging 10–50 mg/mL, with radical scavenging activity increasing from 29.9% to 76.5% and a corresponding decrease in absorbance from 0.698 to 0.234 (p < 0.05). Cytotoxic evaluation in HepG2 cells after 48 h of exposure demonstrated dose-dependent morphological changes and reduced cell viability. These findings suggest that polyherbal-derived CuNPs possess antibacterial, antioxidant, and cytotoxic properties with potential relevance for biomedical applications. Full article
Show Figures

Graphical abstract

19 pages, 3743 KB  
Article
Phylogenetic Groups, Virulence Factors, and Antimicrobial Susceptibility of Escherichia coli Associated with Urinary Tract Infections from a Metropolitan Area of Buenos Aires, Argentina
by Nora B. Molina, Ramón A. González Pasayo, Marisa A. López and Mónica D. Sparo
Antibiotics 2026, 15(4), 350; https://doi.org/10.3390/antibiotics15040350 - 29 Mar 2026
Viewed by 497
Abstract
Background: Uropathogenic Escherichia coli (UPEC) is the primary etiological agent of urinary tract infections (UTIs) worldwide. The emergence of strains combining high virulence with multidrug resistance (MDR) poses a significant challenge to public health. This study aimed to characterize the phylogenetic distribution, virulence [...] Read more.
Background: Uropathogenic Escherichia coli (UPEC) is the primary etiological agent of urinary tract infections (UTIs) worldwide. The emergence of strains combining high virulence with multidrug resistance (MDR) poses a significant challenge to public health. This study aimed to characterize the phylogenetic distribution, virulence profiles, and antimicrobial susceptibility of UPEC isolates recovered from patients in the metropolitan area of Buenos Aires (AMBA), Argentina. Methodology: Phylogenetic groups, the ST131 lineage, and virulence-associated genes were identified using PCR-based assays. Antimicrobial susceptibility testing (AST) was performed using automated methods and extended-spectrum beta-lactamase (ESBL) production was confirmed using the double-disk synergy test. Colistin (COL) resistance was evaluated by Colistin Drop Test and PCR screening for the mcr-1 (mobile colistin resistance gene 1). Biofilm formation was detected by the Tissue Culture Plate (TCP) method, whereas phenotypic virulence factors (VF) were assessed with Congo Red agar, hemagglutination, and hemolysis assays. Results: Phylogenetic groups B2 (43.8%) and D (26.7%), typically associated with extraintestinal infections, were the most frequent. The high-risk clone B2-ST131 was detected in 6.7% of isolates. Biofilm production was observed in 92.4% of the isolates, with curli fimbriae (87.6%) being the most frequently expressed VF. The highest resistance rates were observed for ampicillin (62.1%), ampicillin-sulbactam (39.8%), and trimethoprim-sulfamethoxazole (25.2%). Interestingly, 3.8% of isolates exhibited colistin resistance, despite the absence of the mcr-1 gene. Conclusions: This study highlights the detection of MDR-UPEC isolates that showed strong resistance to fluoroquinolones and were ESBL producers with high virulence in Argentina, justifying future research encompassing genomic and epidemiological monitoring of local UPEC, which is essential for managing infections and developing new therapeutic and preventive measures. Full article
Show Figures

Graphical abstract

7 pages, 227 KB  
Communication
Evaluation of Liofilchem Derma-SR-Screen 4-Well Agar Panels in Screening of Terbinafine and Itraconazole Susceptibility in Clinical Trichophyton Isolates
by Karin Meinike Jørgensen, Nissrine Abou-Chakra, Karen Marie Thyssen Astvad and Maiken Cavling Arendrup
J. Fungi 2026, 12(4), 246; https://doi.org/10.3390/jof12040246 - 27 Mar 2026
Viewed by 469
Abstract
The aim of this paper is to evaluate the performance of the Derma-SR-screen agar for accurate discrimination between susceptible and non-susceptible clinical Trichophyton isolates. Consecutive Trichophyton isolates, received for identification and susceptibility testing, were screened for terbinafine and itraconazole resistance using Liofilchem Derma-SR-screen [...] Read more.
The aim of this paper is to evaluate the performance of the Derma-SR-screen agar for accurate discrimination between susceptible and non-susceptible clinical Trichophyton isolates. Consecutive Trichophyton isolates, received for identification and susceptibility testing, were screened for terbinafine and itraconazole resistance using Liofilchem Derma-SR-screen 4-well panels alongside EUCAST reference testing (E.Def 11.0). EUCAST tentative ECOFFs (terbinafine: T. rubrum 0.03 mg/L; T. indotineae 0.125 mg/L; itraconazole: both species: 0.25 mg/L) were applied for wild-type/non-wild-type classification. Plates were evaluated after 5 days of incubation at 25 °C, with growth graded 0-+++. Faint growth (+) was disregarded. All isolates underwent sqle sequencing. Forty isolates were included; 25 were non-wild-type harbouring Sqle alterations (F397I (number (n) = 1), F397L (n = 17), L393F (n = 3), L393S (n = 1), and Q408L (n = 3)). On day 5, 21 isolates reached +++ growth in the control well; a further 10 reached this level on day 6. The remaining isolates reached a ++/+++ score after 5/6 days (n = 7/n = 2). The 0.125 mg/L terbinafine agar correctly identified 7/8 non-wild-type T. indotineae isolates (4/5 F397L and 3/3 Q408L alterations), all 17 non-wild-type and eight wild-type T. rubrum isolates, as well as the five wild-type isolates of other Trichophyton spp. The 0.016 mg/L agar correctly identified all 17 non-wild-type T. rubrum isolates, but misclassified 2/8 wild-type isolates as non-wild-type. All isolates were wild-type to itraconazole and correctly identified. The Derma-SR-screen agar resulted in correct classification of 24/25 (96%) sqle mutant T. indotineae and T. rubrum isolates. Two wild-type T. rubrum isolates grew at the 0.016 mg/L terbinafine agar suggesting possible reduced agar potency at this concentration. Full article
(This article belongs to the Section Fungal Pathogenesis and Disease Control)
11 pages, 696 KB  
Article
Microbial Reservoirs in Artisanal Dairy Products from Spain and Algeria Harbor Lactic Acid Bacteria with Significant Gluten-Degrading Activity
by Abdelhak Menasri, Rosario Lucas, Javier Rodríguez López, Antonio Gálvez, Mª José Grande and Rubén Pérez Pulido
Appl. Microbiol. 2026, 6(3), 45; https://doi.org/10.3390/applmicrobiol6030045 - 15 Mar 2026
Viewed by 308
Abstract
Celiac disease (CD) is an autoimmune disorder triggered by immunogenic gluten peptides that resist gastrointestinal digestion. The only current treatment is a strict gluten-free diet, which is challenging to maintain. Lactic acid bacteria (LAB) with specific proteolytic systems offer a promising strategy for [...] Read more.
Celiac disease (CD) is an autoimmune disorder triggered by immunogenic gluten peptides that resist gastrointestinal digestion. The only current treatment is a strict gluten-free diet, which is challenging to maintain. Lactic acid bacteria (LAB) with specific proteolytic systems offer a promising strategy for gluten hydrolysis and potential reduction of immunogenicity. This study aims to isolate and characterize gluten-degrading LAB from traditional Spanish and Algerian dairy products. A total of 27 artisanal dairy samples were collected. LAB were isolated on MRS and Elliker agar. Gluten-degrading activity was screened using a well diffusion assay with cell-free supernatants and a spot assay with live cultures. Active isolates were identified by 16S rRNA gene sequencing. Out of 123 isolates, 40 (32.5%) were positive in the well assay, while 67 (54.5%) were positive in the spot assay, indicating the latter’s higher sensitivity for detecting cell-associated proteases. Halo diameters ranged from 6 to 16 mm. Algerian isolates exhibited significantly stronger activity (mean halo: 12.6 ± 2.1 mm) compared to Spanish isolates (10.2 ± 2.0 mm; p < 0.001). Molecular identification of the 32 most active isolates revealed the following dominant species: Lactiplantibacillus plantarum, L. pentosus, Levilactobacillus brevis, and Enterococcus faecium. This study confirms that artisanal dairy fermentations are rich sources of LAB with robust gluten-degrading potential. The superior activity of Lactiplantibacillus spp. aligns with their complex peptidase systems. The geographical variation highlights the influence of local fermentation practices. Selected strains represent excellent candidates for developing adjunct cultures to produce gluten-reduced foods and warrant further investigation as potential probiotics, pending safety and efficacy validation in vivo and in clinical studies. Full article
(This article belongs to the Special Issue Applied Microbiology of Foods, 3rd Edition)
Show Figures

Figure 1

13 pages, 430 KB  
Article
Characterization of Lactic Acid Bacteria for Potential Use as a Direct-Fed Microbial in Food Animals
by Divya Jaroni and Kaylee Rumbaugh
Appl. Biosci. 2026, 5(1), 19; https://doi.org/10.3390/applbiosci5010019 - 6 Mar 2026
Viewed by 285
Abstract
Zoonotic pathogens could persist in their environment and be introduced into the food-chain. With careful screening and selection, lactic acid bacteria (LAB) could be used as direct-fed microbials (DFMs) to control these pathogens in food animals. Previously isolated LAB (n = 250) were [...] Read more.
Zoonotic pathogens could persist in their environment and be introduced into the food-chain. With careful screening and selection, lactic acid bacteria (LAB) could be used as direct-fed microbials (DFMs) to control these pathogens in food animals. Previously isolated LAB (n = 250) were evaluated for inhibition against Shiga-toxigenic Escherichia coli (STEC) and Salmonella enterica, using agar spot test. Tests revealed that LAB were more effective against Salmonella than STEC, with 67% showing excellent (>15 mm) inhibition. LAB (n = 65) exhibiting significant pathogen inhibition (zones > 10 mm) were tested for acid (pH: 2, 4, 5, 7) and bile (0, 0.1, 0.3, 0.5%) tolerance, and biofilm-forming capabilities. About half of the tested LAB exhibited excellent to very good tolerance. All LAB formed biofilms, with 33% forming strong biofilms. LAB (n = 59) were also examined for susceptibility to commonly used antibiotics due to their intrinsic or acquired antibiotic resistance (AR), transferrable to pathogens. Only S. thermophilus S-2 showed susceptibility to all the antibiotics. The majority were susceptible to erythromycin (88%), followed by ampicillin (85%), clindamycin (64%), tetracycline (58%), vancomycin (44%), streptomycin (15%), and gentamicin (9%). Overall, LAB showed strong inhibition against pathogens, along with survival capabilities for environmental stress conditions, and could be considered for potential DFM applications. Full article
Show Figures

Figure 1

15 pages, 1159 KB  
Article
Multivariate Phenotyping of Early Plasticity in Raphanus sativus L.: Phenotypic Contrasts in the Morphophysiological Response to In Vitro Fertilization
by Luis Cagua-Montaño, Karen Rodas-Pazmiño, Jorge Fabricio Guevara-Viejó, Betty Pazmiño-Gómez, Ignacio Isa-Vargas, Samuel Valle-Asan, Rodrigo Pazmiño-Pérez, Stefany Pilar Jami Jami, Ivana Alexandra Armijos Galarza, Edgar Rodas-Neira and Cristhian Emilio Delgado Espinoza
Int. J. Plant Biol. 2026, 17(3), 20; https://doi.org/10.3390/ijpb17030020 - 4 Mar 2026
Viewed by 356
Abstract
Seed germination and early root growth are decisive for crop establishment, yet responses to ionic environments can be strongly genotype-dependent. This study evaluated the effect of supplementing an agar-based in vitro system with a commercial NPK fertilizer on the germination dynamics and early [...] Read more.
Seed germination and early root growth are decisive for crop establishment, yet responses to ionic environments can be strongly genotype-dependent. This study evaluated the effect of supplementing an agar-based in vitro system with a commercial NPK fertilizer on the germination dynamics and early seedling traits of Raphanus sativus L. Seeds were tested in two solid media: A (1.3% agar, no fertilizer) and AF (1.3% agar supplemented with 0.45 g of granular NPK fertilizer (15–30–15) per 200 mL medium), using a completely randomized 3 × 2 factorial design. Germination percentage and synchrony are key constituents of seedlot evaluation because they jointly capture both viability and the temporal coordination of emergence. However, final germination percentage alone does not reflect the timing and uniformity of germination, which can be critical for predicting establishment and subsequent performance. Therefore, indices such as mean germination time (MGT), coefficient of velocity of germination (CVG), and interval germination rates are frequently employed to describe germination dynamics. In addition to germination dynamics, early seedling morphometry (e.g., root and hypocotyl traits) can provide complementary information on early vigor and stress sensitivity under contrasting media or environmental conditions. Root elongation was significantly reduced by fertilization in ASD and GE, whereas AS exhibited consistently shorter roots with no significant response. PCA summarized 86.3% of the total variance in the first two components, separating treatments along a vigour/architecture axis and a germination capacity axis (%G), and hierarchical clustering identified five response groups. Overall, a low-cost agar + fertilizer system effectively discriminated genotype-specific sensitivity to an ionic environment during early establishment, highlighting the need to consider variety-dependent thresholds when using commercial fertilizers for in vitro screening. Full article
(This article belongs to the Section Plant Response to Stresses)
Show Figures

Figure 1

24 pages, 1002 KB  
Article
Optimization and Scale-Up of Tuber spp. Growth on Olive Mill Wastewater and Expired Glucose Syrup Substrates
by Ilias Diamantis, Gabriel Vasilakis, Seraphim Papanikolaou, Nikolaos G. Stoforos and Panagiota Diamantopoulou
Clean Technol. 2026, 8(2), 33; https://doi.org/10.3390/cleantechnol8020033 - 3 Mar 2026
Viewed by 662
Abstract
The present study investigates the potential of olive mill wastewater (OMW), supplemented with expired commercial glucose syrup, as a sustainable substrate for the submerged cultivation of Tuber spp. wild mushrooms. OMW contains considerable quantities of phenolic compounds, making it both a challenging pollutant [...] Read more.
The present study investigates the potential of olive mill wastewater (OMW), supplemented with expired commercial glucose syrup, as a sustainable substrate for the submerged cultivation of Tuber spp. wild mushrooms. OMW contains considerable quantities of phenolic compounds, making it both a challenging pollutant and a promising nutrient source. To assess fungal performance under increasing phenolic stress, culture media were prepared with varying OMW concentrations (0–75% v/v on agar; 0–50% v/v in liquid media), while glucose was adjusted to ~30 g/L using expired glucose syrup. A sequential experimental approach was followed, beginning with Petri dish screenings on substrate/strain selection (measuring the mycelial growth rate; Kr, mm/day), progressing to 25-day shake flask fermentations and subsequently scaling up the most promising strain (Tuber mesentericum) in a controlled stirred-tank bioreactor. Throughout cultivation, substrate consumption (glucose, phenolics), pH evolution and decolorization were evaluated, while the resulting biomass was analyzed for polysaccharides, β-glucans, proteins, lipids, fatty acids, antioxidants, phenolic acids and triterpenoids content. Results showed that increasing OMW concentration enhanced tolerance and metabolic activity in selected Tuber species, with T. mesentericum exhibiting the highest resilience and achieving comparable or higher biomass yields in OMW-based media than in glucose (control). Phenolic removal exceeded 60% in flasks and 50% in the bioreactor, confirming simultaneous bioremediation capacity. Bioreactor cultivation demonstrated efficient substrate utilization and biomass production, while OMW-grown biomass presented high lipid content, enriched with unsaturated fatty acids, high β-glucan levels and increased antioxidant and phenolic profiles. Overall, this study demonstrates that OMW (supplemented with expired glucose syrup) can serve as a cost-effective and environmentally beneficial substrate for Tuber biomass production with dietary and antioxidant properties, offering an alternative source to mushroom carposomes, as well as supporting the circular bioeconomy strategies within olive oil processing industries. Full article
(This article belongs to the Special Issue Biomass Valorization and Sustainable Biorefineries)
Show Figures

Graphical abstract

26 pages, 1798 KB  
Article
Synthesis, Characterization, and Bioactivity Investigation of Novel Benzimidazole Derivatives as Potential Antibacterial and Antifungal Agents
by Said Alghawi, Nallusamy Sivakumar, Sedky H. A. Hassan and Raid J. Abdel-Jalil
Molecules 2026, 31(5), 844; https://doi.org/10.3390/molecules31050844 - 3 Mar 2026
Viewed by 595
Abstract
A series of benzimidazole derivatives 6aj was designed and synthesized via the condensation of the corresponding o-phenylenediamine intermediates with formic acid. Antibacterial activity was evaluated in vitro using the agar well diffusion method against Staphylococcus aureus, Bacillus cereus, Escherichia [...] Read more.
A series of benzimidazole derivatives 6aj was designed and synthesized via the condensation of the corresponding o-phenylenediamine intermediates with formic acid. Antibacterial activity was evaluated in vitro using the agar well diffusion method against Staphylococcus aureus, Bacillus cereus, Escherichia coli, and Klebsiella pneumoniae, with nitrofurantoin (300 µg/mL) as the positive control. Antifungal screening was performed against Aspergillus flavus, Penicillium duclauxii, and P. italicum at 20 and 50 µg/mL, with Amphotericin B as the reference drug at the same concentrations. Most compounds exhibited moderate to good antimicrobial activity. MIC determination identified 6h as the most active antibacterial agent (MIC = 5.0 µg/mL). The SEM analysis of bacteria treated with 6h revealed marked morphological damage, including cell deformation and membrane disruption, supporting a bactericidal mode of action. Collectively, these results highlight benzimidazole derivatives as promising scaffolds for the development of broad-spectrum antibacterial and antifungal agents. Full article
(This article belongs to the Section Organic Chemistry)
Show Figures

Figure 1

18 pages, 1207 KB  
Article
Marine-Derived Bacillus Biosurfactants as Potential Antibacterial and Antibiofilm Agents Against Oral Pathogens
by Thangaraj Vaishnavi and Elangovan Elavarashi
Microorganisms 2026, 14(3), 573; https://doi.org/10.3390/microorganisms14030573 - 3 Mar 2026
Viewed by 520
Abstract
The growing antimicrobial resistance (AMR) is threatening traditional treatments for oral diseases like dental caries and periodontitis, which constitute a significant global health burden. The study aimed to isolate Bacillus species from marine samples, to assess their biosurfactant-producing capabilities, and to evaluate their [...] Read more.
The growing antimicrobial resistance (AMR) is threatening traditional treatments for oral diseases like dental caries and periodontitis, which constitute a significant global health burden. The study aimed to isolate Bacillus species from marine samples, to assess their biosurfactant-producing capabilities, and to evaluate their antibacterial activity against oral pathogens. Bacillus strains were isolated from marine water and sediment samples, identified by phenotypic and genotypic methods, and screened for their biosurfactant-producing ability by drop collapse, hemolytic activity, bacterial adhesion to hydrocarbons (BATH), oil displacement, and emulsification assays. Ethyl acetate extracts of these Bacillus strains were tested for antibacterial efficacy against four oral pathogens (MTCC strains) by the agar-well diffusion method. Among 81 bacterial isolates, 13 were confirmed as Bacillus species by phenotypic and 16S rRNA gene sequencing. Six Bacillus isolates displayed significant antibacterial activity, and the majority were beta-hemolytic. Bacillus strain TVD12 (50 mg/mL) exhibited superior performance by inhibiting S. mutans (31 mm ± 0), S. anginosus (30.5 mm ± 0.7), S. aureus (20 mm ± 1.4), and E. faecalis (29 mm ± 4.24). Bacillus strain TVW12 (500 μg/mL) performs better in antibiofilm activity by inhibiting E. faecalis 90%, S. aureus 87.4%, and S. mutans 76.8%. Statistical analysis revealed a distinct dual-activity profile, characterized by consistent broad-spectrum antimicrobial efficacy (p = 0.809) alongside specialized, pathogen-specific antibiofilm inhibition (p = 0.004). Marine-derived Bacillus strains, such as TVW12, and TVD12 demonstrated effective antibacterial and antibiofilm properties, offering a feasible approach to combat oral pathogens, contributing to sustainable development goals (SDGs) by addressing the challenges of antimicrobial resistance (SDG 3) through sustainable marine bioprospecting (SDG 14). These findings suggest their possibility in developing novel antibacterial agents against oral pathogens in future therapeutic applications. Full article
(This article belongs to the Special Issue Oral Microbiota: Diseases, Health, and Beyond)
Show Figures

Figure 1

16 pages, 497 KB  
Article
Phenotypic and Molecular Characterization of Carbapenem-Resistant Escherichia coli Isolated from Retail Meats in Hat Yai, Thailand
by Arnon Chukamnerd, Woralop Modleahman, Pattamarat Rattanachuay, Rattanaruji Pomwised and Pharanai Sukhumungoon
Bacteria 2026, 5(1), 10; https://doi.org/10.3390/bacteria5010010 - 9 Feb 2026
Viewed by 455
Abstract
(1) Background: Carbapenem-resistant Escherichia coli (CREC) is widespread and resistant to almost all available antimicrobial agents. In this study, we aimed to assess the phenotypic and molecular characteristics of CREC isolated from retail meats in Hat Yai, Songkhla, Thailand. (2) Methods: A total [...] Read more.
(1) Background: Carbapenem-resistant Escherichia coli (CREC) is widespread and resistant to almost all available antimicrobial agents. In this study, we aimed to assess the phenotypic and molecular characteristics of CREC isolated from retail meats in Hat Yai, Songkhla, Thailand. (2) Methods: A total of 155 retail meat samples were randomly collected, and 412 presumptive carbapenem-non-susceptible isolates were screened via culturing on imipenem-containing eosin methylene blue (EMB) agar. Susceptibility to imipenem and meropenem was tested using the disk diffusion method, and carbapenemase and virulence genes in CREC isolates were detected using PCR. Phylogenetic groups and genetic relatedness of carbapenemase-positive CREC isolates were analyzed using gene markers and BOX-PCR, respectively. (3) Results: The results revealed a high prevalence of presumptive carbapenem-non-susceptible E. coli (CNSEC) isolates in beef samples. Over 89% of the CNSEC isolates from all meat types were identified as CREC. Of these, only 4.8% of the isolates from beef samples were positive for the blaNDM gene, and one was also positive for the blaVIM gene. These isolates carried only the fimH gene as a virulence factor. The blaNDM-positive CREC isolates were classified in phylogenetic Group D. (4) Conclusions: Identifying antimicrobial-resistant pathogens, particularly CREC, in food-producing animals is critical due to potential risks to public health. Full article
Show Figures

Figure 1

17 pages, 1722 KB  
Article
Exploring Biosurfactant Production from Halophilic Bacteria, Isolated from Burgas Salterns in Bulgaria
by Kaloyan Berberov, Ivanka Boyadzhieva, Boryana Yakimova, Hristina Petkova, Ivanka Stoineva, Lilyana Nacheva and Lyudmila Kabaivanova
Mar. Drugs 2026, 24(1), 53; https://doi.org/10.3390/md24010053 - 22 Jan 2026
Viewed by 865
Abstract
Biosurfactants produced by halophilic bacteria are gaining attention as eco-friendly and biocompatible alternatives to synthetic surfactants due to their high surface activity, stability under extreme conditions, and intrinsic antimicrobial properties. These amphiphilic biomolecules hold great promise for bioremediation, biomedical, and pharmaceutical applications. In [...] Read more.
Biosurfactants produced by halophilic bacteria are gaining attention as eco-friendly and biocompatible alternatives to synthetic surfactants due to their high surface activity, stability under extreme conditions, and intrinsic antimicrobial properties. These amphiphilic biomolecules hold great promise for bioremediation, biomedical, and pharmaceutical applications. In this study, moderately halophilic bacteria capable of biosurfactant production were isolated from saline mud collected at the Burgas solar salterns (Bulgaria). The halophilic microbiota was enriched in Bushnell–Haas (BH) medium containing 10% NaCl amended with different carbon sources. Primary screening in BH liquid medium evaluated the isolates’ ability to degrade n-hexadecane while at the same time producing biosurfactants. Thirty halophilic bacterial strains were isolated on BH agar plates supplemented with 2% n-hexadecane, 2% olive oil, or 2% glycerol. Four isolates—BS7OL, BS8OL, BS9GL, and BS10HD—with strong emulsifying activity (E24 = 56%) and reduced surface tension in the range of 27.3–45 mN/m were derived after 7 days of batch fermentation. Strain BS10HD was chosen as the most potent biosurfactant producer. Its phylogenetic affiliation was determined by 16S rRNA gene sequence analysis; according to the nucleotide sequence, it was assigned to Halomonas ventosae. The extract material was analysed by thin-layer chromatography (TLC) and Fourier transform infrared spectroscopy (FTIR). Upon spraying the TLC plate with ninhydrin reagent, the appearance of a pink spot indicated the presence of amine functional groups. FTIR analysis showed characteristic peaks for both lipid and peptide functional groups. Based on the observed physicochemical properties and analytical data, it can be suggested that the biosurfactant produced by Halomonas ventosae BS10HD is a lipopeptide compound. Full article
(This article belongs to the Special Issue Marine Extremophiles and Their Metabolites)
Show Figures

Graphical abstract

18 pages, 1082 KB  
Article
Lactic Acid Bacteria from Traditional Fermented Milk: Antimicrobial Potential Against Foodborne Pathogens
by Kaoutar Boussif, Ahmed Elidrissi, Abdelkhaleq Elmoslih, Youssef Ezzaky, Mariem Zanzan and Fouad Achemchem
Appl. Microbiol. 2026, 6(1), 14; https://doi.org/10.3390/applmicrobiol6010014 - 13 Jan 2026
Viewed by 772
Abstract
Lactic acid bacteria (LAB) are increasingly recognized for their role in food biopreservation due to their ability to synthesize antimicrobial compounds. Milk naturally harbors a wide variety of LAB, offering a promising source for identifying strains with biopreservative potential. This study investigated the [...] Read more.
Lactic acid bacteria (LAB) are increasingly recognized for their role in food biopreservation due to their ability to synthesize antimicrobial compounds. Milk naturally harbors a wide variety of LAB, offering a promising source for identifying strains with biopreservative potential. This study investigated the antagonistic effects, safety characteristics, and technological properties of LAB strains isolated from traditionally fermented milk. Thirty-two dairy samples were analyzed, and the resulting LAB isolates were screened for inhibitory activity against Listeria monocytogenes CECT 4032 and Staphylococcus aureus CECT 976 using agar spot and well diffusion assays. All tested strains exhibited strong antimicrobial effects, with particularly notable inhibition of L. monocytogenes. After phenotypic screening, five representative isolates were selected for molecular identification and further assessment of safety-related attributes, functional capabilities, auto- and co-aggregation properties. 16S rRNA gene sequencing revealed that four strains belonged to the genus Enterococcus, specifically, one E. faecium and three E. durans, while one was classified as a Lactococcus species. Moreover, none of the strains showed proteolytic or lipolytic activities which highlights their potential use in dairy fermentation processes. Full article
Show Figures

Figure 1

16 pages, 780 KB  
Article
Phytochemical Evaluation of Terminalia catappa L. Extracts with Antibacterial and Antibiotic Potentiation Activities Against β-Lactam Drug-Resistant Bacteria
by Muhammad Jawad Zai, Matthew James Cheesman and Ian Edwin Cock
Int. J. Mol. Sci. 2026, 27(1), 177; https://doi.org/10.3390/ijms27010177 - 23 Dec 2025
Viewed by 1040
Abstract
Terminalia catappa L. (Family: Combretaceae) is used globally to treat various diseases, including bacterial infections. Whilst the antibacterial activity of T. catappa has previously been tested against antibiotic-sensitive bacterial strains, the antimicrobial activity against methicillin and β-lactam-resistant pathogens has been relatively ignored. The [...] Read more.
Terminalia catappa L. (Family: Combretaceae) is used globally to treat various diseases, including bacterial infections. Whilst the antibacterial activity of T. catappa has previously been tested against antibiotic-sensitive bacterial strains, the antimicrobial activity against methicillin and β-lactam-resistant pathogens has been relatively ignored. The antibacterial activity of T. catappa extracts, both alone and combined with selected clinical antibiotics, was evaluated in this study. The inhibition of bacterial growth by the extracts was determined using agar diffusion and broth micro-dilution assays. Combinations of the extracts and several clinical antibiotics were also examined and the ∑FICs were calculated to determine the interaction class. Synergistic combinations were further evaluated by isobologram analysis. The T. catappa leaf extracts were screened for toxicity using Artemia franciscana lethality bioassays (ALA). Orbitrap liquid chromatography–mass spectrometry (LC-MS) profiling analysis was undertaken to identify flavonoid components of the extracts, putatively. The T. catappa methanolic extract inhibited all the tested bacterial strains. It displayed especially good inhibitory activity against E. coli (MIC = 130 µg/mL). Combining the T. catappa extracts with some conventional antibiotics potentiated the inhibitory activity of the combinations compared to the activity of individual components. LC-MS profiling analysis identified multiple flavonoid components, including rutin, quercitin, orientin, the tannin component, and ellagic acid in the extracts. All extracts were non-toxic against Artemia nauplii. The phytochemical constituents present in the T. catappa leaf extracts warrant future investigation as potential antibacterial agents. Full article
Show Figures

Figure 1

Back to TopTop